Межгодовая изменчивость физических и биологических характеристик вод Крымского шельфа в летний сезон (2010–2020 годы)
- Авторы: Пионтковский С.А.1, Загородняя Ю.А.2, Серикова И.М.2, Минский И.А.1,2, Ковалева И.В.2, Георгиева Е.Ю.2
-
Учреждения:
- ФГАОУ ВО Севастопольский государственный университет
- ФГБУН ФИЦ «Институт биологии южных морей им. А. О. Ковалевского»
- Выпуск: № 2 (2024)
- Страницы: 39-59
- Раздел: Статьи
- URL: https://ogarev-online.ru/2413-5577/article/view/259995
- EDN: https://elibrary.ru/CUBYXI
- ID: 259995
Цитировать
Аннотация
Прибрежная зона Крыма и его шельф являются объектами многолетних комплексных исследований, предопределенных той значимой ролью, которую эти зоны играют в экономической жизни полуострова. Цель работы состоит в выявлении трендов межгодовой изменчивости структурных и функциональных характеристик пелагического сообщества. Данные дистанционных измерений (со спутников), контактных измерений (с борта научно-исследовательского судна) и расчетные параметры использованы для выявления изменчивости физических и биологических характеристик шельфовых вод Крыма в 2010–2020 гг. Показано, что после экологических катаклизмов 1990-х гг., связанных с эвтрофикацией шельфа и трофическим прессом планктонных видов-вселенцев, планктонное сообщество вступило в период относительной стабильности. Межгодовая изменчивость его ключевых структурных и функциональных характеристик (биомассы фитопланктона, интенсивности его биолюминесценции, биомассы зоопланктона, чистой первичной продукции и отношения продукции к биомассе) характеризуется не столько статистически значимыми трендами многолетней изменчивости, сколько межгодовыми колебаниями, обусловленными гидрофизической динамикой. Эта динамика оценивалась двумя параметрами: величиной плотности кинетической энергии и кросс-шельфовым массопереносом в верхних слоях.
Ключевые слова
Полный текст
Введение
Прибрежная зона Крыма и его шельф – объекты многолетних комплексных исследований Росгидромета, ВНИРО и РАН, предопределенных той значимой ролью, которую эти зоны играют в экономической жизни полуострова. Добыча газа (около 1.6 млрд. м3) 1), становление аквакультуры (с выращиванием мидий, устриц, креветок и прочих организмов объемом около 2700 т в год) 2), 3), рыбный промысел (с выловом около 40 000 т в год) 4), туризм и рекреация (с нагрузкой около 8 млн. отдыхающих в год) являются важными составляющими экономической деятельности, а инвестиции в развитие рыбохозяйственного комплекса Южного федерального округа в первых двух десятилетиях XXI в. оцениваются приблизительно в 60 млрд. рублей [1, 2].
В аспекте этой многоплановой деятельности мониторинг, основанный на многолетних измерениях ключевых параметров, углубляет понимание динамики ресурсов и экологического состояния шельфа [3]. При этом следует отметить, что антропогенная нагрузка на крымский шельф высока в связи с его малой шириной, большой плотностью населения вдоль побережья, развитым сельским хозяйством и промышленным комплексом, формирующим около 30 % консолидированного бюджета Республики Крым. Как следствие, в одном только Севастопольском регионе в 1998–2018 гг. канализационные очистные сооружения «Южные», дающие 76 % суммарного объема бытовых стоков в регионе, сбрасывали 468 тыс. м3 в год [4]. Измерения концентрации нефтяных углеводородов сотрудниками ГОИН в 2023 г. на восьми станциях в Каркинитском и Каламитском заливах показали превышение предельно допустимых концентраций на всех восьми.
В океанологических исследованиях границу шельфа принято оконтуривать по 200-метровой изобате [5]. По его морфоструктурным характеристикам выделяют западную область (от м. Тарханкут до б. Ласпи и м. Сарыч), южнобережную (от м. Сарыч до м. Меганом) и восточную, включающую район Феодосийского залива и Керченско-Таманский шельф [6]. Рельеф дна пространственно неоднороден: если на севере западного шельфа полуострова изобата 60 м находится на расстоянии 10–15 км от берега, то на юге она проходит в непосредственной близости от уреза воды. На основной части шельфа его ширина составляет 90 км [7] и увеличивается в северо-западном направлении, достигая 220 км в районе Каркинитского залива.
Региональные особенности геоморфологии шельфа обусловливают близость Основного Черноморского течения (ОЧТ) к береговой черте. Максимально близко оно подходит к берегу у южной оконечности полуострова. Скорость ОЧТ с шириной потока до 80 км составляет 40–150 см/с [5], что в несколько раз выше скорости прибрежного течения.
Геострофическая динамика вод подвержена межгодовой изменчивости, в связи с чем циркуляция может иметь «бассейновый» (с выраженным ОЧТ) или «вихревой» режим [8]. Смена режимов отражается на физических и биологических характеристиках пелагической экосистемы. Термохалинная структура вод, их физическая динамика, продукция фито- и зоопланктона влияют на рыбопромысловые запасы мелких пелагических рыб (хамсы Engraulis encrasicolus (Linnaeus, 1758) и шпрота Sprattus sprattus (Linnaeus, 1758)), формирующих основу рыбного промысла в крымских водах [9].
Цель наших исследований состояла в выявлении трендов межгодовой изменчивости структурных и функциональных характеристик пелагического сообщества в первые десятилетия XXI в., поскольку процессы, происходившие в предыдущие десятилетия, были освещены в ряде обобщающих работ [10, 11].
Материал и методы
Для идентификации многолетних трендов были использованы результаты дистанционных измерений (сканерами спутников MODIS-Aqua/Terra), контактных измерений (с борта НИС «Профессор Водяницкий») и расчетов структурно-функциональных отношений, таких как отношение первичной продукции к биомассе кормового зоопланктона и отношение биомассы желетелой к кормовой фракции зоопланктона (табл. 1).
