Закономерности пастбищной деградации семиаридных горных экосистем Центрального Кавказа
- Авторы: Темботова Ф.А.1, Улигова Т.С.1, Жашуев А.Ж.1, Гедгафова Ф.В.1, Ханов З.М.1, Темботов Р.Х.1, Цепкова Н.Л.1, Пшегусов Р.Х.1, Горобцова О.Н.1, Чадаева В.А.1, Хакунова Е.М.1
-
Учреждения:
- Институт экологии горных территорий им. А.К. Темботова РАН
- Выпуск: Том 87, № 7 (2023)
- Страницы: 1097-1112
- Раздел: ОЦЕНКА ВОЗМОЖНОСТЕЙ УСТОЙЧИВОГО ЗЕМЛЕПОЛЬЗОВАНИЯ В УСЛОВИЯХ ГОРНЫХ ПАСТБИЩНЫХ СИСТЕМ
- URL: https://ogarev-online.ru/2587-5566/article/view/231720
- DOI: https://doi.org/10.31857/S2587556623070142
- EDN: https://elibrary.ru/IFWZKN
- ID: 231720
Цитировать
Полный текст
Аннотация
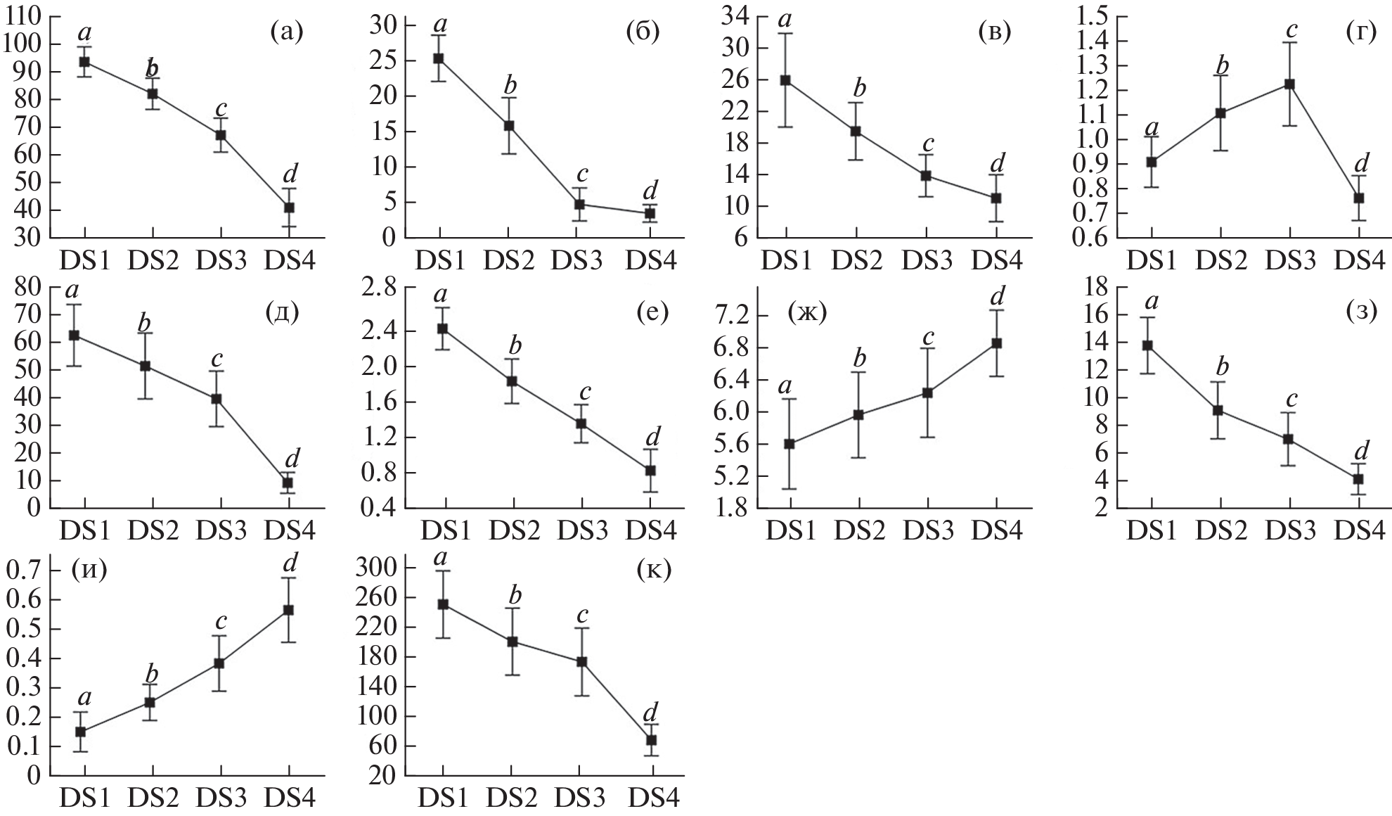
Пастбищная деградация и эрозия почв являются проблемами для управления животноводством в горных семиаридных районах Центрального Кавказа. Субальпийские остепненные луга и горные луговые степи, расположенные на южных склонах Бокового хребта (1600–2100 м над ур. м.) с маломощными каменистыми почвами, испытывают дефицит влаги (менее 250 мм осадков летом) и подвержены аридизации на фоне климатических изменений. Перевыпас скота на присельских лугах также способствует ксерофитизации растительности. Исследования посвящены выявлению почвенных и растительных индикаторов стадий деградации семиаридных горных пастбищ и сравнительному анализу закономерностей динамики выявленных параметров с таковыми в равнинных экосистемах. Знание надежных и легко определяемых индикаторов и их пороговых значений для каждой стадии деградации пастбищ поможет землеустроителям принимать решения по устойчивому управлению в сфере животноводства. Выделены четыре стадии деградации пастбищ, основными индикаторами которых являются высота и общее проективное покрытие травостоя, индекс разнообразия Шеннона, содержание гумуса и влажность почвы. Высота и покрытие травостоя снижаются в дигрессионном ряду соответственно с 25.4 ± 3.2 до 3.6 ± 1.2 см и с 93 ± 5 до 41 ± 7%, влажность почвы