Моделирование морфодинамики искусственного пляжа в береговой зоне пгт Коктебель (Крым) под воздействием штормового волнения
- Авторы: Харитонова Л.В.1, Лазоренко Д.И.1, Алексеев Д.В.1, Фомин В.В.1
-
Учреждения:
- Морской гидрофизический институт РАН
- Выпуск: № 3 (2024)
- Страницы: 93-109
- Раздел: Статьи
- URL: https://ogarev-online.ru/2413-5577/article/view/271408
- ID: 271408
Цитировать
Аннотация
Искусственные пляжи являются одним из наиболее эффективных методов защиты берегов и гидротехнических сооружений в условиях дефицита естественного пляжеобразующего материала. В статье на примере района берега пгт Коктебель (г. Феодосия, Крым) исследуется изменение ширины зон размыва искусственного галечного пляжа, расположенного перед отвесной бетонной гидротехнической стенкой, под воздействием экстремальных штормов. На основе данных реанализа ветрового волнения, полученных с использованием спектральной модели SWAN и полей приземного ветра ERA-Interim и ERA5 за 1979–2020 гг., проведены расчеты индекса мощности шторма в центральной части бухты Коктебель. Выделено 146 штормовых ситуаций с продолжительностью не менее 12 ч. Проанализировано три наиболее экстремальных шторма: по индексу мощности (660 м2×ч) – шторм 26–29 января 1988 г.; по средней высоте значительных волн (3.6 м) – шторм 10–11 ноября 2007 г.; по длительности (95 ч) – шторм 25–29 сентября 2017 г. Для первого и второго штормов на основе одномерного варианта численной модели XBeach (eXtreme Beach behavior) рассчитаны штормовые деформации профиля искусственного, прислоненного к отвесной бетонной стенке галечного пляжа. Показано, что под воздействием штормового волнения крутизна берега в районе уреза постепенно меняется и происходит сползание материала с приурезовой части пляжа вниз по подводному склону. Это приводит к локальному уменьшению глубины у берега. Установлено, что ширина зоны размыва подводной части пляжа в три раза больше надводной. Наиболее значительные деформации профиля пляжа происходят в первые 6 часов действия штормов, далее скорость деформации снижается. Отступание береговой линии под воздействием экстремального шторма для исследуемого района может достигать 10 м. При средней крупности пляжеобразующего материала 30 мм для береговой зоны бухты Коктебель пляжи шириной 20 м и более могут полностью гасить энергию волнения экстремальных штормов и в достаточной мере выполнять защитные функции.
Ключевые слова
Полный текст
Введение
Хозяйственная деятельность человечества с давних времен неразрывно связана с освоением побережья морей и океанов. Побережье Крыма в большинстве случаев используется комплексно для городского, портового и курортного строительства [1]. Поэтому и требования к защите берега предъявляются соответствующие: береговые защитные сооружения должны быть эффективными и максимально учитывающими природные процессы. Таким требованиям удовлетворяют как искусственные свободные пляжи, так и образующие комплекс с пляжеудерживающими сооружениями. Согласно работе [2], на черноморском побережье для гашения волн, возможных один раз в 25 лет, волногасящий пляж должен иметь ширину ~ 25 м. В условиях дефицита пляжевого материала главным условием эффективной и долговременной работы берегозащитных сооружений является своевременная и выполняемая в необходимом объеме подпитка пляжеобразующим материалом. При сокращении ширины пляжей снижается не только их волногасящая функция, но и рекреационные возможности. Так, рекреационные пляжи должны иметь ширину не менее 35 м. Немаловажным фактором для комфортного отдыха на пляже является слагающий его материал. Наибольшую эффективность имеют искусственные волногасящие галечные и щебеночные пляжи, при этом с экономической точки зрения создание и эксплуатация таких пляжей дешевле создания песчаных в 2–3 раза (меньше объемы первоначальной отсыпки, истирания и уноса пляжеобразующего материала) [2]. Оптимальной для рекреационных целей является крупность материала 30–40 мм.
В настоящее время общей проблемой для побережья Крыма является значительный износ и повреждения берегозащитных сооружений, сроки эксплуатации которых близки к предельному (50 лет) [3]. Значительная их часть в аварийном состоянии, так как их эксплуатация не производилась должным образом: пляжи не пополнялись пляжеобразующим материалом, поврежденные штормами сооружения не ремонтировались. С 2014 г. по настоящее время в Республике Крым в рамках федеральной целевой программы ведется реконструкция значительного числа берегозащитных комплексов. Генеральная схема по защите берегов региона отсутствует. В соответствии с п. 5.8 СП 277.1325800.2016 1) для ее разработки требуются дополнительные научные изыскания. В связи с этим актуальной задачей является исследование динамики пляжей различных районов полуострова под воздействием реальных экстремальных штормовых ситуаций с помощью методов математического моделирования.
Одной из современных свободно распространяемых моделей для исследования переформирования береговой зоны гидродинамическими процессами является двумерная модель XBeach (eXtreme Beach behavior) 2) [4, 5]. Региональные модельные исследования динамики береговой зоны для берегов Черного моря проводились для болгарского побережья [6, 7], берегов Западного Крыма [8–15]. Применение модели к задачам проектирования и строительства защитных гидротехнических сооружений описано в работе [15].
Цель данной работы – на основе численного моделирования исследовать изменение ширины зон размыва искусственного галечного пляжа, расположенного перед отвесной бетонной гидротехнической стенкой, под воздействием экстремальных штормов на примере пгт Коктебель.