Таблица 1. Анализируемые характеристики
Table 1. Analyzed characteristics
Параметр / | Тип измерений / | Источник данных / |
Скорость ветра у поверхности моря (м·с−1) / | Продукты моделей MERRA-2 / | URL: https://giovanni.gsfc.nasa.gov/giovanni; |
Температура | Дистанционные измерения (MODIS-Аqua) / | URL: https://giovanni.gsfc.nasa.gov/giovanni/ |
Массоперенос в слое | Результаты расчета | [12] |
Концентрация нефтяных углеводородов (мг·дм−3) / | ИК-радиометрия / | Архивные материалы |
Концентрация | Дистанционные измерения (MODIS-Aqua/Terra) / | URL: https://oceancolor.gsfc.nasa.gov; |
Биомасса | Обработка проб, собранных в экспедициях / | Архивные материалы |
Первичная продукция | Результаты расчета | [14] |
Биолюминесцентный по- | Зондирования | Архивные материалы |
Продолжение таблицы 1 / Continued Table 1
Параметр / | Тип измерений / | Источник данных / |
Биомасса кормового | Ловы в слое 0–100 м | Архивные материалы |
Биомасса желетелого | Ловы в слое 0–100 м | Архивные материалы |
Отношение первичной продукции к биомассе кормового зоопланктона / | Результаты расчета | Архивные материалы |
Запасы и уловы мелких пелагических рыб на крымском шельфе / | Результаты расчета | Архивные материалы ВНИРО, Азовско-Черноморского бассейнового научно-промыслового совета, https://fish.gov.ru и публикации [13, 15, 16] / |
Географические контуры района исследований заданы многолетней сеткой океанографических станций, выполнявшихся в экспедициях НИС «Профессор Водяницкий» (рис. 1) в рамках разных проектов.
Рис. 1. Примеры сеток океанографических станций, выполненных экспедициями на НИС «Профессор Водяницкий»: 102-й рейс, июнь ‒ июль 2018 г. (а), 108‑й рейс, июль ‒ август 2019 г. (b)
Fig. 1. Examples of oceanographic station grids carried out on board R/V Professor Vodyanitsky: 102nd cruise, June‒July, 2018 (a); 108th cruise, July‒August, 2019 (b)
В связи с разнообразием задач этих проектов набор измеряемых параметров, количество станций и их расположение варьировали по годам. Основной материал контактных измерений биологических характеристик приходился на 2010–2020 гг. Часть планктонных проб из более поздних экспедиций остается необработанной. Примеры полевых съемок с вертикальными зондированиями на станциях и их распределение приведены на рис. 1 и в табл. 2.
Таблица 2. Экспедиции НИС «Профессор Водяницкий» в 2010‒2022 гг.
Table 2. The R/V Professor Vodyanitsky expeditions, from 2010 to 2022
Год / | Номер рейса / | Количество океаногра- |
2010 | 64, 68 | 16, 23 |
2011 | 70 | 41 |
2013 | 72 | 50 |
2015 | 81 | 52 |
2016 | 86 | 63 |
2017 | 93, 94, 95, 96, 97 | 39, 104, 132, 93, 22 |
2018 | 102, 103,105 | 137, 155, 114 |
2019 | 106, 107, 108, 110, 111 | 106, 2, 174, 120, 142 |
2020 | 113, 114, 115 | 163, 130, 97 |
2021 | 116, 117, 118, 119 | 134, 145, 49, 146 |
2022 | 120, 121, 122, 123, 124, 125-1 | 124, 221, 189, 113, 56, 128 |
Дистанционные измерения. Временная серия среднемесячных температур поверхности моря была построена по данным измерений восходящего излучения спектрорадиометром MODIS-Aqua. Использованы данные 3-го уровня (L3), полученные с пространственным разрешением 4 км и далее осредненные для крымского шельфа. При этом были построены две временные серии: со среднемесячным разрешением и межгодовая с осреднением по температуре по всему летнему сезону. Обе временные серии представлены в единицах отклонения от многолетней средней для каждой из временных серий.
Этим же спутником получены и временные серии концентрации хлорофилла а в поверхностном слое и фотосинтетически активной радиации. Временные серии среднемесячных значений скорости ветра над поверхностью моря (на высоте 10 м) и зональной составляющей скорости ветра загружены из базы данных реанализа MERRA-2 и NCEP/NCAR.
Расчетные характеристики. Чистую интегральную первичную продукцию в эвфотическом слое рассчитывали по алгоритму, в котором температура поверхности и фотосинтетически активная радиация являются дистанционно измеренными параметрами [14]. Значения концентрации хлорофилла а (по данным измерений сканером MODIS-Aqua), использованные для расчета первичной продукции, проходили коррекцию для разделения хлорофилла и растворенного окрашенного вещества [13]. Расчеты поперечного массопереноса вод в направлении от шельфа в мористую часть в слоях 0–50, 50–200 и 0–200 м были выполнены A. Акпынаром со соавторами и детально изложены в их работах [17, 18].
Контактные измерения. Фитопланктон исследовали по данным батометрических проб воды (объемом 2 л), отобранных с борта НИС «Профессор Водяницкий». Пробы сгущали методом обратной фильтрации через трековые мембранные фильтры с диаметром пор 1 мкм. Полученный концентрат фиксировали раствором Люголя (0.1 мл на 50 мл пробы). Определяли видовой состав фитопланктона и размеры клеток в камере Наумана под тринокулярным микроскопом XY-В2. Объемы клеток и их биомассу рассчитывали по общепринятой методике 7).
Измерения интенсивности биолюминесценции планктонного сообщества (его биолюминесцентного потенциала) выполнены с борта судна. Биолюминесцентный потенциал (БП) характеризует максимальную энергию высвечивания организмов: БП = ò B(t) dt, где B(t) – интенсивность эмиссии света во время биолюминесцентной вспышки (t) [19]. Для измерений БП использован погружной приборный комплекс «Сальпа-М», который в режиме вертикального зондирования позволяет проводить синхронные измерения механически стимулированной биолюминесценции планктонных организмов (в диапазоне от 10−13 до 10−8 Вт·см−2·л−1 с точностью ±10 %), гидростатического давления, температуры, электропроводности, мутности и фотосинтетически активной радиации. Дискретность измерений при погружении прибора со скоростью 1.2 м·с−1 составляла 0.25 м. Методика работы была детально описана ранее [19].
Зоопланктон собирали планктонной сетью Джеди с диаметром входного отверстия 36 см, с размером ячеи 140 мкм. Полученные пробы сгущали до 100 мл и фиксировали нейтральным раствором формальдегида до 4 %-ной концентрации. Пробы обрабатывали стандартным счетно-порционным методом в камере Богорова: определяли таксономический состав, возрастные стадии, размеры гидробионтов и их количество в пробе. Для перехода от размерных характеристик особей к единицам биомассы использовали известные для черноморских видов размерно-весовые соотношения [20]. По результатам камеральной обработки проб вычисляли биомассу зоопланктона в метре кубическом и под метром квадратным обловленного слоя.
