Primary screening of growth-stimulating properties of rhizosphere microorganisms in relation to tomato seeds
- Authors: Galperina A.R.1, Soprunova O.B.1, Parkhomenko A.N.1
-
Affiliations:
- Astrakhan State Technical University
- Issue: No 5 (2024)
- Pages: 37-41
- Section: Crop Production and Selection
- URL: https://ogarev-online.ru/2500-2082/article/view/268566
- DOI: https://doi.org/10.31857/S2500208224050083
- EDN: https://elibrary.ru/ztfkfl
- ID: 268566
Cite item
Full Text
Abstract
The ability of bacterial isolates isolated from the rhizosphere of cultivated and wild plants of arid ecosystems of the Astrakhan region, which have the ability to tryptophan-induced synthesis of indolyl-3-acetic acid, to stimulate the germination of tomato seeds of the varieties “Sanka”, “Volgogradsky”, “Cosmonaut Volkov”, was studied. “Newbie” Experimental studies were carried out through laboratory experiments by incubating seeds in humid chambers; laboratory germination and morphometric parameters of seedlings were assessed. It was revealed that most of the studied suspensions of isolates have a stimulating effect on tomato seeds. High germination (90% or more) of seeds of the “Sanka” variety was observed when 12 isolates were treated with suspensions; variety “Volgogradsky” – suspensions of 9 isolates; variety “Cosmonaut Volkov” – suspensions of 2 isolates; variety “Novichok” – suspensions of 3 isolates. Suspensions of isolates 16/19 and 31/20 contributed to high germination of seeds of all varieties: up to 86.6–100% and 90–100%, respectively, and isolate 9/19 significantly reduced the germination of seeds of the varieties “Volgogradsky”, “Cosmonaut Volkov” and “Novichok” by 66.6–56.7%. When assessing the morphometric parameters of seedlings in the experiment, it was noted that the suspension of isolate 16/19 helps to increase the biomass of the varieties “Sanka”, “Volgogradsky” and “Cosmonaut Volkov” up to 273–449%. Suspension of isolate 31/20 has a stimulating effect on the morphometric parameters of seedlings of all varieties: it stimulates root development by 73.3–183.3%, stem development by 46.8–100.5%. The isolate 9/19 suspension not only inhibits seed germination, but also causes a reduced accumulation of seedling biomass, inhibits the development of roots and stems of seedlings of the varieties “Volgogradsky”, “Cosmonaut Volkov” and “Novichok”. Thus, during experimental studies, isolates (16/19 and 31/20) of rhizosphere bacteria were identified that have a stimulating effect on both the germination of tomato seeds and the morphometric parameters of seedlings.
Full Text
Томат (Lycopersicon esculentum) – один из самых популярных овощей, имеет пищевую и экономическую ценность во всем мире. Благодаря вкусовым качествам и высокой биологической ценности плодов (наличие витаминов, микроэлементов, каротиноидов, в том числе ликопина) их потребление в мире увеличивается. [1, 11] Производство томатов, особенно в закрытом грунте, зависит от использования агрохимикатов (удобрения, пестициды). Наблюдается тенденция к росту получения натуральной органической экологически чистой продукции с заменой химических препаратов на микробные, стимулирующие прорастание семян, повышающие устойчивость растений к заболеваниям и неблагоприятным факторам окружающей среды. Подобные препараты чаще всего производят на основе PGPR-бактерий – микроорганизмов, помогающих развитию растений. [6, 9] Механизмы действия PGPR: растворение питательных веществ для облегчения их усвоения растениями, регулирование гормонального баланса, повышение устойчивости растений к патогенам. Кроме того, PGPR проявляет синергетическое и антагонистическое взаимодействие с другими микроорганизмами внутри ризосферы и за ее пределами в основной массе почвы, что косвенно увеличивает рост растений. [7]
Цель работы – изучить способность ризосферных микроорганизмов стимулировать прорастание семян томатов.
МАТЕРИАЛЫ И МЕТОДЫ
Объект исследования – 20 бактериальных изолятов, выделенных из ризосферы культурных и дикорастущих растений аридных экосистем Астраханской области в 2019-2020 годах, обладающих способностью к триптофаниндуцируемому синтезу индолил-3-уксусной кислоты (ИУК) и находящихся в коллекции кафедры «Прикладная биология и микробиология» ФГБОУ ВО «Астраханский государственный технический университет». [4]
Использовали сорта семян томата: Волгоградский, Санька (раннеспелые), Космонавт Волков, Новичок (среднеспелые). По районированию они различались: Волгоградский и Новичок рекомендованы для Центрального Черноземья и Нижнего Поволжья, Санька и Космонавт Волков – Центрального Черноземья.
