Оценка влияния климатических факторов на состояние наземных экосистем Северо-Западного региона России
- Авторы: Васильев М.П.1, Нестеров Е.М.2, Каширина Е.В.2, Любимов А.В.2
-
Учреждения:
- Санкт-Петербургский научно-исследовательский центр экологической безопасности Российской академии наук (НИЦЭБ РАН – СПб ФИЦ РАН)
- Российский государственный педагогический университет им. А.И. Герцена
- Выпуск: Том 88, № 2 (2024)
- Страницы: 145-157
- Раздел: ПРИРОДНЫЕ ПРОЦЕССЫ И ДИНАМИКА ГЕОСИСТЕМ
- URL: https://ogarev-online.ru/2587-5566/article/view/266205
- DOI: https://doi.org/10.31857/S2587556624020045
- EDN: https://elibrary.ru/DSXTVR
- ID: 266205
Цитировать
Полный текст
Аннотация
В статье анализируется изменение климатических условий на Северо-Западе России, включая характеристики опасных гидрометеорологических явлений (волны холода и жары, сильные ветры, экстремальные ливни, снегопады, гололедно-изморозевые отложения, град) и медленные климатические изменения (увеличение числа дней с переходом температуры воздуха через 0°С) в контексте их негативного влияния на наземные экосистемы. На основе оценки характеристик опасных явлений, данных об изменении числа дней с переходом через 0°С и скорости отступления берегов был сформирован массив данных для расчета комплексного показателя, характеризующего негативные воздействия климатических факторов на наземные экосистемы. Было определено, что воздействия погодно-климатических факторов на наземные экосистемы наиболее сильно выражены в северной части рассматриваемого региона и, прежде всего, на побережье Баренцева моря. По мере продвижения на юг значения всех показателей постепенно снижаются, при этом меняется и их структура. В северной части рассматриваемого региона (Мурманская и Архангельская области, Ненецкий автономный округ) преобладают явления, связанные с сильным ветром и интенсивными гололедно-изморозевыми отложениями, способствующими образованию ледяной корки на поверхности земли. По мере удаления от побережья чаще наблюдается сильный мороз (Республика Коми). В центре и на юге региона наибольшую повторяемость имеют сильный дождь, сильный мороз и сильная жара, обуславливающая высокую степень пожароопасности. В работе выполнено ранжирование субъектов Северо-Западного федерального округа по степени интенсивности этого процесса. Комплексные оценки негативных воздействий изменяющихся климатических условий на наземные экосистемы могут быть использованы при принятии решений по разработке стратегии экологической безопасности регионов РФ.
Полный текст
Введение
Наблюдаемое изменение климата выражается как в увеличении повторяемости опасных гидрометеорологических явлений (ОЯ), так и в медленных изменениях температурно-влажностного режима и их последствиях – таянии многолетней мерзлоты, росте уровня моря и т.д. В северных регионах России эти процессы характеризуются особенно высокой интенсивностью (Ананичева и др., 2012; Второй …, 2014; Доклад ..., 2017). Как известно, климат является одним из основных факторов, влияющих на состояние наземных экосистем. Он определяет производительность и разнообразие экосистем, направление и скорость смен биологических сообществ, особенности гидрологического режима, устойчивость к природным и антропогенным воздействиям (Торжков и др., 2019; Энциклопедия …, 2005). Основные негативные погодно-климатические факторы для наземных экосистем на рассматриваемой территории обусловлены воздействием ОЯ (засухи, природные пожары, экстремальные скорости ветра, сильные ливни и снегопады, гололедно-изморозевые отложения и др.), а также последствиями медленных климатических изменений (изменение температурного режима, в частности, рост числа переходов температуры воздуха через 0°C). Очевидно, что эти процессы будут продолжаться и в будущем. Поэтому анализ их изменений на Северо-Западе России представляется весьма актуальным. Цель настоящей работы – комплексная статистическая оценка негативных воздействий изменяющихся климатических условий на наземные экосистемы в Северо-Западном регионе России.
Основные климатические показатели, влияющие на состояние наземных экосистем
Особенности климата Северо-Запада России определяются географическим положением в высоких широтах и большой протяженностью с севера на юг и с запада на восток. Климат этого региона формируется в основном под воздействием арктических и атлантических воздушных масс. В соответствии с природно-климатическим районированием, построенным на основе классификации климатов Б.П. Алисова (Национальный …, 2004), на этой территории представлены зоны тундры, лесотундры, тайги, смешанных лесов. Увеличение средних многолетних сумм осадков, продолжительности периодов с температурой выше 10°С увеличивают лесные ресурсы умеренного пояса. Однако эти изменения могут негативно влиять на ряд экосистем, так как для каждого растения характерен свой оптимальный диапазон метеорологических величин. Увеличение значений показателей, характеризующих интенсивность и повторяемость экстремальных явлений, обусловливает дополнительные риски для наземных экосистем. Так, например, длительные засухи являются причиной усыхания лесных массивов. Ветры со скоростями выше 25 м/с вызывают ветровалы и буреломы. Интенсивные дожди смывают почвы, а также могут вызвать усыхание деревьев в условиях длительного затопления. Негативное влияние на наземные экосистемы оказывают также сильные снегопады, крупный град, интенсивные гололедно-изморозевые отложения, периоды с высокой пожароопасностью др. (De Groot et al., 2013; Li et al., 2017; Walker et al., 2019). В докладах МГЭИК (2012, 2014) отмечается, что изменение статистических характеристик экстремальных гидрометеорологических явлений с высокой вероятностью связано с глобальным изменением климата. При этом, с одной стороны, более высокие температуры воздуха в районах с достаточным и избыточным увлажнением способствуют росту продуктивности наземных экосистем, но, с другой стороны, климатические изменения могут приводить к уменьшению биоразнообразия, а следовательно, к снижению устойчивости экосистем.
