Процедура оптимизации технологии выравнивания профиля приемистости

Обложка

Цитировать

Полный текст

Аннотация

Статья посвящена разработке процедуры оптимизации технологии выравнивания профиля приемистости. В настоящее время, в связи со значительной долей пластов с высокой обводненностью актуально использовать методы, позволяющие снизить темпы прироста обводненности добычи и продлить период рентабельной эксплуатации скважин. Одним из наиболее распространенных способов сделать это является технология выравнивания профиля приемистости путем закачки суспензии в пласт. Классическая модель глубокого проникновения суспензии в пористую среду хорошо зарекомендовала себя для расчета технологических параметров обработки, но на сегодняшний день она не содержит критериев оптимизации процесса. Введение таких критериев и их физическое обоснование являются целью данной работы. Были поставлены следующие задачи: модификация классической модели глубокого проникновения суспензии в пористую среду для слоисто-неоднородного пласта, введение критериев эффективности обработки суспензией и оптимизация процесса. Математическая модель состоит из законов сохранения массы дисперсных частиц в потоке и в удержанном состоянии, а также из закона Дарси. Исходные данные были выбраны для одного из месторождений в Западной Сибири, где была проведена закачка суспензии. Проанализирован промысловый опыт закачки суспензии, определены скважины, где обработка прошла успешно. Введен новый критерий эффективности выравнивания профиля приемистости. Этот критерий представляет собой разницу в среднеквадратичных отклонениях скорости потока вдоль пропластков до и после обработки. Установлено, что это различие более выраженно демонстрирует выравнивания профиля приемистости, чем классический критерий Дикстры — Парсонса. Процедура оптимизации позволяет оценить необходимый объем закачиваемой суспензии, обеспечивающий максимальное перераспределение профиля приемистости. 

Полный текст

Введение

Контроль обводненности включает снижение пористости при закачке и добыче [1] в коллекторе, поддержание пластового давления, снижение обводненности добываемой продукции [2]. Решение последней проблемы является самым сложным. Оно осуществляется как со стороны нагнетательной скважины, так и со стороны добывающей. Обработка со стороны нагнетательной скважины называется технологией выравнивания профиля приемистости. Снижение обводненности добывающих скважин называется мероприятиями по снижению риска прорыва воды [3].

Статья посвящена теоретическому анализу применения технологии выравнивания профиля приемистости (ВПП) [4; 5]. На практике ВПП включает в себя решение двух проблем: выравнивание профиля приемистости по вертикали и улучшение горизонтального охвата пласта заводнением. Первая проблема решается путем закачки химических веществ, которые перераспределяют вертикальный профиль приемистости или уменьшают расход воды в высокопроницаемых [6] пропластках и перенаправляют поток воды в низкопроницаемые. Решение второй проблемы осуществляется перераспределением закачиваемой воды между окружающими добывающими скважинами или отклонением потоков в боковом направлении. Обе обработки приводят к снижению обводненности у окружающих скважин. Это позволяет снизить обводненность после обработки от 3 до 7 %, а эффект исчезает через 1 MathType@MTEF@5@5@+= feaahqart1ev3aqatCvAUfeBSjuyZL2yd9gzLbvyNv2CaerbuLwBLn hiov2DGi1BTfMBaeXatLxBI9gBamXvP5wqonvsaeHbd9wDYLwzYnev ubqee0evGueE0jxyaibaieYlf9irVeeu0dXdh9vqqj=hEeeu0xXdbb a9frFj0=OqFfea0dXdd9vqaq=JfrVkFHe9pgea0dXdar=Jb9hs0dXd bPYxe9vr0=vr0=vqpWqaaeaabiGaciaacaqabeaadaqaaqaaaOqaae rbdfgBPjMCPbacfaqcLbyaqaaaaaaaaaWdbiaa=nbiaaa@3C9E@ 7 месяцев [7].

Традиционная технология ВПП включает закачку водного раствора полимера с гелирующими агентами [8 MathType@MTEF@5@5@+= feaahqart1ev3aqatCvAUfeBSjuyZL2yd9gzLbvyNv2CaerbuLwBLn hiov2DGi1BTfMBaeXatLxBI9gBamXvP5wqonvsaeHbd9wDYLwzYnev ubqee0evGueE0jxyaibaieYlf9irVeeu0dXdh9vqqj=hEeeu0xXdbb a9frFj0=OqFfea0dXdd9vqaq=JfrVkFHe9pgea0dXdar=Jb9hs0dXd bPYxe9vr0=vr0=vqpWqaaeaabiGaciaacaqabeaadaqaaqaaaOqaae rbdfgBPjMCPbacfaqcLbyaqaaaaaaaaaWdbiaa=nbiaaa@3C9E@ 10]. Распространенными гелирующими агентами являются поливалентные металлы, такие как ацетат хрома [11], цитрат алюминия [12]. Основным недостатком такой технологии является ограничение критической температурой и концентрациями солей, приводящими к разрушению полимера. В диапазоне температур выше 60 MathType@MTEF@5@5@+= feaahqart1ev3aaatCvAUfeBSjuyZL2yd9gzLbvyNv2CaerbuLwBLn hiov2DGi1BTfMBaeXatLxBI9gBamXvP5wqonvsaeHbd9wDYLwzYnev ubqee0evGueE0jxyaibaieYlf9irVeeu0dXdh9vqqj=hEeeu0xXdbb a9frFj0=OqFfea0dXdd9vqaq=JfrVkFHe9pgea0dXdar=Jb9hs0dXd bPYxe9vr0=vr0=vqpWqaaeaabiGaciaacaqabeaadaqaaqaaaOqaai aaiAdacaaIWaGaaGiiamaaCaaaleqabaGaeSigI8gaaaaa@3B8C@  C молекулы полимера гидролизованного полиакриламида (ПАА) [13] начинают разрушаться. Поэтому для высокотемпературных пластов неорганический гель на основе хлорида алюминия был предложен специалистами из Томска [14]. На практике применение силикагелей широко распространено при добыче нефти в Западной Сибири. Эта технология включает закачку силиката натрия с соляной кислотой или другими гелирующими агентами. Продуктом этой реакции является гель кремниевой кислоты. Преимущества этой технологии заключаются в использовании недорогих агентов, простоте приготовления реагентов, управлении периодом реакции с помощью концентрации кислоты и разрушении оторочки щелочью в случае неудачных обработок [15].

Иной подход разработан китайскими учеными [16]. Они предложили применять так называемый гель с предварительно сформованными частицами (Preformed Particle Gel (PPG)) [17 MathType@MTEF@5@5@+= feaahqart1ev3aqatCvAUfeBSjuyZL2yd9gzLbvyNv2CaerbuLwBLn hiov2DGi1BTfMBaeXatLxBI9gBamXvP5wqonvsaeHbd9wDYLwzYnev ubqee0evGueE0jxyaibaieYlf9irVeeu0dXdh9vqqj=hEeeu0xXdbb a9frFj0=OqFfea0dXdd9vqaq=JfrVkFHe9pgea0dXdar=Jb9hs0dXd bPYxe9vr0=vr0=vqpWqaaeaabiGaciaacaqabeaadaqaaqaaaOqaae rbdfgBPjMCPbacfaqcLbyaqaaaaaaaaaWdbiaa=nbiaaa@3C9E@ 19] или полимерный гель с коллоидной или микроэмульсионной структурой. Основными свойствами PPG являются способность набухать в воде с задержкой от 3 до 6 месяцев и проникновение в пористую породу с пустотами меньше размера частиц [20]. Эти свойства позволяют осуществлять глубокое проникновение PPG и закупоривать высокопроницаемые участки вдали от скважины.

Другим подходом к разработке блокирующих составов является применение суспензий и коллоидных растворов [21]. Глинистые коллоиды и мелкие частицы мела или древесной муки стабилизируются в воде полимером или полимерным гелем [22]. Некоторые авторы называют эту стабилизацию суспензии термином "флокуляция частиц с молекулами полимера" [23]. Смесь частиц относительно большого размера и полимерного геля со скоплением небольших молекул проникает и закупоривает узкие поры, а также естественные трещины [21].

Механизмы ВПП путем закачки геля или суспензии следующие. Образование геля на месте начинается с момента приготовления смеси полимера и сшивающего агента. Гелирующая жидкость проникает в неоднородные слои в соответствии с их проницаемостью: если два пропластка одинаковой толщины отличаются по проницаемости в два раза, то объем геля в пропластке с высокой проницаемостью в два раза больше, чем в слое с низкой проницаемостью. Время гелеобразования составляет несколько часов и обеспечивает закачку раствора и проникновение в призабойную зону. Полное гелеобразование происходит во время остановки скважины на несколько часов. Закупорка части порового пространства уменьшает не только пористость, но и проницаемость в соответствии с формулой Козени MathType@MTEF@5@5@+= feaahqart1ev3aqatCvAUfeBSjuyZL2yd9gzLbvyNv2CaerbuLwBLn hiov2DGi1BTfMBaeXatLxBI9gBamXvP5wqonvsaeHbd9wDYLwzYnev ubqee0evGueE0jxyaibaieYlf9irVeeu0dXdh9vqqj=hEeeu0xXdbb a9frFj0=OqFfea0dXdd9vqaq=JfrVkFHe9pgea0dXdar=Jb9hs0dXd bPYxe9vr0=vr0=vqpWqaaeaabiGaciaacaqabeaadaqaaqaaaOqaae rbdfgBPjMCPbacfaqcLbyaqaaaaaaaaaWdbiaa=rbiaaa@3C9F@  Кармана [23]. Это является причиной селективного закупоривания разнородных пластов.

Фильтрация суспензии в пласте рассматривается в рамках теории глубокого проникновения суспензии в пористую среду [24]. Согласно этой теории, максимальное удерживание частиц происходит очень близко к нагнетательной скважине. Когда пустота полностью заполняется удержанными частицами, на поверхности ствола скважины начинает образовываться осадок. Проницаемость пористых сред определяется распределением пор по размерам. Удерживание частиц изменяет это распределение, а также способность пористой среды к удерживанию и остаточную проницаемость. Эффект перераспределения размеров пор после оседания частиц описан в рамках модели, предложенной в работе [25].

Основная цель ВПП MathType@MTEF@5@5@+= feaahqart1ev3aqatCvAUfeBSjuyZL2yd9gzLbvyNv2CaerbuLwBLn hiov2DGi1BTfMBaeXatLxBI9gBamXvP5wqonvsaeHbd9wDYLwzYnev ubqee0evGueE0jxyaibaieYlf9irVeeu0dXdh9vqqj=hEeeu0xXdbb a9frFj0=OqFfea0dXdd9vqaq=JfrVkFHe9pgea0dXdar=Jb9hs0dXd bPYxe9vr0=vr0=vqpWqaaeaabiGaciaacaqabeaadaqaaqaaaOqaae rbdfgBPjMCPbacfaqcLbyaqaaaaaaaaaWdbiaa=nbiaaa@3C9E@  уменьшить обводненность окружающих добывающих скважин. Эффект достигается за счет двух механизмов: первый заключается в обеспечении максимального перераспределения профиля приемистости нагнетательной скважины, второй MathType@MTEF@5@5@+= feaahqart1ev3aqatCvAUfeBSjuyZL2yd9gzLbvyNv2CaerbuLwBLn hiov2DGi1BTfMBaeXatLxBI9gBamXvP5wqonvsaeHbd9wDYLwzYnev ubqee0evGueE0jxyaibaieYlf9irVeeu0dXdh9vqqj=hEeeu0xXdbb a9frFj0=OqFfea0dXdd9vqaq=JfrVkFHe9pgea0dXdar=Jb9hs0dXd bPYxe9vr0=vr0=vqpWqaaeaabiGaciaacaqabeaadaqaaqaaaOqaae rbdfgBPjMCPbacfaqcLbyaqaaaaaaaaaWdbiaa=nbiaaa@3C9E@  в реакции окружающих скважин на перераспределение потоков. Первый механизм зависит от перераспределения профиля и снижения приемистости; задача оптимизации может быть сформулирована как достижение максимального выравнивания профиля приемистости при минимальном ее снижении. Статья посвящена решению этой проблемы в рамках оптимизации объема оторочки и концентрации суспензии [26].

Второй механизм зависит от размера и геометрии пласта, неоднородности проницаемости и местных подвижных запасов нефти, а также текущей обводненности. Точное решение второй задачи определяется численным моделированием окружающей сетки добывающих скважин и сопоставлением истории с текущим состоянием профиля добычи. Это обычная, но отнимающая много времени и дорогостоящая задача. Авторы разрабатывают упрощенный подход к решению второй задачи, в котором параметры перераспределения профиля приемистости нагнетательной скважины транслируются на окружающие добывающие скважины без построения геологической модели. Результаты этого исследования будут опубликованы в ближайшее время.

Классическая модель глубокого проникновения суспензии в пористую среду [24] хорошо зарекомендовала себя для расчета технологических параметров обработки, но на сегодняшний день она не содержит критериев оптимизации процесса. Введение таких критериев и их физическое обоснование являются целью данной работы. Были поставлены следующие задачи: модификация классической модели глубокого проникновения суспензии в пористую среду для слоисто-неоднородного пласта, введение критериев эффективности обработки суспензией и оптимизация процесса, которая проводится впервые.

 1. Анализ промыслового опыта закачки суспензии в пласт

Рассматриваемое месторождение расположено на юге Западной Сибири и обладает хорошими фильтрационно-емкостными свойствами. Средние значения пористости и проницаемости для месторождения составляют 18 % и 158 мД (1 Д = MathType@MTEF@5@5@+= feaahqart1ev3aaatCvAUfeBSjuyZL2yd9gzLbvyNv2CaerbuLwBLn hiov2DGi1BTfMBaeXatLxBI9gBamXvP5wqonvsaeHbd9wDYLwzYnev ubqee0evGueE0jxyaibaieYlf9irVeeu0dXdh9vqqj=hEeeu0xXdbb a9frFj0=OqFfea0dXdd9vqaq=JfrVkFHe9pgea0dXdar=Jb9hs0dXd bPYxe9vr0=vr0=vqpWqaaeaabiGaciaacaqabeaadaqaaqaaaOqaai aai2daaaa@38C8@   10 12 MathType@MTEF@5@5@+= feaahqart1ev3aaatCvAUfeBSjuyZL2yd9gzLbvyNv2CaerbuLwBLn hiov2DGi1BTfMBaeXatLxBI9gBamXvP5wqonvsaeHbd9wDYLwzYnev ubqee0evGueE0jxyaibaieYlf9irVeeu0dXdh9vqqj=hEeeu0xXdbb a9frFj0=OqFfea0dXdd9vqaq=JfrVkFHe9pgea0dXdar=Jb9hs0dXd bPYxe9vr0=vr0=vqpWqaaeaabiGaciaacaqabeaadaqaaqaaaOqaai aaigdacaaIWaWaaWbaaSqabeaacqGHsislcaaIXaGaaGOmaaaaaaa@3C07@  м2). В то же время при средней общей толщине 15 м пласт состоит примерно из 12 пропластков с проницаемостью от 0,4 мД до 1,2 Д. Заводнение является основной технологией добычи нефти на месторождении, элементом разработки является семиточечная схема. Вертикальная неоднородность пласта является причиной значительного обводнения добываемой продукции на ранних стадиях добычи. На сегодняшний день средняя обводненность составляет 60 % со значительным изменением от скважины к скважине.

Контроль заводнения обеспечивался применением технологии ВПП. Большинство нагнетательных скважин подверглись гидравлическому разрыву, остальные скважины также демонстрируют наличие автогидравлических разрывов (инициирование трещин при превышении давления гидроразрыва пласта), в среднем скин-фактор нагнетательных скважин составляет около MathType@MTEF@5@5@+= feaahqart1ev3aqatCvAUfeBSjuyZL2yd9gzLbvyNv2CaerbuLwBLn hiov2DGi1BTfMBaeXatLxBI9gBamXvP5wqonvsaeHbd9wDYLwzYnev ubqee0evGueE0jxyaibaieYlf9irVeeu0dXdh9vqqj=hEeeu0xXdbb a9frFj0=OqFfea0dXdd9vqaq=JfrVkFHe9pgea0dXdar=Jb9hs0dXd bPYxe9vr0=vr0=vqpWqaaeaabiGaciaacaqabeaadaqaaqaaaOqaae rbdfgBPjMCPbacfaqcLbyaqaaaaaaaaaWdbiaa=nbiaaa@3C9E@  4. Обработка включает закачку суспензий бентонитовой глины и мела, стабилизированных полимером, в нагнетательные скважины. Предполагаемые размеры частиц составляли от 2 до 4 мкм для глины и от 6 до 8 мкм для частиц мела. Концентрация частиц в суспензиях составляла от 2 до 4 %. Средняя концентрация полимера в растворе составляла 0,5 % в глине и 0,25 % в меловых суспензиях.

На рассматриваемом объекте 50 нагнетательных скважин были обработаны суспензионными смесями. В 26 нагнетательных скважин была закачана глинистая суспензия, остальные обработаны меловой суспензией. Средний объем закачки составил 1100 м3 с колебаниями в зависимости от скважины от 400 до 2000 м3. Количество реагирующих добывающих скважин на обработку составляло в среднем 4. В результате воздействия средний прирост добычи за одну обработку составил 2,16 тыс. тонн нефти. Удельный (на единицу толщины пласта) объем закачки оставался примерно постоянным.

Дополнительная нефть была извлечена в ходе 45 обработок. К сожалению, только 28 из 50 скважин имеют результаты интерпретации данных геофизических исследований скважин (ГИС).

Согласно теоретическим представлениям, приемистость обработанной скважины уменьшается пропорционально объему закачиваемого агента. Анализ этой функции представлен на рис. 1. На нем обозначены две группы скважин. В первой группе падение приемистости составляет менее 15 %. Эта группа включает 16 нагнетательных скважин, по которым имеются петрофизические данные, вторая группа состоит из 12 скважин с данными ГИС. Для последней группы снижение эффективности закачки пропорционально объему закачиваемого реагента, для первой группы корреляция не отображается. По мнению авторов, в скважинах с небольшим падением приемистости во время обработки было превышено давление разрыва пласта и увеличена длина трещины. Таким образом, эффект блокирования пор в этих скважинах уменьшается. Следствие этого суждения приводит к практическому выводу о том, что во время обработки следует контролировать давление в скважине, чтобы избежать ее удлинения.

 

Рис. 1. Зависимость снижения приемистости обработанных скважин от удельного объема закачки реагента для двух групп нагнетательных скважин с небольшим (<=15 %) и большим (>15 %) снижением приемистости

Fig. 1. Injectivity decrease in treated wells vs. specific reagent injection volume for two groups of injectors with small (<=15 %) and large (>15 %) injectivity drop

 

Для дальнейших расчетов и анализа были выбраны четыре скважины из второй группы. Петрофизические данные по этим скважинам приведены в табл. 1. Характеристики обработки и параметры результатов закачки были представлены в табл. 2.