Изучали способность исследуемых ризосферных микроорганизмов стимулировать прорастание семян томата методом инкубирования во влажных камерах. Семена перед закладыванием замачивали на сутки в стерильной водопроводной воде, далее стерилизовали в течение 5 мин. в 70%-м растворе этилового спирта, промывали стерильной водопроводной водой и замачивали 30 мин. в водной суспензии микроорганизмов с титром 106 КОЕ/мл. Контрольный вариант замачивали на 30 мин. в стерильной водопроводной воде. Проращивали семена (по 10 шт.) во влажных камерах в термостате при переменной температуре 20…30°C, повторность – четырехкратная. В эксперименте определяли параметры всхожести семян (лабораторная) и морфометрические показатели проростков (длина корня и стебля, их общая сырая биомасса). [2] Статистический анализ проводили с помощью пакета Statistica 6.1 (StatSoftInc., USA). Данные представляли в виде х ± SD. Для сравнения двух независимых выборок применяли t-критерий Стьюдента (при Р<0,05 различия считали достоверными, предварительно проверив данные на нормальность распределения).
РЕЗУЛЬТАТЫ И ОБСУЖДЕНИЕ
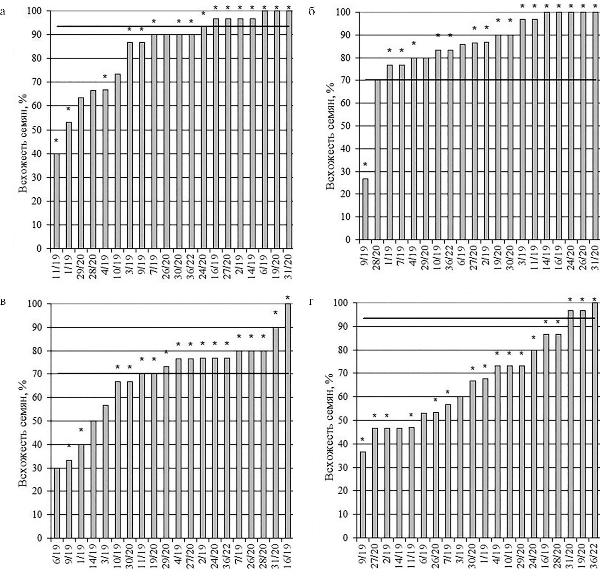
Показатель лабораторной всхожести характеризует посевные качества семян и свидетельствует об их способности прорастать за определенный срок при оптимальных условиях. Обработка семян водными суспензиями исследуемых микроорганизмов выявила их разнонаправленное действие (рис. 1). Лабораторная всхожесть семян томатов в контроле колебалась от средней – 70 (Волгоградский, Космонавт Волков) до высокой – 93,3% (Санька, Новичок).
Рис. 1. Лабораторная всхожесть семян томата: а – Санька, б – Волгоградский, в – Космонавт Волков, г – Новичок (x ± SD, n=3, * – значения, достоверно отличающиеся от контроля при р < 0,05, черная линия – контрольный вариант).
Высокая всхожесть (90% и более) семян сорта Санька отмечена при обработке суспензиями 12 изолятов (рис. 1а), Волгоградский – 9 (рис. 1б), Космонавт Волков –2 (рис. 1в), Новичок –3 изолятов (рис. 1г). Стимулирующее действие суспензиями изолятов более выражено для сортов ранней спелости, чем средней. Если сравнивать с контрольным вариантом, то у Волгоградского всхожесть стимулируют суспензиями 18 изолятов (максимальный показатель), у Новичка – 3 (минимальный).
Суспензия изолята 9/19 снижает всхожесть семян сортов Волгоградский, Космонавт Волков и Новичок на 56,7…66,6%, у сорта Санька ингибирующее действие практически не выражено. Суспензии изолятов 16/19 и 31/20 обеспечивали высокую всхожесть у семян всех сортов – до 86,6…100% и 90…100% соответственно.
В эксперименте, помимо лабораторной всхожести, оценивали и морфометрические показатели проростков томатов (длина корня и стебля, общая биомасса проростков), которые пересчитывали в процентном соотношении к контрольному варианту (их принимали за 100%). Ингибирующим признавалось воздействие изолята, вызывающее снижение показателя ниже 100%, стимулирующим – выше 100%.
Выявлено, что обработка семян суспензиями исследуемых изолятов положительно повлияла на морфометрические показатели проростков сорта Санька. Только суспензии 2 изолятов (24/20, 29/20) ингибировали развитие корня (на 38%). Снижение биомассы на 12,6…78,2% ниже, чем в контрольном варианте, наблюдали при действии суспензий изолятов 24/20, 29/20, 11/19, 27/20, 10/19, 6/19. Суспензия изолята 2/19 оказала максимальное стимулирующее действие на развитие корня (374,3%) и биомассу (255,3%), 30/20 – увеличение длины стебля на 300,2% (рис. 2а).