В ряде работ представлены результаты подробного анализа влияния изменения температурного режима, а также ветровалов, лесных пожаров, распространения болезней и вредителей леса на состояние экосистем в лесной, лесотундровой и тундровой зонах. Так, Королева с соавторами (2015, 2017) отмечают, что рост температуры воздуха негативно воздействует на экосистемы лесной и тундровой зон из-за приближения к границам диапазона температур воздуха, пригодного для их существования. При этом одни породы могут быть вытеснены другими, часто менее ценными, инвазивными видами. Рост температуры воздуха также является причиной деградации многолетней мерзлоты и трансформации почв на территории Северной Евразии, что также снижает устойчивость наземных экосистем в этом регионе (Королева и др., 2015; FAO, 2013). По данным (Олсон, 2011), территория, охваченная вспышками численности насекомых, может превышать площадь, пострадавшую от лесных пожаров. В условиях более высоких летних температур создаются более благоприятные условия для увеличения численности насекомых-вредителей, так как многие их виды, например, еловый лубоед, успевают пройти полный жизненный цикл за один, а не за два года, как при средних климатических условиях (Global …, 2019). Результаты многих исследований говорят о том, что рост площадей очагов вредителей и болезней определяется тремя основными факторами – увеличением приспособляемости насекомых вредителей в условиях более теплого климата, более интенсивным перемещением вредных видов на новые места обитания из-за развития торговли, а также их более успешной адаптацией в новых местах обитания благодаря широкому выбору деревьев-носителей (Лескинен и др., 2020). Кроме того, инвазивные виды могут быстрее распространяться там, где отсутствует набор их естественных врагов, которые обычно ограничивают их распространение. При этом уменьшается генетическое биоразнообразие лесных экосистем.
По мнению ряда авторов (Воздействие …, 2008; Изменения …, 2017; Состояние …, 2014; ACIA, 2004; Arctic …, 2013; Green et al., 1999), наиболее уязвимыми к изменениям климатических условий являются лесотундровые и тундровые экосистемы, находящиеся в северной части Северо-Западного региона РФ, так как для них характерна очень малая скорость восстановления. На арктические экосистемы в этом районе негативно влияют не только упомянутые выше опасные гидрометеорологические явления (прежде всего сильные ветры, снегопады, метели, а также возгорания торфяников), но и такие последствия медленных климатических изменений, как рост числа переходов температуры через 0°С весной и осенью, приводящих к образованию наста. Если на такую поверхность выпадут твердые, жидкие или смешанные осадки, наст может превратиться в ледяную корку. Увеличение зимней температуры воздуха примерно на 6°С к концу XXI в. в соответствии с пятью моделями МГЭИК, анализируемыми в (ACIA, 2004), может привести к увеличению числа случаев чередования периодов таяния и замерзания. В отдельные годы такие погодные условия вызывали огромные потери поголовья северного оленя, так как из-за наличия прочной ледяной корки олени не могут добыть лишайники. В этом заключается одна из причин, почему лишайников в северных регионах становится меньше. Животные вынуждены разбивать лишайники копытами, уничтожая их тела. В этом случае для регенерации лишайника требуются десятки лет (Tyler et al., 2007). Кроме того, в связи с изменениями погодных условий предзимья снег осенью часто покрывает еще незамерзшую землю. Это может приводить к гибели или ухудшению качества растений в следующем году. Еще одно последствие медленных климатических изменений – оттаивание многолетнемерзлых почв. При разрушении мерзлоты увеличивается риск проникновения токсичных веществ из мест их захоронения в почву. Этот процесс может усиливаться в связи с ростом интенсивности абразии берегов арктических морей и повышением уровня моря. При этом низко расположенные территории будут все чаще затапливаться при штормовых нагонах. Комплексное воздействие указанных процессов может приводить к разрушению прибрежных территорий и находящихся там природных объектов.
Используемые данные и методы
Для анализа пространственно-временного распределения указанных характеристик авторами были использованы результаты метеорологических наблюдений на 65 метеостанциях, расположенных на территории Северо-Западного региона РФ, в 1990–2019 гг. Эти метеостанции являлись реперными, т.е. имели период наблюдений не менее 30 лет, были репрезентативны (характерны) для окружающей территории (физико-географической провинции) и расположены относительно равномерно с пространственным шагом от 200 до 300 км (РД 52.04.720-2009).