Данные о концентрации нефтяных углеводородов, запасах и уловах мелких пелагических рыб на крымском шельфе извлечены из архивных материалов ГОИН, ВНИРО, отчетов Азовско-Черноморского бассейнового научно-промыслового совета и опубликованных статей (табл. 1).
Для графического представления и статистической обработки использованы программные продукты Statistica v.9 и PAST v.13. В частности, для проверки статистической значимости монотонного многолетнего тренда использован непараметрический критерий Манна – Кендалла, применяемый при анализе временных серий в гидрофизике и гидрометеорологии [21].
Результаты и обсуждение
Анализ межгодовой изменчивости проведен для летнего сезона как наиболее полно обеспеченного биологическими измерениями.
Скорость ветра. В летний сезон поле ветра в приповерхностном слое над крымским шельфом пространственно неоднородно как по направлению, так и по величинам меридиональной и зональной составляющих скорости, что отмечалось и ранее [22]. В июне – августе 2002–2020 гг. средняя скорость ветра составляла 5.1 ± 0.2 м·с−1 и не имела статистически значимого монотонного межгодового тренда (тест Манна – Кендалла S = −23, Z = 0.77, р = 0.44). Он отсутствовал и во временной серии летних значений зональной составляющей скорости, доминирующей в формировании вдольберегового массопереноса вод на крымском шельфе (S = −87, Z = 1.28, р = 0.20).
Физическая динамика вод. Характерным свойством биотопа пелагического сообщества является его подвижность (массоперенос). В региональном аспекте массоперенос задан направлением как Основного Черноморского течения, так и прибрежного. В районе Южного берега Крыма последнее представляет собой модулируемый ветром крупномасштабный вдольбереговой поток западо-юго-западного направления, параллельный береговой черте, имеющий среднемноголетний модуль скорости ~ 8 см·с−1 [23] с максимальными значениями до 35 см·с−1 [24]. Меандрирование течений, мезомасштабные и субмезомасштабные вихри (рис. 2) формируют аномалии массопереноса, включая поперечный массоперенос вод из прибрежья за пределы шельфа [25–27]. Наиболее наглядно многокомпонентность динамики представлена в анимации модели NEMO-eNATL60 *.
Чувствительными индикаторами кросс-шельфового массопереноса являются как физические, так и биологические параметры. Так, язык теплых вод, направленный от берега в мористую часть, просматривается в пространственном распределении температуры поверхности моря далеко за пределами шельфа (рис. 2, b).
Рис. 2. Крупномасштабная (a, b) и мезомасштабная (c – f) пространственная структура гидрофизических полей: направление и скорость геострофических течений в поверхностном слое в августе 2018 г. (a) и температура поверхности моря (b) (URL: https://dekosim.ims.metu.edu.tr/BlackSeaModels/BlackSeaModels.shtml); примеры мезомасштабной неоднородности района исследований: температура поверхности моря (c), температура на глубине 1 м (d), соленость на глубине 1 м (e) и векторы инструментально измеренных течений на глубине 10 м (f). Красными стрелками показаны ветви ОЧТ. Положение Севастопольского антициклона (СА) и Крымского антициклона (КА) отмечено овалами [26]
Fig. 2. Large scale (a, b) and mesoscale (c–f) spatial structure of hydrophysical fields: the direction and geostrophic current velocity in the upper layer, in August 2018 (a) and the sea surface temperature (b) (available at: https://dekosim.ims.metu.edu.tr/BlackSeaModels/BlackSeaModels.shtml); examples of mesoscale heterogeneities of sea surface temperature (c), temperature at 1 m depth (d), salinity at 1 m depth (e). Vectors of currents from instrumental measurements (f). Red arrows indicate the Rim Current. The Sevastopol anticyclonic eddy (СА) and Crimean anticyclonic eddy (КА) are highlighted with red ovals [26]
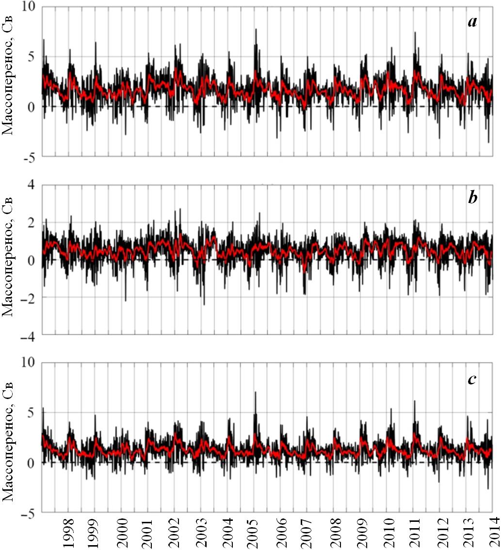
Прибрежный апвеллинг проявляется в поле температуры поверхности моря языками холодных вод, направленными от берега в мористую часть. Летние аномалии температуры поверхности на крымском шельфе могут составлять 10–12 °С. Данные экспедиционных и спутниковых измерений содержат многочисленные эпизоды прибрежного апвеллинга за летний период. Временные серии кросс-шельфового массопереноса на масштабах сезонной и межгодовой изменчивости были получены на основе трехмерной циркуляционной модели NEMO v.3.6, имеющей 61 вертикальный слой с зональным и меридиональным пространственным разрешением 3 км (рис. 3).
Рис. 3. Поперечный массоперенос вод (Св) в слоях: 0–200 м (а), 0–50 м (b), 50–200 м (c). Положительные значения соответствуют массопереносу в направлении от шельфа в мористую часть. Красная кривая характеризует тренд, полученный скользящей средней, с окном в 30 дней [12]
Fig. 3. Cross-shelf water mass transport (Sv) in the layers: 0–200 m (a), 0–50 m (b) and 50–200 m (c). Positive values stand for the transport directed off the shelf seawards. The red curve stands for the trend based on a running mean, with a 30-day smoothing window [12]
Поперечный массоперенос показал относительную стабильность в верхнем слое моря 0–50 м и интегральном 0–200 м (отсутствие межгодового тренда: тест Манна – Кендалла для слоя 0–200 м, S = 110, Z = 1.33, р = 0.18). Тренд отсутствовал и в межгодовой изменчивости плотности кинетической энергии в верхнем 30-метровом слое, которая характеризует интенсивность течений в нем [28].