Рис. 2. Морфометрические показатели проростков: а – Санька, б – Волгоградский, в – Космонавт Волков, г – Новичок.
Действие суспензий изолятов на морфометрические показатели проростков сорта Волгоградский в целом положительное. Суспензии изолятов 9/19, 36/22, 1/19 снижают длину корня и стебля проростков на 6,7…53,2% и 15…40% соответственно; 28/20, 14/19, 7/19, 10/19 – только стебля на 15,1…55,1%. Понижение значений биомассы по отношению к контрольным было при воздействии суспензий изолятов 9/19, 14/19, 29/20, 7/19, 2/19. В наибольшей степени стимулирует развитие корня на 383,8% – 10/19; стебля (216,9) – 6/19; биомассы (157,5%) – 31/20 (рис. 2б).
Суспензии изолятов 14/19, 9/19, 6/19, 11/19, 29/20 снижают длину корня на 8…34%, остальные провоцируют его развитие. Рост стебля ингибировали суспензии изолятов 9/19, 6/19, 1/19, 10/19, 30/20, 11/19, 2/19, 7/19, 3/19 на 12,4…76,0%. Понижение общей биомассы проростков на 13,4…64,0% вызывали изоляты 14/19, 29/20, 10/19, 26/20, 30/20, 11/19, 2/19, 27/20, 3/19, 4/19. При этом стимулировали развитие корня суспензии 15 изолятов, стебля – 10, биомассы – 5. Из них максимальное действие (увеличение длины корня на 500%, стебля – 90,2, биомассы – 349,2%) оказывала 16/19 (рис. 2в).
В наименьшей степени суспензии 11/19, 6/19, 30/20, 27/20, 14/19 ингибировали развитие корня сорта Новичок (на 12…68%), стебля – 27…78%, биомассы – 26,3…66,0%, 26/20, 9/19, 2/19, 7/19 угнетали развитие стебля до 35%; 1/19 – корня до 11%. Снижение биомассы проростков ниже, чем в контроле на 12…80%, наблюдали при воздействии суспензий изолятов 1/19, 10/19, 26/20, 9/19, 4/19, 7/19. Максимальное стимулирующие влияние на развитие корня (440,5%) и биомассы (93,4%) оказывала суспензия 3/19 – увеличило длину стебля на 87,6%.
Выявлен изолят 9/19, который ингибирует не только всхожесть семян, но и вызывает пониженное накопление биомассы проростков, угнетает развитие корней и стеблей проростков сортов Волгоградский, Космонавт Волков и Новичок.
Определены изоляты, положительно воздействующие на всхожесть и развитие проростков: 16/19 – максимальное накопление биомассы у Саньки, Волгоградского и Космонавта Волкова до 273…449%, 31/20 – развитие корня на 73,3…183,3, стебля – 46,8…100,5%.
Выявлено, что изолят 9/19 способен синтезировать до 16,0 мкг/мл ИУК, 31/20 – 25,0, 16/19 – 9,0 мкг/ мл. [6] ИУК – один из наиболее важных растительных гормонов, напрямую влияющих на рост, деление клеток и образование корней, а также помогает увеличивать площадь поглощающей поверхности корня, что позволяет интенсифицировать питание растений. [8]
Обнаруженный в ходе эксперимента ингибирующий эффект суспензии изолята 9/19, при достаточном синтезе ИУК, согласуется с литературными данными Л.С. Церковняк и Teale et al., указывающими на то, что экзогенный ауксин способен проявлять как положительный, так и отрицательный эффект. [3, 12] Оптимальный диапазон концентраций ИУК для конкретного растения может быть чрезвычайно узким и сдвиг в любую сторону может привести к угнетению. [3, 12]
Стимулирующее действие микробных суспензий изолятов 16/19 и 31/20 на растения может быть обусловлено не только синтезом ИУК, но и других биологически активных соединений, улучшающих фосфорное питание растений, усвоение ионов железа, повышающих иммунитет к фитопатогенам. [5, 10]
Выводы. Таким образом, выявлены изоляты (16/19 и 31/20) ризосферных бактерий, оказывающие стимулирующее действие на всхожесть семян томатов (6,7…30%), а также морфометрические параметры проростков – увеличение длины корня до 286%, стебля – 204, биомассы – 294%. Полученные данные свидетельствуют о необходимости дальнейших исследований по видовой идентификации изолятов, изучения физиолого-биохимических свойств, в том числе по наличию синтеза БАВ, на возможность применения в качестве стимуляторов роста сельскохозяйственных растений.
Исследование выполнено при поддержке гранта Российского научного фонда № 23-26-00227 «Генетическая паспортизация ризосферных микроорганизмов аридных экосистем с биотехнологически значимыми свойствами» / The study was supported by the Russian Science Foundation grant No. 23-26-00227 “Genetic certification of rhizospheric microorganisms of arid ecosystems with biotechnologically significant properties”.