 

Таблица 1.  Петрофизические данные для выбранных скважин

Table 1. Petrophysical data for selected wells 

Номер

 Пористость,

 Проницаемость,

 Толщина,

скважины

 пропластка, %

 пропластка, мД

 пропластка, м

 

 23,6

 1213

 1,3

 

 20,9

 371

 1,4

 

 18,9

 52

 4,7

 

 20,1

 106

 1,6

 

 19,6

 135

 1,3

 

 15,8

 15

 0,9

 

 20,0

 262

 1,3

 

 21,9

 558

 1,7

 

 21,2

 186

 0,7

 

 20,9

 352

 1,1

 

 18,2

 63

 1,3

 

 18,8

 57

 3,2

 

 14,1

 2

 0,9

 

 17,2

 49

 0,5

 

 23,2

 1034

 1,0

 

 19,7

 204

 0,4

 

 16,4

 10

 2,4

 

 17,4

 18

 2,8

 

 15,3

 4

 1,8

 

 16,7

 41

 0,4

 

 22,2

 667

 1,1

 

 17,5

 19

 1,1

 

 21,0

 393

 3,3

 

 20,2

 245

 0,9

 

 17,7

 20

 0,5

 

 17,3

 35

 0,7

 

 16,6

 11

 0,6

 

 16,7

 40

 1,0

 

 16,7

 12

 1,3

 

 17,8

 79

 0,8

 

 14,7

 2

 0,6

 

 15,6

 5

 0,7

 

 14,4

 2

 2,1

 

 15,7

 7

 0,9

 

 13,8

 1

 1,2

 

 12,9

 1

 0,5

 

 16,9

 16

 0,4

 

 18,8

 47

 0,6

 

 20,8

 342

 3,1

 

 18,7

 50

 1,6

 

 15,0

 4

 1,3

 

 19,0

 96

 0,5

 

 19,9

 253

 0,7

 

 16,1

 8

 1,4

 

 15,3

 5

 1,8

 

 20,5

 294

 2,3

 

 17,0

 39

 0,8

 

Таблица 2. Характеристики обработки и ее эффективности

Table 2.  Treatment characteristics and its efficiency

Характеристики

 2092

 2328

 2447

 2547

Концентрация суспензии и тип частиц

 2   % бентонитовая глина

 2   % бентонитовая глина

 3   % бентонитовая глина

 4 % мел

Концентрация полимера

 0,5 %

 0,5 %

 0,5 %

 0,25 %

Удельный объем закачки (на единицу толщины пласта), м3

 68

 71

 58

 107

Падение приемистости скважины после обработки

 22 %

 37 %

 12 %

 46 %

Дополнительная добыча нефти, тыс. т

 1,06 %

 0,17 %

 0,66 %

 2,15 %

 

2.Модификация модели глубокого проникновения суспензии в пористую среду для слоисто-неоднородного пласта

 Существующая модель глубокого проникновения суспензии в пористую среду [27] модифицируется для слоисто-неоднородного пласта, состоящего из n MathType@MTEF@5@5@+= feaahqart1ev3aaatCvAUfeBSjuyZL2yd9gzLbvyNv2CaerbuLwBLn hiov2DGi1BTfMBaeXatLxBI9gBamXvP5wqonvsaeHbd9wDYLwzYnev ubqee0evGueE0jxyaibaieYlf9irVeeu0dXdh9vqqj=hEeeu0xXdbb a9frFj0=OqFfea0dXdd9vqaq=JfrVkFHe9pgea0dXdar=Jb9hs0dXd bPYxe9vr0=vr0=vqpWqaaeaabiGaciaacaqabeaadaqaaqaaaOqaai aad6gaaaa@38F4@  изолированных пропластков. Интервал времени вертикальных перетоков значительно превышает время закачки оторочки суспензии объемом менее тысячи кубических метров. Таким образом, предположение об изолированных слоях является достаточным допущением для рассматриваемого процесса [26]. Уравнения, из которых состоит модель, являются следующими [24]:

              m i C i t + u i C i x =λ u i C i , σ i t =λ u i C i , u i = k i μ(1+β σ i ) p x , MathType@MTEF@5@5@+= feaahqart1ev3aaatCvAUfeBSjuyZL2yd9gzLbvyNv2CaerbuLwBLn hiov2DGi1BTfMBaeXatLxBI9gBamXvP5wqonvsaeHbd9wDYLwzYnev ubqee0evGueE0jxyaibaieYlf9irVeeu0dXdh9vqqj=hEeeu0xXdbb a9frFj0=OqFfea0dXdd9vqaq=JfrVkFHe9pgea0dXdar=Jb9hs0dXd bPYxe9vr0=vr0=vqpWqaaeaabiGaciaacaqabeaadaqaaqaaaOqaam aalaaabaGaeyOaIyRaamyBamaaBaaaleaacaWGPbaabeaakiaadoea daWgaaWcbaGaamyAaaqabaaakeaacqGHciITcaWG0baaaiabgUcaRi aadwhadaWgaaWcbaGaamyAaaqabaGcdaWcaaqaaiabgkGi2kaadoea daWgaaWcbaGaamyAaaqabaaakeaacqGHciITcaWG4baaaiaai2dacq GHsislcqaH7oaBcaWG1bWaaSbaaSqaaiaadMgaaeqaaOGaam4qamaa BaaaleaacaWGPbaabeaakiaaiYcacaaMf8UaaGzbVpaalaaabaGaey OaIyRaeq4Wdm3aaSbaaSqaaiaadMgaaeqaaaGcbaGaeyOaIyRaamiD aaaacaaI9aGaeq4UdWMaamyDamaaBaaaleaacaWGPbaabeaakiaado eadaWgaaWcbaGaamyAaaqabaGccaaISaGaaGzbVlaaywW7caWG1bWa aSbaaSqaaiaadMgaaeqaaOGaaGypaiabgkHiTmaalaaabaGaam4Aam aaBaaaleaacaWGPbaabeaaaOqaaiabeY7aTjaaiIcacaaIXaGaey4k aSIaeqOSdiMaeq4Wdm3aaSbaaSqaaiaadMgaaeqaaOGaaGykaaaada WcaaqaaiabgkGi2kaadchaaeaacqGHciITcaWG4baaaiaaiYcaaaa@79AE@                    (1)

 где m i MathType@MTEF@5@5@+= feaahqart1ev3aaatCvAUfeBSjuyZL2yd9gzLbvyNv2CaerbuLwBLn hiov2DGi1BTfMBaeXatLxBI9gBamXvP5wqonvsaeHbd9wDYLwzYnev ubqee0evGueE0jxyaibaieYlf9irVeeu0dXdh9vqqj=hEeeu0xXdbb a9frFj0=OqFfea0dXdd9vqaq=JfrVkFHe9pgea0dXdar=Jb9hs0dXd bPYxe9vr0=vr0=vqpWqaaeaabiGaciaacaqabeaadaqaaqaaaOqaai aad2gadaWgaaWcbaGaamyAaaqabaaaaa@3A0D@   MathType@MTEF@5@5@+= feaahqart1ev3aqatCvAUfeBSjuyZL2yd9gzLbvyNv2CaerbuLwBLn hiov2DGi1BTfMBaeXatLxBI9gBamXvP5wqonvsaeHbd9wDYLwzYnev ubqee0evGueE0jxyaibaieYlf9irVeeu0dXdh9vqqj=hEeeu0xXdbb a9frFj0=OqFfea0dXdd9vqaq=JfrVkFHe9pgea0dXdar=Jb9hs0dXd bPYxe9vr0=vr0=vqpWqaaeaabiGaciaacaqabeaadaqaaqaaaOqaae rbdfgBPjMCPbacfaqcLbyaqaaaaaaaaaWdbiaa=nbiaaa@3C9E@  пористость, C i MathType@MTEF@5@5@+= feaahqart1ev3aaatCvAUfeBSjuyZL2yd9gzLbvyNv2CaerbuLwBLn hiov2DGi1BTfMBaeXatLxBI9gBamXvP5wqonvsaeHbd9wDYLwzYnev ubqee0evGueE0jxyaibaieYlf9irVeeu0dXdh9vqqj=hEeeu0xXdbb a9frFj0=OqFfea0dXdd9vqaq=JfrVkFHe9pgea0dXdar=Jb9hs0dXd bPYxe9vr0=vr0=vqpWqaaeaabiGaciaacaqabeaadaqaaqaaaOqaai aadoeadaWgaaWcbaGaamyAaaqabaaaaa@39E3@   MathType@MTEF@5@5@+= feaahqart1ev3aqatCvAUfeBSjuyZL2yd9gzLbvyNv2CaerbuLwBLn hiov2DGi1BTfMBaeXatLxBI9gBamXvP5wqonvsaeHbd9wDYLwzYnev ubqee0evGueE0jxyaibaieYlf9irVeeu0dXdh9vqqj=hEeeu0xXdbb a9frFj0=OqFfea0dXdd9vqaq=JfrVkFHe9pgea0dXdar=Jb9hs0dXd bPYxe9vr0=vr0=vqpWqaaeaabiGaciaacaqabeaadaqaaqaaaOqaae rbdfgBPjMCPbacfaqcLbyaqaaaaaaaaaWdbiaa=nbiaaa@3C9E@  объемная концентрация частиц в потоке, t MathType@MTEF@5@5@+= feaahqart1ev3aaatCvAUfeBSjuyZL2yd9gzLbvyNv2CaerbuLwBLn hiov2DGi1BTfMBaeXatLxBI9gBamXvP5wqonvsaeHbd9wDYLwzYnev ubqee0evGueE0jxyaibaieYlf9irVeeu0dXdh9vqqj=hEeeu0xXdbb a9frFj0=OqFfea0dXdd9vqaq=JfrVkFHe9pgea0dXdar=Jb9hs0dXd bPYxe9vr0=vr0=vqpWqaaeaabiGaciaacaqabeaadaqaaqaaaOqaai aadshaaaa@38FA@   MathType@MTEF@5@5@+= feaahqart1ev3aqatCvAUfeBSjuyZL2yd9gzLbvyNv2CaerbuLwBLn hiov2DGi1BTfMBaeXatLxBI9gBamXvP5wqonvsaeHbd9wDYLwzYnev ubqee0evGueE0jxyaibaieYlf9irVeeu0dXdh9vqqj=hEeeu0xXdbb a9frFj0=OqFfea0dXdd9vqaq=JfrVkFHe9pgea0dXdar=Jb9hs0dXd bPYxe9vr0=vr0=vqpWqaaeaabiGaciaacaqabeaadaqaaqaaaOqaae rbdfgBPjMCPbacfaqcLbyaqaaaaaaaaaWdbiaa=nbiaaa@3C9E@  время, u i MathType@MTEF@5@5@+= feaahqart1ev3aaatCvAUfeBSjuyZL2yd9gzLbvyNv2CaerbuLwBLn hiov2DGi1BTfMBaeXatLxBI9gBamXvP5wqonvsaeHbd9wDYLwzYnev ubqee0evGueE0jxyaibaieYlf9irVeeu0dXdh9vqqj=hEeeu0xXdbb a9frFj0=OqFfea0dXdd9vqaq=JfrVkFHe9pgea0dXdar=Jb9hs0dXd bPYxe9vr0=vr0=vqpWqaaeaabiGaciaacaqabeaadaqaaqaaaOqaai aadwhadaWgaaWcbaGaamyAaaqabaaaaa@3A15@   MathType@MTEF@5@5@+= feaahqart1ev3aqatCvAUfeBSjuyZL2yd9gzLbvyNv2CaerbuLwBLn hiov2DGi1BTfMBaeXatLxBI9gBamXvP5wqonvsaeHbd9wDYLwzYnev ubqee0evGueE0jxyaibaieYlf9irVeeu0dXdh9vqqj=hEeeu0xXdbb a9frFj0=OqFfea0dXdd9vqaq=JfrVkFHe9pgea0dXdar=Jb9hs0dXd bPYxe9vr0=vr0=vqpWqaaeaabiGaciaacaqabeaadaqaaqaaaOqaae rbdfgBPjMCPbacfaqcLbyaqaaaaaaaaaWdbiaa=nbiaaa@3C9E@  скорость фильтрации, x MathType@MTEF@5@5@+= feaahqart1ev3aaatCvAUfeBSjuyZL2yd9gzLbvyNv2CaerbuLwBLn hiov2DGi1BTfMBaeXatLxBI9gBamXvP5wqonvsaeHbd9wDYLwzYnev ubqee0evGueE0jxyaibaieYlf9irVeeu0dXdh9vqqj=hEeeu0xXdbb a9frFj0=OqFfea0dXdd9vqaq=JfrVkFHe9pgea0dXdar=Jb9hs0dXd bPYxe9vr0=vr0=vqpWqaaeaabiGaciaacaqabeaadaqaaqaaaOqaai aadIhaaaa@38FE@   MathType@MTEF@5@5@+= feaahqart1ev3aqatCvAUfeBSjuyZL2yd9gzLbvyNv2CaerbuLwBLn hiov2DGi1BTfMBaeXatLxBI9gBamXvP5wqonvsaeHbd9wDYLwzYnev ubqee0evGueE0jxyaibaieYlf9irVeeu0dXdh9vqqj=hEeeu0xXdbb a9frFj0=OqFfea0dXdd9vqaq=JfrVkFHe9pgea0dXdar=Jb9hs0dXd bPYxe9vr0=vr0=vqpWqaaeaabiGaciaacaqabeaadaqaaqaaaOqaae rbdfgBPjMCPbacfaqcLbyaqaaaaaaaaaWdbiaa=nbiaaa@3C9E@  горизонтальная координата, λ MathType@MTEF@5@5@+= feaahqart1ev3aaatCvAUfeBSjuyZL2yd9gzLbvyNv2CaerbuLwBLn hiov2DGi1BTfMBaeXatLxBI9gBamXvP5wqonvsaeHbd9wDYLwzYnev ubqee0evGueE0jxyaibaieYlf9irVeeu0dXdh9vqqj=hEeeu0xXdbb a9frFj0=OqFfea0dXdd9vqaq=JfrVkFHe9pgea0dXdar=Jb9hs0dXd bPYxe9vr0=vr0=vqpWqaaeaabiGaciaacaqabeaadaqaaqaaaOqaai abeU7aSbaa@39B5@   MathType@MTEF@5@5@+= feaahqart1ev3aqatCvAUfeBSjuyZL2yd9gzLbvyNv2CaerbuLwBLn hiov2DGi1BTfMBaeXatLxBI9gBamXvP5wqonvsaeHbd9wDYLwzYnev ubqee0evGueE0jxyaibaieYlf9irVeeu0dXdh9vqqj=hEeeu0xXdbb a9frFj0=OqFfea0dXdd9vqaq=JfrVkFHe9pgea0dXdar=Jb9hs0dXd bPYxe9vr0=vr0=vqpWqaaeaabiGaciaacaqabeaadaqaaqaaaOqaae rbdfgBPjMCPbacfaqcLbyaqaaaaaaaaaWdbiaa=nbiaaa@3C9E@  коэффициент фильтрации, σ i MathType@MTEF@5@5@+= feaahqart1ev3aaatCvAUfeBSjuyZL2yd9gzLbvyNv2CaerbuLwBLn hiov2DGi1BTfMBaeXatLxBI9gBamXvP5wqonvsaeHbd9wDYLwzYnev ubqee0evGueE0jxyaibaieYlf9irVeeu0dXdh9vqqj=hEeeu0xXdbb a9frFj0=OqFfea0dXdd9vqaq=JfrVkFHe9pgea0dXdar=Jb9hs0dXd bPYxe9vr0=vr0=vqpWqaaeaabiGaciaacaqabeaadaqaaqaaaOqaai abeo8aZnaaBaaaleaacaWGPbaabeaaaaa@3ADE@   MathType@MTEF@5@5@+= feaahqart1ev3aqatCvAUfeBSjuyZL2yd9gzLbvyNv2CaerbuLwBLn hiov2DGi1BTfMBaeXatLxBI9gBamXvP5wqonvsaeHbd9wDYLwzYnev ubqee0evGueE0jxyaibaieYlf9irVeeu0dXdh9vqqj=hEeeu0xXdbb a9frFj0=OqFfea0dXdd9vqaq=JfrVkFHe9pgea0dXdar=Jb9hs0dXd bPYxe9vr0=vr0=vqpWqaaeaabiGaciaacaqabeaadaqaaqaaaOqaae rbdfgBPjMCPbacfaqcLbyaqaaaaaaaaaWdbiaa=nbiaaa@3C9E@  объемная концентрация удержанных частиц, k i MathType@MTEF@5@5@+= feaahqart1ev3aaatCvAUfeBSjuyZL2yd9gzLbvyNv2CaerbuLwBLn hiov2DGi1BTfMBaeXatLxBI9gBamXvP5wqonvsaeHbd9wDYLwzYnev ubqee0evGueE0jxyaibaieYlf9irVeeu0dXdh9vqqj=hEeeu0xXdbb a9frFj0=OqFfea0dXdd9vqaq=JfrVkFHe9pgea0dXdar=Jb9hs0dXd bPYxe9vr0=vr0=vqpWqaaeaabiGaciaacaqabeaadaqaaqaaaOqaai aadUgadaWgaaWcbaGaamyAaaqabaaaaa@3A0B@   MathType@MTEF@5@5@+= feaahqart1ev3aqatCvAUfeBSjuyZL2yd9gzLbvyNv2CaerbuLwBLn hiov2DGi1BTfMBaeXatLxBI9gBamXvP5wqonvsaeHbd9wDYLwzYnev ubqee0evGueE0jxyaibaieYlf9irVeeu0dXdh9vqqj=hEeeu0xXdbb a9frFj0=OqFfea0dXdd9vqaq=JfrVkFHe9pgea0dXdar=Jb9hs0dXd bPYxe9vr0=vr0=vqpWqaaeaabiGaciaacaqabeaadaqaaqaaaOqaae rbdfgBPjMCPbacfaqcLbyaqaaaaaaaaaWdbiaa=nbiaaa@3C9E@  проницаемость, μ MathType@MTEF@5@5@+= feaahqart1ev3aaatCvAUfeBSjuyZL2yd9gzLbvyNv2CaerbuLwBLn hiov2DGi1BTfMBaeXatLxBI9gBamXvP5wqonvsaeHbd9wDYLwzYnev ubqee0evGueE0jxyaibaieYlf9irVeeu0dXdh9vqqj=hEeeu0xXdbb a9frFj0=OqFfea0dXdd9vqaq=JfrVkFHe9pgea0dXdar=Jb9hs0dXd bPYxe9vr0=vr0=vqpWqaaeaabiGaciaacaqabeaadaqaaqaaaOqaai abeY7aTbaa@39B7@   MathType@MTEF@5@5@+= feaahqart1ev3aqatCvAUfeBSjuyZL2yd9gzLbvyNv2CaerbuLwBLn hiov2DGi1BTfMBaeXatLxBI9gBamXvP5wqonvsaeHbd9wDYLwzYnev ubqee0evGueE0jxyaibaieYlf9irVeeu0dXdh9vqqj=hEeeu0xXdbb a9frFj0=OqFfea0dXdd9vqaq=JfrVkFHe9pgea0dXdar=Jb9hs0dXd bPYxe9vr0=vr0=vqpWqaaeaabiGaciaacaqabeaadaqaaqaaaOqaae rbdfgBPjMCPbacfaqcLbyaqaaaaaaaaaWdbiaa=nbiaaa@3C9E@  динамическая вязкость суспензии, β MathType@MTEF@5@5@+= feaahqart1ev3aaatCvAUfeBSjuyZL2yd9gzLbvyNv2CaerbuLwBLn hiov2DGi1BTfMBaeXatLxBI9gBamXvP5wqonvsaeHbd9wDYLwzYnev ubqee0evGueE0jxyaibaieYlf9irVeeu0dXdh9vqqj=hEeeu0xXdbb a9frFj0=OqFfea0dXdd9vqaq=JfrVkFHe9pgea0dXdar=Jb9hs0dXd bPYxe9vr0=vr0=vqpWqaaeaabiGaciaacaqabeaadaqaaqaaaOqaai abek7aIbaa@39A2@   MathType@MTEF@5@5@+= feaahqart1ev3aqatCvAUfeBSjuyZL2yd9gzLbvyNv2CaerbuLwBLn hiov2DGi1BTfMBaeXatLxBI9gBamXvP5wqonvsaeHbd9wDYLwzYnev ubqee0evGueE0jxyaibaieYlf9irVeeu0dXdh9vqqj=hEeeu0xXdbb a9frFj0=OqFfea0dXdd9vqaq=JfrVkFHe9pgea0dXdar=Jb9hs0dXd bPYxe9vr0=vr0=vqpWqaaeaabiGaciaacaqabeaadaqaaqaaaOqaae rbdfgBPjMCPbacfaqcLbyaqaaaaaaaaaWdbiaa=nbiaaa@3C9E@  коэффициент повреждения породы, p MathType@MTEF@5@5@+= feaahqart1ev3aaatCvAUfeBSjuyZL2yd9gzLbvyNv2CaerbuLwBLn hiov2DGi1BTfMBaeXatLxBI9gBamXvP5wqonvsaeHbd9wDYLwzYnev ubqee0evGueE0jxyaibaieYlf9irVeeu0dXdh9vqqj=hEeeu0xXdbb a9frFj0=OqFfea0dXdd9vqaq=JfrVkFHe9pgea0dXdar=Jb9hs0dXd bPYxe9vr0=vr0=vqpWqaaeaabiGaciaacaqabeaadaqaaqaaaOqaai aadchaaaa@38F6@   MathType@MTEF@5@5@+= feaahqart1ev3aqatCvAUfeBSjuyZL2yd9gzLbvyNv2CaerbuLwBLn hiov2DGi1BTfMBaeXatLxBI9gBamXvP5wqonvsaeHbd9wDYLwzYnev ubqee0evGueE0jxyaibaieYlf9irVeeu0dXdh9vqqj=hEeeu0xXdbb a9frFj0=OqFfea0dXdd9vqaq=JfrVkFHe9pgea0dXdar=Jb9hs0dXd bPYxe9vr0=vr0=vqpWqaaeaabiGaciaacaqabeaadaqaaqaaaOqaae rbdfgBPjMCPbacfaqcLbyaqaaaaaaaaaWdbiaa=nbiaaa@3C9E@  поровое давление, i MathType@MTEF@5@5@+= feaahqart1ev3aaatCvAUfeBSjuyZL2yd9gzLbvyNv2CaerbuLwBLn hiov2DGi1BTfMBaeXatLxBI9gBamXvP5wqonvsaeHbd9wDYLwzYnev ubqee0evGueE0jxyaibaieYlf9irVeeu0dXdh9vqqj=hEeeu0xXdbb a9frFj0=OqFfea0dXdd9vqaq=JfrVkFHe9pgea0dXdar=Jb9hs0dXd bPYxe9vr0=vr0=vqpWqaaeaabiGaciaacaqabeaadaqaaqaaaOqaai aadMgaaaa@38EF@   MathType@MTEF@5@5@+= feaahqart1ev3aqatCvAUfeBSjuyZL2yd9gzLbvyNv2CaerbuLwBLn hiov2DGi1BTfMBaeXatLxBI9gBamXvP5wqonvsaeHbd9wDYLwzYnev ubqee0evGueE0jxyaibaieYlf9irVeeu0dXdh9vqqj=hEeeu0xXdbb a9frFj0=OqFfea0dXdd9vqaq=JfrVkFHe9pgea0dXdar=Jb9hs0dXd bPYxe9vr0=vr0=vqpWqaaeaabiGaciaacaqabeaadaqaaqaaaOqaae rbdfgBPjMCPbacfaqcLbyaqaaaaaaaaaWdbiaa=nbiaaa@3C9E@  номер пропластка.

