Spatial Structure of Tourism in the Context of the “Center–Periphery” Concept: The Case of Tyumen Oblast
- Authors: Gudkovskikh M.V.1, Dirin D.A.1
-
Affiliations:
- Tyumen State University
- Issue: Vol 87, No 1 (2023)
- Pages: 147-163
- Section: РЕГИОНАЛЬНЫЕ ГЕОГРАФИЧЕСКИЕ ПРОБЛЕМЫ
- URL: https://ogarev-online.ru/2587-5566/article/view/135574
- DOI: https://doi.org/10.31857/S2587556623010077
- EDN: https://elibrary.ru/LGHQQS
- ID: 135574
Cite item
Full Text
Abstract
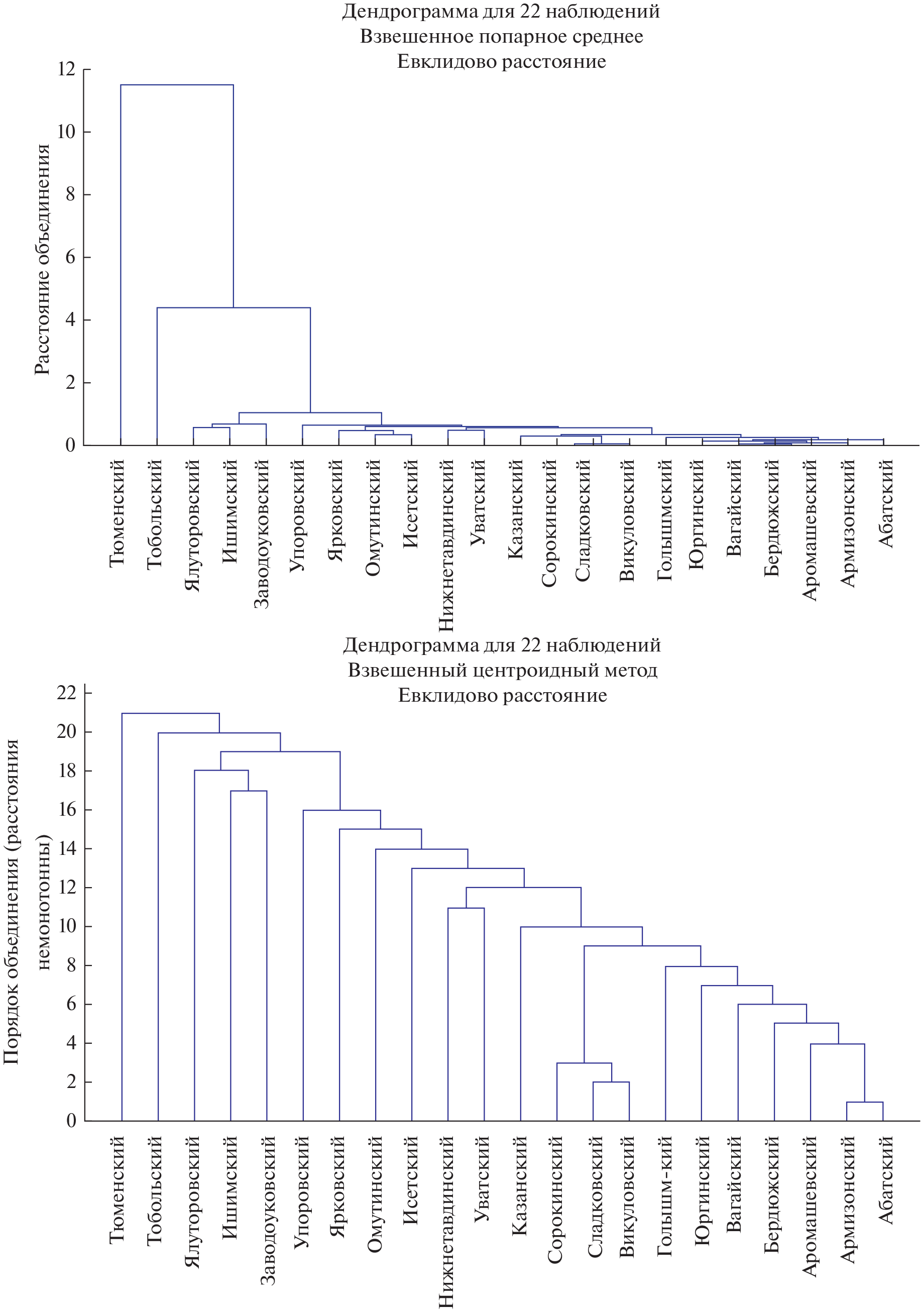
The article is devoted to the analysis of the spatial structure of the tourist economy in the Tyumen region. The theoretical and methodological basis of this analysis is the concept of “center–periphery.” The study uses the method of cluster analysis (using the rules of single and full connection, weighted pairwise average, weighted centroid methods and the Ward method) to isolate groups of municipalities with a similar set of variables reflecting the infrastructure security and cultural and historical potential of the territory, which guarantees an adequate segmentation of the tourist space of the region into a regional center that consolidates record tourist resources and the most diverse types of tourist activity; the second centers are fixed by increased indicators of tourist potential with clearly distinguished branches of specialization. Peripheral areas are extremely poorly equipped with infrastructure components, characterized by internal heterogeneity of tourist manifestations with single destinations and transport isolation, while tourism for them is a means of overcoming economic backwardness, but is located in the zone of risky entrepreneurship. The results of the study allow us to improve the scientific and practical content of tourist zoning and territorial planning of the tourist industry of the Tyumen region.