Межгодовые изменения температуры в верхних слоях экологически значимы, так как ключевые структурные и функциональные характеристики прибрежного пелагического сообщества обнаруживают корреляции с температурой [19, 29, 30]. Многолетний тренд температуры поверхности Черного моря (с 1993 по 2021 г.) в целом положителен (0.07 °С×год−1), хотя скорость роста становится менее выраженной с 2011 по 2022 г. (рис. 4, а). На крымском шельфе межгодовой тренд аномалий температуры поверхности в 2011‒2022 гг. отсутствовал (рис. 4, b, c; тест Манна – Кендалла, S = 1652, Z = 1.32, р = 0.19). Это наглядно представлено межгодовой изменчивостью аномалий летнего сезона (рис. 4, c).
Рис. 4. Временная изменчивость температуры поверхности моря (ТПМ): отклонения ТПМ от средней в масштабах всего Черноморского бассейна (URL: https://data.marine.copernicus.eu/product/BLKSEA_OMI_TEMPSAL_sst_area_averaged_anomalies/description) (a); отклонения среднемесячной ТПМ от средней многолетней на крымском шельфе. Красная штриховая кривая характеризует аномалии сглаженные скользящей средней (с окном в 12 месяцев) ТПМ (b); отклонения летних ТПМ от средней многолетней (2002–2022 гг.) на крымском шельфе (c). Кривая сглажена кубическим сплайном
Fig. 4. Temporal variability of the sea surface temperature: sea surface temperature deviations from the mean, on a basin scale (https://data.marine.copernicus.eu/product/BLKSEA_OMI_TEMPSAL_sst_area_averaged_anomalies/description) (a); the Crimean shelf sea surface temperature anomalies in monthly time series. The red dashed curve stands for the running mean (with a 12-month window) (b); the Crimean shelf sea surface temperature anomalies of the summer season (in 2002–2022), smoothed by a cubic spline (c)
Загрязнение. Речные, ливневые и муниципальные стоки вносят существенный вклад в загрязнение прибрежных вод Крыма. Так, на севастопольском взморье средние концентрации нефтяных углеводородов в 2016‒2021 гг. приблизительно в два раза превосходили предельно допустимые [31]. О росте концентрации аммонийного азота и нефтепродуктов в сточных водах города в первых десятилетиях XXI в. сообщалось в работе [32].
Как известно, планктонные организмы чувствительны к высоким концентрациям нефтяных углеводородов, что отрицательно отражается на скоростях роста фитопланктонных водорослей [33, 34], интенсивности их биолюминесценции [19, 35] и репродукции зоопланктона [36].
В многолетних данных ГОИН по среднегодовой концентрации нефтяных углеводородов в прибрежных водах Крыма в целом (в 2000–2022 гг.) статистически значимый тренд отсутствует (тест Манна – Кендала, S = –24, Z = 0.61, р = 0.54) (рис. 5).
Рис. 5. Межгодовая изменчивость среднегодовой концентрации нефтяных углеводородов (НУ, мг·дм−3) на крымском шельфе по данным ГОИН
Fig. 5. Interannual variability of the annual concentration of petroleum hydrocarbons (mg·dm−3) on the Crimean shelf according to SOI data
Вероятной причиной отсутствия межгодового тренда концентрации нефтяных углеводородов в пределах крымского шельфа может быть сочетание узкого шельфа со стабильным межгодовым кросс-шельфовым массообменом (рис. 3), который может нивелировать межгодовой рост концентрации углеводородов вследствие обмена с открытыми водами, но поддерживать ее высокий средний уровень за счет поступающих стоков большого объема.
Другим объяснением представленной динамики может быть недостаток данных, поскольку покрытие шельфа измерениями было пространственно неравномерным и слабым в связи с фрагментарным характером мониторинга, особенно в первом десятилетии XXI в. по причине недостатка финансирования [32]. Следует также отметить, что ИК-радиометрическое измерение концентрации, используемое ГОИН, менее чувствительно к концентрации природных нефтяных углеводородов по сравнению с флюориметрическим методом измерения. Как следствие, уровень концентрации нефтяных углеводородов прибрежных вод признают находящимся ниже предельно допустимой концентрации, установленной для водных объектов рыбохозяйственного значения, в то время как по данным люминесцентного анализа оказывается, что этот уровень превышен в 1.4 раза [37].
Поступление ~ 80 % стоков в прибрежные воды без очистки и рост объема сточных вод [4] будут ухудшать санитарное состояние шельфа. Вероятно, в летний сезон следует ожидать увеличения случаев желудочно-кишечных (бактериально-вирусных) инфекций, источником которых является море. Однако проверка гипотезы нуждается в соответствующей подготовке временных серий параметров для их статистического анализа.
Фитопланктон и первичная продукция. Эвтрофикация шельфовых вод в результате стоков влияет на структуру и продуктивность фитопланктонного сообщества. Это показано исследованиями широкого и мелководного северо-западного шельфа Черного моря на масштабах многолетней изменчивости [10]. Продуктивность шельфовых вод Крыма значительно меньше, а таксономический состав фитопланктона очень разнообразен: одни только Dinophyceae представлены 156 таксонами видового и внутривидового ранга. По количеству видов доминируют роды Protoperidinium, Gymnodinium и Dynophysis [38]. В 2010‒2019 гг. Dinophyceae вносили наибольший вклад (~ 46 %) в формирование биомассы фитопланктона. Доля других групп (Bacillariophyceaе и Prymnesiophyceae) была соответственно ~ 39 и 15 %. Их вклад в разные годы различался на порядок. В межгодовой изменчивости биомасс Dinophyceae, Bacillariophyceae и Prymnesiophyceae интегрального слоя статистически значимых трендов межгодовой изменчивости не выявлено (рис. 6).
Рис. 6. Межгодовая изменчивость биомассы фитопланктона (a) и чистой первичной продукции (b). Вертикальными отрезками на графике с биомассой фитопланктона указаны ошибки средних
Fig. 6. Interannual variability of phytoplankton biomass (a) and net primary production (b). The vertical whickers stand for the error mean
Расчет значений интегральной чистой первичной продукции в масштабе крымского шельфа показал отсутствие межгодового тренда (тест Манна – Кендалла, S = 924; Z = 1.82; p = 0.07). Он отсутствовал и во временной серии, построенной только по летним значениям (S = ‒19; Z = 1.40; p = 0.16). Отсутствие тренда отмечали на шельфе Анатолийского побережья и в восточной части Черного моря за более ранний период 1998‒2015 гг. [39]. Во временной серии чистой первичной продукции, построенной по среднемесячным значениям, можно заметить уменьшение размаха колебаний, подчеркивающее межгодовую стабилизацию процесса (рис. 6).
