Время роста акустических возмущений в изоэнтропически неустойчивой тепловыделяющей среде
- Авторы: Рящиков Д.С.1,2, Помельников И.А.2, Молевич Н.Е.3,2
-
Учреждения:
- СФ ФИАН, г. Самара, Российская Федерация
- Самарский национальный исследовательский университет имени академика С.П. Королева
- СФ ФИАН
- Выпуск: Том 28, № 1-2 (2022)
- Страницы: 113-119
- Раздел: Математические методы в естественных науках
- URL: https://ogarev-online.ru/2541-7525/article/view/252656
- DOI: https://doi.org/10.18287/2541-7525-2022-28-1-2-113-119
- ID: 252656
Цитировать
Полный текст
Аннотация
Изоэнтропическая неустойчивость является одним из типов тепловой неустойчивости, которая приводит к росту акустических волн. В результате их роста в таких средах образуются автоволновые структуры, параметры которых зависят только от свойств среды и могут быть предсказаны как аналитически, так и численно. Целью данного исследования является определения времени формирования автоволновых структур в изоэнтропической неустойчивой среде с параметрами, характерными для области фотодиссоциации Орион Бар. Показано, что время роста зависит от характерного размера начального возмущения. Наиболее быстро растущие структуры достигают половины от максимальной амплитуды за 3–6 тысяч лет. Дальнейший рост до максимального значения занимает 15–20 тысяч лет.
Полный текст
Introduction
Isentropic instability is a type of thermal instability that leads to the amplification of acoustic waves. It may occur in a medium with heating and cooling processes, which powers depend on the density and temperature. In a state of equilibrium they compensate each other, so . Acoustic perturbations violate this equilibrium, and heat release may further amplify (instability) or suppress them.
Conditions for isentropic instability may exist in photodissociation regions [1–3]. The instability results in a periodic wave structure, which in the later stages of evolution is a sequence of shock waves with autowave properties [4–6]. Similar structures are found, for example, near RCW120 [7, 8] or Orion nebulae [9, 10].
The fundamentals of the theory of thermal instabilities were thoroughly developed by Field [11]. His and many later studies have focused on the dispersion properties of gasdynamic perturbations in heat-releasing media. This allows us to judge the initial stage of perturbation evolution. Here, it is worth noting the work [12] in which a linear equation is obtained and analytically solved, which allows us to study the behavior of acoustic waves at this stage depending on the parameters of the initial perturbation.
However, linear approach works only for small amplitude waves. A study of the subsequent evolution of the acoustic waves at the nonlinear stage using the nonlinear equation [1, 5] for small amplitude waves and numerical simulations revealed the formation of autowave structures which parameters do not depend on the parameters of the initial perturbation. The parameters of the autowave structures were afterwards analytically evaluated in [6] without any restrictions on the amplitude.
The aforementioned studies allow us to answer the question of what structures can be observed under the known parameters of the medium and the heating and cooling functions, but do not answer the question of how quickly these structures can emerge. The importance of this issue stems from the fact that acoustic waves propagate during amplification, and the size of the medium in which their amplification can occur may be limited. Thus, the acoustic waves may not have time to reach the predicted amplitudes.
In this work, we numerically estimate the growth time of autowave structures that can emerge in photodissociation region Orion Bar using the model of heating and cooling functions from [3].
1. Time of the formation of autowave pulse
Isentropic instability, as mentioned above, leads to the formation of a periodic structure. Ahead of this structure the so-called autowave pulse propagates, which is the final stage of evolution of any small acoustic perturbation in an isentropically unstable medium. The parameters of this pulse depend only on form of heating and cooling functions of the medium from temperature and density. In this section, we estimate the time of formation of the autowave pulse in Orion Bar.
The dynamics of acoustic perturbations in such a medium can be described by the following system of equations:
(1.1)
where are density, temperature, and pressure, is speed vector, is heat capacity under constant volume, is Boltzmann constant; is substantial derivative, is generalized heat-loss function.
In the current work, we use the model of heat-loss function proposed by [3] for photodissociation regions of the interstellar medium. The following parameters of heat-loss function were used: FUV field , cooling line opacity , the ratio of visual extinction to reddening , C abundance per H nucleus in very small grains [3], the abundances of carbon and oxygen [13].
Studies show that the maximum growth rate of acoustic waves is expected at temperatures about [3] which also lies in the limit of observable temperatures in Orion Bar. So, we use this temperature as an equilibrium one. Then, using the equilibrium condition , one can find the corresponding equilibrium number density in Orion Bar as .
Since there is no analytical solution capable of describing the evolution of an arbitrary perturbation in a medium with strong dispersion and nonlinearity, we will investigate the growth time numerically using the Athena MHD code [14] for astrophysical simulations.
The initial condition for numerical simulations is Gaussian perturbation in form
(1.2)
where is the dimensionless amplitude of density perturbation, is the characteristic size of perturbation, is the adiabatic index which equals in Orion Bar. In our simulations, we used initial amplitude .