Характеристика района исследований
Антропогенная нагрузка на разные участки берега Крыма различна. Так, восточный берег подвергся воздействию хозяйственной деятельности в наименьшей мере [16]. Однако на локальных участках, таких как популярный курорт пгт Коктебель, береговая зона преобразована в значительной степени.
Поселок расположен на берегу бухты Коктебель Черного моря, ограниченной м. Планерным с юго-запада и м. Лагерным с востока (рис. 1). Протяженность береговой линии бухты составляет около 7 км. Бухта мелководная: глубины 5 м отмечаются на расстоянии около 200–300 м от берега, а на внешней границе бухты составляют около 10–15 м. Наибольшую повторяемость (~ 39 %) имеют ветры, приходящие со стороны суши (сектор 0°–90°), максимальная повторяемость сильных ветров (более 15 м/с) соответствует северо-восточному направлению. Со стороны моря для исследуемого района наиболее волноопасным является сектор 90°–180°. Более 50 % всех штормов приходит в исследуемый район с востока (90°) и востоко-юго-востока (112.5°), при этом наиболее высокие штормовые волны с высотами более 2.5 м проникают в бухту от направления востоко-юго-восток. Исследование ветрового климата бухты на основе реанализа ветрового волнения за современный климатический период 1979–2020 гг. приведено в работе [17]. Анализ экстремальных характеристик волнения показал, что длительность штормовых ситуаций с высотой значительных волн более 1.57 м изменяется в пределах от 5.6 до 34.3 сут, а их среднее значение составляет 16.4 сут. Длительность штормовых ситуаций, осредненная по месяцам, изменяется в пределах от 0.6 до 9.8 сут. Наиболее продолжительные штормовые ситуации (более 7 сут) возникают с ноября по март. Минимальная продолжительность штормов (менее 1 сут) отмечается в мае – августе.
В работе [18] дано подробное описание антропогенного воздействия на береговую зону бух. Коктебель за последние 100 лет. С 1950-х гг. началось активное преобразование побережья. Промышленная добыча песчано-гравийных смесей, строительство комплекса берегозащитных сооружений (их доработки и реконструкции) на значительном протяжении района привели к деградации естественных песчано-гравийно-галечных пляжей, имевших ширину 20–30 м. Блокировка клифов и зарегулирование водотоков привели к тому, что в настоящее время естественная подпитка пляжей бух. Коктебель происходит за счет абразии незастроенных клифов западной и восточной частей бухты и поступления биогенного материала с подводного берегового склона. Так как почти половину береговой зоны занимают техногенно преобразованные берега (около 3 км), пляжи в значительной степени состоят из привозного материала [18].
Рис. 1. Положение изучаемой области (a); батиметрическая карта-схема бух. Коктебель (b) (точка 11.5 м – точка статистического анализа SWAN-ERA; красная линия – профиль береговой зоны для моделирования)
Fig. 1. Location of the area under study (a); bathymetric map of Koktebel Bay (b) (reference point with depth of 11.5 m for SWAN-ERA statistical analysis; red line represents profile of the modeled coastal zone)
В работе [19] представлено исследование современного гранулометрического состава наносов в береговой зоне пгт Коктебель. Установлено, что по гранулометрическому составу наносы достаточно разнообразны: в приурезовой полосе преобладает крупнозернистый галечно-гравийный материал с примесью песчаного материала крупно- и мелкозернистых фракций (около 15 %); центральная часть пляжей состоит преимущественно из крупного гравия (27 %) и крупного песка (26 %) с включениями мелкого гравия (18 %) и среднего песка (14 %); в тыловой зоне пляжей преобладает преимущественно крупный гравий (около 60 %).
Реконструкция комплекса берегозащитных сооружений пгт Коктебель в последний раз производилась в конце 1980-х гг., когда были построены набережные, создан искусственный пляж и произведена резервная отсыпка щебня на самом западном участке побережья. Такая схема берегозащитных сооружений эффективно выполняла свои функции. Однако в начале ХХI в. участок резервной отсыпки начали застраивать, вследствие чего началась активная деградация пляжей и возникла необходимость реконструкции комплекса берегозащитных сооружений [18]. В настоящее время ведется реконструкция набережной и восстановление пляжей бух. Коктебель общей протяженностью 1850 м (сроки работ 2023 – конец 2024 гг.). В проекте учтены результаты данной работы.
Материалы и методы
Для расчета штормовых деформаций профиля пляжа использовались данные ретроспективных расчетов ветровых волн за период 1979–2020 гг. из массива модельных данных (далее – массив SWAN-ERA). Реанализ был получен с применением численной спектральной модели SWAN (Simulating Waves Nearshore) [20] на неструктурированной расчетной сетке со сгущением в прибрежной зоне Черного моря [21]. Атмосферным форсингом модели служили данные глобальных атмосферных реанализов ERA-Interim и ERA5 3).
Из массива SWAN-ERA был выбран узел расчетной сетки, расположенный в центре бухты Коктебель на изобате ~ 11.5 м (рис. 1, b). Для этой точки были сформированы многолетние ряды параметров с дискретностью по времени 1 ч, включающие: скорость и направление ветра на высоте 10 м; высоту значительных волн hs; средний период волн ; среднее направление волнения q; пиковый период волн tp. Рассчитанные оперативные характеристики волнения для бухты Коктебель представлены в работе [17]. Для дальнейших расчетов из массива SWAN-ERA были выделены штормы и рассчитан индекс мощности шторма SPI (Storm Power Index).