После введения безразмерных переменных и критериев подобия:

                          X= x L ,T= qt 2LHl ,Λ=λL, V i = k i H j k j h j , MathType@MTEF@5@5@+= feaahqart1ev3aaatCvAUfeBSjuyZL2yd9gzLbvyNv2CaerbuLwBLn hiov2DGi1BTfMBaeXatLxBI9gBamXvP5wqonvsaeHbd9wDYLwzYnev ubqee0evGueE0jxyaibaieYlf9irVeeu0dXdh9vqqj=hEeeu0xXdbb a9frFj0=OqFfea0dXdd9vqaq=JfrVkFHe9pgea0dXdar=Jb9hs0dXd bPYxe9vr0=vr0=vqpWqaaeaabiGaciaacaqabeaadaqaaqaaaOqaai aadIfacaaI9aWaaSaaaeaacaWG4baabaGaamitaaaacaaISaGaaGzb VlaaywW7caWGubGaaGypamaalaaabaGaamyCaiaadshaaeaacaaIYa GaamitaiaadIeacaWGSbaaaiaaiYcacaaMf8UaaGzbVlabfU5amjaa i2dacqaH7oaBcaWGmbGaaGilaiaaywW7caaMf8UaamOvamaaBaaale aacaWGPbaabeaakiaai2dadaWcaaqaaiaadUgadaWgaaWcbaGaamyA aaqabaGccaWGibaabaWaaabuaeqaleaacaWGQbaabeqdcqGHris5aO Gaam4AamaaBaaaleaacaWGQbaabeaakiaadIgadaWgaaWcbaGaamOA aaqabaaaaOGaaGilaaaa@6055@                                (2)

 где q MathType@MTEF@5@5@+= feaahqart1ev3aaatCvAUfeBSjuyZL2yd9gzLbvyNv2CaerbuLwBLn hiov2DGi1BTfMBaeXatLxBI9gBamXvP5wqonvsaeHbd9wDYLwzYnev ubqee0evGueE0jxyaibaieYlf9irVeeu0dXdh9vqqj=hEeeu0xXdbb a9frFj0=OqFfea0dXdd9vqaq=JfrVkFHe9pgea0dXdar=Jb9hs0dXd bPYxe9vr0=vr0=vqpWqaaeaabiGaciaacaqabeaadaqaaqaaaOqaai aadghaaaa@38F7@   MathType@MTEF@5@5@+= feaahqart1ev3aqatCvAUfeBSjuyZL2yd9gzLbvyNv2CaerbuLwBLn hiov2DGi1BTfMBaeXatLxBI9gBamXvP5wqonvsaeHbd9wDYLwzYnev ubqee0evGueE0jxyaibaieYlf9irVeeu0dXdh9vqqj=hEeeu0xXdbb a9frFj0=OqFfea0dXdd9vqaq=JfrVkFHe9pgea0dXdar=Jb9hs0dXd bPYxe9vr0=vr0=vqpWqaaeaabiGaciaacaqabeaadaqaaqaaaOqaae rbdfgBPjMCPbacfaqcLbyaqaaaaaaaaaWdbiaa=nbiaaa@3C9E@  объемный расход закачанной суспензии, L MathType@MTEF@5@5@+= feaahqart1ev3aaatCvAUfeBSjuyZL2yd9gzLbvyNv2CaerbuLwBLn hiov2DGi1BTfMBaeXatLxBI9gBamXvP5wqonvsaeHbd9wDYLwzYnev ubqee0evGueE0jxyaibaieYlf9irVeeu0dXdh9vqqj=hEeeu0xXdbb a9frFj0=OqFfea0dXdd9vqaq=JfrVkFHe9pgea0dXdar=Jb9hs0dXd bPYxe9vr0=vr0=vqpWqaaeaabiGaciaacaqabeaadaqaaqaaaOqaai aadYeaaaa@38D2@   MathType@MTEF@5@5@+= feaahqart1ev3aqatCvAUfeBSjuyZL2yd9gzLbvyNv2CaerbuLwBLn hiov2DGi1BTfMBaeXatLxBI9gBamXvP5wqonvsaeHbd9wDYLwzYnev ubqee0evGueE0jxyaibaieYlf9irVeeu0dXdh9vqqj=hEeeu0xXdbb a9frFj0=OqFfea0dXdd9vqaq=JfrVkFHe9pgea0dXdar=Jb9hs0dXd bPYxe9vr0=vr0=vqpWqaaeaabiGaciaacaqabeaadaqaaqaaaOqaae rbdfgBPjMCPbacfaqcLbyaqaaaaaaaaaWdbiaa=nbiaaa@3C9E@  характерный размер пласта вблизи трещины, в котором поток близок к плоскопараллельному, H MathType@MTEF@5@5@+= feaahqart1ev3aaatCvAUfeBSjuyZL2yd9gzLbvyNv2CaerbuLwBLn hiov2DGi1BTfMBaeXatLxBI9gBamXvP5wqonvsaeHbd9wDYLwzYnev ubqee0evGueE0jxyaibaieYlf9irVeeu0dXdh9vqqj=hEeeu0xXdbb a9frFj0=OqFfea0dXdd9vqaq=JfrVkFHe9pgea0dXdar=Jb9hs0dXd bPYxe9vr0=vr0=vqpWqaaeaabiGaciaacaqabeaadaqaaqaaaOqaai aadIeaaaa@38CE@   MathType@MTEF@5@5@+= feaahqart1ev3aqatCvAUfeBSjuyZL2yd9gzLbvyNv2CaerbuLwBLn hiov2DGi1BTfMBaeXatLxBI9gBamXvP5wqonvsaeHbd9wDYLwzYnev ubqee0evGueE0jxyaibaieYlf9irVeeu0dXdh9vqqj=hEeeu0xXdbb a9frFj0=OqFfea0dXdd9vqaq=JfrVkFHe9pgea0dXdar=Jb9hs0dXd bPYxe9vr0=vr0=vqpWqaaeaabiGaciaacaqabeaadaqaaqaaaOqaae rbdfgBPjMCPbacfaqcLbyaqaaaaaaaaaWdbiaa=nbiaaa@3C9E@  мощность пласта (суммарная толщина пропластков), l MathType@MTEF@5@5@+= feaahqart1ev3aaatCvAUfeBSjuyZL2yd9gzLbvyNv2CaerbuLwBLn hiov2DGi1BTfMBaeXatLxBI9gBamXvP5wqonvsaeHbd9wDYLwzYnev ubqee0evGueE0jxyaibaieYlf9irVeeu0dXdh9vqqj=hEeeu0xXdbb a9frFj0=OqFfea0dXdd9vqaq=JfrVkFHe9pgea0dXdar=Jb9hs0dXd bPYxe9vr0=vr0=vqpWqaaeaabiGaciaacaqabeaadaqaaqaaaOqaai aadYgaaaa@38F2@   MathType@MTEF@5@5@+= feaahqart1ev3aqatCvAUfeBSjuyZL2yd9gzLbvyNv2CaerbuLwBLn hiov2DGi1BTfMBaeXatLxBI9gBamXvP5wqonvsaeHbd9wDYLwzYnev ubqee0evGueE0jxyaibaieYlf9irVeeu0dXdh9vqqj=hEeeu0xXdbb a9frFj0=OqFfea0dXdd9vqaq=JfrVkFHe9pgea0dXdar=Jb9hs0dXd bPYxe9vr0=vr0=vqpWqaaeaabiGaciaacaqabeaadaqaaqaaaOqaae rbdfgBPjMCPbacfaqcLbyaqaaaaaaaaaWdbiaa=nbiaaa@3C9E@  полудлина трещины (из-за симметрии относительно скважины) [28], h j MathType@MTEF@5@5@+= feaahqart1ev3aaatCvAUfeBSjuyZL2yd9gzLbvyNv2CaerbuLwBLn hiov2DGi1BTfMBaeXatLxBI9gBamXvP5wqonvsaeHbd9wDYLwzYnev ubqee0evGueE0jxyaibaieYlf9irVeeu0dXdh9vqqj=hEeeu0xXdbb a9frFj0=OqFfea0dXdd9vqaq=JfrVkFHe9pgea0dXdar=Jb9hs0dXd bPYxe9vr0=vr0=vqpWqaaeaabiGaciaacaqabeaadaqaaqaaaOqaai aadIgadaWgaaWcbaGaamOAaaqabaaaaa@3A09@   MathType@MTEF@5@5@+= feaahqart1ev3aqatCvAUfeBSjuyZL2yd9gzLbvyNv2CaerbuLwBLn hiov2DGi1BTfMBaeXatLxBI9gBamXvP5wqonvsaeHbd9wDYLwzYnev ubqee0evGueE0jxyaibaieYlf9irVeeu0dXdh9vqqj=hEeeu0xXdbb a9frFj0=OqFfea0dXdd9vqaq=JfrVkFHe9pgea0dXdar=Jb9hs0dXd bPYxe9vr0=vr0=vqpWqaaeaabiGaciaacaqabeaadaqaaqaaaOqaae rbdfgBPjMCPbacfaqcLbyaqaaaaaaaaaWdbiaa=nbiaaa@3C9E@  толщина j MathType@MTEF@5@5@+= feaahqart1ev3aaatCvAUfeBSjuyZL2yd9gzLbvyNv2CaerbuLwBLn hiov2DGi1BTfMBaeXatLxBI9gBamXvP5wqonvsaeHbd9wDYLwzYnev ubqee0evGueE0jxyaibaieYlf9irVeeu0dXdh9vqqj=hEeeu0xXdbb a9frFj0=OqFfea0dXdd9vqaq=JfrVkFHe9pgea0dXdar=Jb9hs0dXd bPYxe9vr0=vr0=vqpWqaaeaabiGaciaacaqabeaadaqaaqaaaOqaai aadQgaaaa@38F0@  -го пропластка, j MathType@MTEF@5@5@+= feaahqart1ev3aaatCvAUfeBSjuyZL2yd9gzLbvyNv2CaerbuLwBLn hiov2DGi1BTfMBaeXatLxBI9gBamXvP5wqonvsaeHbd9wDYLwzYnev ubqee0evGueE0jxyaibaieYlf9irVeeu0dXdh9vqqj=hEeeu0xXdbb a9frFj0=OqFfea0dXdd9vqaq=JfrVkFHe9pgea0dXdar=Jb9hs0dXd bPYxe9vr0=vr0=vqpWqaaeaabiGaciaacaqabeaadaqaaqaaaOqaai aadQgaaaa@38F0@   MathType@MTEF@5@5@+= feaahqart1ev3aqatCvAUfeBSjuyZL2yd9gzLbvyNv2CaerbuLwBLn hiov2DGi1BTfMBaeXatLxBI9gBamXvP5wqonvsaeHbd9wDYLwzYnev ubqee0evGueE0jxyaibaieYlf9irVeeu0dXdh9vqqj=hEeeu0xXdbb a9frFj0=OqFfea0dXdd9vqaq=JfrVkFHe9pgea0dXdar=Jb9hs0dXd bPYxe9vr0=vr0=vqpWqaaeaabiGaciaacaqabeaadaqaaqaaaOqaae rbdfgBPjMCPbacfaqcLbyaqaaaaaaaaaWdbiaa=nbiaaa@3C9E@  номер пропластка, система уравнений принимает следующий вид в безразмерной записи:

                                  C i T + V i m i C i X =Λ V i m i C i , σ i T =Λ V i C i . MathType@MTEF@5@5@+= feaahqart1ev3aaatCvAUfeBSjuyZL2yd9gzLbvyNv2CaerbuLwBLn hiov2DGi1BTfMBaeXatLxBI9gBamXvP5wqonvsaeHbd9wDYLwzYnev ubqee0evGueE0jxyaibaieYlf9irVeeu0dXdh9vqqj=hEeeu0xXdbb a9frFj0=OqFfea0dXdd9vqaq=JfrVkFHe9pgea0dXdar=Jb9hs0dXd bPYxe9vr0=vr0=vqpWqaaeaabiGaciaacaqabeaadaqaaqaaaOqaam aalaaabaGaeyOaIyRaam4qamaaBaaaleaacaWGPbaabeaaaOqaaiab gkGi2kaadsfaaaGaey4kaSYaaSaaaeaacaWGwbWaaSbaaSqaaiaadM gaaeqaaaGcbaGaamyBamaaBaaaleaacaWGPbaabeaaaaGcdaWcaaqa aiabgkGi2kaadoeadaWgaaWcbaGaamyAaaqabaaakeaacqGHciITca WGybaaaiaai2dacqGHsislcqqHBoatdaWcaaqaaiaadAfadaWgaaWc baGaamyAaaqabaaakeaacaWGTbWaaSbaaSqaaiaadMgaaeqaaaaaki aadoeadaWgaaWcbaGaamyAaaqabaGccaaISaGaaGzbVlaaywW7daWc aaqaaiabgkGi2kabeo8aZnaaBaaaleaacaWGPbaabeaaaOqaaiabgk Gi2kaadsfaaaGaaGypaiabfU5amjaadAfadaWgaaWcbaGaamyAaaqa baGccaWGdbWaaSbaaSqaaiaadMgaaeqaaOGaaGOlaaaa@62D5@                                        (3)

 

Общий объемный расход закачиваемой суспензионной смеси рассчитывается по формуле

 

                                                      q= 2l j k j h j μ Δp L , MathType@MTEF@5@5@+= feaahqart1ev3aaatCvAUfeBSjuyZL2yd9gzLbvyNv2CaerbuLwBLn hiov2DGi1BTfMBaeXatLxBI9gBamXvP5wqonvsaeHbd9wDYLwzYnev ubqee0evGueE0jxyaibaieYlf9irVeeu0dXdh9vqqj=hEeeu0xXdbb a9frFj0=OqFfea0dXdd9vqaq=JfrVkFHe9pgea0dXdar=Jb9hs0dXd bPYxe9vr0=vr0=vqpWqaaeaabiGaciaacaqabeaadaqaaqaaaOqaai aadghacaaI9aWaaSaaaeaacaaIYaGaamiBamaaqafabeWcbaGaamOA aaqab0GaeyyeIuoakiaadUgadaWgaaWcbaGaamOAaaqabaGccaWGOb WaaSbaaSqaaiaadQgaaeqaaaGcbaGaeqiVd0gaamaalaaabaGaeuiL dqKaamiCaaqaaiaadYeaaaGaaGilaaaa@4867@                                                             (4)

 где Δp MathType@MTEF@5@5@+= feaahqart1ev3aaatCvAUfeBSjuyZL2yd9gzLbvyNv2CaerbuLwBLn hiov2DGi1BTfMBaeXatLxBI9gBamXvP5wqonvsaeHbd9wDYLwzYnev ubqee0evGueE0jxyaibaieYlf9irVeeu0dXdh9vqqj=hEeeu0xXdbb a9frFj0=OqFfea0dXdd9vqaq=JfrVkFHe9pgea0dXdar=Jb9hs0dXd bPYxe9vr0=vr0=vqpWqaaeaabiGaciaacaqabeaadaqaaqaaaOqaai abfs5aejaadchaaaa@3A5C@   MathType@MTEF@5@5@+= feaahqart1ev3aqatCvAUfeBSjuyZL2yd9gzLbvyNv2CaerbuLwBLn hiov2DGi1BTfMBaeXatLxBI9gBamXvP5wqonvsaeHbd9wDYLwzYnev ubqee0evGueE0jxyaibaieYlf9irVeeu0dXdh9vqqj=hEeeu0xXdbb a9frFj0=OqFfea0dXdd9vqaq=JfrVkFHe9pgea0dXdar=Jb9hs0dXd bPYxe9vr0=vr0=vqpWqaaeaabiGaciaacaqabeaadaqaaqaaaOqaae rbdfgBPjMCPbacfaqcLbyaqaaaaaaaaaWdbiaa=nbiaaa@3C9E@  перепад давления вблизи трещины, постоянный до и после обработки.