На основе анализа работ, рассмотренных выше, были отобраны ОЯ, обуславливающие наибольшие угрозы для наземных экосистем в этом районе (волны холода и жары, периоды с высокой пожароопасностью, сильные ветры, экстремальные ливни, снегопады, гололедно-изморозевые отложения, град) в соответствии с принятыми критериями ОЯ (РД 52.04.563-2002) и создана база данных о повторяемости таких ОЯ. За ее основу была взята разработанная авторами ранее реляционная база данных “Погодно-климатические риски для отраслей экономики и социальной сферы субъектов Российской Федерации” с использованием СУБД Microsoft SQL Server 2014 Express, содержащая характеристики ОЯ до 2016 г. (Васильев и др., 2018, 2019), и дополненная метеорологическими данными до 2019 г., полученными с сайтов ФГБУ “ВНИИГМИ-МЦД” (http://meteo.ru/data, дата обращения 14.02.2022) по Северному, Северо-Западному и Мурманскому управлениям гидрометслужбы (УГМС) РФ и из Метеорологических ежемесячников (2017, 2018, 2019), подготовленных в этих УГМС.
Для анализа негативных проявлений медленных климатических изменений (увеличение числа дней с переходом температуры воздуха через 0°С и разрушение морских побережий) были использованы результаты наблюдений за температурой воздуха и суммами осадков на 65 метеорологических станциях, оценки, приведенные в работе (Второй …, 2014) и данные в (Информационный …, 2018).
Обсуждение результатов
Оценки характеристик опасных гидрометеорологических явлений
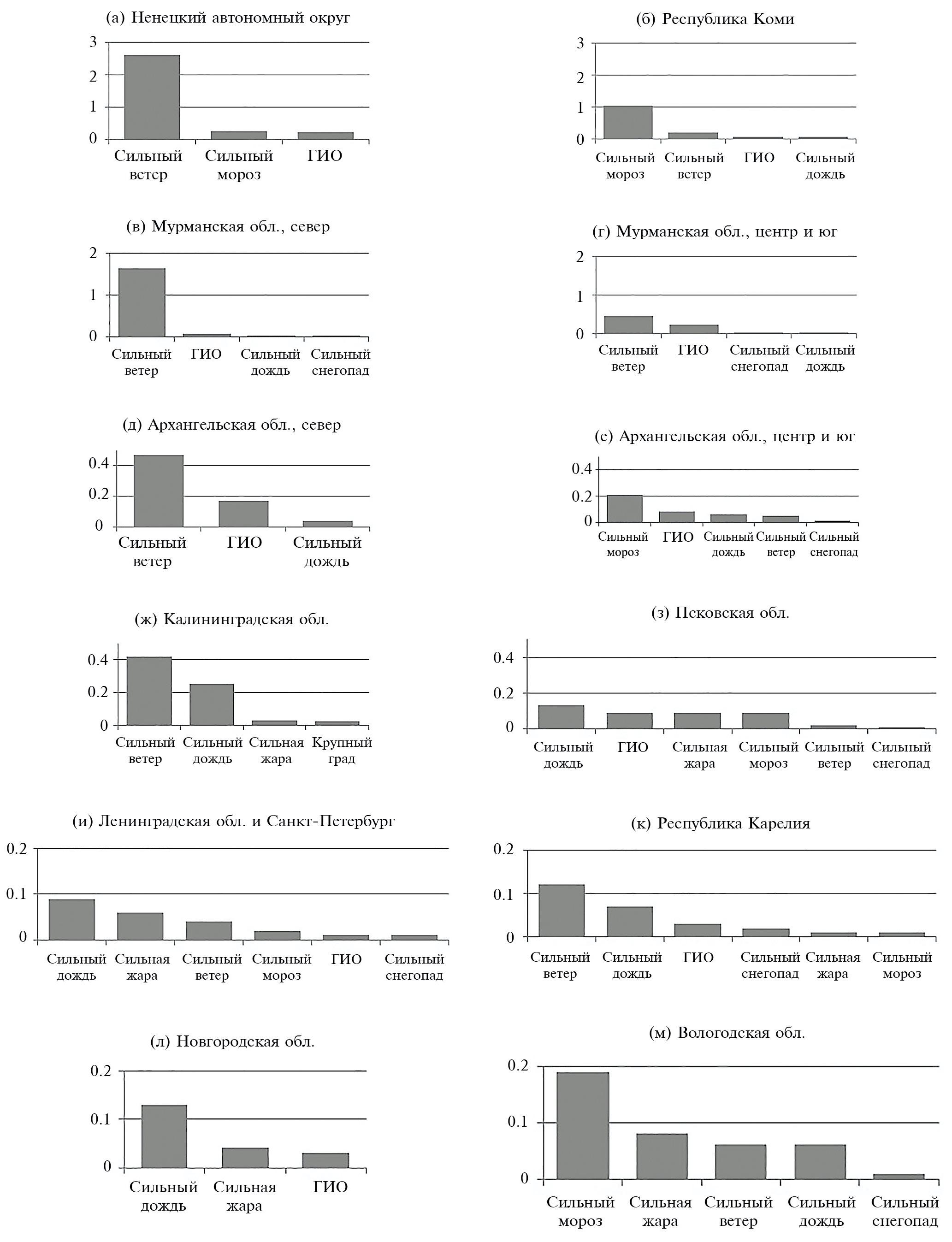
По особенностям воздействия на наземные экосистемы ОЯ были сгруппированы в следующие группы: сильный ветер, сильный дождь, сильный снегопад, крупный град, сильные гололедно-изморозевые отложения (ГИО), сильная жара, сильный мороз. На рис. 1 представлено среднее годовое число дней с ОЯ в различных областях Северо-Западного региона России. Наиболее неоднородные в климатическом отношении территориальные единицы – Мурманская и Архангельская области – были разделены на северную и южную части в соответствии с границами климатических и природных зон, определенными по классификации Б.П. Алисова.