сокращается на 58%. На основе выделенных параметров для каждой стадии рассчитаны значения интегрального индекса деградации. Определены показатели нормы выпаса, соблюдение которых позволит длительно поддерживать рабочее состояние пастбищ. Соотношение фактической и допустимой нагрузок на крайних третьей и четвертой стадиях деградации составило 189 и 23 раз. Общей закономерностью динамики семиаридных горных пастбищ является совмещение ареалов субальпийских остепненных лугов и горных луговых степей, распространение петрофитных кустарниковых сообществ. Тенденции данного процесса во многом совпадают с закономерностями деградации равнинных степных пастбищ Забайкалья, Прикаспия, Монголии и др. полузасушливых регионов, что позволяет использовать выявленные индикаторы при изучении семиаридных пастбищ равнинных территорий.
Об авторах
Ф. А. Темботова
Институт экологии горных территорий им. А.К. Темботова РАН
Email: v_chadayeva@mail.ru
Россия, Нальчик
Т. С. Улигова
Институт экологии горных территорий им. А.К. Темботова РАН
Email: v_chadayeva@mail.ru
Россия, Нальчик
А. Ж. Жашуев
Институт экологии горных территорий им. А.К. Темботова РАН
Email: v_chadayeva@mail.ru
Россия, Нальчик
Ф. В. Гедгафова
Институт экологии горных территорий им. А.К. Темботова РАН
Email: v_chadayeva@mail.ru
Россия, Нальчик
З. М. Ханов
Институт экологии горных территорий им. А.К. Темботова РАН
Email: v_chadayeva@mail.ru
Россия, Нальчик
Р. Х. Темботов
Институт экологии горных территорий им. А.К. Темботова РАН
Email: v_chadayeva@mail.ru
Россия, Нальчик
Н. Л. Цепкова
Институт экологии горных территорий им. А.К. Темботова РАН
Email: v_chadayeva@mail.ru
Россия, Нальчик
Р. Х. Пшегусов
Институт экологии горных территорий им. А.К. Темботова РАН
Email: v_chadayeva@mail.ru
Россия, Нальчик
О. Н. Горобцова
Институт экологии горных территорий им. А.К. Темботова РАН
Email: v_chadayeva@mail.ru
Россия, Нальчик
В. А. Чадаева
Институт экологии горных территорий им. А.К. Темботова РАН
Автор, ответственный за переписку.