About the authors
A. R. Galperina
Astrakhan State Technical University
Author for correspondence.
Email: alina_r_s@rambler.ru
PhD in Biological Sciences, Associate Professor
Russian Federation, AstrakhanO. B. Soprunova
Astrakhan State Technical University
Email: alina_r_s@rambler.ru
Grand PhD in Biological Sciences, Professor
Russian Federation, AstrakhanA. N. Parkhomenko
Astrakhan State Technical University
Email: alina_r_s@rambler.ru
PhD in Biological Sciences, Associate Professor
Russian Federation, AstrakhanReferences
- Ahmedova P.M. Ocenka novyh gibridov tomata v zashchishchennom grunte // Vestnik rossijskoj sel’skohozyajstvennoj nauki. 2021. №1. S. 37-41. https://doi.org/10.30850/vrsn/2021/1/37-41
- GOST 12038-84. Semena sel’skohozyajstvennyh kul’tur. Metody opredeleniya vskhozhesti = Agriculturalseeds. Methods for determination of germination: izdanie oficial’noe: utverzhden i vveden v dejstvie Postanovleniem Gosudarstvennogo komiteta SSSR po standartam ot 19.12.84 № 4710: data vvedeniya 1986-07-01. M.: Standartinform, 2011.
- Cerkovnyak L.S. Fosfatmobiliziruyushchie bakterii Bacillus subtilis – producenty soedinenij fenol’noj prirody // Prikladnaya biohimiya i mikrobiologiya. 2009. T .45. S. 311–317.
- Yusupova D.M., Bareeva A.Sh., Gal’perina A.R., Soprunova O.B. Izuchenie sposobnosti rizosfernyh mikroorganizmov k produkcii IUK i vliyaniyu na rost rastenij // Innovacii i prodovol’stvennaya bezopasnost’. 2023. № 3. S. 83–90. https://doi.org/10.31677/2311-0651-2023-41-3-83-90
- Almaghabi O.A., Massoud S.I., Abdelmoneim T.S. Influence of inoculation with plant growth promoting rhizobacteria (PGPR) on tomato plant growth and nematode reproduction under greenhouse conditions // Saudi Journal of Biological Sciences. 2013. V. 20. № 1. P. 57–61. https://doi.org/10.1016/j.sjbs.2012.10.004
- Dutta, S., Podile, A.R., Plant growth promoting rhizobacteria (PGPR): the bugs to debug the root zone // Critical Reviews in Microbiology. 2010. Vol. 36. № 3. Р. 232–244. https://doi.org/10.3109/10408411003766806
- Gupta, G., Parihar, S.S., Ahiwar, N.K. et al. Plant growth promoting Rhizobacteria (PGPR): Current and Future Prospects for Development of Sustainable Agriculture // Journal of Microbial Biochemical Technology. 2015. Vol. 7. № 2. P. 96–102. https://doi.org/10.4172/1948-5948.1000188
- Hayat R., Ahmed I., Sheirdil R.A. An overview of plant growth promoting rhizobacteria (PGPR) for sustainable agriculture. In: M. Ashraf, M. Oztürk, M.S.A. Ahmad, and A. Aksoy (eds.) Crop production for agricultural improvement. Berlin: Springer, 2012. P. 557–579. https://doi.org/ 10.1016/B978-0-443-16030-1.00017-1.
- Moustaine M., Elkahkahi R., Bebbouazza A. et al. Effect of plant growth promoting rhizobacterial (PGPR) inoculation on growth in tomato (Solanum lycopersicum L.) and characterization for direct PGP abilities in Morocco. International Journal of Environment, Agriculture and Biotechnology. 2017. Vol. 2. № 2. P. 590–596. https://doi.org/10.22161/ijeab/2.2.5
- Perez-Rodriguez M.M., Mariela P., Victor L. Et al. Pseudomonas fluorescens and Azospirillum brasilense increase the yield and fruit quality of tomatoes under field conditions // Journal of Soil Science and Plant Nutrition. 2020. V. 20. № 4. P. 1614–1624. https://doi.org/10.1007/s42729-020-00233-x
- Ramavath K., Hameeda B., Reddy G. Enhancement of Plant Growth in Tomato by Inoculation with Plant Growth Promoting Bacillus spp // World Journal of Agricultural Research. 2019. Vol. 7. № 2. P. 69–75. https://doi.org/10.12691/wjar-7-2-5
- Teale W.D., Paponov I.A., Palme K. Auxin in action: signalling, transport and the control of plant growth and development // Natures reviews. Molecular cell Biology. 2006. V. 7. № 11. P. 847–859. https://doi.org/10.1038/nrm2020
Supplementary files