Рис. 1. Среднее число дней с опасными гидрометеорологическими явлениями в различных частях Северо-Западного региона России: в восточной части (а, б); в северной части (в, г, д, е); в юго-западной части (ж, з); в западной части (и, к); в южной части (л, м). Дробные значения на шкале числа дней означают, что опасные гидрометеорологические явления наблюдались в среднем раз в несколько лет: 0.1 – 1 раз в 10 лет, 0.2 – 2 раза в 10 лет и т.д.
Как видно на графиках, повторяемость ОЯ разных видов значительно различается по территории. Так, в северной части рассматриваемого района (Мурманская и Архангельская области, Ненецкий автономный округ), особенно на побережье Баренцева моря преобладают ОЯ, связанные с сильным ветром и интенсивными гололедно-изморозевыми отложениями, способствующими образованию ледяной корки на поверхности земли. По мере удаления от побережья чаще наблюдается сильный мороз (Республика Коми). Для центральной и южной частей рассматриваемого региона характерно сочетание различных типов ОЯ. Наибольшую повторяемость здесь имеют сильный дождь, сильный мороз и сильная жара, обуславливающая высокую степень пожароопасности. Отмечаются также сильные ветры, снегопады и гололедно-изморозевые отложения. Для комплексной оценки ОЯ была построена карта суммарной повторяемости опасных явлений с помощью ArcGIS 10.1 (рис. 2) (Васильев, 2020).
Рис. 2. Средняя ежегодная повторяемость опасных гидрометеорологических явлений на территории Северо-Западного региона России (ArcGIS 10.1, интерполяция по методу кригинга). Точками темно-зеленого цвета обозначены метеостанции, красными точками – Санкт-Петербург и административные центры субъектов РФ.
Как видно на карте, повторяемость ОЯ резко возрастает на побережье Баренцева моря: 3–4 явления в год на каждой из рассматриваемых метеостанций, и на склонах Уральских гор – 2–3 явления в год. Межгодовая изменчивость числа случаев и числа дней с ОЯ в этом районе очень велика (рис. 3). Поэтому временные тренды этих характеристик статистически не значимы на 5% уровне значимости. Однако наблюдаемую тенденцию увеличения повторяемости ОЯ на большей части рассматриваемой территории нельзя не учитывать.
Рис. 3. Многолетние изменения числа случаев и числа дней с опасными гидрометеорологическими явлениями на территории Архангельской области в 1996–2017 гг.
По данным многочисленных исследований в условиях наблюдаемых и прогнозируемых климатических изменений повторяемость и интенсивность ОЯ в данном регионе будет возрастать. Так, например, по данным региональной климатической модели ФГБУ “ГГО” (Катцов и др., 2016, 2019; Хлебникова и др., 2018, 2019; Школьник, 2015) к середине XXI в. вероятно значительное увеличение повторяемости как сильных ливней, так и опасных снегопадов.
Оценки характеристик медленных климатических изменений
При анализе воздействий медленных климатических изменений на наземные экосистемы принимались во внимание значения числа дней с переходом через 0°С; отдельно рассматривались также скорости разрушения морских побережий, что, конечно, является следствием изменений, а не самим климатическим изменением.
Анализ числа дней с переходом через 0°С, выполненный по данным о минимальной и максимальной суточной температуре воздуха, показал, что значение этого показателя возрастает на значительной части рассматриваемой территории, прежде всего на севере и востоке. Однако структура этих изменений различна: если в лесной зоне рост числа переходов через 0°С приходится на зимний сезон, то в зонах тундры и лесотундры – на весну и осень (рис. 4).
Рис. 4. Многолетние изменения числа дней с переходом температуры воздуха через 0ºС в 1966–2019 гг.: (а) в зимний период в Вологде; (б) в осенний период в Нарьян-Маре.
В юго-западной и западной частях рассматриваемой территории таких трендов не отмечается или наблюдается даже некоторое уменьшение числа дней с переходом через 0ºС в связи с общим сокращением числа дней с отрицательной температурой воздуха в этом районе (рис. 5).