Безразмерный объем закачки T 0 MathType@MTEF@5@5@+= feaahqart1ev3aaatCvAUfeBSjuyZL2yd9gzLbvyNv2CaerbuLwBLn hiov2DGi1BTfMBaeXatLxBI9gBamXvP5wqonvsaeHbd9wDYLwzYnev ubqee0evGueE0jxyaibaieYlf9irVeeu0dXdh9vqqj=hEeeu0xXdbb a9frFj0=OqFfea0dXdd9vqaq=JfrVkFHe9pgea0dXdar=Jb9hs0dXd bPYxe9vr0=vr0=vqpWqaaeaabiGaciaacaqabeaadaqaaqaaaOqaai aadsfadaWgaaWcbaGaaGimaaqabaaaaa@39C0@  соответствует безразмерному времени закачки и вычисляется из (2) при времени закачки суспензии t 0 MathType@MTEF@5@5@+= feaahqart1ev3aaatCvAUfeBSjuyZL2yd9gzLbvyNv2CaerbuLwBLn hiov2DGi1BTfMBaeXatLxBI9gBamXvP5wqonvsaeHbd9wDYLwzYnev ubqee0evGueE0jxyaibaieYlf9irVeeu0dXdh9vqqj=hEeeu0xXdbb a9frFj0=OqFfea0dXdd9vqaq=JfrVkFHe9pgea0dXdar=Jb9hs0dXd bPYxe9vr0=vr0=vqpWqaaeaabiGaciaacaqabeaadaqaaqaaaOqaai aadshadaWgaaWcbaGaaGimaaqabaaaaa@39E0@ . Начальные и граничные условия для закачки оторочки суспензии, сопровождаемой последующей закачкой воды, следующие:

                                       T=0,0<X<1: C i =0, σ i =0, MathType@MTEF@5@5@+= feaahqart1ev3aaatCvAUfeBSjuyZL2yd9gzLbvyNv2CaerbuLwBLn hiov2DGi1BTfMBaeXatLxBI9gBamXvP5wqonvsaeHbd9wDYLwzYnev ubqee0evGueE0jxyaibaieYlf9irVeeu0dXdh9vqqj=hEeeu0xXdbb a9frFj0=OqFfea0dXdd9vqaq=JfrVkFHe9pgea0dXdar=Jb9hs0dXd bPYxe9vr0=vr0=vqpWqaaeaabiGaciaacaqabeaadaqaaqaaaOqaai aadsfacaaI9aGaaGimaiaaiYcacaaMf8UaaGimaiaaiYdacaWGybGa aGipaiaaigdacaaI6aGaaGzbVlaadoeadaWgaaWcbaGaamyAaaqaba GccaaI9aGaaGimaiaaiYcacaaMf8Uaeq4Wdm3aaSbaaSqaaiaadMga aeqaaOGaaGypaiaaicdacaaISaaaaa@4D9E@                                              (5)

 

      X=0, T 0 >T>0:q= q 0 , C i = C 0 ,X=0,T> T 0 :q= q 1 , C i =0, MathType@MTEF@5@5@+= feaahqart1ev3aaatCvAUfeBSjuyZL2yd9gzLbvyNv2CaerbuLwBLn hiov2DGi1BTfMBaeXatLxBI9gBamXvP5wqonvsaeHbd9wDYLwzYnev ubqee0evGueE0jxyaibaieYlf9irVeeu0dXdh9vqqj=hEeeu0xXdbb a9frFj0=OqFfea0dXdd9vqaq=JfrVkFHe9pgea0dXdar=Jb9hs0dXd bPYxe9vr0=vr0=vqpWqaaeaabiGaciaacaqabeaadaqaaqaaaOqaai aadIfacaaI9aGaaGimaiaaiYcacaaMf8UaamivamaaBaaaleaacaaI Waaabeaakiaai6dacaWGubGaaGOpaiaaicdacaaI6aGaaGzbVlaadg hacaaI9aGaamyCamaaBaaaleaacaaIWaaabeaakiaaiYcacaaMf8Ua am4qamaaBaaaleaacaWGPbaabeaakiaai2dacaWGdbWaaSbaaSqaai aaicdaaeqaaOGaaGilaiaaywW7caaMf8Uaamiwaiaai2dacaaIWaGa aGilaiaaywW7caWGubGaaGOpaiaadsfadaWgaaWcbaGaaGimaaqaba GccaaI6aGaaGzbVlaadghacaaI9aGaamyCamaaBaaaleaacaaIXaaa beaakiaaiYcacaaMf8Uaam4qamaaBaaaleaacaWGPbaabeaakiaai2 dacaaIWaGaaGilaaaa@666E@            (6)

 где q 0 MathType@MTEF@5@5@+= feaahqart1ev3aaatCvAUfeBSjuyZL2yd9gzLbvyNv2CaerbuLwBLn hiov2DGi1BTfMBaeXatLxBI9gBamXvP5wqonvsaeHbd9wDYLwzYnev ubqee0evGueE0jxyaibaieYlf9irVeeu0dXdh9vqqj=hEeeu0xXdbb a9frFj0=OqFfea0dXdd9vqaq=JfrVkFHe9pgea0dXdar=Jb9hs0dXd bPYxe9vr0=vr0=vqpWqaaeaabiGaciaacaqabeaadaqaaqaaaOqaai aadghadaWgaaWcbaGaaGimaaqabaaaaa@39DD@   MathType@MTEF@5@5@+= feaahqart1ev3aqatCvAUfeBSjuyZL2yd9gzLbvyNv2CaerbuLwBLn hiov2DGi1BTfMBaeXatLxBI9gBamXvP5wqonvsaeHbd9wDYLwzYnev ubqee0evGueE0jxyaibaieYlf9irVeeu0dXdh9vqqj=hEeeu0xXdbb a9frFj0=OqFfea0dXdd9vqaq=JfrVkFHe9pgea0dXdar=Jb9hs0dXd bPYxe9vr0=vr0=vqpWqaaeaabiGaciaacaqabeaadaqaaqaaaOqaae rbdfgBPjMCPbacfaqcLbyaqaaaaaaaaaWdbiaa=nbiaaa@3C9E@  расход закачиваемой суспензии на забое нагнетательной скважины, C 0 MathType@MTEF@5@5@+= feaahqart1ev3aaatCvAUfeBSjuyZL2yd9gzLbvyNv2CaerbuLwBLn hiov2DGi1BTfMBaeXatLxBI9gBamXvP5wqonvsaeHbd9wDYLwzYnev ubqee0evGueE0jxyaibaieYlf9irVeeu0dXdh9vqqj=hEeeu0xXdbb a9frFj0=OqFfea0dXdd9vqaq=JfrVkFHe9pgea0dXdar=Jb9hs0dXd bPYxe9vr0=vr0=vqpWqaaeaabiGaciaacaqabeaadaqaaqaaaOqaai aadoeadaWgaaWcbaGaaGimaaqabaaaaa@39AF@   MathType@MTEF@5@5@+= feaahqart1ev3aqatCvAUfeBSjuyZL2yd9gzLbvyNv2CaerbuLwBLn hiov2DGi1BTfMBaeXatLxBI9gBamXvP5wqonvsaeHbd9wDYLwzYnev ubqee0evGueE0jxyaibaieYlf9irVeeu0dXdh9vqqj=hEeeu0xXdbb a9frFj0=OqFfea0dXdd9vqaq=JfrVkFHe9pgea0dXdar=Jb9hs0dXd bPYxe9vr0=vr0=vqpWqaaeaabiGaciaacaqabeaadaqaaqaaaOqaae rbdfgBPjMCPbacfaqcLbyaqaaaaaaaaaWdbiaa=nbiaaa@3C9E@  начальная концентрация частиц суспензии на забое нагнетательной скважины, q 1 MathType@MTEF@5@5@+= feaahqart1ev3aaatCvAUfeBSjuyZL2yd9gzLbvyNv2CaerbuLwBLn hiov2DGi1BTfMBaeXatLxBI9gBamXvP5wqonvsaeHbd9wDYLwzYnev ubqee0evGueE0jxyaibaieYlf9irVeeu0dXdh9vqqj=hEeeu0xXdbb a9frFj0=OqFfea0dXdd9vqaq=JfrVkFHe9pgea0dXdar=Jb9hs0dXd bPYxe9vr0=vr0=vqpWqaaeaabiGaciaacaqabeaadaqaaqaaaOqaai aadghadaWgaaWcbaGaaGymaaqabaaaaa@39DE@   MathType@MTEF@5@5@+= feaahqart1ev3aqatCvAUfeBSjuyZL2yd9gzLbvyNv2CaerbuLwBLn hiov2DGi1BTfMBaeXatLxBI9gBamXvP5wqonvsaeHbd9wDYLwzYnev ubqee0evGueE0jxyaibaieYlf9irVeeu0dXdh9vqqj=hEeeu0xXdbb a9frFj0=OqFfea0dXdd9vqaq=JfrVkFHe9pgea0dXdar=Jb9hs0dXd bPYxe9vr0=vr0=vqpWqaaeaabiGaciaacaqabeaadaqaaqaaaOqaae rbdfgBPjMCPbacfaqcLbyaqaaaaaaaaaWdbiaa=nbiaaa@3C9E@  расход закачки воды, нагнетаемой после оторочки суспензии.

Решение уравнения (3) при начальных (5) и граничных условиях (6) может быть получено методом характеристик после бесконечной (очень продолжительной) закачки воды. Эта процедура приводит к следующему решению для распределения удержанных частиц

 

                                                 σ i =Λ V i C 0 exp(ΛX) T 0 . MathType@MTEF@5@5@+= feaahqart1ev3aaatCvAUfeBSjuyZL2yd9gzLbvyNv2CaerbuLwBLn hiov2DGi1BTfMBaeXatLxBI9gBamXvP5wqonvsaeHbd9wDYLwzYnev ubqee0evGueE0jxyaibaieYlf9irVeeu0dXdh9vqqj=hEeeu0xXdbb a9frFj0=OqFfea0dXdd9vqaq=JfrVkFHe9pgea0dXdar=Jb9hs0dXd bPYxe9vr0=vr0=vqpWqaaeaabiGaciaacaqabeaadaqaaqaaaOqaai abeo8aZnaaBaaaleaacaWGPbaabeaakiaai2dacqqHBoatcaWGwbWa aSbaaSqaaiaadMgaaeqaaOGaam4qamaaBaaaleaacaaIWaaabeaaki GacwgacaGG4bGaaiiCaiaaiIcacqGHsislcqqHBoatcaWGybGaaGyk aiaadsfadaWgaaWcbaGaaGimaaqabaGccaaIUaaaaa@4ADB@                                                       (7)

 

Скорости фильтрации в i MathType@MTEF@5@5@+= feaahqart1ev3aaatCvAUfeBSjuyZL2yd9gzLbvyNv2CaerbuLwBLn hiov2DGi1BTfMBaeXatLxBI9gBamXvP5wqonvsaeHbd9wDYLwzYnev ubqee0evGueE0jxyaibaieYlf9irVeeu0dXdh9vqqj=hEeeu0xXdbb a9frFj0=OqFfea0dXdd9vqaq=JfrVkFHe9pgea0dXdar=Jb9hs0dXd bPYxe9vr0=vr0=vqpWqaaeaabiGaciaacaqabeaadaqaaqaaaOqaai aadMgaaaa@38EF@  -м пропластке до u i0 MathType@MTEF@5@5@+= feaahqart1ev3aaatCvAUfeBSjuyZL2yd9gzLbvyNv2CaerbuLwBLn hiov2DGi1BTfMBaeXatLxBI9gBamXvP5wqonvsaeHbd9wDYLwzYnev ubqee0evGueE0jxyaibaieYlf9irVeeu0dXdh9vqqj=hEeeu0xXdbb a9frFj0=OqFfea0dXdd9vqaq=JfrVkFHe9pgea0dXdar=Jb9hs0dXd bPYxe9vr0=vr0=vqpWqaaeaabiGaciaacaqabeaadaqaaqaaaOqaai aadwhadaWgaaWcbaGaamyAaiaaicdaaeqaaaaa@3ACF@  и после u i1 MathType@MTEF@5@5@+= feaahqart1ev3aaatCvAUfeBSjuyZL2yd9gzLbvyNv2CaerbuLwBLn hiov2DGi1BTfMBaeXatLxBI9gBamXvP5wqonvsaeHbd9wDYLwzYnev ubqee0evGueE0jxyaibaieYlf9irVeeu0dXdh9vqqj=hEeeu0xXdbb a9frFj0=OqFfea0dXdd9vqaq=JfrVkFHe9pgea0dXdar=Jb9hs0dXd bPYxe9vr0=vr0=vqpWqaaeaabiGaciaacaqabeaadaqaaqaaaOqaai aadwhadaWgaaWcbaGaamyAaiaaigdaaeqaaaaa@3AD0@  обработки вычисляются по закону Дарси

 

                                          u i0 = k i μ Δp L , u i1 = k i1 μ Δp L , MathType@MTEF@5@5@+= feaahqart1ev3aaatCvAUfeBSjuyZL2yd9gzLbvyNv2CaerbuLwBLn hiov2DGi1BTfMBaeXatLxBI9gBamXvP5wqonvsaeHbd9wDYLwzYnev ubqee0evGueE0jxyaibaieYlf9irVeeu0dXdh9vqqj=hEeeu0xXdbb a9frFj0=OqFfea0dXdd9vqaq=JfrVkFHe9pgea0dXdar=Jb9hs0dXd bPYxe9vr0=vr0=vqpWqaaeaabiGaciaacaqabeaadaqaaqaaaOqaai aadwhadaWgaaWcbaGaamyAaiaaicdaaeqaaOGaaGypaiabgkHiTmaa laaabaGaam4AamaaBaaaleaacaWGPbaabeaaaOqaaiabeY7aTbaada Wcaaqaaiabfs5aejaadchaaeaacaWGmbaaaiaaiYcacaaMf8UaaGzb VlaadwhadaWgaaWcbaGaamyAaiaaigdaaeqaaOGaaGypaiabgkHiTm aalaaabaGaam4AamaaBaaaleaacaWGPbGaaGymaaqabaaakeaacqaH 8oqBaaWaaSaaaeaacqqHuoarcaWGWbaabaGaamitaaaacaaISaaaaa@5489@                                                 (8)

 где проницаемость призабойной зоны скважины после обработки k i1 MathType@MTEF@5@5@+= feaahqart1ev3aaatCvAUfeBSjuyZL2yd9gzLbvyNv2CaerbuLwBLn hiov2DGi1BTfMBaeXatLxBI9gBamXvP5wqonvsaeHbd9wDYLwzYnev ubqee0evGueE0jxyaibaieYlf9irVeeu0dXdh9vqqj=hEeeu0xXdbb a9frFj0=OqFfea0dXdd9vqaq=JfrVkFHe9pgea0dXdar=Jb9hs0dXd bPYxe9vr0=vr0=vqpWqaaeaabiGaciaacaqabeaadaqaaqaaaOqaai aadUgadaWgaaWcbaGaamyAaiaaigdaaeqaaaaa@3AC6@  вычисляется по формуле:

 

                                             k i1 = k i 0 1 (1+β σ i )dX = k i 1+γ V i , MathType@MTEF@5@5@+= feaahqart1ev3aaatCvAUfeBSjuyZL2yd9gzLbvyNv2CaerbuLwBLn hiov2DGi1BTfMBaeXatLxBI9gBamXvP5wqonvsaeHbd9wDYLwzYnev ubqee0evGueE0jxyaibaieYlf9irVeeu0dXdh9vqqj=hEeeu0xXdbb a9frFj0=OqFfea0dXdd9vqaq=JfrVkFHe9pgea0dXdar=Jb9hs0dXd bPYxe9vr0=vr0=vqpWqaaeaabiGaciaacaqabeaadaqaaqaaaOqaai aadUgadaWgaaWcbaGaamyAaiaaigdaaeqaaOGaaGypamaalaaabaGa am4AamaaBaaaleaacaWGPbaabeaaaOqaamaapedabeWcbaGaaGimaa qaaiaaigdaa0Gaey4kIipakiaaiIcacaaIXaGaey4kaSIaeqOSdiMa eq4Wdm3aaSbaaSqaaiaadMgaaeqaaOGaaGykaiaadsgacaWGybaaai aai2dadaWcaaqaaiaadUgadaWgaaWcbaGaamyAaaqabaaakeaacaaI XaGaey4kaSIaeq4SdCMaamOvamaaBaaaleaacaWGPbaabeaaaaGcca aISaaaaa@5398@                                                   (9)

 где γ MathType@MTEF@5@5@+= feaahqart1ev3aaatCvAUfeBSjuyZL2yd9gzLbvyNv2CaerbuLwBLn hiov2DGi1BTfMBaeXatLxBI9gBamXvP5wqonvsaeHbd9wDYLwzYnev ubqee0evGueE0jxyaibaieYlf9irVeeu0dXdh9vqqj=hEeeu0xXdbb a9frFj0=OqFfea0dXdd9vqaq=JfrVkFHe9pgea0dXdar=Jb9hs0dXd bPYxe9vr0=vr0=vqpWqaaeaabiGaciaacaqabeaadaqaaqaaaOqaai abeo7aNbaa@39A8@   MathType@MTEF@5@5@+= feaahqart1ev3aqatCvAUfeBSjuyZL2yd9gzLbvyNv2CaerbuLwBLn hiov2DGi1BTfMBaeXatLxBI9gBamXvP5wqonvsaeHbd9wDYLwzYnev ubqee0evGueE0jxyaibaieYlf9irVeeu0dXdh9vqqj=hEeeu0xXdbb a9frFj0=OqFfea0dXdd9vqaq=JfrVkFHe9pgea0dXdar=Jb9hs0dXd bPYxe9vr0=vr0=vqpWqaaeaabiGaciaacaqabeaadaqaaqaaaOqaae rbdfgBPjMCPbacfaqcLbyaqaaaaaaaaaWdbiaa=rbiaaa@3C9F@  параметр, определяемый объемом закачанной суспензии и ее свойствами:

 

                                                 γ=β C 0 T 0 (1exp(Λ)). MathType@MTEF@5@5@+= feaahqart1ev3aaatCvAUfeBSjuyZL2yd9gzLbvyNv2CaerbuLwBLn hiov2DGi1BTfMBaeXatLxBI9gBamXvP5wqonvsaeHbd9wDYLwzYnev ubqee0evGueE0jxyaibaieYlf9irVeeu0dXdh9vqqj=hEeeu0xXdbb a9frFj0=OqFfea0dXdd9vqaq=JfrVkFHe9pgea0dXdar=Jb9hs0dXd bPYxe9vr0=vr0=vqpWqaaeaabiGaciaacaqabeaadaqaaqaaaOqaai abeo7aNjaai2dacqaHYoGycaWGdbWaaSbaaSqaaiaaicdaaeqaaOGa amivamaaBaaaleaacaaIWaaabeaakiaaiIcacaaIXaGaeyOeI0Iaci yzaiaacIhacaGGWbGaaGikaiabgkHiTiabfU5amjaaiMcacaaIPaGa aGOlaaaa@49F8@                                                      (10)

 

Дополнительное гидродинамическое сопротивление g i MathType@MTEF@5@5@+= feaahqart1ev3aaatCvAUfeBSjuyZL2yd9gzLbvyNv2CaerbuLwBLn hiov2DGi1BTfMBaeXatLxBI9gBamXvP5wqonvsaeHbd9wDYLwzYnev ubqee0evGueE0jxyaibaieYlf9irVeeu0dXdh9vqqj=hEeeu0xXdbb a9frFj0=OqFfea0dXdd9vqaq=JfrVkFHe9pgea0dXdar=Jb9hs0dXd bPYxe9vr0=vr0=vqpWqaaeaabiGaciaacaqabeaadaqaaqaaaOqaai aadEgadaWgaaWcbaGaamyAaaqabaaaaa@3A07@  с учетом (10) определяется по формуле

 

                               g i = 0 1 (1+β σ i )dX=1+β V i C 0 T 0 (1exp(Λ)). MathType@MTEF@5@5@+= feaahqart1ev3aaatCvAUfeBSjuyZL2yd9gzLbvyNv2CaerbuLwBLn hiov2DGi1BTfMBaeXatLxBI9gBamXvP5wqonvsaeHbd9wDYLwzYnev ubqee0evGueE0jxyaibaieYlf9irVeeu0dXdh9vqqj=hEeeu0xXdbb a9frFj0=OqFfea0dXdd9vqaq=JfrVkFHe9pgea0dXdar=Jb9hs0dXd bPYxe9vr0=vr0=vqpWqaaeaabiGaciaacaqabeaadaqaaqaaaOqaai aadEgadaWgaaWcbaGaamyAaaqabaGccaaI9aWaa8qmaeqaleaacaaI WaaabaGaaGymaaqdcqGHRiI8aOGaaGikaiaaigdacqGHRaWkcqaHYo GycqaHdpWCdaWgaaWcbaGaamyAaaqabaGccaaIPaGaamizaiaadIfa caaI9aGaaGymaiabgUcaRiabek7aIjaadAfadaWgaaWcbaGaamyAaa qabaGccaWGdbWaaSbaaSqaaiaaicdaaeqaaOGaamivamaaBaaaleaa caaIWaaabeaakiaaiIcacaaIXaGaeyOeI0IaciyzaiaacIhacaGGWb GaaGikaiabgkHiTiabfU5amjaaiMcacaaIPaGaaGOlaaaa@5BBD@                                    (11)

3.Введение критерия эффективности обработки суспензией

 Механизм обработки суспензией заключается в следующем. Во время течения суспензии в пористой среде некоторые частицы задерживаются и снижают проницаемость пласта. Количество подвижных и удержанных частиц больше в высокопроницаемых слоях; следовательно, падение проницаемости в низкопроницаемых слоях меньше, поэтому распределение проницаемости в слоисто-неоднородном пласте отличается до и после обработки.