Биолюминесценция планктона. Биолюминесцентный потенциал имеет двойственную природу. С одной стороны, он регулируется численностью и биомассой биолюминесцирующих организмов (прежде всего фитопланктона, доминирующего в интегральной механически стимулированной биолюминесценции в Черном море), а с другой – служит индикатором функционального (физиологического) состояния этих организмов, так как характеристики их биолюминесценции зависят от температуры, солености, нефтяного загрязнения и других факторов [19].
Во временной серии значений БП интегрального слоя монотонный тренд отсутствовал (рис. 7). При этом можно предполагать, что межгодовая («бестрендовая») изменчивость БП регулируется динамикой биомассы Dinophyceae. Так, за четырехлетний период исследований на прибрежной станции у г. Севастополя (в 2010–2013 гг.) значение выборочного коэффициента корреляции между БП и биомассой светящихся Dinophyceae в ежемесячных временных сериях составило 0.91 при р = 0.01 [40].
Следующая по значимости вклада в общую биомассу фитопланктона группа (Bacillariophyceaе) не является биолюминесцентной, но ее многолетняя динамика приведена в этом разделе (рис. 5) для констатации отсутствия многолетнего тренда биомассы на уровне отдельных таксономических групп фитопланктона (при р = 0.24).
Рис. 7. Межгодовая изменчивость биолюминесцентного потенциала интегрального слоя (a) и биомассы кормового зоопланктона (b) на крымском шельфе. Вертикальными отрезками обозначены ошибки средней
Fig. 7. Interannual variability of the bioluminescent potential, 10–12 W·cm–2·L–1 (a) and the forage zooplankton biomass, mg C·m–2, (b) on the Crimean shelf. The vertical whickers stand for the error mean
Зоопланктон. Межгодовые колебания таксономического состава и биомассы фитопланктона отражаются на характеристиках пространственно-временной изменчивости биомассы зоопланктона, потребляющего фитопланктон. Основу биомассы кормового зоопланктона в летний период во все годы составляли Copepoda (41–48 %) и щетинкочелюстные, представленные одним видом – Parasagitta setosa (J. Muller, 1847), с долей, изменяющейся в пределах 12–49 %. В многолетней динамике биомассы зоопланктона тренд отсутствовал (рис. 7). Не обнаружен он и в динамике биомассы желетелого зоопланктона по данным восьми лет наблюдений (2010‒2018 гг.). Следует отметить большой размах колебаний биомассы кормового зоопланктона при среднем количестве станций в летний сезон, равном 16 для каждой из экспедиций. По-видимому, этот размах модулируется мезомасштабной и субмезомасштабной пространственной неоднородностью биотопа, элементы которой просматриваются на рис. 2.
В составе зоопланктона Черного моря есть виды-индикаторы прибрежных вод. К ним относят ветвистоусых ракообразных (Cladocera), массово развивающихся в летние месяцы. Их присутствие в водах за пределами шельфа можно рассматривать как следствие кросс-шельфового массопереноса вод. Так, анализ проб показал наличие видов Penilia avirostris, Pleopsis polyphemoides, Pseudevadne tergestina над глубинами 1800–2120 м. При этом численность Cladocera в прибрежье (151–303 экз./м3) была на один – два порядка выше, чем в глубоководных районах. Значительна и межгодовая изменчивость. Например, в 2014–2020 гг. колебания суммарной численности в глубоководье и на шельфе достигали одного – двух порядков без выраженных межгодовых трендов.
Что касается некормового, т. е. желетелого зоопланктона (медуз, гребневиков и ноктилюки), то его сырая биомасса (в 2010, 2011, 2013, 2016, 2018 гг.) превышала сырую биомассу кормового зоопланктона в десятки, а иногда в сотни раз. Пересчитанное в единицы органического углерода отношение биомассы желетелого к кормовому зоопланктону было заметно меньше. Однако двух-трехкратное доминирование желетелых в этом отношении сохранялось, косвенно указывая на преобладание детритного (а не пастбищного) пути переноса органического углерода в пелагической экосистеме шельфа.
Среди набора структурно-функциональных соотношений, характеризующих планктонное сообщество в целом, следует отметить отношение чистой первичной продукции к биомассе кормового зоопланктона, которое интерпретируют как скорость оборота первичной продукции через зоопланктон [41, 42]. Расчет этого отношения не выявил межгодового тренда в 2010–2018 гг. при его среднем значении 2.3 и коэффициенте вариации 36 %. В целом же двукратное покрытие наличной биомассы кормового зоопланктона чистой первичной продукцией указывает на благоприятные условия питания организмов зоопланктона на шельфе.
Мелкие пелагические рыбы. Многолетняя динамика температуры поверхности моря и биомассы кормового зоопланктона важна для формирования промыслового запаса его массовых потребителей (хамсы и шпрота) и межгодовых колебаний этого запаса [43]. В 2016–2018 гг. их уловы составляли 96 % от суммарных в российских водах [9]. В современной нормативной базе оценки запасов и уловов разделяют по районам промысла. Например, в августе 2023 г. средние уловы шпрота на одно судно, по данным АзНИИРХ, варьировали между ~ 36 т в западной части шельфа (Каламитский залив) и ~ 42 т в восточной (Феодосийский залив) при максимально допустимой эксплуатации ресурса, оцениваемой в 18–20 тыс. т в 2023‒2024 гг. [15].
На масштабах межгодовой изменчивости (в 2010–2019 гг.) динамика промыслового запаса азовской хамсы (восточнее мыса Сарыч) имела статистически значимый отрицательный тренд (тест Манна – Кендала, S = −25, р = 0.01), который регулируется как физическими, так и антропогенными факторами (при доминировании последних). При этом считается, что в условиях продолжающегося снижения запаса вероятность формирования зимовальных скоплений вдоль крымского побережья крайне низка. Нерегулируемый вылов сезонно мигрирующих хамсы и шпрота рыболовными судами Турции (уловы которой составляют около 62 % от суммарных в Черноморском бассейне) является одним из факторов многолетнего уменьшения рыбных запасов, включая и крымские [44]. Вероятно, он снижает положительное влияние расширения нерестового сезона у мелких пелагических рыб, которое отмечено в связи с многолетним увеличением температуры в верхних слоях [45, 46].