Email: v_chadayeva@mail.ru
Россия, Нальчик
Е. М. Хакунова
Институт экологии горных территорий им. А.К. Темботова РАН
Email: v_chadayeva@mail.ru
Россия, Нальчик
Список литературы
- Авессаломова И.А., Петрушина М.Н., Хорошев А.В. Горные ландшафты: структура и динамика. М.: Изд-во Моск. ун-та, 2002. 158 с.
- Бадикова А.А., Хусаинова С.А., Ахмадуллин И.И., Хусаинов А.Ф. Влияние выпаса на флору и растительность петрофитных степей на южной границе Природного парка “Кандры-куль” // Тенденции развития науки и образования. 2018. Т. 43. № 7. С. 59–62.
- Борликов Г.М., Бананова В.А., Лазарева В.Г., Бамбышева А.Н. Динамика опустынивания черноземельских пастбищ юга европейской части России // Научная мысль Кавказа. 2006. № 2. С. 63–69.
- Грачева Р.Г., Белоновская Е.А. Современное состояние пасторальных экосистем Центрального Кавказа // Изв. РАН. Сер. геогр. 2010. № 1. С. 90–102.
- Гунин П.Д., Микляева И.М., Бажа С.Н., Слемнев Н.Н., Чердонова В.А. Особенности деградации и опустынивания растительных сообществ лесостепных и степных экосистем Южного Забайкалья // Аридные экосистемы. 2003. Т. 9. № 19–20. С. 7–21.
- Имескенова Э.Г., Бутуханов А.Б. Продукционные возможности пастбищных экосистем тункинского района // Вестн. Бурятской гос. с.-х акад. им. В.Р. Филиппова. 2013. № 1 (30). С. 77–81.
- Казеев К.Ш., Колесников С.И., Вальков В.Ф. Биологическая диагностика и индикация почв: методология и методы исследования. Ростов-на-Дону: Изд-во Ростов. ун-та, 2003. 204 с.
- Кобечинская В.Г. Постпастбищная демутация в опустыненных степях равнинного Крыма с учетом интенсивности пасквальной нагрузки // Учен. зап. Крымского фед. ун-та им. В.И. Вернадского. Биология. Химия. 2018. Т. 70. № 4. С. 79–96.
- Микляева И.М., Гунин П.Д., Слемнев Н.Н., Бажа С.Н., Факхире А. Нарушенность растительности степных экосистем // Аридные экосистемы. 2004. Т. 10. № 24–25. С. 35–47.
- Миркин Б.М., Наумова Л.Г. Изучение состава и динамики растительных сообществ в Республике Башкортостан // Вестн. Акад. наук Республики Башкортостан. 2014. Т. 19. № 2. С. 29–39.
- Миронычева-Токарева Н.П. Эволюция растительного покрова лугов Южного Урала // Гео-Сибирь. 2009. Т. 4. № 2. С. 78–83.
- Пшегусов Р.Х., Чадаева В.А. Исторические аспекты использования пастбищных ресурсов горно-луговых экосистем Кабардино-Балкарской Республики // Докл. Адыгской (Черкесской) Междунар. акад. наук. 2020. Т. 20. № 2. С. 16–23.
- Районы и города Кабардино-Балкарии. Статистический сборник / гл. ред. Н.В. Скоркина. Нальчик: ОП Cеверо-Кавказстата по КБР, 2019. 151 с.
- Разумов В.В., Курданов Х.А., Разумова Л.А., Крохмаль А.Г., Батырбекова Л.М. Экосистемы гор Центрального Кавказа и здоровье человека. М.–Ставрополь: Илекса, Ставропольсервисшкола, 2003. 448 с.