Неоднородность проницаемости слоистого коллектора может быть охарактеризована коэффициентом Дикстры MathType@MTEF@5@5@+= feaahqart1ev3aqatCvAUfeBSjuyZL2yd9gzLbvyNv2CaerbuLwBLn hiov2DGi1BTfMBaeXatLxBI9gBamXvP5wqonvsaeHbd9wDYLwzYnev ubqee0evGueE0jxyaibaieYlf9irVeeu0dXdh9vqqj=hEeeu0xXdbb a9frFj0=OqFfea0dXdd9vqaq=JfrVkFHe9pgea0dXdar=Jb9hs0dXd bPYxe9vr0=vr0=vqpWqaaeaabiGaciaacaqabeaadaqaaqaaaOqaae rbdfgBPjMCPbacfaqcLbyaqaaaaaaaaaWdbiaa=rbiaaa@3C9F@  Парсонса или коэффициентом вариации проницаемости K D0 MathType@MTEF@5@5@+= feaahqart1ev3aaatCvAUfeBSjuyZL2yd9gzLbvyNv2CaerbuLwBLn hiov2DGi1BTfMBaeXatLxBI9gBamXvP5wqonvsaeHbd9wDYLwzYnev ubqee0evGueE0jxyaibaieYlf9irVeeu0dXdh9vqqj=hEeeu0xXdbb a9frFj0=OqFfea0dXdd9vqaq=JfrVkFHe9pgea0dXdar=Jb9hs0dXd bPYxe9vr0=vr0=vqpWqaaeaabiGaciaacaqabeaadaqaaqaaaOqaai aadUeadaWgaaWcbaGaamiraiaaicdaaeqaaaaa@3A80@  [29]. Формальное представление вариации включает логарифмическую среднюю проницаемость и проницаемость, которая определяется с вероятностью 84 %:

                                                        K D0 = k 50 k 84 k 50 , MathType@MTEF@5@5@+= feaahqart1ev3aaatCvAUfeBSjuyZL2yd9gzLbvyNv2CaerbuLwBLn hiov2DGi1BTfMBaeXatLxBI9gBamXvP5wqonvsaeHbd9wDYLwzYnev ubqee0evGueE0jxyaibaieYlf9irVeeu0dXdh9vqqj=hEeeu0xXdbb a9frFj0=OqFfea0dXdd9vqaq=JfrVkFHe9pgea0dXdar=Jb9hs0dXd bPYxe9vr0=vr0=vqpWqaaeaabiGaciaacaqabeaadaqaaqaaaOqaai aadUeadaWgaaWcbaGaamiraiaaicdaaeqaaOGaaGypamaalaaabaGa am4AamaaBaaaleaacaaI1aGaaGimaaqabaGccqGHsislcaWGRbWaaS baaSqaaiaaiIdacaaI0aaabeaaaOqaaiaadUgadaWgaaWcbaGaaGyn aiaaicdaaeqaaaaakiaaiYcaaaa@44E8@                                                            (12)

 где k 50 MathType@MTEF@5@5@+= feaahqart1ev3aaatCvAUfeBSjuyZL2yd9gzLbvyNv2CaerbuLwBLn hiov2DGi1BTfMBaeXatLxBI9gBamXvP5wqonvsaeHbd9wDYLwzYnev ubqee0evGueE0jxyaibaieYlf9irVeeu0dXdh9vqqj=hEeeu0xXdbb a9frFj0=OqFfea0dXdd9vqaq=JfrVkFHe9pgea0dXdar=Jb9hs0dXd bPYxe9vr0=vr0=vqpWqaaeaabiGaciaacaqabeaadaqaaqaaaOqaai aadUgadaWgaaWcbaGaaGynaiaaicdaaeqaaaaa@3A96@   MathType@MTEF@5@5@+= feaahqart1ev3aqatCvAUfeBSjuyZL2yd9gzLbvyNv2CaerbuLwBLn hiov2DGi1BTfMBaeXatLxBI9gBamXvP5wqonvsaeHbd9wDYLwzYnev ubqee0evGueE0jxyaibaieYlf9irVeeu0dXdh9vqqj=hEeeu0xXdbb a9frFj0=OqFfea0dXdd9vqaq=JfrVkFHe9pgea0dXdar=Jb9hs0dXd bPYxe9vr0=vr0=vqpWqaaeaabiGaciaacaqabeaadaqaaqaaaOqaae rbdfgBPjMCPbacfaqcLbyaqaaaaaaaaaWdbiaa=rbiaaa@3C9F@  50-я процентиль проницаемости, k 84 MathType@MTEF@5@5@+= feaahqart1ev3aaatCvAUfeBSjuyZL2yd9gzLbvyNv2CaerbuLwBLn hiov2DGi1BTfMBaeXatLxBI9gBamXvP5wqonvsaeHbd9wDYLwzYnev ubqee0evGueE0jxyaibaieYlf9irVeeu0dXdh9vqqj=hEeeu0xXdbb a9frFj0=OqFfea0dXdd9vqaq=JfrVkFHe9pgea0dXdar=Jb9hs0dXd bPYxe9vr0=vr0=vqpWqaaeaabiGaciaacaqabeaadaqaaqaaaOqaai aadUgadaWgaaWcbaGaaGioaiaaisdaaeqaaaaa@3A9D@   MathType@MTEF@5@5@+= feaahqart1ev3aqatCvAUfeBSjuyZL2yd9gzLbvyNv2CaerbuLwBLn hiov2DGi1BTfMBaeXatLxBI9gBamXvP5wqonvsaeHbd9wDYLwzYnev ubqee0evGueE0jxyaibaieYlf9irVeeu0dXdh9vqqj=hEeeu0xXdbb a9frFj0=OqFfea0dXdd9vqaq=JfrVkFHe9pgea0dXdar=Jb9hs0dXd bPYxe9vr0=vr0=vqpWqaaeaabiGaciaacaqabeaadaqaaqaaaOqaae rbdfgBPjMCPbacfaqcLbyaqaaaaaaaaaWdbiaa=rbiaaa@3C9F@  84-я процентиль проницаемости.

Коэффициент Дикстры MathType@MTEF@5@5@+= feaahqart1ev3aqatCvAUfeBSjuyZL2yd9gzLbvyNv2CaerbuLwBLn hiov2DGi1BTfMBaeXatLxBI9gBamXvP5wqonvsaeHbd9wDYLwzYnev ubqee0evGueE0jxyaibaieYlf9irVeeu0dXdh9vqqj=hEeeu0xXdbb a9frFj0=OqFfea0dXdd9vqaq=JfrVkFHe9pgea0dXdar=Jb9hs0dXd bPYxe9vr0=vr0=vqpWqaaeaabiGaciaacaqabeaadaqaaqaaaOqaae rbdfgBPjMCPbacfaqcLbyaqaaaaaaaaaWdbiaa=rbiaaa@3C9F@  Парсонса равен нулю в однородном пласте и единице в бесконечно неоднородном. Этот коэффициент, рассчитанный для начального состояния коллектора, характеризует неоднородность пласта до обработки. Этот же коэффициент, рассчитанный для проницаемостей пропластков с дополнительным сопротивлением потоку (11), определяет изменение, вызванное обработкой. Положительный результат означает снижение коэффициента Дикстры MathType@MTEF@5@5@+= feaahqart1ev3aqatCvAUfeBSjuyZL2yd9gzLbvyNv2CaerbuLwBLn hiov2DGi1BTfMBaeXatLxBI9gBamXvP5wqonvsaeHbd9wDYLwzYnev ubqee0evGueE0jxyaibaieYlf9irVeeu0dXdh9vqqj=hEeeu0xXdbb a9frFj0=OqFfea0dXdd9vqaq=JfrVkFHe9pgea0dXdar=Jb9hs0dXd bPYxe9vr0=vr0=vqpWqaaeaabiGaciaacaqabeaadaqaaqaaaOqaae rbdfgBPjMCPbacfaqcLbyaqaaaaaaaaaWdbiaa=rbiaaa@3C9F@  Парсонса после ВПП. Таким образом, разница коэффициентов Дикстры MathType@MTEF@5@5@+= feaahqart1ev3aqatCvAUfeBSjuyZL2yd9gzLbvyNv2CaerbuLwBLn hiov2DGi1BTfMBaeXatLxBI9gBamXvP5wqonvsaeHbd9wDYLwzYnev ubqee0evGueE0jxyaibaieYlf9irVeeu0dXdh9vqqj=hEeeu0xXdbb a9frFj0=OqFfea0dXdd9vqaq=JfrVkFHe9pgea0dXdar=Jb9hs0dXd bPYxe9vr0=vr0=vqpWqaaeaabiGaciaacaqabeaadaqaaqaaaOqaae rbdfgBPjMCPbacfaqcLbyaqaaaaaaaaaWdbiaa=rbiaaa@3C9F@  Парсонса до и после обработки D 01 MathType@MTEF@5@5@+= feaahqart1ev3aaatCvAUfeBSjuyZL2yd9gzLbvyNv2CaerbuLwBLn hiov2DGi1BTfMBaeXatLxBI9gBamXvP5wqonvsaeHbd9wDYLwzYnev ubqee0evGueE0jxyaibaieYlf9irVeeu0dXdh9vqqj=hEeeu0xXdbb a9frFj0=OqFfea0dXdd9vqaq=JfrVkFHe9pgea0dXdar=Jb9hs0dXd bPYxe9vr0=vr0=vqpWqaaeaabiGaciaacaqabeaadaqaaqaaaOqaai aadseadaWgaaWcbaGaaGimaiaaigdaaeqaaaaa@3A6B@  определяет эффективность обработки.

С другой стороны, неоднородность коллектора может быть охарактеризована среднеквадратичным отклонением безразмерной проницаемости

                                          S 0d = 1 n i ( k i H j k j h j k a H j k j h j ) 2 , MathType@MTEF@5@5@+= feaahqart1ev3aaatCvAUfeBSjuyZL2yd9gzLbvyNv2CaerbuLwBLn hiov2DGi1BTfMBaeXatLxBI9gBamXvP5wqonvsaeHbd9wDYLwzYnev ubqee0evGueE0jxyaibaieYlf9irVeeu0dXdh9vqqj=hEeeu0xXdbb a9frFj0=OqFfea0dXdd9vqaq=JfrVkFHe9pgea0dXdar=Jb9hs0dXd bPYxe9vr0=vr0=vqpWqaaeaabiGaciaacaqabeaadaqaaqaaaOqaai aadofadaWgaaWcbaGaaGimaiaadsgaaeqaaOGaaGypamaakaaabaWa aSaaaeaacaaIXaaabaGaamOBaaaadaaeqbqabSqaaiaadMgaaeqani abggHiLdGccaaIOaWaaSaaaeaacaWGRbWaaSbaaSqaaiaadMgaaeqa aOGaamisaaqaamaaqafabeWcbaGaamOAaaqab0GaeyyeIuoakiaadU gadaWgaaWcbaGaamOAaaqabaGccaWGObWaaSbaaSqaaiaadQgaaeqa aaaakiabgkHiTmaalaaabaGaam4AamaaBaaaleaacaWGHbaabeaaki aadIeaaeaadaaeqbqabSqaaiaadQgaaeqaniabggHiLdGccaWGRbWa aSbaaSqaaiaadQgaaeqaaOGaamiAamaaBaaaleaacaWGQbaabeaaaa GccaaIPaWaaWbaaSqabeaacaaIYaaaaaqabaGccaaISaaaaa@58C0@                                               (13)

 где k a MathType@MTEF@5@5@+= feaahqart1ev3aaatCvAUfeBSjuyZL2yd9gzLbvyNv2CaerbuLwBLn hiov2DGi1BTfMBaeXatLxBI9gBamXvP5wqonvsaeHbd9wDYLwzYnev ubqee0evGueE0jxyaibaieYlf9irVeeu0dXdh9vqqj=hEeeu0xXdbb a9frFj0=OqFfea0dXdd9vqaq=JfrVkFHe9pgea0dXdar=Jb9hs0dXd bPYxe9vr0=vr0=vqpWqaaeaabiGaciaacaqabeaadaqaaqaaaOqaai aadUgadaWgaaWcbaGaamyyaaqabaaaaa@3A03@   MathType@MTEF@5@5@+= feaahqart1ev3aqatCvAUfeBSjuyZL2yd9gzLbvyNv2CaerbuLwBLn hiov2DGi1BTfMBaeXatLxBI9gBamXvP5wqonvsaeHbd9wDYLwzYnev ubqee0evGueE0jxyaibaieYlf9irVeeu0dXdh9vqqj=hEeeu0xXdbb a9frFj0=OqFfea0dXdd9vqaq=JfrVkFHe9pgea0dXdar=Jb9hs0dXd bPYxe9vr0=vr0=vqpWqaaeaabiGaciaacaqabeaadaqaaqaaaOqaae rbdfgBPjMCPbacfaqcLbyaqaaaaaaaaaWdbiaa=nbiaaa@3C9E@  среднее значение проницаемости пласта.

В этом случае эффективность обработки определяется разницей среднеквадратичных отклонений проницаемости до S 0d MathType@MTEF@5@5@+= feaahqart1ev3aaatCvAUfeBSjuyZL2yd9gzLbvyNv2CaerbuLwBLn hiov2DGi1BTfMBaeXatLxBI9gBamXvP5wqonvsaeHbd9wDYLwzYnev ubqee0evGueE0jxyaibaieYlf9irVeeu0dXdh9vqqj=hEeeu0xXdbb a9frFj0=OqFfea0dXdd9vqaq=JfrVkFHe9pgea0dXdar=Jb9hs0dXd bPYxe9vr0=vr0=vqpWqaaeaabiGaciaacaqabeaadaqaaqaaaOqaai aadofadaWgaaWcbaGaaGimaiaadsgaaeqaaaaa@3AA8@  и после S 1d MathType@MTEF@5@5@+= feaahqart1ev3aaatCvAUfeBSjuyZL2yd9gzLbvyNv2CaerbuLwBLn hiov2DGi1BTfMBaeXatLxBI9gBamXvP5wqonvsaeHbd9wDYLwzYnev ubqee0evGueE0jxyaibaieYlf9irVeeu0dXdh9vqqj=hEeeu0xXdbb a9frFj0=OqFfea0dXdd9vqaq=JfrVkFHe9pgea0dXdar=Jb9hs0dXd bPYxe9vr0=vr0=vqpWqaaeaabiGaciaacaqabeaadaqaaqaaaOqaai aadofadaWgaaWcbaGaaGymaiaadsgaaeqaaaaa@3AA9@  воздействия R 01 MathType@MTEF@5@5@+= feaahqart1ev3aaatCvAUfeBSjuyZL2yd9gzLbvyNv2CaerbuLwBLn hiov2DGi1BTfMBaeXatLxBI9gBamXvP5wqonvsaeHbd9wDYLwzYnev ubqee0evGueE0jxyaibaieYlf9irVeeu0dXdh9vqqj=hEeeu0xXdbb a9frFj0=OqFfea0dXdd9vqaq=JfrVkFHe9pgea0dXdar=Jb9hs0dXd bPYxe9vr0=vr0=vqpWqaaeaabiGaciaacaqabeaadaqaaqaaaOqaai aadkfadaWgaaWcbaGaaGimaiaaigdaaeqaaaaa@3A79@ : R 01 = S 0d S 1d MathType@MTEF@5@5@+= feaahqart1ev3aaatCvAUfeBSjuyZL2yd9gzLbvyNv2CaerbuLwBLn hiov2DGi1BTfMBaeXatLxBI9gBamXvP5wqonvsaeHbd9wDYLwzYnev ubqee0evGueE0jxyaibaieYlf9irVeeu0dXdh9vqqj=hEeeu0xXdbb a9frFj0=OqFfea0dXdd9vqaq=JfrVkFHe9pgea0dXdar=Jb9hs0dXd bPYxe9vr0=vr0=vqpWqaaeaabiGaciaacaqabeaadaqaaqaaaOqaai aadkfadaWgaaWcbaGaaGimaiaaigdaaeqaaOGaaGypaiaadofadaWg aaWcbaGaaGimaiaadsgaaeqaaOGaeyOeI0Iaam4uamaaBaaaleaaca aIXaGaamizaaqabaaaaa@4190@ . Введенный параметр обработки суспензией назван авторами коэффициентом выравнивания профиля приемистости.

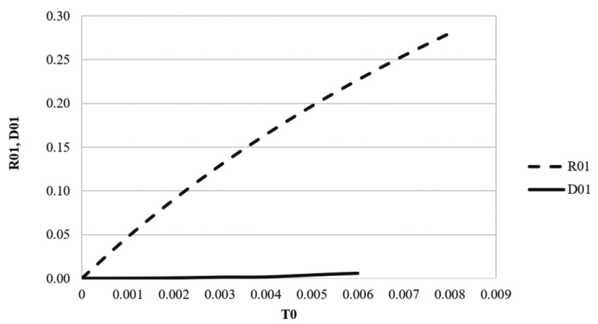
Сравнительный анализ зависимостей двух введенных критериев от безразмерного объема закачки T 0 MathType@MTEF@5@5@+= feaahqart1ev3aaatCvAUfeBSjuyZL2yd9gzLbvyNv2CaerbuLwBLn hiov2DGi1BTfMBaeXatLxBI9gBamXvP5wqonvsaeHbd9wDYLwzYnev ubqee0evGueE0jxyaibaieYlf9irVeeu0dXdh9vqqj=hEeeu0xXdbb a9frFj0=OqFfea0dXdd9vqaq=JfrVkFHe9pgea0dXdar=Jb9hs0dXd bPYxe9vr0=vr0=vqpWqaaeaabiGaciaacaqabeaadaqaaqaaaOqaai aadsfadaWgaaWcbaGaaGimaaqabaaaaa@39C0@  для скважины 2447 приведен на рис. 2. Эти зависимости показывают, что разница между коэффициентами Дикстры MathType@MTEF@5@5@+= feaahqart1ev3aqatCvAUfeBSjuyZL2yd9gzLbvyNv2CaerbuLwBLn hiov2DGi1BTfMBaeXatLxBI9gBamXvP5wqonvsaeHbd9wDYLwzYnev ubqee0evGueE0jxyaibaieYlf9irVeeu0dXdh9vqqj=hEeeu0xXdbb a9frFj0=OqFfea0dXdd9vqaq=JfrVkFHe9pgea0dXdar=Jb9hs0dXd bPYxe9vr0=vr0=vqpWqaaeaabiGaciaacaqabeaadaqaaqaaaOqaae rbdfgBPjMCPbacfaqcLbyaqaaaaaaaaaWdbiaa=rbiaaa@3C9F@  Парсонса до и после воздействия изменяется в небольшом интервале от нуля до 0,004, в то время как разница среднеквадратичных отклонений составляет от нуля до 0,28.

 

Рис. 2. Зависимость критериев эффективности ВПП от безразмерного объема закачанного реагента

Fig. 2. Conformance treatment efficiency criteria vs. various suspension slug volume

 

В различных задачах оптимизации ВПП больший интервал изменения критерия дает преимущества по сравнению с критерием с низким интервалом.

