Estimation of macrofouling of the water intake tunnel of the Vladivostok CHP-2 using laser technologies
- Autores: Maslennikov S.I.1,2, Zvyagintsev A.Y.1, Begun A.А.1
-
Afiliações:
- A.V. Zhirmunsky National Scientific Center of Marine Biology FEB RAS
- Far Eastern Federal University
- Edição: Nº 4 (2024)
- Páginas: 81-94
- Seção: Статьи
- URL: https://ogarev-online.ru/2413-5577/article/view/279054
- EDN: https://elibrary.ru/IZZUPG
- ID: 279054
Citar
Resumo
For the first time, an accurate quantitative survey of macrofouling in the underground water intake tunnel of the Vladivostok combined heat and power plant (CHP-2) was carried out using laser technologies to develop a strategy for protecting the seawater cooling system from biological damage. In the tunnel biofouling, 91 species of invertebrates belonging to various taxonomic groups were found. The maximum development of macrofouling was established in the lower part of the water intake tunnel with the dominance of the Pacific mussel Mytilus trossulus. In the fouling of the tunnel upper part, a quantitative predominance of attached polychaete worms of the genus Hydroides was noted. For the concrete sections of the tunnel, the maximum values of the mass of silt biodeposits were recorded, while the steel sections were characterized by calcareous biodeposits. It was noted that the total raw biomass of tunnel macrofouling was 35–50 times greater than the biomass of macrofouling organisms. This difference indicates the predominant role of meiobenthos and microperiphyton organisms in the formation of the fouling community. The differences in the species richness and quantitative indicators of fouling of the tunnel in 2015 compared to 2001 are shown. Thus, the macrofouling estimation of the water intake tunnel of the Vladivostok CHP-2 allows concluding about the need for a comprehensive strategy for protecting the cooling system from marine fouling. Such a strategy is assumed to combine physical methods and other technological methods.
Texto integral
Introduction
The proliferation of fouling communities in the techno-ecosystems of cooling ponds of power plants gives rise to a variety of biological disturbances that impinge upon the operational efficacy of the equipment. Marine fouling includes a wide variety of organisms capable of attaching to the hard surface of underwater substrates. The aforementioned fouling agents can be classified into two main categories: microfouling (bacteria, protozoa, microscopic fungi and microalgae that form biofilms or mucus) and macrofouling (seaweeds, bivalves, such as oysters and mussels, crustaceans, bryozoans, hydroids and ascidians). The most significant challenges are observed in the cooling systems of industrial facilities, which include power plant intakes [1–3]. Estimated financial impact of the combined effects of waterway fouling and marine biodamage is estimated to be in the millions of dollars 1. In recent decades, a notable trend has been observed in industrialised countries to relocate combined heat and power plants and industrial facilities to the coastline. To illustrate, in the United States, over one-third of all power plants are situated in close proximity to the sea shore. In the 1970s, the average daily intake of seawater by these stations already amounted to the billions of litres 2.
Techno-ecosystems of power plants with seawater cooling systems have been studied quite intensively in recent decades in the world practice [4, 5], though it is notable that such studies are not frequently conducted in Russia (or the former USSR) [6]. In addition to macrofouling, changes in the quantitative structure of phytoplankton (as the initial link in the trophic network) were detected when passing through the cooling system of the power plant. The microalgae community of the waterway exhibited a high abundance of benthic forms under an anomalous lengthening of the summer and autumn vegetation season [7].
Previous works on this problem are covered in detail in monograph [8], which focuses on the study of cooling ponds in power plants, with a case study of the Vladivostok combined heat and power plant (CHP-2) (hereinafter referred to as the Vladivostok CHP-2). The data on the composition, quantitative distribution and distinctive formation of fouling communities on different substrates in the cooling system were obtained. On the basis of the research into the biological features of main macrofouling species, recommendations were developed regarding the adjustment of tunnel heat treatment terms and the depth of water intake installation.