В качестве критерия выделения штормов использовалось условие [22]
, (1)
где hs – высота значительных волн в фиксированный момент времени, м; = 0.61 м – среднемноголетнее значение hs для данного ряда; s = 0.48 м – среднеквадратическое отклонение ряда hs. Получаем, что минимальное пороговое значение высоты значительных волн hst = 1.57 м. Таким образом, шторм – это событие, определяемое как период времени, в течение которого hs достаточно долго превышает минимальное пороговое значение hst.
Индекс мощности шторма SPI рассчитывался по формуле [22, p. 5]
, (2)
где hd – среднее за период шторма значение hs, м; Td – продолжительность шторма, ч.
Профиль береговой зоны для моделирования был выбран соответствующим центральной части набережной пгт Коктебель (рис. 1, b). По данным съемки прибрежной акватории бухты построен профиль берегового склона. В зоне пляжа исходный профиль был перестроен согласно параметрам профиля динамического равновесия галечного пляжа со средней крупностью однородного галечного материала D50, равной 30 мм, что соответствует наиболее комфортному пляжному отдыху.
На основе данных о волновом режиме в бух. Коктебель [17] был проведен расчет параметров поперечного профиля надводной и подводной частей пляжа по нормативной методике, изложенной в руководстве СП 277.13258000.2016 1), определяющем порядок устройства берегозащитных сооружений на морском побережье РФ. Расчеты проводились по третьему обрушению волн, высота волн на линии первого обрушения 1%-ной обеспеченности составила 2.55 м, 30%-ной обеспеченности – 1.45 м. Согласно данным МГ Феодосия, в Балтийской системе (БС) уровень моря 1%-ной обеспеченности из наивысших за год H1% = 0.28 м БС; средний уровень моря H50% = −0.2 м БС. Полученный профиль динамического равновесия пляжа приведен на рис. 2 (врезка).
На берегу модельный профиль ограничен отвесной бетонной стеной набережной, которая задавалась в виде неразмываемого объекта с отметкой высоты 4 м. Далее исходный профиль изменялся в приурезовой части: перед стеной набережной ширина искусственного галечного пляжа полагалась равной 10 (F10), 20 (F20), 30 (F30) и 40 м (F40) (рис. 2). Так как ширина расчетного профиля динамического равновесия составляет около 24 м, то при ширине более 20 м профиль пляжа был линейно продлен на отметке высоты 2.73 м.
Рис. 2. Модельные профили динамического равновесия при ширине проектируемого пляжа F10 = 10 м, F20 = 20 м, F30 = 30 м и F40 = 40 м в центральной части набережной пгт Коктебель; на врезке – расчетный профиль для среднего размера частиц 30 мм
Fig. 2. Modeling profiles at the width of the designed beach F10 = 10 m, F20 = 20 m, F30 = 30 m and F40 = 40 m in the central part of the embankment in the village of Koktebel. The inset shows the estimated dynamic equilibrium profile for a mean particle size of 30 mm
Для моделирования штормовых деформаций профилей пляжа и подводного берегового склона использовался одномерный вариант численной модели XBeach. Исходные коды модели находятся в открытом доступе 4). В модели используется локальная система координат, в которой ось x ориентирована в направлении берега перпендикулярно береговой линии.
Штормовое волнение на мористой границе расчетной области (x = 0) задавалось с помощью спектра JONSWAP 2), который определяется показателем углового рассеивания волн s = 10, высотой значительных волн hs и пиковым периодом волн tp.
Пространственное разрешение в модели XBeach составляло 0.5 м, длина расчетной области ~ 550 м. Интегрирование модели по времени проводилось с шагом Δt = 0.025 c. При интегрировании по времени выдавались профили пляжа z(x, t) с дискретностью 1 ч. Деформации профиля пляжа в момент времени t определялась как
, (3)
где z(x, 0) – профиль пляжа при t = 0.
Обсуждение результатов
Расчет индекса мощности шторма SPI для центральной части бух. Коктебель позволил выделить 146 штормов с продолжительностью не менее 12 ч по данным SWAN-ERA за 1979–2020 гг. Для выбранных штормов значения SPI изменяются в пределах 62–660 м2×ч, средняя продолжительность активной фазы штормовых ситуаций составляет T = 26 ч, в период развитой фазы шторма высота значительных волн hs изменяется от 2.3 до 3.6 м при среднем значении 2.6 м. В табл. 1 приведены характеристики 25 наиболее сильных штормов по индексу мощности шторма SPI, ранжированные по убыванию его значения.
На рис. 3–5 показаны высота значительных волн и среднее направление волнения для трех разных штормов, экстремальных по индексу мощности шторма, среднему значению hs и продолжительности активной фазы.
Первая рассматриваемая штормовая ситуация, обозначим ее как S1, началась 10 ноября 2007 г. и была сформирована глубоким, быстро перемещающимся осенним циклоном (рис. 3). Активная фаза шторма длилась 25 ч. Преобладающими были ветры юго-восточного и южного направлений. Средняя высота значительных волн (hs) для активной фазы шторма равнялась 3.6 м (максимальное значение для всех выделенных штормов); период (tp) – 9.6 c. При этом индекс мощности шторма SPI составил всего 320 м2×ч (табл. 1).