Заключение
После катаклизмов 1990-х гг., связанных с эвтрофикацией и трофическим прессом планктонных вселенцев – Mnemiopsis leidyi A. Agassiz, 1865 и Beroe ovata Mayer, 1912, межгодовая структура пелагического планктонного сообщества крымского шельфа стала относительно стабильной. Поскольку в сложных системах (в частности, экосистемах) структура системы регулирует ее функцию, относительная стабильность структурных характеристик (прежде всего биомассы) обусловила отсутствие многолетних трендов в функциональных свойствах сообщества: в чистой первичной продукции, интенсивности биолюминесценции фитопланктона и отношении первичной продукции к биомассе кормового зоопланктона (т. е. скорости оборота первичной продукции через зоопланктон).
Таким образом, для пелагической экосистемы шельфа Крыма во втором десятилетии XXI в. характерны не столько монотонные тренды межгодовой изменчивости, сколько межгодовые колебания ее структурных и функциональных свойств на фоне относительно стабильной крупномасштабной гидрофизической динамики, оцененной по плотности кинетической энергии и кросс-шельфовому массопереносу вод в верхних слоях.
1) URL: https://finance.rambler.ru/markets/41621705-dobycha-gaza-v-krymu-snizilas-v-2018-godu-na-3-do-1-6-mlrd-kubometrov (дата обращения: 05.06.2024).
2) Об утверждении Стратегии развития рыбохозяйственного комплекса Российской Федерации на период до 2030 года (вместе с Планом мероприятий по реализации стратегии развития рыбохозяйственного комплекса Российской Федерации на период до 2030 года) :
распоряжение Правительства РФ от 26.11.2019 № 2798-р (ред. от 12.05.2022). URL: https://fzakon.ru/rasporyazheniya-pravitelstva/rasporyazhenie-pravitelstva-rf-ot-26.11.2019-n-2798-r/ (дата обращения: 05.06.2024).
3) URL: https://fish.gov.ru/obzor-smi/2020/01/22/fermery-kryma-v-2020-godu-planiruyut-nachat-postavki-ustrits-v-armeniyu-i-kazakhstan (дата обращения: 05.06.2024).
4) Стратегия развития промысла хамсы в Черном море на период 2021–2030 гг. // Протокол заседания Азово-Черноморского бассейнового научно-промыслового совета. Севастополь, 2020. Приложение 2. С. 8–26. URL: https://fish.gov.ru/wp-content/uploads/documents/otraslevaya_deyatelnost/organizaciya_rybolovstva/protokoly_komissij_sovetov/protokol_achbnps_031220.pdf (дата обращения: 05.06.2024).
5) Качество морских вод по гидрохимическим показателям. Ежегодник 2021 / Под. ред. А. Н. Кор-
шенко. Москва : ГОИН, 2023. С. 70–105.
6) Биолюминесценция Черного моря : атлас / В. Ф. Жук [и др.]. Севастополь : ФИЦ ИнБЮМ, 2023. 371 с.
* Модель показывает детали макромасштабной турбулентности всего бассейна с часовым разрешением. URL: https://www.youtube.com/watch?v=IaWycRF5Zho (дата обращения: 30.05.2024).
7) Радченко И. Г., Капков В. И., Федоров В. Д. Практическое руководство по сбору и анализу проб морского фитопланктона. Москва : Мордвинцев, 2010. 60 с.
Об авторах
Сергей Александрович Пионтковский
ФГАОУ ВО Севастопольский государственный университет
Автор, ответственный за переписку.
Email: spiontkovski@mail.ru
ORCID iD: 0000-0002-6472-9701
SPIN-код: 5239-4730
Scopus Author ID: 6602165194
ResearcherId: ABB-9334-2020
ведущий научный сотрудник, доктор биологических наук
Россия, СевастопольЮлия Анатольевна Загородняя
ФГБУН ФИЦ «Институт биологии южных морей им. А. О. Ковалевского»
Email: artam-ant@yandex.ru
ORCID iD: 0000-0002-9502-4923
SPIN-код: 5426-9090
Scopus Author ID: 6506214138
ResearcherId: E-3325-2018
ведущий научный сотрудник, кандидат биологических наук
Россия, СевастопольИрина Михайловна Серикова
ФГБУН ФИЦ «Институт биологии южных морей им. А. О. Ковалевского»
Email: irasimwin@yandex.ru
ORCID iD: 0000-0001-6604-2594
SPIN-код: 1818-4515
Scopus Author ID: 57148098700
ResearcherId: AAO-4117-2020
старший научный сотрудник, кандидат биологических наук
Россия, СевастопольИван Александрович Минский
ФГАОУ ВО Севастопольский государственный университет; ФГБУН ФИЦ «Институт биологии южных морей им. А. О. Ковалевского»
Email: ivansimfer@yandex.ru
ORCID iD: 0009-0009-6539-303X
SPIN-код: 8847-8660
Scopus Author ID: 58168623600
младший научный сотрудник, ведущий инженер
Россия, Севастополь; СевастопольИлона Васильевна Ковалева
ФГБУН ФИЦ «Институт биологии южных морей им. А. О. Ковалевского»
Email: ila.82@mail.ru
ORCID iD: 0000-0001-5430-2002
SPIN-код: 2356-4570
Scopus Author ID: 56405274600
ResearcherId: AAB-4397-2019
научный сотрудник, кандидат биологических наук
Россия, СевастопольЕлена Юрьевна Георгиева
ФГБУН ФИЦ «Институт биологии южных морей им. А. О. Ковалевского»
Email: e-georgieva@mail.ru
ORCID iD: 0000-0002-8177-0781
SPIN-код: 1051-8304
Scopus Author ID: 57193546928
ведущий инженер
Россия, СевастопольСписок литературы
- Кожурин Е. А., Шляхов В. А., Губанов Е. П. Динамика уловов промысловых рыб Крыма в Черном море // Труды ВНИРО. 2018. Т. 171. С. 157‒169.