 

4. Предлагаемая процедура оптимизации технологии ВПП

 Для успешного применения технологии ВПП необходима оптимизация параметров обработки, таких как концентрация суспензии, объем оторочки. Процедура оптимизации предполагает определение критерия оптимизации. Закачка суспензии приводит к положительному и отрицательному эффектам. Положительный эффект MathType@MTEF@5@5@+= feaahqart1ev3aqatCvAUfeBSjuyZL2yd9gzLbvyNv2CaerbuLwBLn hiov2DGi1BTfMBaeXatLxBI9gBamXvP5wqonvsaeHbd9wDYLwzYnev ubqee0evGueE0jxyaibaieYlf9irVeeu0dXdh9vqqj=hEeeu0xXdbb a9frFj0=OqFfea0dXdd9vqaq=JfrVkFHe9pgea0dXdar=Jb9hs0dXd bPYxe9vr0=vr0=vqpWqaaeaabiGaciaacaqabeaadaqaaqaaaOqaae rbdfgBPjMCPbacfaqcLbyaqaaaaaaaaaWdbiaa=nbiaaa@3C9E@  это увеличение коэффициента ВПП. Отрицательным эффектом является снижение приемистости скважины из-за ухудшения фильтрационно-емкостных свойств призабойной зоны. Последний эффект может быть охарактеризован отношением K 01 MathType@MTEF@5@5@+= feaahqart1ev3aaatCvAUfeBSjuyZL2yd9gzLbvyNv2CaerbuLwBLn hiov2DGi1BTfMBaeXatLxBI9gBamXvP5wqonvsaeHbd9wDYLwzYnev ubqee0evGueE0jxyaibaieYlf9irVeeu0dXdh9vqqj=hEeeu0xXdbb a9frFj0=OqFfea0dXdd9vqaq=JfrVkFHe9pgea0dXdar=Jb9hs0dXd bPYxe9vr0=vr0=vqpWqaaeaabiGaciaacaqabeaadaqaaqaaaOqaai aadUeadaWgaaWcbaGaaGimaiaaigdaaeqaaaaa@3A72@  приемистости до I 0 MathType@MTEF@5@5@+= feaahqart1ev3aaatCvAUfeBSjuyZL2yd9gzLbvyNv2CaerbuLwBLn hiov2DGi1BTfMBaeXatLxBI9gBamXvP5wqonvsaeHbd9wDYLwzYnev ubqee0evGueE0jxyaibaieYlf9irVeeu0dXdh9vqqj=hEeeu0xXdbb a9frFj0=OqFfea0dXdd9vqaq=JfrVkFHe9pgea0dXdar=Jb9hs0dXd bPYxe9vr0=vr0=vqpWqaaeaabiGaciaacaqabeaadaqaaqaaaOqaai aadMeadaWgaaWcbaGaaGimaaqabaaaaa@39B5@  и после воздействия I 1 MathType@MTEF@5@5@+= feaahqart1ev3aaatCvAUfeBSjuyZL2yd9gzLbvyNv2CaerbuLwBLn hiov2DGi1BTfMBaeXatLxBI9gBamXvP5wqonvsaeHbd9wDYLwzYnev ubqee0evGueE0jxyaibaieYlf9irVeeu0dXdh9vqqj=hEeeu0xXdbb a9frFj0=OqFfea0dXdd9vqaq=JfrVkFHe9pgea0dXdar=Jb9hs0dXd bPYxe9vr0=vr0=vqpWqaaeaabiGaciaacaqabeaadaqaaqaaaOqaai aadMeadaWgaaWcbaGaaGymaaqabaaaaa@39B6@ :

                                                    K 01 = I 1 I 0 = ( V i1 v i ), MathType@MTEF@5@5@+= feaahqart1ev3aaatCvAUfeBSjuyZL2yd9gzLbvyNv2CaerbuLwBLn hiov2DGi1BTfMBaeXatLxBI9gBamXvP5wqonvsaeHbd9wDYLwzYnev ubqee0evGueE0jxyaibaieYlf9irVeeu0dXdh9vqqj=hEeeu0xXdbb a9frFj0=OqFfea0dXdd9vqaq=JfrVkFHe9pgea0dXdar=Jb9hs0dXd bPYxe9vr0=vr0=vqpWqaaeaabiGaciaacaqabeaadaqaaqaaaOqaai aadUeadaWgaaWcbaGaaGimaiaaigdaaeqaaOGaaGypamaalaaabaGa amysamaaBaaaleaacaaIXaaabeaaaOqaaiaadMeadaWgaaWcbaGaaG imaaqabaaaaOGaaGypamaaqaeabeWcbeqab0GaeyyeIuoakiaaiIca caWGwbWaaSbaaSqaaiaadMgacaaIXaaabeaakiaadAhadaWgaaWcba GaamyAaaqabaGccaaIPaGaaGilaaaa@48AA@                                                         (14)

 где V i1 MathType@MTEF@5@5@+= feaahqart1ev3aaatCvAUfeBSjuyZL2yd9gzLbvyNv2CaerbuLwBLn hiov2DGi1BTfMBaeXatLxBI9gBamXvP5wqonvsaeHbd9wDYLwzYnev ubqee0evGueE0jxyaibaieYlf9irVeeu0dXdh9vqqj=hEeeu0xXdbb a9frFj0=OqFfea0dXdd9vqaq=JfrVkFHe9pgea0dXdar=Jb9hs0dXd bPYxe9vr0=vr0=vqpWqaaeaabiGaciaacaqabeaadaqaaqaaaOqaai aadAfadaWgaaWcbaGaamyAaiaaigdaaeqaaaaa@3AB1@   MathType@MTEF@5@5@+= feaahqart1ev3aqatCvAUfeBSjuyZL2yd9gzLbvyNv2CaerbuLwBLn hiov2DGi1BTfMBaeXatLxBI9gBamXvP5wqonvsaeHbd9wDYLwzYnev ubqee0evGueE0jxyaibaieYlf9irVeeu0dXdh9vqqj=hEeeu0xXdbb a9frFj0=OqFfea0dXdd9vqaq=JfrVkFHe9pgea0dXdar=Jb9hs0dXd bPYxe9vr0=vr0=vqpWqaaeaabiGaciaacaqabeaadaqaaqaaaOqaae rbdfgBPjMCPbacfaqcLbyaqaaaaaaaaaWdbiaa=nbiaaa@3C9E@  безразмерная проницаемость после обработки, а доля толщины i MathType@MTEF@5@5@+= feaahqart1ev3aaatCvAUfeBSjuyZL2yd9gzLbvyNv2CaerbuLwBLn hiov2DGi1BTfMBaeXatLxBI9gBamXvP5wqonvsaeHbd9wDYLwzYnev ubqee0evGueE0jxyaibaieYlf9irVeeu0dXdh9vqqj=hEeeu0xXdbb a9frFj0=OqFfea0dXdd9vqaq=JfrVkFHe9pgea0dXdar=Jb9hs0dXd bPYxe9vr0=vr0=vqpWqaaeaabiGaciaacaqabeaadaqaaqaaaOqaai aadMgaaaa@38EF@  -го пропластка в общей толщине пласта v i = h i H MathType@MTEF@5@5@+= feaahqart1ev3aaatCvAUfeBSjuyZL2yd9gzLbvyNv2CaerbuLwBLn hiov2DGi1BTfMBaeXatLxBI9gBamXvP5wqonvsaeHbd9wDYLwzYnev ubqee0evGueE0jxyaibaieYlf9irVeeu0dXdh9vqqj=hEeeu0xXdbb a9frFj0=OqFfea0dXdd9vqaq=JfrVkFHe9pgea0dXdar=Jb9hs0dXd bPYxe9vr0=vr0=vqpWqaaeaabiGaciaacaqabeaadaqaaqaaaOqaai aadAhadaWgaaWcbaGaamyAaaqabaGccaaI9aWaaSaaaeaacaWGObWa aSbaaSqaaiaadMgaaeqaaaGcbaGaamisaaaaaaa@3DD5@ .

Комплексный критерий, включающий эти два результата, может быть получен путем умножения коэффициента ВПП и снижения приемистости:

 

                                                           M= R 01 K 01 . MathType@MTEF@5@5@+= feaahqart1ev3aaatCvAUfeBSjuyZL2yd9gzLbvyNv2CaerbuLwBLn hiov2DGi1BTfMBaeXatLxBI9gBamXvP5wqonvsaeHbd9wDYLwzYnev ubqee0evGueE0jxyaibaieYlf9irVeeu0dXdh9vqqj=hEeeu0xXdbb a9frFj0=OqFfea0dXdd9vqaq=JfrVkFHe9pgea0dXdar=Jb9hs0dXd bPYxe9vr0=vr0=vqpWqaaeaabiGaciaacaqabeaadaqaaqaaaOqaai aad2eacaaI9aGaamOuamaaBaaaleaacaaIWaGaaGymaaqabaGccaWG lbWaaSbaaSqaaiaaicdacaaIXaaabeaakiaai6caaaa@3F4F@                                                               (15)

 

Этот критерий показывает оптимальное соотношение между выравниванием профиля приемистости и снижением приемистости. Параметры оптимизации могут быть объединены в одну переменную. Этой переменной в соответствии с (10) будет γ MathType@MTEF@5@5@+= feaahqart1ev3aaatCvAUfeBSjuyZL2yd9gzLbvyNv2CaerbuLwBLn hiov2DGi1BTfMBaeXatLxBI9gBamXvP5wqonvsaeHbd9wDYLwzYnev ubqee0evGueE0jxyaibaieYlf9irVeeu0dXdh9vqqj=hEeeu0xXdbb a9frFj0=OqFfea0dXdd9vqaq=JfrVkFHe9pgea0dXdar=Jb9hs0dXd bPYxe9vr0=vr0=vqpWqaaeaabiGaciaacaqabeaadaqaaqaaaOqaai abeo7aNbaa@39A8@ . Таким образом, процедура оптимизации будет сведена к определению максимума функции M MathType@MTEF@5@5@+= feaahqart1ev3aaatCvAUfeBSjuyZL2yd9gzLbvyNv2CaerbuLwBLn hiov2DGi1BTfMBaeXatLxBI9gBamXvP5wqonvsaeHbd9wDYLwzYnev ubqee0evGueE0jxyaibaieYlf9irVeeu0dXdh9vqqj=hEeeu0xXdbb a9frFj0=OqFfea0dXdd9vqaq=JfrVkFHe9pgea0dXdar=Jb9hs0dXd bPYxe9vr0=vr0=vqpWqaaeaabiGaciaacaqabeaadaqaaqaaaOqaai aad2eaaaa@38D3@  по переменной γ MathType@MTEF@5@5@+= feaahqart1ev3aaatCvAUfeBSjuyZL2yd9gzLbvyNv2CaerbuLwBLn hiov2DGi1BTfMBaeXatLxBI9gBamXvP5wqonvsaeHbd9wDYLwzYnev ubqee0evGueE0jxyaibaieYlf9irVeeu0dXdh9vqqj=hEeeu0xXdbb a9frFj0=OqFfea0dXdd9vqaq=JfrVkFHe9pgea0dXdar=Jb9hs0dXd bPYxe9vr0=vr0=vqpWqaaeaabiGaciaacaqabeaadaqaaqaaaOqaai abeo7aNbaa@39A8@ .

Все вычисления были проведены для выбранных скважин, суспензией являлась глина со следующими параметрами: β=400 MathType@MTEF@5@5@+= feaahqart1ev3aaatCvAUfeBSjuyZL2yd9gzLbvyNv2CaerbuLwBLn hiov2DGi1BTfMBaeXatLxBI9gBamXvP5wqonvsaeHbd9wDYLwzYnev ubqee0evGueE0jxyaibaieYlf9irVeeu0dXdh9vqqj=hEeeu0xXdbb a9frFj0=OqFfea0dXdd9vqaq=JfrVkFHe9pgea0dXdar=Jb9hs0dXd bPYxe9vr0=vr0=vqpWqaaeaabiGaciaacaqabeaadaqaaqaaaOqaai abek7aIjaai2dacaaI0aGaaGimaiaaicdaaaa@3C9B@  и λ=10 MathType@MTEF@5@5@+= feaahqart1ev3aaatCvAUfeBSjuyZL2yd9gzLbvyNv2CaerbuLwBLn hiov2DGi1BTfMBaeXatLxBI9gBamXvP5wqonvsaeHbd9wDYLwzYnev ubqee0evGueE0jxyaibaieYlf9irVeeu0dXdh9vqqj=hEeeu0xXdbb a9frFj0=OqFfea0dXdd9vqaq=JfrVkFHe9pgea0dXdar=Jb9hs0dXd bPYxe9vr0=vr0=vqpWqaaeaabiGaciaacaqabeaadaqaaqaaaOqaai abeU7aSjaai2dacaaIXaGaaGimaaaa@3BF1@  м MathType@MTEF@5@5@+= feaahqart1ev3aqatCvAUfeBSjuyZL2yd9gzLbvyNv2CaerbuLwBLn hiov2DGi1BTfMBaeXatLxBI9gBamXvP5wqonvsaeHbd9wDYLwzYnev ubqee0evGueE0jxyaibaieYlf9irVeeu0dXdh9vqqj=hEeeu0xXdbb a9frFj0=OqFfea0dXdd9vqaq=JfrVkFHe9pgea0dXdar=Jb9hs0dXd bPYxe9vr0=vr0=vqpWqaaeaabiGaciaacaqabeaadaqaaqaaaOqaae rbdfgBPjMCPbacfaqcLbyaqaaaaaaaaaWdbiaa=nbiaaa@3C9E@ 1 [26], полудлина трещины была рассчитана из скин-фактора. Результаты расчета полудлины трещины дают следующие величины: для скважины 2092 l=79м MathType@MTEF@5@5@+= feaahqart1ev3aaatCvAUfeBSjuyZL2yd9gzLbvyNv2CaerbuLwBLn hiov2DGi1BTfMBaeXatLxBI9gBamXvP5wqonvsaeHbd9wDYLwzYnev ubqee0evGueE0jxyaibaieYlf9irVeeu0dXdh9vqqj=hEeeu0xXdbb a9frFj0=OqFfea0dXdd9vqaq=JfrVkFHe9pgea0dXdar=Jb9hs0dXd bPYxe9vr0=vr0=vqpWqaaeaabiGaciaacaqabeaadaqaaqaaaOqaai aadYgacaaI9aGaaG4naiaaiMdacaaMi8UaaGjbVlaadYdbcaaMi8oa aa@40B1@ , для скважины 2328 l=35,5м MathType@MTEF@5@5@+= feaahqart1ev3aaatCvAUfeBSjuyZL2yd9gzLbvyNv2CaerbuLwBLn hiov2DGi1BTfMBaeXatLxBI9gBamXvP5wqonvsaeHbd9wDYLwzYnev ubqee0evGueE0jxyaibaieYlf9irVeeu0dXdh9vqqj=hEeeu0xXdbb a9frFj0=OqFfea0dXdd9vqaq=JfrVkFHe9pgea0dXdar=Jb9hs0dXd bPYxe9vr0=vr0=vqpWqaaeaabiGaciaacaqabeaadaqaaqaaaOqaai aadYgacaaI9aGaaG4maiaaiwdacaaISaGaaGynaiaayIW7caaMe8Ua amipeiaayIW7aaa@421E@ , для скважины 2447 l=11,8м MathType@MTEF@5@5@+= feaahqart1ev3aaatCvAUfeBSjuyZL2yd9gzLbvyNv2CaerbuLwBLn hiov2DGi1BTfMBaeXatLxBI9gBamXvP5wqonvsaeHbd9wDYLwzYnev ubqee0evGueE0jxyaibaieYlf9irVeeu0dXdh9vqqj=hEeeu0xXdbb a9frFj0=OqFfea0dXdd9vqaq=JfrVkFHe9pgea0dXdar=Jb9hs0dXd bPYxe9vr0=vr0=vqpWqaaeaabiGaciaacaqabeaadaqaaqaaaOqaai aadYgacaaI9aGaaGymaiaaigdacaaISaGaaGioaiaayIW7caaMe8Ua amipeiaayIW7aaa@421B@  и для скважины 2547 l=71,4м MathType@MTEF@5@5@+= feaahqart1ev3aaatCvAUfeBSjuyZL2yd9gzLbvyNv2CaerbuLwBLn hiov2DGi1BTfMBaeXatLxBI9gBamXvP5wqonvsaeHbd9wDYLwzYnev ubqee0evGueE0jxyaibaieYlf9irVeeu0dXdh9vqqj=hEeeu0xXdbb a9frFj0=OqFfea0dXdd9vqaq=JfrVkFHe9pgea0dXdar=Jb9hs0dXd bPYxe9vr0=vr0=vqpWqaaeaabiGaciaacaqabeaadaqaaqaaaOqaai aadYgacaaI9aGaaG4naiaaigdacaaISaGaaGinaiaayIW7caaMe8Ua amipeiaayIW7aaa@421D@ . Дополнительный параметр MathType@MTEF@5@5@+= feaahqart1ev3aqatCvAUfeBSjuyZL2yd9gzLbvyNv2CaerbuLwBLn hiov2DGi1BTfMBaeXatLxBI9gBamXvP5wqonvsaeHbd9wDYLwzYnev ubqee0evGueE0jxyaibaieYlf9irVeeu0dXdh9vqqj=hEeeu0xXdbb a9frFj0=OqFfea0dXdd9vqaq=JfrVkFHe9pgea0dXdar=Jb9hs0dXd bPYxe9vr0=vr0=vqpWqaaeaabiGaciaacaqabeaadaqaaqaaaOqaae rbdfgBPjMCPbacfaqcLbyaqaaaaaaaaaWdbiaa=nbiaaa@3C9E@  характерный размер призабойной зоны равен 40 м.

Процедура определения максимального значения проиллюстрирована на рис. 3. Максимальные значения для выбранных скважин приведены в табл. 3. Рассчитанные значения близки к фактическим данным (объем закачки, отнесенный к единице толщины пласта), которые берутся из промыслового опыта. Но при отсутствии промысловых данных предлагаемая процедура будет полезна, и такие расчеты могут быть использованы в качестве вспомогательных данных.

 

Рис. 3. Зависимость параметров K 01 MathType@MTEF@5@5@+= feaahqart1ev3aaatCvAUfeBSjuyZL2yd9gzLbvyNv2CaerbuLwBLn hiov2DGi1BTfMBaeXatLxBI9gBamXvP5wqonvsaeHbd9wDYLwzYnev ubqee0evGueE0jxyaibaieYlf9irVeeu0dXdh9vqqj=hEeeu0xXdbb a9frFj0=OqFfea0dXdd9vqaq=JfrVkFHe9pgea0dXdar=Jb9hs0dXd bPYxe9vr0=vr0=vqpWqaaeaabiGaciaacaqabeaadaqaaqaaaOqaai aadUeadaWgaaWcbaGaaGimaiaaigdaaeqaaaaa@3A72@ R 01 MathType@MTEF@5@5@+= feaahqart1ev3aaatCvAUfeBSjuyZL2yd9gzLbvyNv2CaerbuLwBLn hiov2DGi1BTfMBaeXatLxBI9gBamXvP5wqonvsaeHbd9wDYLwzYnev ubqee0evGueE0jxyaibaieYlf9irVeeu0dXdh9vqqj=hEeeu0xXdbb a9frFj0=OqFfea0dXdd9vqaq=JfrVkFHe9pgea0dXdar=Jb9hs0dXd bPYxe9vr0=vr0=vqpWqaaeaabiGaciaacaqabeaadaqaaqaaaOqaai aadkfadaWgaaWcbaGaaGimaiaaigdaaeqaaaaa@3A79@  и  M MathType@MTEF@5@5@+= feaahqart1ev3aaatCvAUfeBSjuyZL2yd9gzLbvyNv2CaerbuLwBLn hiov2DGi1BTfMBaeXatLxBI9gBamXvP5wqonvsaeHbd9wDYLwzYnev ubqee0evGueE0jxyaibaieYlf9irVeeu0dXdh9vqqj=hEeeu0xXdbb a9frFj0=OqFfea0dXdd9vqaq=JfrVkFHe9pgea0dXdar=Jb9hs0dXd bPYxe9vr0=vr0=vqpWqaaeaabiGaciaacaqabeaadaqaaqaaaOqaai aad2eaaaa@38D3@  от переменной  γ MathType@MTEF@5@5@+= feaahqart1ev3aaatCvAUfeBSjuyZL2yd9gzLbvyNv2CaerbuLwBLn hiov2DGi1BTfMBaeXatLxBI9gBamXvP5wqonvsaeHbd9wDYLwzYnev ubqee0evGueE0jxyaibaieYlf9irVeeu0dXdh9vqqj=hEeeu0xXdbb a9frFj0=OqFfea0dXdd9vqaq=JfrVkFHe9pgea0dXdar=Jb9hs0dXd bPYxe9vr0=vr0=vqpWqaaeaabiGaciaacaqabeaadaqaaqaaaOqaai abeo7aNbaa@39A8@ для скважины 2328

Fig. 3. K01, R01 and M functions vs. variable γ for Well 2328

 

Таблица 3. Оптимальные значения переменной γ для выбранных скважин

Table 3.  Optimal values of γ for selected wells 

Номер скважины

 Оптимальное значение γ MathType@MTEF@5@5@+= feaahqart1ev3aaatCvAUfeBSjuyZL2yd9gzLbvyNv2CaerbuLwBLn hiov2DGi1BTfMBaeXatLxBI9gBamXvP5wqonvsaeHbd9wDYLwzYnev ubqee0evGueE0jxyaibaieYlf9irVeeu0dXdh9vqqj=hEeeu0xXdbb a9frFj0=OqFfea0dXdd9vqaq=JfrVkFHe9pgea0dXdar=Jb9hs0dXd bPYxe9vr0=vr0=vqpWqaaeaabiGaciaacaqabeaadaqaaqaaaOqaai abeo7aNbaa@39A8@  

 Оптимальный объем закачки для заданных параметров на единицу толщины пласта, м3/м

 Фактический объем закачки на единицу толщины пласта, м3/м

 

 0,351

 277

 68

 

 0,286

 73

 71

 

 0,323

 25

 58

 

 0,514

 183

 107

 

 

Следует заметить, что в соответствии с представленной процедурой можно определить не только объем закачиваемой оторочки суспензии, но и концентрацию и тип суспензии (каждому типу суспензии соответствуют свои значения параметров β MathType@MTEF@5@5@+= feaahqart1ev3aaatCvAUfeBSjuyZL2yd9gzLbvyNv2CaerbuLwBLn hiov2DGi1BTfMBaeXatLxBI9gBamXvP5wqonvsaeHbd9wDYLwzYnev ubqee0evGueE0jxyaibaieYlf9irVeeu0dXdh9vqqj=hEeeu0xXdbb a9frFj0=OqFfea0dXdd9vqaq=JfrVkFHe9pgea0dXdar=Jb9hs0dXd bPYxe9vr0=vr0=vqpWqaaeaabiGaciaacaqabeaadaqaaqaaaOqaai abek7aIbaa@39A2@  и λ MathType@MTEF@5@5@+= feaahqart1ev3aaatCvAUfeBSjuyZL2yd9gzLbvyNv2CaerbuLwBLn hiov2DGi1BTfMBaeXatLxBI9gBamXvP5wqonvsaeHbd9wDYLwzYnev ubqee0evGueE0jxyaibaieYlf9irVeeu0dXdh9vqqj=hEeeu0xXdbb a9frFj0=OqFfea0dXdd9vqaq=JfrVkFHe9pgea0dXdar=Jb9hs0dXd bPYxe9vr0=vr0=vqpWqaaeaabiGaciaacaqabeaadaqaaqaaaOqaai abeU7aSbaa@39B5@  ).