Рис. 5. Многолетние изменения суммарного за год числа дней с переходом температуры воздуха через 0ºС в 1966–2019 гг. в Калининграде.
Негативное воздействие на наземные экосистемы частных переходов температуры воздуха через 0°С возрастает при выпадении жидких и смешанных осадков, которые при дальнейшем замерзании могут превратить наст в прочную ледяную корку. Авторами были выполнены оценки изменения количества различных видов осадков (жидких, смешанных и твердых) (рис. 6–8). Для определения этих показателей был использован подход, рассмотренный в (Методические …, 2017). Он предполагает расчет так называемого коэффициента континентальности K по следующей формуле:
K = ( tмакс - tмин ) / (tмин + 50) × tгод ,
где tмакс, tмин – средняя многолетняя температура самого теплого и самого холодного месяца; tгод – средняя многолетняя годовая температура воздуха.
На основе полученных значений K и представленных в (Методические …, 2017) номограмм были рассчитаны ежегодные суммы жидких, смешанных и твердых осадков для различных пунктов на Северо-Западе России.
Рис. 6. Многолетние изменения сумм осадков различных видов в 1961–2015 гг. в Мурманске, мм.
Рис. 7. Многолетние изменения сумм осадков различных видов в 1961–2015 гг. в Нарьян-Маре, мм.
Рис. 8. Многолетние изменения сумм осадков различных видов в 1961–2015 гг. в Амдерме (Ненецкий автономный округ), мм.
Расчеты показали, что наиболее выраженные тенденции увеличения количества жидких и смешанных осадков при одновременном уменьшении сумм твердых осадков наблюдаются в северной части рассматриваемой территории – Мурманской области и Ненецком автономном округе. Причем, если на востоке Ненецкого автономного округа (Амдерма) во второй половине XX в. твердые осадки превышали жидкие в годовой сумме, то в конце XX – начале XXI в. сложилась обратная ситуация. Таким образом, комплексное воздействие изменения температурного и влажностного режимов будет способствовать процессам образования ледяной корки и создавать дополнительные риски для наземных экосистем. По данным климатического моделирования к середине XXI в. в северо-западной части рассматриваемого региона число дней с переходом через 0°С может еще возрасти на 4–5 дней (Катцов и др., 2020; Хлебникова и др., 2019).
В зависимости от изменения числа дней с переходом через 0°С было проведено ранжирование территорий Северо-Западного региона по значению этого показателя. Его величина варьировала от 0.7–1.0 (Ненецкий автономный округ, Вологодская, Архангельская области) до 0.1–0.6 (республики Коми и Карелия, Мурманская, Псковская, Ленинградская, Калининградская области).
Еще одним негативным последствием медленных климатических изменений в Северо-Западном регионе РФ является разрушение морских побережий. Рост температуры воздуха и воды, сокращение площади морского льда, увеличение высоты и повторяемости штормовых нагонов оказывают дестабилизирующий эффект на берега, способствуя возрастанию абразии. Степень абразии зависит как от погодно-климатических факторов, так и от состава и структуры слагающих побережья пород. Разрушению берегов в этом регионе способствует и постепенный рост уровня моря. Так, по данным (Второй …, 2014), среднегодовой подъем уровня моря за 1970–2005 гг. составил на Арктическом побережье 10–12 см. Учитывая прогнозируемый дальнейший рост уровня моря, разрушение морских берегов, вероятно, будет продолжаться (Изменения …, 2017). Надо отметить, что разрушение побережий происходит не только в Арктике. Осенние и зимние штормы при отсутствии ледяного покрова также приводят к абразии берегов Белого и Балтийского морей. По данным (Информационный …, 2018), скорость отступания отдельных участков берегов Белого и Балтийского морей составляет от 2 до 6 м в год. Однако, в отличие от побережий Баренцева и Карского морей, изменения берегов Белого и Балтийского морей имеют пульсационный характер, т.е. в течение нескольких лет направленность смещения берегового контура может меняться с положительной на отрицательную и наоборот. С использованием данных, содержащихся в (Второй ..., 2014) и (Информационный …, 2018) было проведено ранжирование территорий Северо-Западного региона РФ по степени опасности разрушения морских побережий от 1 (Ненецкий автономный округ) до 0 (Республика Коми, Вологодская, Псковская, Новгородская области).
Полученные результаты
На основе оценки характеристик ОЯ, данных об изменении числа дней с переходом через 0°С и скорости отступления берегов был сформирован массив данных для расчета комплексного показателя, характеризующего негативные воздействия климатических факторов на наземные экосистемы в Северо-Западном регионе России. Для решения этой задачи значения каждого показателя были переведены в относительные единицы, нормированы и затем просуммированы для каждой территориальной единицы. Для выбора оптимального метода нормирования были проанализированы и опробованы различные подходы к решению этой задачи, используемые в отечественной и зарубежной практике. В результате было принято решение использовать линейную нормировку по формуле: Xнорм = (Xисх – Xмин) / (Xмакс – Xмин). Этот подход наиболее прост и экономичен с точки зрения затрат машинного времени и дает результаты, незначительно отличающиеся от результатов использования более сложных методов (например, сигмоидной функции).