Вторая (S2) (рис. 4) и третья (S3) (рис. 5) штормовые ситуации начались 26 января 1988 г. и 25 сентября 2017 г. соответственно. Эти штормы были вызваны интенсивными продолжительными малоподвижными антициклоническими аномалиями, для которых характерны ветры от востоко-юго-востока (112.5°). Шторм S2, имеющий максимальное значение индекса мощности SPI, равное 660 м2×ч, характеризуется следующими значениями параметров для активной фазы: hs = 2.9 м; tp = 9.4 c; T = 72 ч. Шторм S3 имел максимальную из всех выделенных штормов продолжительность активной фазы 95 ч, индекс мощности составил 625 м2×ч, а средняя высота значительных волн – 2.6 м.
Таблица 1. Характеристики интенсивных штормов в центральной части бух. Коктебель по данным реанализа волнения SWAN-ERA за 1979–2020 гг.
Table 1. Characteristics of intense storms in the central part of Koktebel Bay according to the SWAN-ERA wave reanalysis data for 1979–2020.
Дата | Продолжительность шторма, ч / | Среднее значение hs, м / | Индекс мощности шторма, м2×ч / |
1988.01.30 | 77 | 2.9 | 660 |
2017.09.25 | 95 | 2.6 | 625 |
1979.02.18 | 83 | 2.7 | 623 |
1993.11.22 | 87 | 2.7 | 615 |
2005.02.03 | 94 | 2.5 | 570 |
2012.01.25 | 67 | 2.9 | 560 |
2014.10.25 | 58 | 2.8 | 465 |
2012.02.06 | 40 | 3.4 | 460 |
1997.12.15 | 55 | 2.9 | 450 |
1983.09.19 | 56 | 2.7 | 398 |
1998.01.22 | 50 | 2.8 | 378 |
1988.03.01 | 53 | 2.6 | 360 |
1993.11.29 | 50 | 2.7 | 360 |
1981.02.28 | 44 | 2.8 | 338 |
2007.11.10 | 25 | 3.6 | 320 |
1987.10.27 | 44 | 2.7 | 312 |
1993.01.02 | 45 | 2.6 | 310 |
1994.10.21 | 38 | 2.9 | 308 |
2020.02.10 | 30 | 3.1 | 286 |
1979.12.25 | 39 | 2.7 | 274 |
2002.12.01 | 32 | 2.9 | 263 |
1993.11.10 | 38 | 2.6 | 256 |
1980.01.03 | 32 | 2.8 | 254 |
2008.11.22 | 28 | 3.0 | 252 |