In 2015, the research team of the A.V. Zhirmunsky Institute of Marine Biology of the Far Eastern Branch of the Russian Academy of Sciences (currently NSCMB FEB RAS), together with specialists from Far Eastern Federal University, continued comprehensive long-term studies of the fouling community of the Vladivostok CHP-2 water intake tunnel. This is stipulated by the inefficiency of annual heat treatment of tunnels and manual cleaning of fouling during the dewatering process. A period of 14 years has elapsed from the initial survey of the marine techno-ecosystem
of the Vladivostok CHP-2 to the present study. During this time, regular thermal treatment and mechanical fouling cleaning in conjunction with tunnel dewatering have been conducted. In this regard, it was necessary to re-examine the species composition of the fouling of a water intake tunnel with different hydrodynamic conditions in different parts of the tunnel, with the aim of obtaining accurate data on the quantitative distribution of macrofouling.
Thus, the objective of this study is to accurately assess the distribution of macrofouling organisms in the Vladivostok CHP-2 water intake tunnel using a laser rangefinder. To the best of our knowledge, such tools have not previously been employed in the study of biofouling of water intake tunnels in power plants.
Material and methods
The water intake tunnel of the Vladivostok CHP-2 starts in the water intake basin in Sukhoputnaya Bay of Ussuri Bay and consists of a 250 m long steel pipe with an inner diameter of 1.5 m (Fig. 1, c, d; Fig. 2, a), which extends to a 970 m long concrete underground tunnel with an inner diameter of 2 m (Fig. 1, d; Fig. 2, b–f). The tunnel runs in hard rock beneath a Vladivostok neighbourhood and also ends with a steel pipe with an internal diameter of 1.5 m exiting the power plant site (Fig. 1, с, d). The vertical distance between the pumping station and the power plant is 42 m. Water from the pumping station is fed into the tunnel via four rotating steel meshes with a mesh diameter of 3 mm. The water flow velocity in the tunnel is 2 m/s, the whole cycle of water passing through the tunnel is about 2 min. Water temperature increases by 5–6 °C when passing through the CHP cooling system [6]. Heated seawater is discharged from the CHP into the River Obyasneniya and further into the Zolotoy Rog Bay apex.
Macrofouling samples were collected on 5 May 2015 during the tunnel dewatering from a 10 × 10 cm area that had been previously marked with a steel frame (Fig. 2, a–f). Samples were taken with a 10 cm blade scraper from the bottom, side and top of the pipe in three repetitions. The distance between sampling points was measured using a Leica DISTO A8 laser rangefinder, a modern professional model with an integrated digital viewfinder that permits measurements to be taken even when the laser point is not visible when directed at the measurement object. The inbuilt tilt sensor extends the scope of application of the instrument significantly as it can be used to measure inclination and horizontal position, to perform indirect measurements in cases when one of the measurement points does not reflect the laser beam.
Quantitative data on total raw biomass were obtained by weighing sample bags and further conversion to specific gravity. This approach encompasses all elements that enter the sampler including silt deposits which are typically excluded from laboratory treatment and discharged via drainage systems during the washing of samples. This method makes it possible to take into account the mass not only of macrofouling but also of biodeposits present on the substrate, as well as microperiphyton, detritus and faecal lumps of fouling organisms. Samples were processed in the IBM FEB RAS Laboratory of Ecology of Shelf Communities according to the generally accepted methodology [8].
Fig. 1. Map-scheme of the study area and the structure of the water intake of the combined heat and power plant (CHP-2) in Vladivostok: a – map of the study area; b – scheme of the location of the water intake and water movement on the map: A – Sukhoputnaya Bay, B – pumping station, C – concrete tunnel, D – CHP-2, E – discharge channel; c, d – scheme of the structure of the water intake tunnel and plan-scheme of the material sampling route: I – steel pipe, II – concrete pipe. The arrows indicate the direction of water movement in the tunnel and beyond it, the squares are stations of macrofouling sampling (1–11)
Fig. 2. The sampling process and general view of fouling of the water intake tunnel of CHP-2 in its different sections: a – beginning of the tunnel inspection, b – fouling by sessile polychaete worms of the genus Hydroides, c – test cleaning of the wall to assess the fouling intensity, d – mussel fouling, e – continuous mussel fouling of the tunnel, f – oyster fouling on the tunnel bottom
Species identification was carried out by I.L. Alalykina, Research Associate (polychaetes), and N.L. Demchenko, Research Associate (amphipods), of the above mentioned laboratory. Digital maps of distribution of biofouling quantitative characteristics inside the tunnel were constructed by N.L. Demchenko, Research Associate, using Surfer cartographic package for data modeling and analysis, creation of three-dimensional maps and models and their visualisation.