В работе была сделана попытка определить вклад каждого из рассмотренных факторов на основе литературных источников. Однако оказалось, что полученные данные по этой тематике сильно различаются (Королева и др., 2017; Лескинен и др., 2020; Ольсон, 2011; Хлебникова и др., 2018). Так как целью данной работы является оценка погодно-климатических воздействий на наземные экосистемы в крупных территориальных единицах Северо-Западного региона РФ, было принято решение учитывать эти факторы с равными весами, хотя в каждом конкретном месте их веса могут различаться.
В табл. 1 представлены нормированные значения комплексного показателя, характеризующего негативные воздействия климатических факторов на наземные экосистемы. Из табл. 1 видно, что негативные воздействия погодно-климатических факторов на наземные экосистемы наиболее сильно выражены в северной части рассматриваемого региона и, прежде всего, на побережье Баренцева моря. В этом районе (в зонах тундры и лесотундры) величина показателя принимает наибольшие значения (0.7–1.0). Здесь наиболее высокую повторяемость имеют опасные погодные явления, связанные с сильным ветром и интенсивными гололедно-изморозевыми отложениями (3–5 случаев ОЯ в году). Наблюдается интенсивная абразия берегов, обусловленная постепенным увеличением уровня моря, разрушением многолетнемерзлых пород и повышением штормовой активности северных морей из-за уменьшения ледового покрова. Статистически значимо увеличивается число дней с переходом через 0°С.
Таблица 1. Нормированные значения комплексного показателя, характеризующего негативные воздействия климатических факторов на наземные экосистемы в Северо-Западном регионе России
Субъект РФ | Комплексный показатель (в долях единицы) |
Ненецкий автономный округ | 1.0 |
Архангельская область: | |
северная часть | 0.8 |
южная часть | 0.6 |
Мурманская область: | |
северная часть | 0.7 |
южная часть | 0.6 |
Республика Коми | 0.6 |
Вологодская область | 0.5 |
Республика Карелия | 0.5 |
Ленинградская область | 0.4 |
Санкт-Петербург | 0.4 |
Новгородская область | 0.4 |
Псковская область | 0.3 |
Калининградская область | 0.3 |
По мере продвижения на юг значение комплексного показателя постепенно снижается до 0.5–0.6. В южных частях Архангельской и Мурманской областей, республиках Коми и Карелии, Вологодской области среднее годовое число случаев с ОЯ уменьшается до 1–2. Однако при этом меняется структура основных составляющих этого показателя. Увеличивается повторяемость экстремальных жидких осадков и волн тепла. Растет число дней с повышенной пожароопасностью и т.д.
В Ленинградской, Новгородской, Псковской и Калининградской областях, а также в Санкт-Петербурге величина комплексного показателя принимает наименьшие для Северо-Западного региона значения – 0.3–0.4. Среднее годовое число случаев с ОЯ здесь в основном не превышает 1 случая. Уменьшается или остается относительно постоянным число дней с переходом через 0°С. Однако в условиях климатических изменений в этом регионе также представляет опасность разрушение морских побережий под воздействием зимних штормов. Это особенно актуально для Санкт-Петербурга, Ленинградской и Калининградской областей.
Выводы
Основные погодно-климатические риски для наземных экосистем Северо-Западного региона России обусловлены воздействием опасных метеорологических явлений (засухи, природные пожары, экстремальные скорости ветра, сильные ливни и снегопады, гололедно-изморозевые отложения и др.), а также последствиями медленных климатических изменений (изменение температурного режима, в частности, рост числа переходов температуры воздуха через 0°C, и разрушение морских побережий). На основе оценки характеристик опасных явлений, данных об изменении числа дней с переходом через 0ºС и скорости отступления берегов был сформирован массив данных для расчета комплексного показателя, характеризующего негативные воздействия климатических факторов на наземные экосистемы Северо-Запада России. Было определено, что воздействия погодно-климатических факторов на наземные экосистемы наиболее сильно выражены в северной части рассматриваемого региона и, прежде всего, на побережье Баренцева моря. По мере продвижения на юг значения всех показателей постепенно снижаются, при этом меняется и их структура.
Результаты, полученные в данной работе, позволили выявить в рассматриваемом регионе территории с различной величиной комплексного показателя, характеризующего негативные воздействия климатических факторов на наземные экосистемы, и рассмотреть структуру его составляющих в разных климатических и природных зонах. Представленный подход позволяет проводить мониторинг как итоговых значений этого показателя, так и его составляющих и оценивать влияние наблюдаемых и ожидаемых климатических изменений на состояние экосистем. Комплексные оценки негативных воздействий изменяющихся климатических условий на наземные экосистемы могут быть использованы при принятии решений по разработке стратегии экологической безопасности регионов РФ.