About the authors
M. V. Gudkovskikh
Tyumen State University
Author for correspondence.
Email: m.v.gudkovskikh@utmn.ru
Russia, Tyumen
D. A. Dirin
Tyumen State University
Email: m.v.gudkovskikh@utmn.ru
Russia, Tyumen
References
- Александрова А.Ю. Структурно-функциональный анализ туристического пространства мира // Вестн. Моск. ун-та. Сер. 5. География. 2009. № 4. С. 21–26.
- Ашугатоян С.Г. Трансформация территориальной структуры въездного и внутреннего туризма в Турции // Геогр. вестн. 2017. № 4 (43). С. 153–161.
- Валлерстайн И. Анализ мировых систем и ситуация в современном мире / пер. с англ. П.М. Кудюкина; под ред. Б.Ю. Кагарлицкого. СПб.: Унив. кн., 2001. 414.
- Грицай О.В., Иоффе Г.В., Трейвиш А.И. Центр и периферия в региональном развитии. М.: Наука, 1991. 168 с.
- Гудковских М.В. Методика комплексной оценки туристско-рекреационного потенциала // Географический вестн. 2017. № 1 (40). С. 102–116.
- Зырянов А.И. Теория и методология рекреационной географии Пермь, 2021. 368 с. http://www.psu.ru/files/docs/science/books/uchebnie-posobiya/zyryanov-teoriya-i-metodologiya-rekreacionnoj-geografii.pdf
- Каганский В.Л. Центр – провинция – периферия – граница. Основные зоны культурного ландшафта // Культурный ландшафт: вопросы теории и методологии исследований: семинар “Культурный ландшафт”: 2-й тематич. вып. докл. М.–Смоленск: Изд-во СГУ, 1998. С. 72–101.
- Кружалин В.И., Кружалин К.В. Пространственная организация рекреации и туризма в регионах России // Туризм и рекреация: фундаментальные и прикладные исследования: Тр. V Междунар. научн.-практ. конф. МГУ имени М.В. Ломоносова, географический факультет (Москва, 28–29 апреля 2010 г.). CПб.: Д.А.Р.К., 2010. С. 19–29.
- Крыстев В.К. Геоэкономическая поляризация мирового туристского пространства в центро-периферийном порядке // Социально-политические и эколого-хозяйственные проблемы развития Балтийского региона: К 170-летию Русского географического общества: Материалы междунар. научн.-практ. конф. (Псков, 19–20 ноября 2015 г.). Псков: Псков. гос. ун-т, 2015. С. 3–10.
- Манаков А.Г. География международного туризма и всемирного наследия ЮНЕСКО: взгляд сквозь призму концепции “центр–периферия” // Псков. регионол. журн. 2009. № 8. С. 63–74.
- Aubert A., Csapo J., Pirkhoffer E., Puczko L., Szabo G. A method for complex spatial delimitation of tourism destinations in South Transdanubia // Hungarian Geogr. Bul. 2010. Vol. 59. № 3. P. 271–287.
- Friedmann J. Regional development policy. Boston: Mass. Intst. Techn., 1966. 279 p.
- Ghimire K.B. Regional tourism and South-South economic cooperation // Geogr. J. 2001. Vol. 167. № 2. P. 99–110.
- Gormsen E. The impact of tourism on coastal areas // GeoJournal. 1997. № 42. P. 39–54.
- Holmgren H., Lindkvist K.B. Resource management regimes and innovation in peripheral nature-based tourism: The case of North Cape tourism and sea-fishing tourism // Norsk Geografisk Tidsskrift. 2016. Vol. 70. № 4. P. 203–215.
- Husbands W. Centres, peripheries, tourism, and socio-spatial development // Ontario Geogr. 1981. Vol. 17. P. 37–59.
- Keller C.P. Centre-periphery tourism development and control // Leisure, tourism and social change. Conference papers, Edinburgh. 1983. P. 77–84.
- Manyane R.M. Rethinking trans-boundary tourism resources at the Botswana-North West Province border // South African Geogr. J. 2017. Vol. 99. № 2. P. 134–151.
- Mowforth M., Munt I. Tourism and sustainability: Development, globalisation and new tourism in the Third World. London: Routledge, 2015. 476 p.
- Penzes J. The dimensions of peripheral areas and their restructuring in Central Europe // Hungarian Geogr. Bul. 2013. Vol. 62. № 4. P. 373–386.
- Rezzani R.J. Classification analysis of world economic regions // Geogr. Analysis. 2001. Vol. 33. № 4. P. 330–352.
- Taylor P.J., Catalano G., Walker D.R.F. Exploratory analysis of the world city network // Urban Stud. 2002. Vol. 39. № 13. P. 2377–2394.
- Wu X. Ben, Sui Daniel Z. An initial exploration of a lacunarity-based segregation measure // Environ. and Planning. 2001. Vol. 28. № 3. P. 433–446.
- Zimmermann G.R. Madagascar: Economic and ecological interdependencies illustrated along a centre-periphery profile // Geographische Rundschau. 2005. Vol. 57. № 4. P. 42–49.
Supplementary files