2001.11.24 | 24 | 3.2 | 249 |
Рис. 3. Высота значительных волн (а) и среднее направление волнения (b) в центральной части бух. Коктебель экстремального по среднему значению hs = 3.6 м (T = 25 ч, SPI = 320 м2×ч) шторма (S1) согласно данным SWAN-ERA
Fig. 3. Significant wave heights (a) and mean wave direction (b) in the central part of Koktebel Bay for storm (S1) which is extreme by significant wave height value (hs = 3.6 m, T = 25 h, SPI = 320 m2×h) according to SWAN-ERA data
Рис. 4. Высота значительных волн (а) и среднее направление волнения (b) в центральной части бух. Коктебель экстремального по штормовому индексу SPI = 660 м2×ч (hs = 2.9 м, T = 77 ч) шторма (S2) согласно данным SWAN-ERA
Fig.4. Significant wave heights (a) and mean wave direction (b) in the central part of Koktebel Bay for storm (S2) which is extreme by storm index (SPI = 660 m2×h, hs = 2.9 m, T = 77 h) according to SWAN-ERA data
Рис. 5. Высота значительных волн (а) и среднее направление волнения (b) в центральной части бух. Коктебель для шторма экстремального по продолжительности T = 95 ч (hs = 2.6 м, SPI = 625 м2×ч) шторма (S3) согласно данным SWAN-ERA
Fig. 5. Significant wave heights (a) and mean wave direction (b) in the central part of Koktebel Bay for storm (S3) which is extreme by duration (T = 95 hours, hs = 2.6 m, SPI = 625 m2×h) according to SWAN-ERA data
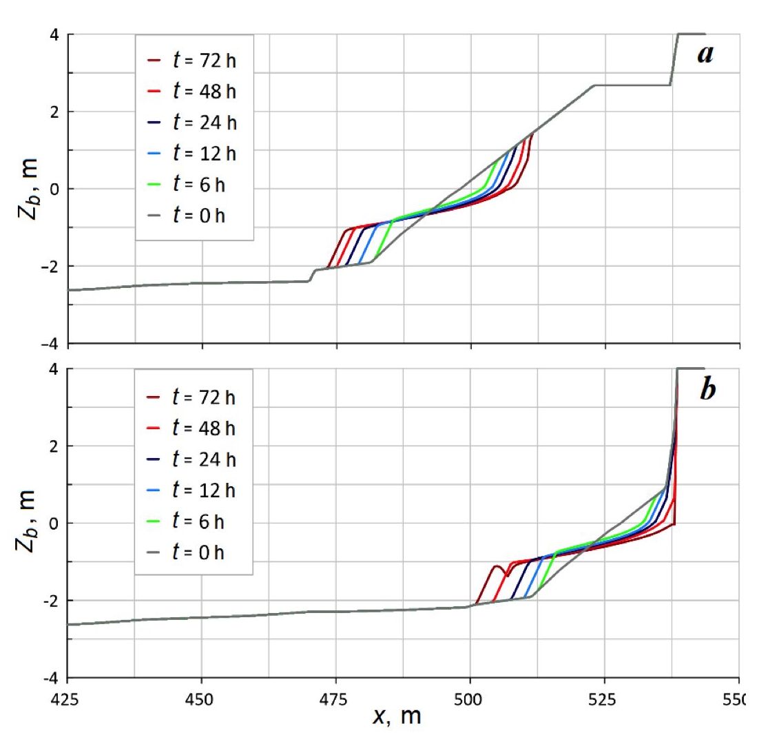
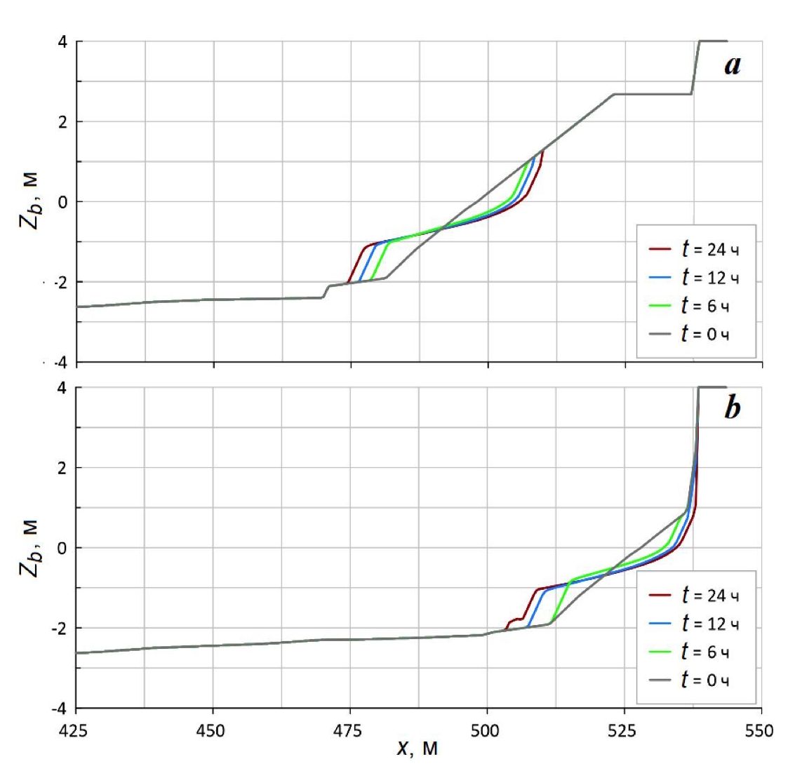
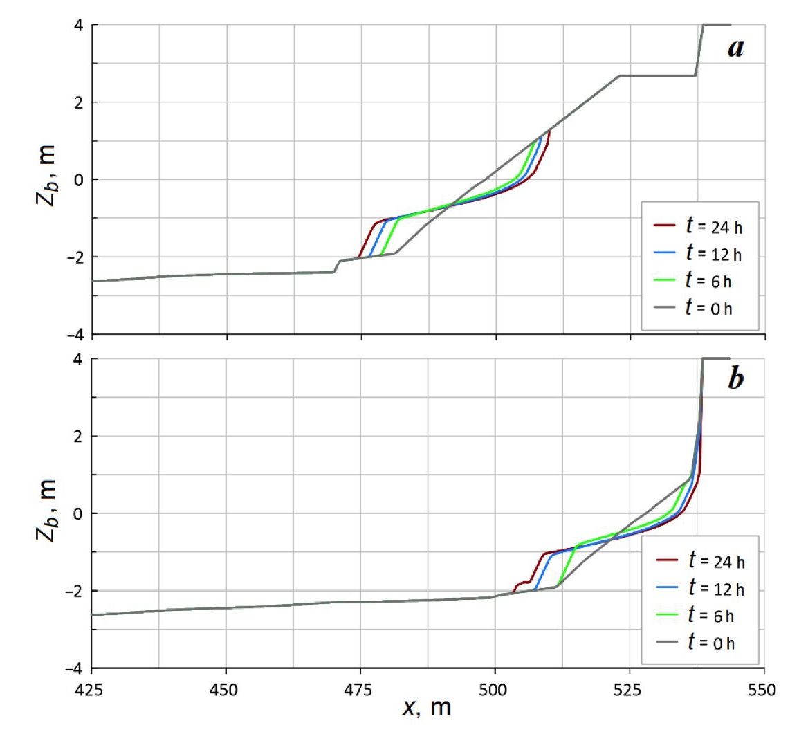
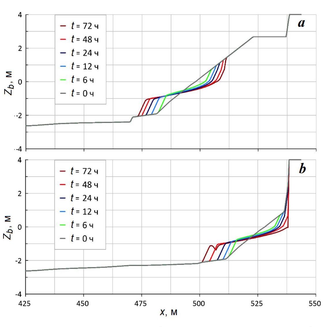
Результаты моделирования деформаций профиля искусственного галечного пляжа для четырех их вариантов при воздействии штормов S1 и S2, имеющих максимальные значения высоты и индекса мощности, приведены на рис. 6, 7.