Об авторах
М. П. Васильев
Санкт-Петербургский научно-исследовательский центр экологической безопасности Российской академии наук (НИЦЭБ РАН – СПб ФИЦ РАН)
Автор, ответственный за переписку.
Email: mih.vasilev@mail.ru
Россия, Санкт-Петербург
Е. М. Нестеров
Российский государственный педагогический университет им. А.И. Герцена
Email: mih.vasilev@mail.ru
Россия, Санкт-Петербург
Е. В. Каширина
Российский государственный педагогический университет им. А.И. Герцена
Email: kashirina@yandex.ru
Россия, Санкт-Петербург
А. В. Любимов
Российский государственный педагогический университет им. А.И. Герцена
Email: mih.vasilev@mail.ru
Россия, Санкт-Петербург
Список литературы
- Ананичева М.Д., Анохин Ю.А., Асарин А.Е. Методы оценки последствий изменения климата для физических и биологических систем. Гл. 6. Природные экосистемы суши / науч. ред. С.М. Семенов. М.: Планета, 2012. С. 190–265.
- Васильев М.П., Каширина Е.В., Акентьева Е.М. База данных “Погодно-климатические риски для отраслей экономики и социальной сферы субъектов Российской Федерации”: Свидетельство о государственной регистрации базы данных RU 2018620868, 19.06.2018. Заявка № 2018620494 от 26.04.2018. Федеральная служба по интеллектуальной собственности. М., 2018.
- Васильев М.П., Каширина Е.В. Технология оценки погодно-климатических рисков на языке SQL // Некоторые актуальные проблемы современной математики и математического образования. Герценовские чтения: матер. науч. конф. СПб.: РГПУ им. А. И. Герцена, 2019. С. 243–248.
- Васильев М.П. Погодно-климатические и экологические риски для наземных экосистем в Северо-Западном регионе России // Геология, геоэкология, эволюционная география: колл. монография / ред. Е.М. Нестеров, В.А. Снытко. СПб.: РГПУ им. А.И. Герцена, 2020. Т. XIX. С. 233–238.
- Воздействие изменения климата на российскую Арктику: анализ и пути решения проблемы / ред. А.О. Кокорин. М.: Всемирный фонд природы, 2008. 27 с.
- Второй оценочный доклад Росгидромета об изменениях климата и их последствиях на территории Российской Федерации. Общее резюме. М.: Росгидромет, 2014. 59 с.
- Доклад о климатических рисках на территории Российской Федерации / ред. В.М. Катцов. СПб.: ГГО им. А.И. Воейкова, 2017. 106 с.
- Изменения климата Арктики: место климатической науки в планировании адаптации / ред. В.М. Катцов. СПб.: ГГО им. А.И. Воейкова, 2017. 104 с.
- Информационный бюллетень о состоянии геологической среды прибрежно-шельфовых зон Баренцева, Белого и Балтийского морей в 2018 г. СПб.: ВСЕГЕИ, 2019. 99 с.
- Катцов В.М., Школьник И.М., Ефимов С.В., Константинов А.В., Павлова В.Н., Павлова Т.В., Хлебникова Е.И., Пикалева А.А., Байдин А.В., Борисенко В.А. Развитие технологии вероятностного прогнозирования регионального климата на территории России и построение на ее основе сценарных прогнозов изменения климатических воздействий. Ч. 1: Постановка задачи и численные эксперименты // Труды ГГО. 2016. Вып. 583. С. 7–29.
- Катцов В.М., Школьник И.М., Павлова В.Н., Хлебникова Е.И., Ефимов С.В., Константинов А.В., Павлова Т.В., Пикалева А.А., Рудакова Ю.А., Салль И.А., Байдин А.В., Задворных В.А. Развитие технологии вероятностного прогнозирования регионального климата на территории России и построение на ее основе сценарных прогнозов изменения климатических воздействий на секторы экономики. Ч. 2: Оценки климатических воздействий // Труды ГГО. 2019. Вып. 593. С. 6– 52.
- Катцов В.М., Хлебникова Е.И., Школьник И.М., Рудакова Ю.Л. Вероятностное сценарное прогнозирование регионального климата как основа разработки адаптационных программ в экономике Российской Федерации // Метеорология и гидрология. 2020. № 5. С. 46–58. https://doi.org/10.3103/S1068373920050039
- Королева Т.С., Константинов А.В., Шунькина Е.А. Угрозы и социально-экономические последствия изменения климата для лесного сектора // Труды Санкт-Петербург. науч.-исслед. ин-та лесного хозяйства. 2015. № 3. С. 55–71.
- Королева Т.С., Константинов А.В., Кушнир Е.А., Торжков И.О. Результаты стандартизированной оценки уязвимости лесного сектора Российской Федерации в условиях наблюдаемых эффектов климатической изменчивости // Труды Санкт-Петербург. науч.-исслед. ин-та лесного хозяйства. 2017. № 3. С. 13–22.