Results
An inspection of the CHP-2 water intake tunnel revealed a gradual decrease in the amount of fouling on the tunnel walls from st. 1 to st. 10 (Fig. 1, с). The general pattern of fouling in the tunnel appeared to be focal with the Pacific mussel Mytilus trossulus (A. Gould, 1850) and the giant oyster Magallana gigas (Thunberg, 1793) predominating. The initial sections of the water pipeline, constructed from steel, display a range of intensities of mussel fouling. The length of the mussel flaps is less than 30 mm, indicating that the fouling is approximately 15 to 17 months old. As the distance from the intake and pumping station increases, the intensity of the mussel fouling decreases, and the fouling community becomes dominated by the oyster (Fig. 2, d – f).
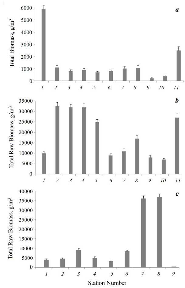
The taxonomic composition of tunnel fouling in 2015 was characterised by a fairly high diversity of invertebrates (Fig. 3, b). Fig. 4 shows the distribution dynamics of total raw fouling biomass along the tunnel. Raw fouling biomass tends to increase at the beginning of the tunnel on the concrete substrate. The biomass decreases sharply in the middle of the tunnel and increases again on the steel substrate at the end of the tunnel.
In contrast to the pattern of distribution of total raw biomass of macrofouling in the tunnel, the indices of total biomass of fouling organisms after desktop processing of samples exhibit a slightly different trend (Fig. 4). Therefore, the maximum value of total biomass is recorded at the beginning of the tunnel at st. 1, after which it decreases significantly, reaches a plateau, and then exhibits a slight increase at st. 10. In contrast, the relationship between total raw biomass and the other variables is inverse. The biomass of bivalves is dominated by that of the mussel, with the oyster representing the second-largest group. The mussel is the dominant species in the lower part of the tunnel, while the oyster exhibits a competitive advantage at several stations in the middle part of the tunnel.
Fig. 3. Taxonomic composition of fouling of the CHP-2 water intake tunnel in 2001 (a) and in 2015 (b)
Fig. 4. Distribution dynamics of total biomass (a) and total raw biomass (b, с) of macrofouling of the water intake tunnel of CHP-2 in different years: a, b – 2015, c – 2001
A significant discrepancy has been observed between the raw sample biomass and the macrofouling biomass, with a ratio of these values ranging from 35 to 50 (Fig. 4, a, b). This suggests that meiobenthos and microperiphyton (and their by-products) play a significant role in the formation of the community of organisms. The influx of clean seawater creates optimal conditions for their proliferation, facilitating their establishment among the macroorganisms of the tunnel fouling community. In previous studies, the quantitative role of meiofauna and microperiphyton in the intake tunnels of power plants with seawater cooling was not taken into account.
The data obtained made it possible to estimate the distribution of macrofouling of different tunnel sections, biomass and settlement density of background-forming species (Fig. 5). Different feet crustaceans predominate in settlement density along almost the entire length of the tunnel, with the exception of st. 10. A comparable trend is evident in the case of bivalves with regard to biomass.
Fig. 5. Distribution diagram of groups of organisms that provide maximum density and biomass in the biofouling community of the CHP-2 water intake tunnel: biomass B of Amphipoda (a) and Bivalvia (b), total macrofouling biomass Btot (c), density D of Amphipoda (d) and Bivalvia (e), total macrofouling density Dtot (f). The red arrows indicate the water flow
Discussion
A comparison of the taxonomic composition of the Vladivostok CHP-2 tunnel macrofouling for 2001 and 2015 showed that the total number of species increased by almost a third over the 14 years, with 63 and 91 species, respectively (Fig. 3). The prevalence of the most abundant macrofouling species exhibits a general trend, with bivalve mollusks, polychaete worms and different feet crustaceans demonstrating the greatest species diversity. Concurrently, the number of polychaete species exhibited a fourfold increase in 2015 relative to the 2001 survey data. The ratio of other groups of fouling species remained relatively constant.
In 2001, an increase in total raw biomass at the beginning of the tunnel, as in 2015, was not observed. However, a notable increase was recorded in the turning area at the last stations as well as in the zone of increased flow turbulence, specifically the transition from the steel pipe to the concrete tunnel and vice versa.