- Голованов В. И., Анфимова А. Ю., Мельниченко Н. Ф. Совершенствование механизмов управления экологической ситуацией в Республике Крым в преддверии туристического сезона 2021 года // Муниципальная академия. 2021. № 2. С. 162‒169. EDN DJRENH. https://doi.org/10.52176/2304831X_2021_02_162
- Система экологического мониторинга Азово-Черноморского бассейна / Е. Е. Совга [и др.] // Экологическая безопасность прибрежной и шельфовой зон моря. 2022. № 2. С. 19–37.
- Вержевская Л. В., Миньковская Р. Я. Структура и динамика антропогенной нагрузки на прибрежную зону Севастопольского региона // Экологическая безопасность прибрежной и шельфовой зон моря. 2020. № 2. С. 92–106. https://doi.org/10.22449/2413-5577-2020-2-92-106
- Иванов В. А., Белокопытов В. Н. Океанография Черного моря. Севастополь : ЭКОСИ-Гидрофизика, 2011. 209 с.
- Геофизические и геоморфологические исследования шельфа Крыма / В. И. Мысливец [и др.] // Труды Международной геолого-геофизической конференции и выставки «ГеоЕвразия-2021. Геологоразведка в современных реалиях». 2–4 марта 2021 г. Тверь : ООО «ПолиПРЕСС», 2021. Т. II. С. 244–247. EDN EHHTNQ.
- Геоморфология и история развития западного шельфа Крыма / Н. А. Римский-Корсаков [и др.] // Океанологические исследования. 2019. Т. 47, № 4. С. 161–176. EDN VCNXUJ. https://doi.org/10.29006/1564-2291.JOR-2019.47(4).11
- Демышев С. Г., Дымова О. А., Миклашевская Н. А. Пространственно-временная изменчивость гидрофизических и энергетических характеристик циркуляции Черного моря при доминировании движений разных масштабов. // Океанологические исследования. 2022. Т. 50, № 3. С. 27–50. EDN VIUSLY. https://doi.org/10.29006/1564-2291.JOR-2022.50(3).2
- Балыкин П. А., Куцын Д. Н., Старцев А. В. Рыболовство в условиях климатических изменений: динамика состава и структуры уловов в Российской части Черного моря в ХХI веке // Морской биологический журнал. 2021. Т. 6, № 3. С. 3–14. EDN NCJJFR. https://doi.org/10.21072/mbj.2021.06.3.01
- Юнев О. А., Коновалов С. К., Великова В. Антропогенная эвтрофикация в пелагической зоне Черного моря: долговременные тренды, механизмы, последствия. Москва : ГЕОС, 2019. 164 с. https://doi.org/10.34756/GEOS.2019.16.37827
- Zaitsev Yu., Mamaev V. Marine biological diversity in the Black Sea. A study of change and decline. New York : United Nations Publications, 1997. 208 p. URL: https://digitallibrary.un.org/record/245415?ln=ru (date of access: 14.04.2024).
- Eddy induced cross-shelf exchanges in the Black Sea / A. Akpinar [et al.] // Remote Sensing. 2022. Vol. 14, iss. 19. 14881. https://doi.org/10.3390/rs14194881
- Suslin V. V., Churilova T. Ya. A regional algorithm for separating light absorption by chlorophyll-a and colored detrital matter in the Black Sea, using 480–560 nm bands from ocean color scanners // International Journal of Remote Sensing. 2016. Vol. 37, iss. 18. P. 4380–4400. https://doi.org/10.1080/01431161.2016.1211350
- Ковалёва И. В., Суслин В. В. Интегральная первичная продукция в глубоководных районах Черного моря в 1998–2015 годах // Морской гидрофизический журнал. 2022. Т. 38, № 4. С. 432–445. EDN MYVMZX. https://doi.org/10.22449/0233-7584-2022-4-432-445
- Пятницкий М. М., Шляхов В. А., Афанасьев Д. Ф. Обновленные результаты моделирования состояния запаса и промысла крымско-кавказской единицы запаса черноморского шпрота в период 2001–2021 гг. // Труды XI Международной научно-практической конференции «Морские исследования и образование (MARESEDU)-2022». Москва, 24–28 октября 2022 г. Т. III (IV). Тверь : ПолиПРЕСС, 2022. С. 393–397. EDN HKVTPW.
- Стафикопуло А. М., Негода С. А. Динамика изменения показателей судового промысла хамсы в Азово-Черноморском бассейне в современный период // Водные биоресурсы и среда обитания. 2021. Т. 4, № 1. С. 50–70. https://doi.org/10.47921/2619-1024_2021_4_1_50
- Eddy induced cross-shelf exchanges in the Black Sea / A. Akpinar [et al.] // Remote Sensing. 2022. Vol. 14. 14881. https://doi.org/10.3390/rs14194881
- Akpınar A., Bingölbali B. Long-term variations of wind and wave conditions in the coastal regions of the Black Sea // Natural Hazards. 2016. Vol. 84. P. 69–92. https://doi.org/10.1007/s11069-016-2407-9
- Токарев В. Н., Евстигнеев П. В., Машукова О. В. Планктонные биолюминесценты Мирового океана: видовое разнообразие, характеристики светоизлучения в норме и при антропогенном воздействии. Симферополь : Н. Орiанда, 2016. 340 с.
- Петипа Т. С. О среднем весе основных форм зоопланктона Черного моря // Труды Севастопольской биологической станции. Москва : Изд-во Академии наук СССР, 1957. Т. 9. С. 39–57.
- Re-evaluation of the power of the Mann-Kendall Test for detecting monotonic trends in hydrometeorological time series / F. Wang [et al.] // Frontiers in Earth Science. 2020. Vol. 8. https://doi.org/10.3389/feart.2020.00014
- Полонский А. Б., Музылева М. А. Современная пространственно-временная изменчивость апвеллинга в северо-западной части Черного моря и у побережья Крыма // Известия РАН. Серия Географическая. 2016. № 4. С. 96–108. EDN UBAWLH. https://doi.org/10.15356/0373-2444-2016-4-96-108
- Кузнецов А. С., Зима В. В., Щербаченко С. В. Изменчивость характеристик прибрежного течения у Южного берега Крыма в 2017–2019 гг. // Экологическая безопасность прибрежной и шельфовой зон моря. 2020. № 3. С. 5–16. https://doi.org/10.22449/2413-5577-2020-3-5-16
- Перспективы радиолокационного мониторинга скорости ветра, спектров ветровых волн и скорости течения с океанографической платформы / Ю. Ю. Юровский [и др.] // Экологическая безопасность прибрежной и шельфовой зон моря. 2023. № 3. С. 40–54. EDN OFYNOG.