- Леса России и изменение климата. Что нам может сказать наука 11 / ред. П. Лескинен, М. Линднер, П.Й. Веркерк, Г.Я. Набуурс, Й. Ван Брусселен, Е. Куликова, М. Хассегава, Б. Леринк. Европейский ин-т леса, 2020. https://doi.org/10.36333/wsctu11
- МГЭИК, 2012 г. Резюме для политиков Специального доклада по управлению рисками экстремальных явлений и бедствий для содействия адаптации к изменению климата / Специальный докл. Рабочих I и II Межправительственной группы экспертов по изменению климата. Cambridge, NY: Cambridge Univ. Press. 19 с.
- МГЭИК, 2014. Изменение климата, 2014 г. Воздействия, адаптация и уязвимость – Резюме для политиков. Вклад Рабочей группы II в Пятый оценочный доклад Межправительственной группы экспертов по изменению климата. Всемирная Метеорологическая Организация, Женева, Швейцария. Cambridge, NY: Cambridge Univ. Press. 34 с.
- Метеорологический ежемесячник. Росгидромет, 2017, 2018, 2019. Вып. 1, 2, 3.
- Методические рекомендации по расчету специализированных климатических характеристик для обслуживания различных отраслей экономики. Строительство. Транспорт. СПб.: ГГО им. А.И. Воейкова, 2017. 160 с.
- Национальный Атлас России. Т. 2. Природа и экология. М.: ФГУП “ГОСГИСЦЕНТР”, 2004. 495 с.
- Олсон Р. Бореальные леса и изменение климата (пер. с англ.) // Устойчивое лесопользование. 2011. № 3 (28). С. 27–38.
- РД 52.04.563–2002. Критерии опасных гидрометеорологических явлений и порядок подачи штормового сообщения. Росгидромет, 2002. 28 с.
- РД 52.04.720–2009. Положение о реперных климатических станциях. Росгидромет, 2009. 15 с.
- Состояние арктических морей и территорий в условиях изменения климата: Сб. тезисов Всерос. конф. с международ. уч. Архангельск: ИД САФУ, 2014. 199 с.
- Торжков И.О., Кушнир Е.А., Константинов А.В., Королева Т.С., Ефимов С.В., Школьник И.М. Оценка влияния ожидаемых изменений климата на лесное хозяйство // Метеорология и гидрология. 2019. № 3. С. 40–49. https://doi.org/10.3103/S1068373919030038
- Хлебникова Е.И., Катцов В.М., Пикалева А.А., Школьник И.М. Оценка изменения климатических воздействий на экономическое развитие территории российской Арктики в XXI веке // Метеорология и гидрология. 2018. № 6. С. 5–19. https://doi.org/10.3103/S1068373918060018
- Хлебникова Е.И., Рудакова Ю.Л., Школьник И.М. Изменение режима атмосферных осадков на территории России: результаты регионального климатического моделирования и данные наблюдений // Метеорология и гидрология. 2019. № 7. С. 5–16. https://doi.org/10.3103/S106837391907001X
- Школьник И.М., Ефимов С.В. Региональная модель нового поколения для территории северной Евразии // Труды ГГО. 2015. Вып. 576. С. 201–211.
- Энциклопедия климатических ресурсов Российской Федерации / ред. Н.В. Кобышева, К.Ш. Хайруллин. СПб.: Гидрометеоиздат, 2005. 319 с.
- ACIA, 2004. Impacts of a Warming Arctic: Arctic Climate Impact Assessment. ACIA Overview report. Cambridge: Cambridge Univ. Press, 2004. 140 p.
- Arctic Resilience Interim Report 2013. Stockholm: Arctic Council, 2013. 117 p.
- De Groot W.J., Flannigan M.D., Cantin A.S. Climate change impacts on future boreal fire regimes // Forest Ecology and Management. 2013. № 294. P. 35–44.
- FAO, 2013. Climate change guidelines for forest managers. FAO Forestry Paper Rome: Food and Agriculture Organization of the United Nations. 2013. № 172. 110 p.
- Global Forest Watch. 2019. http://www.globalforestwatch.org
- Green R.E., Harley M., Spalding M., Zockler C. Impacts of Climate Change on Wildlife. RSBP/UNEP WCMC Publication, 1999. 79 p.
- Li F., Lawrence D.M., Bond-Lamberty B. Impact of fire on global land surface air temperature and energy budget for the 20th century due to changes within ecosystems // Environmental Research Let. 2017. Vol. 12. № 4. P. 10–53.
- Tyler N.J.C., Turi J.M., Sundset M.A., et al. Saami reindeer pastoralism under climate change: Applying a generalized framework for vulnerability studies to a sub-arctic social-ecological system // Global Environmental Change. 2007. Vol. 17. № 2. P. 191–206. https://doi.org/10.1016/j.gloenvcha.2006.06.001
- Walker X.J., Baltzer J.L., Cumming S.G., et al. Increasing wildfires threaten historic carbon sink of boreal forest soils // Nature. 2019. Vol. 572. P. 520–523. https://doi.org/10.1038/s41586-019-1474-y
Дополнительные файлы