The results of the assessment indicate the focal character of distribution of macrofouling organisms in the Vladivostok CHP-2 water intake tunnel. Such a mosaic in the distribution of quantitative abundance of fouling was observed both in 2001 [8] and in 2015. Main accumulations of background-forming fouling species are observed in different hydrodynamic conditions of the tunnel sections, namely, in the areas of tunnel bending (turning) under conditions of increased turbulence. A notable decrease in fouling biomass was observed in the central section of the tunnel, with a subsequent increase on the steel substrate at the end of the tunnel. This phenomenon can be attributed to the narrowing of the passage, increased flow turbulence in this section and a reduction in siltation. The cross-sectional area of the steel pipe is 25% smaller than that of the concrete tunnel. It is in the transition areas that the greatest difference in the quantitative indicators of the fouling community was observed.
The spatial distribution of fouling organisms on the inner side of the tunnel is related to the peculiarities of water movement, which is one of the main factors determining the distribution of animals on natural and man-made substrates [8]. It is notable that microvortex motions, otherwise known as microscale turbulence, occupy a distinctive position in this context. Despite the relatively simple geometry of the Vladivostok CHP-2 water intake tunnel, the water motion within it exhibits a complex pattern. This includes the formation of areas of local concentration of tangential stresses, whirlpool zones and transverse circulations, which give rise to a corkscrew-like motion. This is well illustrated in the figure scheme presented in monograph [8].
A more precise estimation of the quantitative macrofouling of the intake tunnel using a laser rangefinder revealed a greater degree of fouling in the tunnel in 2015 compared to the findings of the 2001 study. In 2001, oyster fouling in the tunnel was observed to occur only sporadically. By 2015, however, the fouling community had become a continuous settlement of giant oysters. This community does not lend itself well to physical cleaning methods because oysters are more resistant to elevated water temperatures and oxygen-free abiotic conditions. A particular threat to the tunnel's techno-ecosystem is the climax bivalve mollusk community involving the Pacific mussel. The removal of the mollusks could potentially lead to a disruption in the stable operation of the cooling system. At the time of the 2015 works, the risk of the mussel and oyster flaps falling into the condenser tubes was considerable. Given the flow capacity in the Vladivostok CHP-2 tunnel, mussel flaps can break off unimpeded, and this probability increases as the mollusks grow.
The 2015 research findings suggest that the regular thermal treatment of the power plant tunnels is not an efficacious approach. Even if such substantial fouling is eradicated through thermal treatment, the aggregation of vast quantities of inert detritus (the shells of mollusks and barnacles, and the calcareous structures of tubeworms) can result in an increase in surface irregularities, thereby facilitating the recurrence of fouling.
In order to minimise the risks of biodamage to the power plant cooling system as a result of fouling by fouling organisms, it is necessary to implement an integrated strategy combining physical protection methods and other technological implementations. Such methods include the utilisation of fully environmentally sound contemporary techniques, such as self-polishing antifouling coatings [9]. The efficacy of such coatings is contingent upon the minimisation of adhesion between the fouling agent and the surface, which is achieved through the utilisation of low surface energy and elastic modulus. The method of pulse supply of 35% hydrogen peroxide and iron salts [6] or ozonation of water during the period of mass settlement of mollusks can also be employed. The method can be easily automated, obviating the need for human intervention.
It is pertinent to highlight the recent development of a ground stand, a controlled water flow facility, which can be utilised for the assessment and validation of the characteristics of protective coatings on substrates under examination, including antifouling and anti-corrosion coatings [10]. Semi-autonomous robots for laser technology of surface cleaning, currently under development by researchers at Institute of Automation and Control Processes FEB RAS, have the potential to be employed as environmentally sound methods to protect structures operating in aquatic environments from biofouling 3 [11, 12]. The robotised complex of laser cleaning of underwater surfaces of ships and offshore structures, which allows to remove biofouling, can also be used for cleaning of CHP water intakes from biofouling [13, 14]. Furthermore, Chinese specialists are currently implementing a shock-wave method to eliminate mussel fouling, which has been demonstrated to have an excellent antifouling effect on the cooling system surfaces [15].