- Термохалинная структура вод у берегов Крыма и прилегающей открытой акватории Черного моря летом 2016 г. / Ю. В. Артамонов [и др.] // Экологическая безопасность прибрежной и шельфовой зон моря. Севастополь : ЭКОСИ-Гидрофизика, 2017. Вып. 3. С. 20–31. EDN ZMZFVL.
- Структура вод в зоне основного черноморского течения весной и летом 2017 г. (94-й, 95-й рейсы НИС «Профессор Водяницкий» / Ю. В. Артамонов [и др.] // Экологическая безопасность прибрежной и шельфовой зон моря. 2019. № 1. С. 16–28. EDN ABVXOP. https://doi.org/10.22449/2413-5577-2019-1-16-28
- Accumulation and cross-shelf transport of coastal waters by submesoscale cyclones in the Black Sea / A. Kubryakov [et al.] // Remote Sensing. 2023. Vol. 15, iss. 18. 4386. https://doi.org/10.3390/rs15184386
- Дорофеев В. Л., Сухих Л. И. Анализ долговременной изменчивости гидродинамических полей в верхнем 200-метровом слое Черного моря на основе результатов реанализа // Морской гидрофизический журнал. 2023. Т. 39, № 5. С. 617–630. EDN PILFWG.
- О роли температурного фактора в поведении и эффективности промысла черноморского шпрота / Б. Н. Панов [и др.] // Водные биоресурсы и среда обитания. 2020. Т. 3, № 1. С. 106–113. EDN RTBOMT. https://doi.org/10.47921/2619-1024_2020_3_1_106
- Серегин С. А., Попова Е. В. Разномасштабные изменения обилия и видового разнообразия метазойного микрозоопланктона в прибрежье Черного моря // Водные ресурсы. 2019. Т. 46, № 5. С. 555–564. EDN DCEORI. https://doi.org/10.31857/S0321-0596465555-564
- Источники загрязнения прибрежных вод Севастопольского района / В. М. Грузинов [и др.] // Океанология. 2019. Т. 59, № 4. С. 579–590. EDN VEOVBB. https://doi.org/10.31857/S0030-1574594579-590
- Гидрологические и гидрохимические условия шельфовых зон Крыма и Кавказа в 2016–2017 гг. / Н. Н. Дьяков [и др.] // Труды ГОИН. 2018. № 219. С. 66–87. EDN UTDXNU.
- Стельмах Л. В., Мансурова И. М. Функциональное состояние культур морских микроводорослей как показатель уровня загрязнения вод Севастопольской бухты // Системы контроля окружающей среды. 2021. № 4. С. 83–90. EDN ZCBOTB. https://doi.org/10.33075/2220-5861-2021-4-83-90
- Руднева И. И. Оценка токсичности мазута для икры двух видов морских рыб // Экологическая безопасность прибрежной и шельфовой зон моря. 2022. № 2. С. 118–127. EDN EKWOFT. https://doi.org/10.22449/2413-5577-2022-2-118-127
- The use of bioluminescent dinoflagellates as an environmental risk assessment tool / D. Lapota [et al.] // Marine Pollution Bulletin. 2007. Vol. 54, iss. 12. P. 1857–1867. https://doi.org/10.1016/j.marpolbul.2007.08.
- Seuront L. Hydrocarbon contamination decreases mating success in a marine planktonic copepod // PLOS One. 2011. Vol. 6, iss. 10. e26283. https://doi.org/10.1371/journal.pone.0026283
- О некоторых методических аспектах оценки нефтяного загрязнения водных объектов с учетом деградации нефтепродуктов во времени / З. А. Темердашев [и др.] // Аналитика и контроль. 2016. Т. 20, № 3. С. 225–235. EDN WKNOPF. https://doi.org/10.15826/analitika.2016.20.3.006
- Динофлагелляты прибрежья г. Севастополя (Черное море, Крым) / Ю. В. Брянцева [и др.] // Альгология. 2016. Т. 26, № 1. С. 74–89. EDN MVMJFJ. https://doi.org/10.15407/alg26.01.074
- Ковалёва И. В., Финенко З. З., Суслин В. В. Тренды многолетних изменений концентрации хлорофилла, первичной продукции фитопланктона и температуры воды на шельфе в южном и восточном районах Чёрного моря // Современные проблемы дистанционного зондирования Земли из космоса. 2021. Т. 18, № 4. С. 228–235. EDN RVEEZP. https://doi.org/10.21046/2070-7401-2021-18-4-228-235
- Брянцева Ю. В., Серикова И. М., Суслин В. В. Межгодовая изменчивость разнообразия динофлагеллят и поля биолюминесценции у берегов Севастополя // Экосистемы, их оптимизация и охрана. Симферополь : ТНУ, 2014. Вып. 11. С. 158–164. EDN VKCZLP.
- Виноградов М. Е., Шушкина Э. Л. Функционирование планктонных сообществ эпипелагиали океана. Москва : Наука, 1987. 240 с.
- Piontkovski S. A., Williams R., Melnik T. A. Spatial heterogeneity, biomass and size structure of plankton of the Indian Ocean: some general trends // Marine Ecology Progress Series. 1995. Vol. 117. P. 219–227. https://doi.org/10.3354/meps117219
- Глущенко Т. И. Питание и оценка рациона черноморского шпрота в 2009–2010 годах // Труды Южного научно-исследовательского института рыбного хозяйства и океанографии. 2011. Т. 49. С. 34–39. EDN VPNCQH.
- Латун В. С. Влияние природных и антропогенных факторов на динамику промысловых запасов черноморского анчоуса (хамсы). // Экологическая безопасность прибрежной и шельфовой зон моря. 2017. № 1. С. 79–86. EDN YKSPZR.
- Пространственное распределение ихтиопланктона у Крымского полуострова в летний нерестовый сезон 2013 г. / Т. Н. Климова [и др.] // Морской биологический журнал. 2019. Т. 4, № 1. С. 63−80. EDN ZCKSKD. https://doi.org/10.21072/mbj.2019.04.1.06
- Подрезова П. С., Климова Т. Н., Вдодович И. В. Сдвиги в фенологии нереста массовых короткоцикличных видов Черного моря (Sprattus sprattus и Engraulis engrasicolus) на фоне климатических изменений // Труды Х Международной научно-практической конференции. 2021. Т. II. С. 293–296. EDN QEZBAZ.
Дополнительные файлы