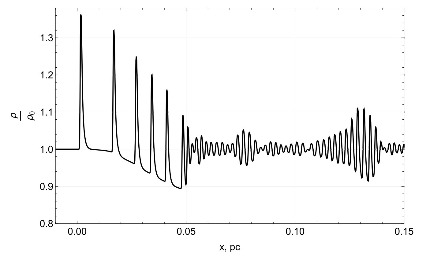
Simulations show the splitting of initial perturbation into two waves propagating in the opposite directions. Then, from any single wave, the periodic wave structure with period determined by heat-loss function appear. Each wave in this structure grows forming several autowave pulses in front of the wave sequence and a series of smaller waves at an earlier stage of evolution behind them (Figure 1.1).
Рис.1.1. Численное моделирование формирования автоволнового импульса в изоэнтропически неустойчивой среде
Using numerical simulation, we determine the amplitude of the autowave pulse as a function of time. Since the amplitude of the autowave pulses in front of wave sequence is greater than the amplitude of waves behind them, we take as the pulse amplitude the maximum value of the amplitude of the waves in the sequence.
When conducting numerical simulation, the important issue is to investigate the influence of grid step on the time of the formation of autowave pulses (Figure 1.2). The need for this is due to the fact that the numerical scheme introduces diffusion, much larger than that observed in real media. Decreasing the grid step reduces this effect, but it is impossible to reduce the numerical diffusion to an order of magnitude observed in real media due to limited computational capabilities.
Рис.1.2. Влияние шага по координате в численном моделировании на время формирования автоволнового импульса. Характерный размер начального возмущения σ=1.0LQ
One can see from Figure 1.2 that the finer the grid, the faster the waves grow. Let us note that three plots with a coarser grid have a long interval with almost unchanged amplitude. We suppose this is due to the dispersion properties of the medium and the spectrum of the initial perturbation.
Heating and cooling processes acts at characteristic time and its corresponding characteristic length [5]:
(1.3)
where . Estimations of these parameters for the Orion Bar give τQ = 875 years and LQ = 2.6×10-3 пк.
In a heat-releasing medium, the high-frequency harmonics of the initial perturbation (, where is the frequency of the wave) have the largest increment, while the low-frequency harmonics () have a relatively small one. Scheme diffusion significantly slows down growth of high-frequency harmonics. And if an amplitude of high-frequency harmonics in the initial perturbation is small, then for their growth it is required sufficiently long time, and their contribution to amplitude of structure as a whole will be imperceptible for this time. This effect is clearly seen in Figure 1.3 where the amplitude of perturbations with a large initial characteristic size begins to increase later than that of perturbations with a smaller characteristic size, with the same numerical grid parameters for all perturbations.
Рис.1.3. Влияние характерного размера начального возмущения на время формирования автоволнового импульса. Шаг сетки по координате Δx=0.015LQ
Thus, we believe that as the grid size is further reduced, the growth rate of acoustic waves until the amplitude reaches half of the maximum value will tend to that predicted by Field’s theory for inviscid heat-releasing medium [11]. Characteristic time of isentropic instability (the time at which the amplitude of the waves increases by a factor of ) of the high-frequency acoustic waves is determined by expression
(1.4)
The estimations of instability time for the chosen parameters of the mediums give tinst = 1065 years. Thus, the growth from the half of the amplitude of initial perturbation (since the waves propagate in two opposite directions) to a half of maximum amplitude may take about 4000 years, which agrees well with the results of numerical simulations on the finest grid.
However, the subsequent growth of the waves from half to maximum amplitude takes about 15-20 thousand years with little dependence on grid size and the characteristic size of initial perturbation.
Conclusion
Growth time of acoustic perturbations for parameters of isentropically unstable photodissociation region Orion Bar is estimated. The growth of acoustic waves can be divided into 3 stages. At the first stage, the high-frequency components of the initial perturbation grow without a significant change in the amplitude of the wave packet as a whole. The duration of this stage depends substantially on the characteristic size of the initial perturbation and can occupy fractions of the characteristic instability time for high-frequency perturbations, and take tens of for low-frequency ones, which corresponds to several tens of thousands of years for Orion Bar. In the second stage, there is an explosive growth of the wave amplitude up to half of the maximum value. This process takes several or about 4000 years for Orion Bar for initial perturbation with an amplitude of 0.01 of the equilibrium concentration. In the third stage, there is a smooth increase in the amplitude of the wave up to the maximum value, which takes about 15-20 thousand years.
This work was supported in part by the Ministry of Education and Science (projects FSSS-2020-0014, 0023-2019-0003).
Об авторах
Дмитрий Сергеевич Рящиков
СФ ФИАН, г. Самара, Российская Федерация; Самарский национальный исследовательский университет имени академика С.П. Королева
Автор, ответственный за переписку.