 5. Влияние неоднородности пласта на эффективность обработки

 В рамках сформулированной модели неоднородность пласта определяется средним значением проницаемости до воздействия k a MathType@MTEF@5@5@+= feaahqart1ev3aaatCvAUfeBSjuyZL2yd9gzLbvyNv2CaerbuLwBLn hiov2DGi1BTfMBaeXatLxBI9gBamXvP5wqonvsaeHbd9wDYLwzYnev ubqee0evGueE0jxyaibaieYlf9irVeeu0dXdh9vqqj=hEeeu0xXdbb a9frFj0=OqFfea0dXdd9vqaq=JfrVkFHe9pgea0dXdar=Jb9hs0dXd bPYxe9vr0=vr0=vqpWqaaeaabiGaciaacaqabeaadaqaaqaaaOqaai aadUgadaWgaaWcbaGaamyyaaqabaaaaa@3A03@ , среднеквадратичным отклонением проницаемости S k0 MathType@MTEF@5@5@+= feaahqart1ev3aaatCvAUfeBSjuyZL2yd9gzLbvyNv2CaerbuLwBLn hiov2DGi1BTfMBaeXatLxBI9gBamXvP5wqonvsaeHbd9wDYLwzYnev ubqee0evGueE0jxyaibaieYlf9irVeeu0dXdh9vqqj=hEeeu0xXdbb a9frFj0=OqFfea0dXdd9vqaq=JfrVkFHe9pgea0dXdar=Jb9hs0dXd bPYxe9vr0=vr0=vqpWqaaeaabiGaciaacaqabeaadaqaaqaaaOqaai aadofadaWgaaWcbaGaam4Aaiaaicdaaeqaaaaa@3AAF@  и среднеквадратичным отклонением проводимости S kh0 MathType@MTEF@5@5@+= feaahqart1ev3aaatCvAUfeBSjuyZL2yd9gzLbvyNv2CaerbuLwBLn hiov2DGi1BTfMBaeXatLxBI9gBamXvP5wqonvsaeHbd9wDYLwzYnev ubqee0evGueE0jxyaibaieYlf9irVeeu0dXdh9vqqj=hEeeu0xXdbb a9frFj0=OqFfea0dXdd9vqaq=JfrVkFHe9pgea0dXdar=Jb9hs0dXd bPYxe9vr0=vr0=vqpWqaaeaabiGaciaacaqabeaadaqaaqaaaOqaai aadofadaWgaaWcbaGaam4AaiaadIgacaaIWaaabeaaaaa@3B9C@ :

                           S k0 = 1 n i ( k i k a ) 2 , S kh0 = 1 n i ( k i h i ε a ) 2 , MathType@MTEF@5@5@+= feaahqart1ev3aaatCvAUfeBSjuyZL2yd9gzLbvyNv2CaerbuLwBLn hiov2DGi1BTfMBaeXatLxBI9gBamXvP5wqonvsaeHbd9wDYLwzYnev ubqee0evGueE0jxyaibaieYlf9irVeeu0dXdh9vqqj=hEeeu0xXdbb a9frFj0=OqFfea0dXdd9vqaq=JfrVkFHe9pgea0dXdar=Jb9hs0dXd bPYxe9vr0=vr0=vqpWqaaeaabiGaciaacaqabeaadaqaaqaaaOqaai aadofadaWgaaWcbaGaam4AaiaaicdaaeqaaOGaaGypamaakaaabaWa aSaaaeaacaaIXaaabaGaamOBaaaadaaeqbqabSqaaiaadMgaaeqani abggHiLdGccaaIOaGaam4AamaaBaaaleaacaWGPbaabeaakiabgkHi TiaadUgadaWgaaWcbaGaamyyaaqabaGccaaIPaWaaWbaaSqabeaaca aIYaaaaaqabaGccaaISaGaaGzbVlaaywW7caWGtbWaaSbaaSqaaiaa dUgacaWGObGaaGimaaqabaGccaaI9aWaaOaaaeaadaWcaaqaaiaaig daaeaacaWGUbaaamaaqafabeWcbaGaamyAaaqab0GaeyyeIuoakiaa iIcacaWGRbWaaSbaaSqaaiaadMgaaeqaaOGaamiAamaaBaaaleaaca WGPbaabeaakiabgkHiTiabew7aLnaaBaaaleaacaWGHbaabeaakiaa iMcadaahaaWcbeqaaiaaikdaaaaabeaakiaaiYcaaaa@5FDA@                                (16)

 где ε a MathType@MTEF@5@5@+= feaahqart1ev3aaatCvAUfeBSjuyZL2yd9gzLbvyNv2CaerbuLwBLn hiov2DGi1BTfMBaeXatLxBI9gBamXvP5wqonvsaeHbd9wDYLwzYnev ubqee0evGueE0jxyaibaieYlf9irVeeu0dXdh9vqqj=hEeeu0xXdbb a9frFj0=OqFfea0dXdd9vqaq=JfrVkFHe9pgea0dXdar=Jb9hs0dXd bPYxe9vr0=vr0=vqpWqaaeaabiGaciaacaqabeaadaqaaqaaaOqaai abew7aLnaaBaaaleaacaWGHbaabeaaaaa@3ABA@   MathType@MTEF@5@5@+= feaahqart1ev3aqatCvAUfeBSjuyZL2yd9gzLbvyNv2CaerbuLwBLn hiov2DGi1BTfMBaeXatLxBI9gBamXvP5wqonvsaeHbd9wDYLwzYnev ubqee0evGueE0jxyaibaieYlf9irVeeu0dXdh9vqqj=hEeeu0xXdbb a9frFj0=OqFfea0dXdd9vqaq=JfrVkFHe9pgea0dXdar=Jb9hs0dXd bPYxe9vr0=vr0=vqpWqaaeaabiGaciaacaqabeaadaqaaqaaaOqaae rbdfgBPjMCPbacfaqcLbyaqaaaaaaaaaWdbiaa=nbiaaa@3C9E@  среднее по всем пропласткам значение произведения проницаемости пропластка на его толщину.

Анализ влияния перечисленных параметров на оптимальное значение коэффициента γ MathType@MTEF@5@5@+= feaahqart1ev3aaatCvAUfeBSjuyZL2yd9gzLbvyNv2CaerbuLwBLn hiov2DGi1BTfMBaeXatLxBI9gBamXvP5wqonvsaeHbd9wDYLwzYnev ubqee0evGueE0jxyaibaieYlf9irVeeu0dXdh9vqqj=hEeeu0xXdbb a9frFj0=OqFfea0dXdd9vqaq=JfrVkFHe9pgea0dXdar=Jb9hs0dXd bPYxe9vr0=vr0=vqpWqaaeaabiGaciaacaqabeaadaqaaqaaaOqaai abeo7aNbaa@39A8@  представлен на рис. 4 MathType@MTEF@5@5@+= feaahqart1ev3aqatCvAUfeBSjuyZL2yd9gzLbvyNv2CaerbuLwBLn hiov2DGi1BTfMBaeXatLxBI9gBamXvP5wqonvsaeHbd9wDYLwzYnev ubqee0evGueE0jxyaibaieYlf9irVeeu0dXdh9vqqj=hEeeu0xXdbb a9frFj0=OqFfea0dXdd9vqaq=JfrVkFHe9pgea0dXdar=Jb9hs0dXd bPYxe9vr0=vr0=vqpWqaaeaabiGaciaacaqabeaadaqaaqaaaOqaae rbdfgBPjMCPbacfaqcLbyaqaaaaaaaaaWdbiaa=nbiaaa@3C9E@ 6. Увеличение среднего значения проницаемости требует большего объема оторочки для достижения оптимального значения γ MathType@MTEF@5@5@+= feaahqart1ev3aaatCvAUfeBSjuyZL2yd9gzLbvyNv2CaerbuLwBLn hiov2DGi1BTfMBaeXatLxBI9gBamXvP5wqonvsaeHbd9wDYLwzYnev ubqee0evGueE0jxyaibaieYlf9irVeeu0dXdh9vqqj=hEeeu0xXdbb a9frFj0=OqFfea0dXdd9vqaq=JfrVkFHe9pgea0dXdar=Jb9hs0dXd bPYxe9vr0=vr0=vqpWqaaeaabiGaciaacaqabeaadaqaaqaaaOqaai abeo7aNbaa@39A8@ . Коэффициент ВПП R 01 MathType@MTEF@5@5@+= feaahqart1ev3aaatCvAUfeBSjuyZL2yd9gzLbvyNv2CaerbuLwBLn hiov2DGi1BTfMBaeXatLxBI9gBamXvP5wqonvsaeHbd9wDYLwzYnev ubqee0evGueE0jxyaibaieYlf9irVeeu0dXdh9vqqj=hEeeu0xXdbb a9frFj0=OqFfea0dXdd9vqaq=JfrVkFHe9pgea0dXdar=Jb9hs0dXd bPYxe9vr0=vr0=vqpWqaaeaabiGaciaacaqabeaadaqaaqaaaOqaai aadkfadaWgaaWcbaGaaGimaiaaigdaaeqaaaaa@3A79@  также повышается, но не так быстро. Напротив, большая степень неоднородности пласта, определяемая большими среднеквадратичными отклонениями S k0 MathType@MTEF@5@5@+= feaahqart1ev3aaatCvAUfeBSjuyZL2yd9gzLbvyNv2CaerbuLwBLn hiov2DGi1BTfMBaeXatLxBI9gBamXvP5wqonvsaeHbd9wDYLwzYnev ubqee0evGueE0jxyaibaieYlf9irVeeu0dXdh9vqqj=hEeeu0xXdbb a9frFj0=OqFfea0dXdd9vqaq=JfrVkFHe9pgea0dXdar=Jb9hs0dXd bPYxe9vr0=vr0=vqpWqaaeaabiGaciaacaqabeaadaqaaqaaaOqaai aadofadaWgaaWcbaGaam4Aaiaaicdaaeqaaaaa@3AAF@  и S kh0 MathType@MTEF@5@5@+= feaahqart1ev3aaatCvAUfeBSjuyZL2yd9gzLbvyNv2CaerbuLwBLn hiov2DGi1BTfMBaeXatLxBI9gBamXvP5wqonvsaeHbd9wDYLwzYnev ubqee0evGueE0jxyaibaieYlf9irVeeu0dXdh9vqqj=hEeeu0xXdbb a9frFj0=OqFfea0dXdd9vqaq=JfrVkFHe9pgea0dXdar=Jb9hs0dXd bPYxe9vr0=vr0=vqpWqaaeaabiGaciaacaqabeaadaqaaqaaaOqaai aadofadaWgaaWcbaGaam4AaiaadIgacaaIWaaabeaaaaa@3B9C@ , приводит к уменьшению параметра оптимизации, связанного с объемом оторочки. Коэффициент ВПП немного уменьшается. Слабое влияние неоднородности пласта на коэффициент ВПП может быть объяснено тем, что этот коэффициент является безразмерным.

 

Рис. 4. Зависимость коэффициента ВПП R 01 MathType@MTEF@5@5@+= feaahqart1ev3aaatCvAUfeBSjuyZL2yd9gzLbvyNv2CaerbuLwBLn hiov2DGi1BTfMBaeXatLxBI9gBamXvP5wqonvsaeHbd9wDYLwzYnev ubqee0evGueE0jxyaibaieYlf9irVeeu0dXdh9vqqj=hEeeu0xXdbb a9frFj0=OqFfea0dXdd9vqaq=JfrVkFHe9pgea0dXdar=Jb9hs0dXd bPYxe9vr0=vr0=vqpWqaaeaabiGaciaacaqabeaadaqaaqaaaOqaai aadkfadaWgaaWcbaGaaGimaiaaigdaaeqaaaaa@3A79@  и оптимальной величины коэффициента  γ MathType@MTEF@5@5@+= feaahqart1ev3aaatCvAUfeBSjuyZL2yd9gzLbvyNv2CaerbuLwBLn hiov2DGi1BTfMBaeXatLxBI9gBamXvP5wqonvsaeHbd9wDYLwzYnev ubqee0evGueE0jxyaibaieYlf9irVeeu0dXdh9vqqj=hEeeu0xXdbb a9frFj0=OqFfea0dXdd9vqaq=JfrVkFHe9pgea0dXdar=Jb9hs0dXd bPYxe9vr0=vr0=vqpWqaaeaabiGaciaacaqabeaadaqaaqaaaOqaai abeo7aNbaa@39A8@ от средней проницаемости пласта  k a MathType@MTEF@5@5@+= feaahqart1ev3aaatCvAUfeBSjuyZL2yd9gzLbvyNv2CaerbuLwBLn hiov2DGi1BTfMBaeXatLxBI9gBamXvP5wqonvsaeHbd9wDYLwzYnev ubqee0evGueE0jxyaibaieYlf9irVeeu0dXdh9vqqj=hEeeu0xXdbb a9frFj0=OqFfea0dXdd9vqaq=JfrVkFHe9pgea0dXdar=Jb9hs0dXd bPYxe9vr0=vr0=vqpWqaaeaabiGaciaacaqabeaadaqaaqaaaOqaai aadUgadaWgaaWcbaGaamyyaaqabaaaaa@3A03@

Fig. 4. Conformance improvement factor R01 and optimal of the γ factor value vs. mean reservoir permeability ka 

 

Рис. 5. Зависимость коэффициента ВПП R 01 MathType@MTEF@5@5@+= feaahqart1ev3aaatCvAUfeBSjuyZL2yd9gzLbvyNv2CaerbuLwBLn hiov2DGi1BTfMBaeXatLxBI9gBamXvP5wqonvsaeHbd9wDYLwzYnev ubqee0evGueE0jxyaibaieYlf9irVeeu0dXdh9vqqj=hEeeu0xXdbb a9frFj0=OqFfea0dXdd9vqaq=JfrVkFHe9pgea0dXdar=Jb9hs0dXd bPYxe9vr0=vr0=vqpWqaaeaabiGaciaacaqabeaadaqaaqaaaOqaai aadkfadaWgaaWcbaGaaGimaiaaigdaaeqaaaaa@3A79@  и оптимальной величины коэффициента  γ MathType@MTEF@5@5@+= feaahqart1ev3aaatCvAUfeBSjuyZL2yd9gzLbvyNv2CaerbuLwBLn hiov2DGi1BTfMBaeXatLxBI9gBamXvP5wqonvsaeHbd9wDYLwzYnev ubqee0evGueE0jxyaibaieYlf9irVeeu0dXdh9vqqj=hEeeu0xXdbb a9frFj0=OqFfea0dXdd9vqaq=JfrVkFHe9pgea0dXdar=Jb9hs0dXd bPYxe9vr0=vr0=vqpWqaaeaabiGaciaacaqabeaadaqaaqaaaOqaai abeo7aNbaa@39A8@ от среднеквадратичного отклонения проницаемостей пропластков  S k0 MathType@MTEF@5@5@+= feaahqart1ev3aaatCvAUfeBSjuyZL2yd9gzLbvyNv2CaerbuLwBLn hiov2DGi1BTfMBaeXatLxBI9gBamXvP5wqonvsaeHbd9wDYLwzYnev ubqee0evGueE0jxyaibaieYlf9irVeeu0dXdh9vqqj=hEeeu0xXdbb a9frFj0=OqFfea0dXdd9vqaq=JfrVkFHe9pgea0dXdar=Jb9hs0dXd bPYxe9vr0=vr0=vqpWqaaeaabiGaciaacaqabeaadaqaaqaaaOqaai aadofadaWgaaWcbaGaam4Aaiaaicdaaeqaaaaa@3AAF@

Fig. 5. Conformance improvement factor R 01 MathType@MTEF@5@5@+= feaahqart1ev3aaatCvAUfeBSjuyZL2yd9gzLbvyNv2CaerbuLwBLn hiov2DGi1BTfMBaeXatLxBI9gBamXvP5wqonvsaeHbd9wDYLwzYnev ubqee0evGueE0jxyaibaieYlf9irVeeu0dXdh9vqqj=hEeeu0xXdbb a9frFj0=OqFfea0dXdd9vqaq=JfrVkFHe9pgea0dXdar=Jb9hs0dXd bPYxe9vr0=vr0=vqpWqaaeaabiGaciaacaqabeaadaqaaqaaaOqaai aadkfadaWgaaWcbaGaaGimaiaaigdaaeqaaaaa@3A79@  and optimal of the γ MathType@MTEF@5@5@+= feaahqart1ev3aaatCvAUfeBSjuyZL2yd9gzLbvyNv2CaerbuLwBLn hiov2DGi1BTfMBaeXatLxBI9gBamXvP5wqonvsaeHbd9wDYLwzYnev ubqee0evGueE0jxyaibaieYlf9irVeeu0dXdh9vqqj=hEeeu0xXdbb a9frFj0=OqFfea0dXdd9vqaq=JfrVkFHe9pgea0dXdar=Jb9hs0dXd bPYxe9vr0=vr0=vqpWqaaeaabiGaciaacaqabeaadaqaaqaaaOqaai abeo7aNbaa@39A8@  factor value vs. the mean square deviation of reservoir permeability S k0 MathType@MTEF@5@5@+= feaahqart1ev3aaatCvAUfeBSjuyZL2yd9gzLbvyNv2CaerbuLwBLn hiov2DGi1BTfMBaeXatLxBI9gBamXvP5wqonvsaeHbd9wDYLwzYnev ubqee0evGueE0jxyaibaieYlf9irVeeu0dXdh9vqqj=hEeeu0xXdbb a9frFj0=OqFfea0dXdd9vqaq=JfrVkFHe9pgea0dXdar=Jb9hs0dXd bPYxe9vr0=vr0=vqpWqaaeaabiGaciaacaqabeaadaqaaqaaaOqaai aadofadaWgaaWcbaGaam4Aaiaaicdaaeqaaaaa@3AAF@  

 