Проанализировав графики, можно констатировать следующее. Под воздействием штормового волнения крутизна берега в районе уреза постепенно меняется и происходит сползание галечного материала с приурезовой части пляжей вниз по подводному склону, что приводит к локальному уменьшению глубины у берега. В верхней части профиля пляжей возникает размыв, приводящий к отступанию уреза. Протяженность зоны деформаций дна от уреза воды существенно больше, чем ширина зоны размыва надводной части пляжа. Наиболее значительные деформации профиля пляжей происходят в первые часы действия штормов. Далее скорость деформаций уменьшается, что обусловлено увеличением диссипации волновой энергии на сформированном волнами подводном уступе.
Для количественной оценки деформаций береговой зоны, вызванных штормовым волнением, для каждого из четырех вариантов профилей рассчитывались: LC – ширина зоны размыва берега; LS – протяженность зоны деформаций дна от уреза воды в сторону моря. Началом отсчета при определении параметров LC и LS служило положение уреза воды в начальный момент времени. Внешняя граница зоны деформаций дна определялась по координате самой первой мористой точки, в которой деформации дна по абсолютной величине достигали 0.1 м.
Рис. 6. Расчетный профиль пляжа F40 (а) и F10 (b) для четырех моментов времени при действии шторма S1
Fig. 6. Calculated beach profile F40 (a) and F10 (b) for four points of time during S1 storm
Результаты расчетов параметров LC и LS даны в табл. 2, 3. Видно, что наибольшие изменения LC и LS происходят в первые 6 часов действия штормов. Таким образом, даже при не очень длительном шторме отступление береговой линии может достигать 3.9–5.3 м. Через сутки действия шторма (t = 24 ч) значения LC находятся в пределах 6.4–8.3 м для шторма S1 и 6.1–6.7 м для шторма S2. На конец действия шторма S2 (t = 72 ч) значения LC достигают 9.1–10.0 м. Для всех типов профилей протяженность зон размыва подводной части в три раза больше зон размыва берега.
Наиболее критическая ситуация возникает на момент окончания действия шторма S2 для профиля с шириной пляжа 10 м (F10): при t = 72 ч значение LC = 10 м. Штормовые волны полностью размывают пляж до основания защитной стенки, что хорошо прослеживается на рис. 7, d. При этом расчетная зона деформации дна также достигает максимальных значений LS = 26.5 м. Такой эффект объясняется усилением обратного потока при отражении волн от бетонной стенки, который оттягивает материал на большие глубины. Для профиля с шириной пляжа 20 м (F20) на конец действия шторма S2 береговая линия отступает на 9.7 м, соответственно ширина надводной части пляжа будет составлять 10.3 м.
Рис. 7. Расчетный профиль пляжа F40 (а) и F10 (b) для шести моментов времени при действии шторма S2
Fig. 7. Calculated beach profile F40 (a) and F10 (b) for six points of time during S2 storm
Таблица 2. Ширина зоны размыва надводной части пляжа LС (м) при разном времени действия штормов S1 и S2
Table 2. Erosion zone width of the above-water part of beach LС (m) at different durations of S1 and S2 storms
Профиль пляжа / Beach profile | S1 | S2 | ||||||
Время действия шторма, ч / | ||||||||
6 | 12 | 24 | 6 | 12 | 24 | 48 | 72 | |
F40 | 5.3 | 6.5 | 7.6 | 4.0 | 5.5 | 6.7 | 8.2 | 9.1 |
F30 | 4.1 | 5.8 | 7.3 | 3.9 | 5.2 | 6.5 | 8.1 | 9.7 |
F20 | 5.0 | 6.9 | 8.3 | 4.0 | 5.5 | 7.2 | 8.8 | 9.7 |
F10 | 4.1 | 5.7 | 6.4 | 3.9 | 5.0 | 6.61 | 7.3 | 10.0 |
Среднее / Averaged | 4.6 | 6.2 | 7.4 | 4.0 | 5.3 | 6.6 | 8.1 | 9.6 |
Таблица 3. Ширина зоны деформаций дна LS (м) от уреза при разном времени действия штормов S1 и S2
Table 3. Width of bottom deformation zone LS (m) from the coastline at different durations of S1 and S2 storms
Профиль пляжа / Beach profile | S1 | S2 | ||||||
Время действия шторма, ч / | ||||||||
6 | 12 | 24 | 6 | 12 | 24 | 48 | 72 | |
F40 | 18.5 | 21.0 | 23.0 | 15.0 | 18.5 | 20.5 | 22.5 | 24.0 |
F30 | 16.5 | 19.0 | 23.0 | 14.0 | 17.5 | 20.5 | 23.5 | 25.5 |
F20 | 18.0 | 20.5 | 23.0 | 15.0 | 18.0 | 20.0 | 22.5 | 24.0 |
F10 | 15.5 | 20.0 | 24.0 | 14.5 | 17.5 | 20.0 | 23.0 | 26.5 |
Среднее / Averaged | 17.1 | 20.1 | 23.3 | 14.6 | 17.9 | 20.3 | 22.9 | 25.0 |
При более сильном, но менее продолжительном шторме S1 размыва профиля F10 до основания защитной стенки не происходит. После шторма ширина пляжа составляет ~ 3.5 м, при этом даже не очень сильное волнение будет приводить к бомбардированию стенки набережной галькой и ее скорейшему разрушению.
Расчеты, проведенные для шторма S2, показали, что уже через 48 ч воздействия шторма деформации профиля не существенны. Результаты для более длительного шторма меньшей силы (S3) имеют сходные результаты и в работе не приводятся. Поэтому расчеты для более длительного шторма меньшей силы не стали проводить.