It is imperative that, concurrently with the application of antifouling coatings, the operational parameters of the power plant are adjusted during the period of intensive macrofouling organism settlement which spans from May to September. They consist of continuous operation of each cooling system tunnel for no more than two months during the specified season. Following this, a shutdown and dewatering period of one to two weeks is initiated to eradicate macrofouling
at the earliest stages of community formation. The proposed technique has the potential to replace the costly heat treatment process, although it can be employed in conjunction with the latter to minimise the time required for CHP tunnel maintenance. It is possible to continue this practice during winter months without heat treatment application.
Conclusion
For the first time, a quantitative survey of macrofouling in the underground water intake tunnel of the Vladivostok CHP-2 was carried out using laser technologies. A macrofouling community was identified as being present throughout the inner surface of the tunnel, exhibiting a predominantly focal distribution. In the tunnel fouling, 91 species of invertebrates belonging to various taxonomic groups were found. The most prevalent species among them in terms of density were representatives of the crustacean order Amphipoda, while in terms of biomass, the bivalve mollusks Mytilus trossulus and Magallana gigas were most abundant. The greatest degree of macrofouling development in the lower part of the intake tunnel, with a quantitative prevalence of M. trossulus, was identified. Additionally, a notable prevalence of attached polychaete worms with their hard calcareous structures was observed in the upper part of the water intake.
The degree of tunnel fouling was found to be higher in 2015 than in 2001, and significant differences were identified in species composition and quantity. Under conditions of increased turbulence, the main accumulations of background-forming macrofouling species were observed in the area of the steel pipe bending. The waterway steel sections exhibited the highest biomass of hard deposits, whereas the concrete sections were characterised by a quantitative dominance of silt biodeposits.
A notable discrepancy was observed in the quantitative indices of total raw biomass of tunnel macrofouling and macrofouling biomass (with a ratio of 35 to 50 ti- mes). In light of the findings, recommendations are put forth for the development of environmentally sound physical methods of protection of power plant cooling systems from marine fouling in conjunction with other technological approaches.
1 WHOI, 1952. Marine fouling and its prevention. Menasha: George Banta Publishing Co., 388 p. doi:10.1575/1912/191
2 Young, C.-S., 1971. Thermal discharges into the coastal waters of Southern California. Los Angeles, 30 p. Available at: https://ftp.sccwrp.org/pub/download/DOCUMENTS/TechnicalReports/0003_ ThermalDischarges.pdf [Accessed: 24 November 2024].
3 Kulchin, Yu.N., 2020. [Development of Research of Laser Technologies and their Practical Applications in the Russian Far East]. Lazer-Inform, (10), pp. 1–11 (in Russian).
Sobre autores
Sergey Maslennikov
A.V. Zhirmunsky National Scientific Center of Marine Biology FEB RAS; Far Eastern Federal University
Email: 721606@mail.ru
ORCID ID: 0000-0003-4776-0624
Código SPIN: 9151-6468
Senior Research Associate, Ph.D. (Biol.)
Rússia, Vladivostok; Ayaks, Russkiy IslandAleksandr Zvyagintsev
A.V. Zhirmunsky National Scientific Center of Marine Biology FEB RAS
Email: ayzvyagin@gmail.com
Código SPIN: 1479-8787
Senior Research Associate, Ph.D. (Biol.)
Rússia, VladivostokAndrey Begun
A.V. Zhirmunsky National Scientific Center of Marine Biology FEB RAS
Autor responsável pela correspondência
Email: andrejbegun@yandex.ru
ORCID ID: 0000-0002-8383-796X
Código SPIN: 4786-6332
Research Associate, Senior Research Associate, Ph.D. (Biol.)