Рис. 6. Зависимость коэффициента ВПП R 01 MathType@MTEF@5@5@+= feaahqart1ev3aaatCvAUfeBSjuyZL2yd9gzLbvyNv2CaerbuLwBLn hiov2DGi1BTfMBaeXatLxBI9gBamXvP5wqonvsaeHbd9wDYLwzYnev ubqee0evGueE0jxyaibaieYlf9irVeeu0dXdh9vqqj=hEeeu0xXdbb a9frFj0=OqFfea0dXdd9vqaq=JfrVkFHe9pgea0dXdar=Jb9hs0dXd bPYxe9vr0=vr0=vqpWqaaeaabiGaciaacaqabeaadaqaaqaaaOqaai aadkfadaWgaaWcbaGaaGimaiaaigdaaeqaaaaa@3A79@  и оптимальной величины коэффициента  γ MathType@MTEF@5@5@+= feaahqart1ev3aaatCvAUfeBSjuyZL2yd9gzLbvyNv2CaerbuLwBLn hiov2DGi1BTfMBaeXatLxBI9gBamXvP5wqonvsaeHbd9wDYLwzYnev ubqee0evGueE0jxyaibaieYlf9irVeeu0dXdh9vqqj=hEeeu0xXdbb a9frFj0=OqFfea0dXdd9vqaq=JfrVkFHe9pgea0dXdar=Jb9hs0dXd bPYxe9vr0=vr0=vqpWqaaeaabiGaciaacaqabeaadaqaaqaaaOqaai abeo7aNbaa@39A8@ от среднеквадратичного отклонения проводимостей пропластков S kh0 MathType@MTEF@5@5@+= feaahqart1ev3aaatCvAUfeBSjuyZL2yd9gzLbvyNv2CaerbuLwBLn hiov2DGi1BTfMBaeXatLxBI9gBamXvP5wqonvsaeHbd9wDYLwzYnev ubqee0evGueE0jxyaibaieYlf9irVeeu0dXdh9vqqj=hEeeu0xXdbb a9frFj0=OqFfea0dXdd9vqaq=JfrVkFHe9pgea0dXdar=Jb9hs0dXd bPYxe9vr0=vr0=vqpWqaaeaabiGaciaacaqabeaadaqaaqaaaOqaai aadofadaWgaaWcbaGaam4AaiaadIgacaaIWaaabeaaaaa@3B9C@

Fig. 6. Conformance improvement factor R 01 MathType@MTEF@5@5@+= feaahqart1ev3aaatCvAUfeBSjuyZL2yd9gzLbvyNv2CaerbuLwBLn hiov2DGi1BTfMBaeXatLxBI9gBamXvP5wqonvsaeHbd9wDYLwzYnev ubqee0evGueE0jxyaibaieYlf9irVeeu0dXdh9vqqj=hEeeu0xXdbb a9frFj0=OqFfea0dXdd9vqaq=JfrVkFHe9pgea0dXdar=Jb9hs0dXd bPYxe9vr0=vr0=vqpWqaaeaabiGaciaacaqabeaadaqaaqaaaOqaai aadkfadaWgaaWcbaGaaGimaiaaigdaaeqaaaaa@3A79@  and optimal of the γ MathType@MTEF@5@5@+= feaahqart1ev3aaatCvAUfeBSjuyZL2yd9gzLbvyNv2CaerbuLwBLn hiov2DGi1BTfMBaeXatLxBI9gBamXvP5wqonvsaeHbd9wDYLwzYnev ubqee0evGueE0jxyaibaieYlf9irVeeu0dXdh9vqqj=hEeeu0xXdbb a9frFj0=OqFfea0dXdd9vqaq=JfrVkFHe9pgea0dXdar=Jb9hs0dXd bPYxe9vr0=vr0=vqpWqaaeaabiGaciaacaqabeaadaqaaqaaaOqaai abeo7aNbaa@39A8@  factor value vs. the mean square deviation of reservoir conductivity S kh0 MathType@MTEF@5@5@+= feaahqart1ev3aaatCvAUfeBSjuyZL2yd9gzLbvyNv2CaerbuLwBLn hiov2DGi1BTfMBaeXatLxBI9gBamXvP5wqonvsaeHbd9wDYLwzYnev ubqee0evGueE0jxyaibaieYlf9irVeeu0dXdh9vqqj=hEeeu0xXdbb a9frFj0=OqFfea0dXdd9vqaq=JfrVkFHe9pgea0dXdar=Jb9hs0dXd bPYxe9vr0=vr0=vqpWqaaeaabiGaciaacaqabeaadaqaaqaaaOqaai aadofadaWgaaWcbaGaam4AaiaadIgacaaIWaaabeaaaaa@3B9C@  

 

Заключение

 В результате работы могут быть сделаны следующие выводы.

С использованием критерия приемистости установлено наличие двух групп скважин для одного из месторождений в Западной Сибири. Для одной из этих групп приемистость снижается менее чем на 15 %, для другой приемистость снижается более чем на 15 %. Для последующего анализа была выбрана группа скважин с наибольшим падением приемистости.

Введен критерий эффективности обработки суспензии. Этот критерий представляет собой разницу среднеквадратичных отклонений безразмерной проницаемости до и после обработки. Показано, что этот критерий более значительно возрастает с увеличением объема закачиваемой суспензии, чем классический коэффициент Дикстры MathType@MTEF@5@5@+= feaahqart1ev3aqatCvAUfeBSjuyZL2yd9gzLbvyNv2CaerbuLwBLn hiov2DGi1BTfMBaeXatLxBI9gBamXvP5wqonvsaeHbd9wDYLwzYnev ubqee0evGueE0jxyaibaieYlf9irVeeu0dXdh9vqqj=hEeeu0xXdbb a9frFj0=OqFfea0dXdd9vqaq=JfrVkFHe9pgea0dXdar=Jb9hs0dXd bPYxe9vr0=vr0=vqpWqaaeaabiGaciaacaqabeaadaqaaqaaaOqaae rbdfgBPjMCPbacfaqcLbyaqaaaaaaaaaWdbiaa=rbiaaa@3C9F@  Парсонса.

Установлено наличие оптимального объема закачки, что приводит к наиболее эффективному выравниванию профиля приемистости при относительно небольшом снижении общей приемистости. Определены рекомендуемые объемы закачки для скважин одного из месторождений Западной Сибири.

Проведен анализ влияния неоднородности пласта на эффективность обработки суспензией. Увеличение среднего значения проницаемости приводит к большему оптимальному объему оторочки. Напротив, повышение степени неоднородности коллектора приводит к уменьшению оптимального объема закачиваемой суспензии. 

×

Об авторах

Константин Михайлович Федоров

Тюменский государственный университет

Email: k.m.fedorov@utmn.ru
ORCID iD: 0000-0003-0347-3930

доктор физико-математических наук, научный руководитель Физико-технического института

Россия, 625003, г. Тюмень, ул. Володарского, д. 6

Родион Михайлович Ганопольский

Тюменский государственный университет

Email: r.m.ganopolskij@utmn.ru

кандидат физико- математических наук, заведующий кафедрой моделирования физических процессов и систем

Россия, 625003, г. Тюмень, ул. Володарского, д. 6

Александр Янович Гильманов

Тюменский государственный университет

Email: a.y.gilmanov@utmn.ru
ORCID iD: 0000-0002-7115-1629

кандидат физико-математических наук, старший преподаватель кафедры моделирования физических процессов и систем

Россия, 625003, г. Тюмень, ул. Володарского, д. 6

Александр Павлович Шевелёв

Тюменский государственный университет

Автор, ответственный за переписку.
Email: a.p.shevelev@utmn.ru
ORCID iD: 0000-0003-0017-4871

кандидат физико-математических наук, профессор кафедры моделирования физических процессов и систем

Россия, 625003, г. Тюмень, ул. Володарского, д. 6

Список литературы

  1. Canbolat S., Parlaktuna M. Polymer gel conformance on oil recovery in fractured medium: Visualization and verification // Journal of Petroleum Science and Engineering. 2019. Vol. 182, p. 106289. DOI: http://doi.org/10.1016/j.petrol.2019.106289.
  2. Sagbana P.I., Abushaikha A.S. A comprehensive review of the chemical-based conformance control methods in oil reservoirs // Journal of Petroleum Exploration and Production Technology. 2021. Vol. 11. P. 2233–2257. DOI: http://doi.org/10.1007/s13202-021-01158-6.
  3. Caili D., Qing Y., Fulin Z. In-depth Profile Control Technologies in China — A Review of the State of the Art // Petroleum Science and Technology. 2010. Vol. 28, Issue 13. P. 1307–1315. DOI: http://doi.org/10.1080/10916460903419164.
  4. Fuseni A.B., AlSofi A.M., AlJulaih A.H., AlAseeri A.A. Development and evaluation of foam-based conformance control for a high-salinity and high-temperature carbonate // Journal of Petroleum Exploration and Production Technology. 2018. Vol. 8, Issue 4. P. 1341–1348. DOI: http://doi.org/10.1007/s13202-018-0431-x.
  5. Seright R., Brattekas B. Water shutoff and conformance improvement: an introduction // Petroleum Science. 2021. Vol. 18. P. 450–478. DOI: http://doi.org/10.1007/s12182-021-00546-1.
  6. Zhao Y., Leng J., Lin B., Wei M., Bai B. Experimental study of microgel conformance-control treatment for a polymer-flooding reservoir containing superpermeable channels // SPE Journal. 2021. Vol. 26, Issue 4. P. 2305–2317. DOI: http://dx.doi.org/10.2118/205486-PA.
  7. Старковский А.В., Старковский В.А. Перераспределение фильтрационных потоков на нефтяных месторождениях гелеобразующими составами на основе силиката натрия // Бурение и нефть. 2009. № 1. С. 34–37. URL: https://burneft.ru/archive/issues/2009-01/11.
  8. Feng Q., Zhang G., Yin X., Luan Z. Numerical simulation of the blocking process of gelled particles in porous media with remaining polymers // Petroleum Science. 2009. Vol. 6. P. 284–288. DOI: http://dx.doi.org/10.1007/s12182-009-0045-5.
  9. Kumai J., Sasagawa S., Horie M., Yui Y. A novel method for polyacrylamide gel preparation using N-hydroxysuccinimide-acrylamide ester to study cell-extracellular matrix mechanical interactions // Frontiers in Materials. 2021. Vol. 8, Paper 637278. DOI: http://doi.org/10.3389/fmats.2021.637278.
  10. Li Q., Wang L., Liu Q., Hong W., Yang C. Fatigue damage–resistant physical hydrogel adhesion // Frontiers in Robotics and AI. 2021. Vol. 8, Paper 666343. DOI: http://doi.org/10.3389/frobt.2021.666343.
  11. Sun X., Bai B., Alhuraishawy A.K., Zhu D. Understanding the Plugging Performance of HPAM-Cr (III) Polymer Gel for CO2 Conformance Control // SPE Journal. 2021. Vol. 26, Issue 5. P. 3109–3118. DOI: http://doi.org/10.2118/204229-PA.
  12. Seright R.S. Use of preformed gels for conformance control in fractured systems // SPE Production & Operations. 1997. Vol. 12, Issue 01. Pp. 59–65. DOI: http://doi.org/10.2118/35351-PA.
  13. Lu G., Zhao J., Li S., Chen Y., Li C., Wang Y., Li D. Incorporation of Partially Hydrolyzed Polyacrylamide With Zwitterionic Units and Poly(Ethylene Glycol) Units Toward Enhanced Tolerances to High Salinity and High Temperature // Frontiers in Materials. 2021. Vol. 8, Paper 788746. DOI: http://doi.org/10.3389/fmats.2021.788746.
  14. Алтунина Л. К., Кувшинов В. А. Физико-химические методы увеличения нефтеотдачи пластов // Вестник Санкт-Петербургского университета. Сер.: Физика и химия. 2013. Вып. 2. С. 46–76. URL: https://www.elibrary.ru/item.asp?id=19111874. EDN: https://www.elibrary.ru/qcfwat.
  15. Таирова С.В. Гелеобразующие составы как метод повышения нефтеотдачи пластов // Вестник недропользователя Ханты-Мансийского автономного округа. 2002. № 8. С. 66–71. URL: http://www.oilnews.ru/8-8/geleobrazuyushhie-sostavy-kak-metod-povysheniya-nefteotdachi-plastov/.
  16. Bai B., Liu Y., Coste J. P., Li L. Preformed Particle Gel for Conformance Control: Transport Mechanism Through Porous Media // SPE Reservoir Evaluation & Engineering. 2007. Vol. 10, Issue 2. P. 176–184. DOI: http://doi.org/10.2118/89468-PA.
  17. Ding X., Dai C., Sun Y., Zhu M., Liu Y., Chang Y., Zhao G., You Q., Shaikh A. Conformance control study by micrometer sized dispersed particle gel in three-dimensional tight oil fracture network // Journal of Petroleum Science and Engineering. 2021. Vol. 197, Paper 108112. DOI: http://doi.org/10.1016/j.petrol.2020.108112.
  18. Mousavi Moghadam A., Vafaie Sefti M., Baghban Salehi M., Dadvand Koohi A. Preformed particle gel: evaluation and optimization of salinity and pH on equilibrium swelling ratio // Journal of Petroleum Exploration and Production Technology. 2012. Vol. 2. P. 85–91. DOI: http://doi.org/10.1007/s13202-012-0024-z.
  19. Tongwa P., Baojun B. A more superior preformed particle gel with potential application for conformance control in mature oilfields // Journal of Petroleum Exploration and Production Technology. 2015. Vol. 5, P. 201–210. DOI: http://doi.org/10.1007/s13202-014-0136-8.
  20. Wang J., Liu H. Q., Zhang H. L., Sepehrnoori K. Simulation of deformable preformed particle gel propagation in porous media // AIChE Journal. 2017. Vol. 63, Issue 10. Pp. 4628–4641. DOI: https://doi.org/10.1002/aic.15793.
  21. Газизов А.Ш., Никифоров А.И., Газизов А.А. Математическая модель вытеснения нефти водой с применением полимердисперсных систем // Инженерно-физический журнал. 2002. Т. 75, № 1. С. 91–94. URL: http://www.itmo.by/publications/jepter/bibl/?ELEMENT_ID=6087.
  22. Хисамов Р.С., Газизов А.А., Газизов А.Ш. Научно-технологические основы применения полимердисперсных систем для увеличения нефтеотдачи // Нефтяное хозяйство. 2002. № 11. С. 52–56. URL: https://oil-industry.net/Journal/archive_detail.php?art=2502.
  23. Баренблатт Г.И., Ентов В.М., Рыжик В.М. Движение жидкостей и газов в природных пластах. Москва: Недра, 1984. 211 с. URL: https://www.geokniga.org/bookfiles/geokniga-dvizhenie-zhidkostey-i-gazov-v-prirodnyhplastah-gibarenblatt-vmentov-vmryzhik.pdf.
  24. Vaz A.S.L., Bedrikovetsky P., Furtado C.J.A., Souza A.L. Well Injectivity Decline for Nonlinear Filtration of Injected Suspension: Semi-Analytical Model // Journal of Energy Resources Technology. 2010. Vol. 132, Issue 3. Paper 033301. DOI: https://doi.org/10.1115/1.4002242.
  25. Низаев Р.Х., Никифоров А.И., Газизов А.Ш. Оценка воздействия на нефтяные пласты полимердисперсными системами // Нефтяное хозяйство. 2009. № 8. С. 50–53. URL: https://oil-industry.net/Journal/archive_detail.php?art=179807.
  26. Федоров К.М., Шевелев А.П., Кобяшев А.В., Захаренко В.А., Кочетов А.В., Неклеса Р.С., Усольцев А.В. Определение фильтрационных параметров суспензии по экспериментальным данным // Society of Petroleum Engineers: статья с Российской нефтегазовой технической конференции SPE-202018-RU. Москва, 2020. С. 1–16.
  27. Bedrikovetsky P.G., Santos P.M., Neto A.M.M., Riente A.F. Application of Fractional Flow Theory for Particle- and Fines-Induced Formation Damage // Society of Petroleum Engineers: SPE Latin American and Caribbean Petroleum Engineering Conference. Cartagena, Colombia, 2009. Paper SPE-121822-MS. DOI:
  28. http://doi.org/10.2118/121822-MS.
  29. Татосов А.В., Шляпкин А.С. Движение проппанта в раскрывающейся трещине гидроразрыва пласта // Известия Саратовского университета. Новая серия. Сер.: Математика. Механика. Информатика. 2018. Т. 18, Вып. 2. С. 217–226. DOI: http://doi.org/10.18500/1816-9791-2018-18-2-217-226.
  30. Уиллхайт Г.П. Заводнение пластов. Москва; Ижевск: Институт компьютерных исследований, НИЦ ≪Регулярная и хаотическая динамика≫, 2009. 792 с.

Дополнительные файлы

Доп. файлы
Действие
1. JATS XML
2. Рис. 1. Зависимость снижения приемистости обработанных скважин от удельного объема закачки реагента для двух групп нагнетательных скважин с небольшим (<=15 %) и большим (>15 %) снижением приемистости

Скачать (160KB)
3. Рис. 2. Зависимость критериев эффективности ВПП от безразмерного объема закачанного реагента

Скачать (199KB)
4. Рис. 3. Зависимость параметров K01, R01 и M от переменной для скважины 2328

Скачать (166KB)
5. Рис. 4. Зависимость коэффициента ВПП R01 и оптимальной величины коэффициента от средней проницаемости пласта ka

Скачать (159KB)
6. Рис. 5. Зависимость коэффициента ВПП R01 и оптимальной величины коэффициента от среднеквадратичного отклонения проницаемостей пропластков Sk0

Скачать (95KB)
7. Рис. 6. Зависимость коэффициента ВПП R01 и оптимальной величины коэффициента от среднеквадратичного отклонения проводимостей пропластков Skh0

Скачать (179KB)

© Федоров К.М., Ганопольский Р.М., Гильманов А.Я., Шевелёв А.П., 2023

Creative Commons License
Эта статья доступна по лицензии Creative Commons Attribution 4.0 International License.

Согласие на обработку персональных данных с помощью сервиса «Яндекс.Метрика»

1. Я (далее – «Пользователь» или «Субъект персональных данных»), осуществляя использование сайта https://journals.rcsi.science/ (далее – «Сайт»), подтверждая свою полную дееспособность даю согласие на обработку персональных данных с использованием средств автоматизации Оператору - федеральному государственному бюджетному учреждению «Российский центр научной информации» (РЦНИ), далее – «Оператор», расположенному по адресу: 119991, г. Москва, Ленинский просп., д.32А, со следующими условиями.

2. Категории обрабатываемых данных: файлы «cookies» (куки-файлы). Файлы «cookie» – это небольшой текстовый файл, который веб-сервер может хранить в браузере Пользователя. Данные файлы веб-сервер загружает на устройство Пользователя при посещении им Сайта. При каждом следующем посещении Пользователем Сайта «cookie» файлы отправляются на Сайт Оператора. Данные файлы позволяют Сайту распознавать устройство Пользователя. Содержимое такого файла может как относиться, так и не относиться к персональным данным, в зависимости от того, содержит ли такой файл персональные данные или содержит обезличенные технические данные.

3. Цель обработки персональных данных: анализ пользовательской активности с помощью сервиса «Яндекс.Метрика».

4. Категории субъектов персональных данных: все Пользователи Сайта, которые дали согласие на обработку файлов «cookie».

5. Способы обработки: сбор, запись, систематизация, накопление, хранение, уточнение (обновление, изменение), извлечение, использование, передача (доступ, предоставление), блокирование, удаление, уничтожение персональных данных.

6. Срок обработки и хранения: до получения от Субъекта персональных данных требования о прекращении обработки/отзыва согласия.

7. Способ отзыва: заявление об отзыве в письменном виде путём его направления на адрес электронной почты Оператора: info@rcsi.science или путем письменного обращения по юридическому адресу: 119991, г. Москва, Ленинский просп., д.32А

8. Субъект персональных данных вправе запретить своему оборудованию прием этих данных или ограничить прием этих данных. При отказе от получения таких данных или при ограничении приема данных некоторые функции Сайта могут работать некорректно. Субъект персональных данных обязуется сам настроить свое оборудование таким способом, чтобы оно обеспечивало адекватный его желаниям режим работы и уровень защиты данных файлов «cookie», Оператор не предоставляет технологических и правовых консультаций на темы подобного характера.

9. Порядок уничтожения персональных данных при достижении цели их обработки или при наступлении иных законных оснований определяется Оператором в соответствии с законодательством Российской Федерации.

10. Я согласен/согласна квалифицировать в качестве своей простой электронной подписи под настоящим Согласием и под Политикой обработки персональных данных выполнение мною следующего действия на сайте: https://journals.rcsi.science/ нажатие мною на интерфейсе с текстом: «Сайт использует сервис «Яндекс.Метрика» (который использует файлы «cookie») на элемент с текстом «Принять и продолжить».