Таким образом, результаты проведенных численных экспериментов позволяют предположить, что при средней крупности пляжеобразующего материала D50 = 30 мм профили искусственного пляжа шириной 20 м и более могут гасить энергию штормового волнения и быть приемлемыми способами защиты от экстремального волнения.
Заключение
На основе данных реанализа волнения за 1979–2020 гг. выполнен расчет индекса мощности шторма (SPI) для центральной части бух. Коктебель и выделено 146 штормов с продолжительностью не менее 12 ч. Проанализировано три наиболее экстремальных шторма. Шторм 10–11 ноября 2007 г. имел максимальное значение высоты значительных волн (hs = 3.6 м). Самым мощным (SPI = 660 м2×ч) за 41 год оказался шторм 26–29 января 1988 г. Была выделена также наиболее длительная штормовая ситуация (T = 95 ч) – шторм 25–29 сентября 2017 г.
Для реальных экстремальных штормов выполнены расчеты деформаций профиля искусственного галечного пляжа, прислоненного к отвесной стене набережной. Ширина пляжа составляла 10, 20, 30 и 40 м. Показано, что под воздействием штормового волнения крутизна берега в районе уреза постепенно меняется и происходит сползание материала с приурезовой части пляжей вниз по подводному склону, которое приводит к локальному уменьшению глубины у берега.
В верхней части профиля пляжей возникает размыв, приводящий к отступанию береговой линии. Протяженность зоны размыва подводного берегового склона в приурезовой зоне в три раза больше ширины размыва надводной части пляжа. Наиболее значительные деформации профиля пляжей происходят в первые 6 часов действия штормов. Далее скорость деформации пляжа снижается, что обусловлено увеличением диссипации волновой энергии на сформированном волнами подводном уступе. Размыв надводной части пляжа может достигать 10 м.
На основе результатов численных экспериментов сделан вывод о том, что при средней крупности пляжеобразующего материала D50 = 30 мм находящийся перед клифом или волноотбойной стенкой пляж шириной 10 м и менее не может гасить энергию штормовых волн. При шторме даже небольшой продолжительности пляж полностью будет размыт, а волноотбойная стенка будет подвергаться активному разрушению при бомбардировании галькой. Пляж на таком участке вряд ли будет восстановлен естественным путем, так как отражение волн от поверхности стены будет способствовать оттягиванию пляжеобразующего материала на глубину и уносу его вдольбереговым потоком.
Пляжи шириной 20 м и более могут полностью гасить энергию волнения экстремальных штормов и в достаточной мере будут выполнять защитные функции. Однако при проектировании пляжа рекреационного значения ширина пляжа должна составлять более 30 м.22
1) СП 277.13258000.2016. Сооружения морские берегозащитные. Правила проектирования : свод правил. Москва, 2016. 91 с.
2) Roelvink, D.J.A., van Dongeren, A., McCall, R.T., Hoonhout B., van Rooijen, A., van Geer, P., de Vet, L., Nederhoff, K. and Quataert, E., 2015. XBeach Technical Reference: Kingsday Release. Model Description and Reference Guide to Functionalities. Delft : Deltares, 141 p. doi:10.13140/RG.2.1.4025.6244
3) URL: https://www.ecmwf.int/en/forecasts (дата обращения: 20.08.2024).
4) URL: http://oss.deltares.nl/web/xbeach (дата обращения: 2008.2024).
Об авторах
Людмила Викторовна Харитонова
Морской гидрофизический институт РАН
Автор, ответственный за переписку.
Email: l.kharitonova@mhi-ras.ru
ORCID iD: 0000-0003-0705-0812
ResearcherId: Y-1780-2018
старший научный сотрудник, кандидат географических наук
Россия, СевастопольДмитрий Иванович Лазоренко
Морской гидрофизический институт РАН
Email: d.lazorenko@mhi-ras.ru
ORCID iD: 0000-0001-7524-565X
ResearcherId: J-1925-2015
научный сотрудник, кандидат технических наук
Россия, СевастопольДмитрий Владимирович Алексеев
Морской гидрофизический институт РАН
Email: d.alekseev@mhi-ras.ru
ORCID iD: 0000-0003-4006-0967
ResearcherId: I-3548-2017
ученый секретарь, кандидат физико-математических наук
Россия, СевастопольВладимир Владимирович Фомин
Морской гидрофизический институт РАН
Email: v.fomin@mhi-ras.ru
ORCID iD: 0000-0002-9070-4460
ResearcherId: H-8185-2015
главный научный сотрудник, доктор физико-математических наук
Россия, СевастопольСписок литературы
- Шуйский Ю. Д. Антропогенный рельеф в береговой зоне морей (на примере Черного и Азовского морей). Одесса : Фенiкс, 2022. 102 с.
- Шахин В. М., Рыбка В. Г., Ярославцев Н. А. Современное состояние береговой зоны и берегозащитных сооружений Черного и Азовского морей в пределах Краснодарского края // Человечество и береговая зона Мирового океана в XXI веке. Москва : ГЕОС, 2001. С. 423–429.