Rússia, VladivostokBibliografia
- Li, T., Liu, S., Huang, L., Huang, H., Lian, J., Yan, Y. and Lin, S., 2011. Diatom to Dinoflagellate Shift in the Summer Phytoplankton Community in a Bay Impacted by Nuclear Power Plant Thermal Effluent. Marine Ecology Pro-gress Series, 424, pp. 75–85. https://doi.org/10.3354/meps08974
- Choi, K.-H., Kim, Y.-O., Lee, J.-B., Wang, S.-Y., Lee, M.-W., Lee P.-G., Ahn, D.-S., Hong, J.-S. and Soh, H.-Y., 2012. Ther-mal Impacts of a Coal Power Plant on the Plankton in an Open Coastal Water Environment. Journal of Marine Science and Technology, 20(2), pp. 187–194. https://doi.org/10.51400/2709-6998.1837
- Protasov, A.A., Sylaieva, A.A., Novoselova, T.N., Gromova, Yu.F., Morozovskaya, I.A. and Stepanova, T.I., 2017. Nuclear Power Plant Teсhnoeсosуstem: 18 Years of Hydrobiological Observations. Journal of Siberian Federal University. Biology, 10(4), pp. 459–484. https://doi.org/10.17516/1997-1389-0045
- Masilamoni, G., Jesudoss, K.S., Nandakumar, K., Satapathy, K.K., Azariah, J. and Nair, K.V.K., 2002. Lethal and Sub-Lethal Effects of Chlorination on Green Mussel Perna viridis in the Context of Biofouling Control in a Power Plant Cooling Water System. Marine Environmental Research, 53(1), pp. 65–76. https://doi.org/10.1016/s0141-1136(01)00110-6
- Venkatesan, R. and Murthy, P.S., 2008. Macrofouling Control in Power Plants. In: H. C. Flemming, P. S. Murthy, R. Venkatesan and K. Cooksey, eds., 2008. Marine and Industrial Biofouling. Berlin, Heidel-berg: Springer, pp. 435–446. https://doi.org/10.1007/978-3-540-69796-1_14
- Zvyagintsev, A.Y., Poltarukha, O.P. and Maslennikov, S.I., 2015. Fouling on Technical Water Supply Marine Sys-tems and Protection Method Analysis of Fouling on Water Conduits (Analytical Review). Water: Chemistry and Ecology, (1), pp. 30–51 (in Russian).
- Begun, A.A. and Maslennikov, S.I., 2021. Influence of the Technical Ecosystem of the Electric Power Plant (Vladi-vostok) on the Phytoplankton of the Japanese Sea. Water Resources, 48(3), pp. 404–412. https://doi.org/10.1134/S0097807821030052
- Zvyagintsev, A.Yu. and Moshchenko, A.V., 2010. Marine Techno-Ecosystems of Power Plants. Vladivostok: Dalnauka, 343 p. (in Russian).
- Nurioglu, A.G., Esteves, A.C.C. and de With, G., 2015. Non-Toxic, Non-Biocide-Release Antifouling Coatings Based on Molecular Structure Design for Marine Applications. Journal of Materials Chemistry B, 32, pp. 6547–6570. https://doi.org/10.1039/C5TB00232J
- Zvyagintsev, A.Yu., Maslennikov, S.I., Tsvetnikov, A.K., Begun, A.A. and Grigo- ryeva, N.I., 2021. Study of Fouling Communities Succession Under Conditions of the Device of Controlled Water Flow. Marine Biological Journal, 6(1), pp. 17–33. https://doi.org/10.21072/mbj.2021.06.1.02
- Kulchin, Yu.N., Zvyagintsev, A.Yu., Subbotin, E.P., Maslennikov, S.I. and Begun, A.A., 2015. Perspectives and Tech-nical-Economic Aspects of Elaboration of New Methods of Controlling Biofouling on the Maritime Transport. Vestnik of Far Eastern Branch of Russian Academy of Sciences, (6), pp. 96–102 (in Russian).
- Veiko, V.P., Kishalov, A.A., Mutin, T.Yu. and Smirnov, V.N., 2012. Laser Cleaning: Aspects of Industrial Application. Scientific and Technical Journal of Information Technologies, Mechanics and Optics, (3), pp. 50–54 (in Russian).
- Kulchin, Yu.N., Nikitin, A.I. and Subbotin, E.P., 2020. Laser Underwater Cleaning of Hulls of Sea Vessels. Applied Photonics, 7(4), pp. 86–101 (in Russian).
- Bogdanov, E.V. and Budnikov, K.O., 2023. Laser Cleaning and Protection of Ship Hulls and Ships from Corrosion. Morskoy Vestnik, (1), pp. 54–56. https://doi.org/10.56192/ 18123694_2023_1_54 (in Russian).
- Ge, H., Wang, H. and Gao, Z., 2019. Control of Mussel Mytilus galloprovincialis Lamarck Fouling in Water-Cooling Systems Using Plasma Discharge. Water Science and Technology, 80(6), pp. 1125–1133. https://doi.org/10.2166/wst.2019.361
Arquivos suplementares