- Сидоров Ю.Н., Докина Н.Н., Королев В.Л., Маханова Р.С. Погодные и антропогенные условия пастбищной дигрессии в зонах сухих и засушливых степей Южного Предуралья // Вестн. мясного скотоводства. 2013. № 4 (82). С. 111–116.
- Уртнасан М., Любарский Е.Л. Пастбищная дигрессия в степях Центральной Монголии (на примере сомона Батсумбэр Центрального аймака Монголии) // Учен. Зап. Казанского ун-та. Сер.: Естественные науки. 2013. Т. 155. № 1. С. 158–170.
- Bananova V.A., Lazareva V.G. Trends of changes in the botanical diversity under the influence of desertification in the Republic of Kalmykia // Arid Ecosystems. 2014. Vol. 4 (2). P. 119–126.
- Bosch O.J.H. Degradation of the semi-arid grasslands of southern Africa // J. Arid Environ. 1989. Vol. 16. P. 165–175.
- Chadaeva V., Gorobtsova O., Pshegusov R., Tsepkova N., Tembotov R., Khanov Z., Gedgafova F., Zhashuev A., Uligova T., Khakunova E., Stepanyan E. Stages of grassland degradation in subalpine ecosystems of the Central Caucasus, Russia // Chil. J. Agr. Res. 2021. Vol. 81. P. 630–642.
- Cipriotti P.A., Aguiar M.R., Wiegand Th., Paruelo J.M. Combined effects of grazing management and climate on semi-arid steppes: Hysteresis dynamics prevent recovery of degraded rangelands // J. Appl. Ecol. 2019. Vol. 56. P. 2155–2165.
- Christen M. Expanding Plant Species in Armenia: A Case Study from Geghadzor and Kuchak in the Aragatsotn Marz. Stuttgart: Acopian Center for the Environment, Univ. Hohenheim, 2020. 44 p.
- Çomakli E., Güllap M.K., Çomakli T., Bilgili A. The comparison of botanical composition and the condition and health class of different rangeland sites in forest ecosystem // Turk. J. Agric. For. 2021. Vol. 45. P. 349–355.
- Fırıncıoglu H.K., Seefeldt S.S., Sahin B., Vural M. Assessment of grazing effect on sheep fescue (Festuca valesiaca) dominated steppe rangelands, in the semi-arid Central Anatolian region of Turkey // J. Arid Environ. 2009. Vol. 73. P. 1149–1157.
- Gasanova A.F. Ecological evaluation of rangeland quality in dry subtropics of Azerbaijan // Eurasian Soil Science. 2014. Vol. 47 (12). P. 1283–1292.
- Guo X., Dai L., Li Q., et al. Light grazing significantly reduces soil water storage in alpine grasslands on the Qinghai-Tibet plateau // Sustainability. 2020. Vol. 12. Art. 2523.
- Haider M., Maclaurin A., Chaudhry A., Mushtaque M., Ullah S. Effect of grazing systems on range condition in Pabbi Hills Reserve Forest, Kharian, Punjab, Pakistan // Chil. J. Agr. Res. 2011. Vol. 71. P. 560–565.
- Hammer O., Harper D.A.T., Ryan P.D. PAST: Paleontological statistics software package for education and data analysis // Palaeontol Electron. 2001. Vol. 4. P. 4.
- IUSS Working Group WRB. World Reference Base for Soil Resources. International soil classification system for naming soils and creating legends for soil maps. 4th edition. Vienna: Int. Union of Soil Sciences (IUSS), 2022. 236 p.
- Karatassiou M. Water use efficiency and net production of two semiarid grasslands in different successional stages // Ap-pl. Ecol. Env. Res. 2016. Vol. 14. P. 41–53.
- Kemp D., Behrendt K., Badgery W., et al. Chinese degraded grasslands – pathways for sustainability // Rangeland J. 2020. Vol. 42. P. 339–346.