- Горячкин Ю. Н., Марков А. А. Анализ эффективности реконструкции берегозащитных сооружений Крыма // Гидротехника. 2023. № 3. С. 2–9. EDN AJUSSH. https://doi.org/10.55326/22278400_2023_3_2
- Modelling storm impacts on beaches, dunes and barrier islands / D. Roelvink [et al.] // Coastal Engineering. 2009. Vol. 56, iss. 11–12. P. 1133–1152. https://doi.org/10.1016/j.coastaleng.2009.08.006
- Application and validation of Xbeach for three different field sites / A. Bolle [et al.] // Coastal Engineering Proceedings. 2011. Vol. 1, no. 32, sediment 40. https://doi.org/10.9753/icce.v32.sediment.40
- Кузнецова О. А., Сапрыкина Я. В. Внутригодовые вариации штормовых деформаций рельефа дна песчаного побережья на примере Камчийско-Шкорпиловского пляжа (Черное море, Болгария) // Процессы в геосредах. 2017. № 1(10). С. 435–444.
- Кузнецова О. А., Сапрыкина Я. В. Моделирование изменчивости песчаного пляжа при взаимодействии волн с подводным валом // Геоморфология. 2019. № 3. С. 57–67. https://doi.org/10.31857/S0435-42812019357-67
- Харитонова Л. В., Иванча Е. В., Алексеев Д. В. Влияние штормовых нагонов и ветровых волн на морфодинамические процессы в районе Бакальской косы // Морской гидрофизический журнал. 2015. № 1. С. 79–90. https://doi.org/10.22449/0233-7584-2015-1-79-90
- Корзинин Д. В. Особенности формирования профиля равновесия подводного берегового склона (на примере аккумулятивных берегов Западного Крыма) // Экологическая безопасность прибрежной и шельфовой зон моря. 2015. Вып. 1. С. 29–33.
- Гуров К. И., Фомин В. В., Лазоренко Д. И. Моделирование перераспределения песчаных фракций по подводному береговому склону под воздействием ветрового волнения // Экологическая безопасность прибрежной и шельфовой зон моря. 2016. Вып. 3. С. 65–71.
- Dynamics of the nearshore zone of Kalamitskiy Gulf (Black Sea) under influence of wind waves / V. V. Fomin [et al.] // Materials of XXVI International Coastal Conference “Managing risks to coastal regions and communities in a changing world”. Academus Publishing, 2016. P. 1–1. https://doi.org/10.31519/conferencearticle_5b1b948b20d587.32401065
- Гуров К. И., Удовик В. Ф., Фомин В. В. Моделирование штормовых изменений рельефа береговой зоны и гранулометрического состава наносов в районе пересыпи оз. Богайлы (Западный Крым) // Морской гидрофизический журнал. 2019. Т. 35, № 2. С. 185–196. https://doi.org/10.22449/0233-7584-2019-2-185-196
- Sediments granulometric composition dynamics in the Kalamitsky Gulf / K. I. Gurov [et al.] // 14th MEDCOAST Congress on Coastal and Marine Sciences, Engineering, Management and Conservation, MEDCOAST 2019. Marmaris, 2019. Vol. 2. P. 597–606. EDN ETCGSN.
- Гуров К. И., Фомин В. В. Влияние штормовых условий на изменение гранулометрического состава донных отложений в прибрежной зоне Западного Крыма // Экологическая безопасность прибрежной и шельфовой зон моря. 2021. № 2. С. 30–46. EDN OSABJC. https://doi.org/10.22449/2413-5577-2021-2-30-46
- Фомин В. В., Горячкин Ю. Н. Учет локальных волновых и морфодинамических процессов в прибрежном гидротехническом строительстве // Морской гидрофизический журнал. 2022. Т. 38, № 3. С. 291–311. EDN DVZRQV. https://doi.org/10.22449/0233-7584-2022-3-291-311
- Горячкин Ю. Н., Ефремова Т. В. Антропогенное воздействие на литодинамику черноморского побережья Крымского полуострова // Экологическая безопасность прибрежной и шельфовой зон моря. 2022. № 1. С. 6–30. https://doi.org/10.22449/2413-5577-2022-1-6-30
- Kharitonova L. V., Fomin V. V., Alekseev D. V. Wave climate of Koktebel Bay (Crimea) of the Black Sea // Processes in GeoMedia. Springer, 2023. 12 p. (Springer Geology ; vol. VIII.). https://doi.org/10.1007/978-981-97-6627-7_28
- Горячкин Ю. Н. Антропогенное воздействие на береговую зону бухты Коктебель (Крым) в последние 100 лет // Экологическая безопасность прибрежной и шельфовой зон моря. 2024. № 2. С. 6–22. EDN UTBCDW.
- Гуров К. И. Гранулометрический состав наносов береговой зоны бухты Коктебель (Крым) // Экологическая безопасность прибрежной и шельфовой зон моря. 2023. № 4. С. 34–45. EDN PYURTV.
- Booij N., Ris R. C., Holthuijsen L. H. A third-generation wave model for coastal regions: 1. Model description and validation // Journal of Geophysical Research: Oceans. 1999. Vol. 104, iss. C4. P. 7649–7666. https://doi.org/10.1029/98JC02622
- Extreme wind waves in the Black Sea / B. V. Divinsky [et al.] // Oceanologia. 2020. Vol. 62, iss. 1. P. 23–30. https://doi.org/10.1016/j.oceano.2019.06.003
- Amarouche K., Akpınar A. Increasing Trend on Storm Wave Intensity in the Western Mediterranean // Climate. 2021. Vol. 9, iss. 1. 11. https://doi.org/10.3390/cli9010011
Дополнительные файлы