Email: ryashchikovd@gmail.com
ORCID iD: 0000-0001-7143-2968
кандидат физико-математических наук, научный сотрудник, теоретический сектор; старший преподаватель кафедры физики
Россия, г. Самара; г. СамараИван Александрович Помельников
Самарский национальный исследовательский университет имени академика С.П. Королева
Email: vanidzepomelnikov@gmail.com
ORCID iD: 0000-0001-7839-5784
студент института информатики и кибернетики
Россия, г. СамараНонна Евгеньевна Молевич
СФ ФИАН; Самарский национальный исследовательский университет имени академика С.П. Королева
Email: nonna.molevich@mail.ru
ORCID iD: 0000-0001-5950-5394
доктор физико-математических наук, главный научный сотрудник, и.о. зав. теоретическим сектором; профессор кафедры физики
Россия, г. Самара; г. СамараСписок литературы
- Molevich N.E., Zavershinsky D.I., Galimov R.N., Makaryan V.G. Travelling self-sustained structures in interstellar clouds with the isentropic instability // Astrophysics and Space Science, 2011, Vol. 334, issue 1, pp. 35–44. DOI: http://doi.org/10.1007/s10509-011-0683-0.
- Krasnobaev K.V., Tagirova R.R., Arafailov S.I., Kotova G.Y. Evolution and saturation of Autowaves in photodissociation regions // Astronomy Letters, 2016, vol. 42, issue 7, pp. 460–473. DOI: http://doi.org/10.1134/S1063773716070057.
- Krasnobaev K.V., Tagirova R.R. Isentropic thermal instability in atomic surface layers of photodissociation regions // Monthly Notices of the Royal Astronomical Society, 2017, vol. 469, issue 2, pp. 1403–1413. DOI: http://dx.doi.org/10.1093/mnras/stx884.
- Zavershinskii D.I., Kolotkov D.Y., Nakariakov V.M., Molevich N.E., Ryashchikov D.S. Formation of quasi-periodic slow magnetoacoustic wave trains by the heating/cooling misbalance // Physics of Plasmas, 2019, vol. 26, no. 8, p. 82113. DOI: http://doi.org/10.1063/1.5115224.
- Zavershinskii D.I., Molevich N.E., Riashchikov D.S., Belov S.A. Nonlinear magnetoacoustic waves in plasma with isentropic thermal instability // Physical Review E, 2020, vol. 101, issue 4, p. 43204. DOI: http://doi.org/10.1103/PhysRevE.101.043204.
- Molevich N., Riashchikov D. Shock wave structures in an isentropically unstable heat-releasing gas // Physics of Fluids, 2021, vol. 33, issue 7, p. 076110. DOI: https://doi.org/10.1063/5.0053394.
- Zavagno A., Pomares G., Deharveng L., Hosokawa T., Russeil D., Caplan J. Triggered star formation on the borders of the Galactic H ii region RCW 120 // Astronomy & Astrophysics, 2007, vol. 472, issue 3, pp. 835–846. DOI: http://dx.doi.org/10.1051/0004-6361:20077474.
- Deharveng L., Zavagno A., Schuller F. Caplan J., Pomares G., C. De Breuck. Star formation around RCW 120, the perfect bubble // Astronomy & Astrophysics, 2009, vol. 496, issue 1, pp. 177–190. DOI: http://dx.doi.org/10.1051/0004-6361/200811337
- Goicoechea J.R. [et al.] Compression and ablation of the photo-irradiated molecular cloud the Orion Bar // Nature, 2016, vol. 537, issue 7619, pp. 207–209. DOI: http://doi.org/10.1038/nature18957.
- Berne O., Marcelino N., Cernicharo J. Waves on the surface of the Orion molecular cloud // Nature, 2010, vol. 466, no. 7309, pp. 947–949. DOI: http://doi.org/10.1038/nature09289.
- Field G.B. Thermal Instability // The Astrophysical Journal, 1965, vol. 142, pp. 531–567.
- Zavershinskii D., Kolotkov D., Riashchikov D., Molevich N. Mixed Properties of Slow Magnetoacoustic and Entropy Waves in a Plasma with Heating/Cooling Misbalance // Solar Physics, 2021, Vol. 296, no. 6, p. 96. DOI: http://doi.org/10.1007/s11207-021-01841-1.
- Wakelam V., Herbst E. Polycyclic Aromatic Hydrocarbons in Dense Cloud Chemistry // The Astrophysical Journal, 2008, vol. 680, no. 1, pp. 371–383. DOI: http://dx.doi.org/10.1086/587734.
- Sone J.M., Gardiner T.A., Teben P., Hawley J.F., Simon J.B. Athena: a new code for astrophysical MHD // The Astrophysical Journal Supplement Series, 2008, vol. 178, no. 1, p. 137. DOI: https://doi.org/10.1086/588755.
Дополнительные файлы