- Koç A., Güllap M.K., Sürmen M., Erkovan H.I. Changes in some vegetation properties of the rangelands of the Palandöken Mountains, Erzurum, over two decades // Turk. J. Agric. For. 2020. Vol. 44. P. 589–598.
- Kudrevatykh I.Yu., Kalinin P.I., Mitenko G.V., Alekseev A.O. The role of plant in the formation of the topsoil chemical composition in different climatic conditions of steppe landscape // Plant Soil. 2021. Vol. 465. P. 453–472.
- Lebedeva N.V., Ilyina L.P., Ponomareva A.V., Savitsky R.M. The effect of grazing intensity on the transformation of arid steppe ecosystems in the Manych Valley // Arid Ecosystems. 2011. Vol. 1. P. 251–259.
- Lee B.H., Kim J.Y., Park H.S., Sung K.I., Kim B.W. Evaluation of grassland grade by grassland vegetation ratio // J. Korean Soc. Grass. Forage Sci. 2020. Vol. 40. P. 29–36.
- Leu S., Mussery A.M., Budovsky A. The effects of long time conservation of heavily grazed shrubland: a case study in the Northern Negev, Israel // Environ. Management. 2014. Vol. 54. P. 309–319.
- Liu M., Ouyang S., Tian Y., et al. Effects of rotational and continuous overgrazing on newly assimilated C allocation // Biol. Fert. Soils. 2021. Vol. 57. P. 193–202.
- Mayel S., Jarrah M., Kuka K. How does grassland management affect physical and biochemical properties of temperate grassland soils? A review study // Grass. Forage Sci. 2021. Vol. 76. P. 1–30.
- Muller M., Siebert S., Ntloko B.R., Siebert F. A floristic assessment of grassland diversity loss in South Africa // Bothalia. 2021. Vol. 51 (1). Art. 11.
- Nakano T., Bat-Oyun T., Shinoda M. Responses of palatable plants to climate and grazing in semi-arid grasslands of Mongolia // Glob. Ecol. Conserv. 2020. Vol. 24. e0121.
- Navarro L.M., Pereira H.M. Rewilding abandoned landscapes in Europe // Ecosystems. 2012. Vol. 15. P. 900–912.
- Neudert R. Combating Pasture Degradation in Central Asia and the Caucasus – A Review of Approaches. In Transitioning to Sustainable Life on Land. / V. Beckmann (Ed.). Basel: MDPi, 2021. P. 231–273.
- Peper J., Pietzsch D., Manthey M. Semi-arid rangeland vegetation of the Greater Caucasus foothills in Azerbaijan and its driving environmental conditions // Phytocoenologia. 2010. Vol. 40. P. 73–90.
- Taboada M.A., Rubio G., Chaneton E.J. Grazing impacts on soil physical, chemical, and ecological properties in forage production systems. In Soil management: Building a stable base for agriculture / J.L. Hatfield, Th.J. Sauer (Eds.). USA: American Society of Agronomy and Soil Science Society of America, 2011. P. 301–320.
- Tepanosyan G.H., Shushanik G.A., Muradyan V.S., Saghatelyan A.K. Mapping man-induced soil degradation in Armenia’s high mountain pastures through remote sensing methods: A case study // Remote Sensing Applications: Society and Environment. 2017. Vol. 8. P. 105–13.
- Wei L., Huang H.-Z., Zhang Z.-N., Wu G.-L. Effects of grazing on the soil properties and C and N storage in relation to biomass allocation in an alpine meadow // J. Soil Sci. Plant. Nut. 2011. Vol. 11. P. 27–39.
- Zhang C., Dong Q., Chu H., et al. Grassland community composition response to grazing intensity under different grazing regimes // Rangeland Ecol Manag. 2018. Vol. 71. P. 196–204.
- Zhang B., Beck R., Pan Q., Zhao M., Hao X. Soil physical and chemical properties in response to long-term cattle grazing on sloped rough fescue grassland in the foothills of the Rocky Mountains, Alberta // Geoderma. 2019. Vol. 346. P. 75–83.
Дополнительные файлы








