Features of the Stokes drift in the northeastern coastal zone of the Black Sea from modelling results
- Authors: Divinsky B.V.1, Куклев S.B.1, Ocherednik V.V.1, Kukleva O.N.1
-
Affiliations:
- Shirshov Institute of Oceanology, Russian Academy of Sciences
- Issue: No 1 (2024)
- Pages: 6-19
- Section: Статьи
- URL: https://ogarev-online.ru/2413-5577/article/view/255720
- EDN: https://elibrary.ru/CAVUNO
- ID: 255720
Cite item
Abstract
The Stokes drift generated by surface waves affects many physical processes occurring in the coastal zone of the sea, including heat and salt transport, as well as transport of pollutants. Taking into account the parameters of sea currents caused by the Stokes drift is important for a more correct description of the general hydrodynamic structure of coastal waters. Moreover, sea currents generated by surface waves make a significant contribution to the processes of accumulation and redistribution of pollutants in the coastal zone of the sea. The article presents the results of the study of the Stokes drift on the northeastern shelf of the Black Sea near Gelendzhik for the period from 2003 to 2022. Seasonal and interannual features of variability of Stokes current velocities and directions have been identified. It has been shown that from December to April, excluding February, the Stokes transport has comparable repeatability in directions towards the coast, away from the coast, and towards the northwest. In February, the main flow tends to the open sea. In May and June, the repeatability of currents towards the coastline increases significantly, with the contribution of currents to the southeast increasing at the beginning of summer. In July, the currents directed to the southeast and away from the coast become almost identical in terms of repeatability. From August to November, the proportion of currents directed away from the coast increases with a gradual decrease in the repeatability of currents towards the southeast. In multi-year terms, the flow directed away from the coast to the open sea prevails (repeatability of 34.3%). The same flow has the highest mean velocity (0.053 m/s). Repeatability of the long-shore currents directed towards the southeast and northwest is almost the same, but the currents towards the northwest are much more intense.
Full Text
Introduction
Open condition of wave orbital trajectories causes an additional resulting fluid flow in the upper few meters of the water column (with the highest value at the surface) corresponding to the general direction of wave propagation. This phenomenon was first described by the English scientist D. Stokes 1 and subsequently received his name.
Stokes drift affects directly many physical processes occurring in the coastal zone of the sea [1–4]. Work [5] shows that the trajectories of surface drifters under conditions of arisen sea with significant wave heights exceeding 1 m are determined precisely by the Stokes drift and only at relatively low heights (less than 0.6 m) they are determined by the local wind and main currents. Together with wind currents, density gradients and tides, the Stokes drift makes a significant contribution to heat and salt transport, as well as transport of pollutants including micro- and macroplastics, and oil spills [6–8]. Taking into account the Stokes drift, it is possible to improve significantly numerical models of the spread of passive pollutants [9] in order to understand better the environmental consequences of human economic activity.
Current velocities caused by the Stokes transport can reach 2% of the local wind velocity [8] and the contribution of the Stokes transport to the total flow caused by wind load can be up to 40% [10]. The Stokes drift parameters also depend significantly on the season and geographical features of the sea area [11]. It should also be noted according to [12] that currents caused by the Stokes transport have mean velocities of 0.08–0.10 m/s and maximum velocities of ~0.6 m/s in the Baltic Sea.
Thus, the Stokes drift can influence both hydrodynamic regime and ecological state of a water body significantly.
Hence, the main purpose of this study is to analyze the basic parameters of the Stokes drift (velocities and directions) including their seasonal and interannual variability on the northeastern shelf of the Black Sea near Gelendzhik for a climatic period from 2003 to 2022. Such estimates have not been previously carried out for the Black Sea conditions. Additionally, seasonal and interannual patterns of distributions of wind wave and surface wind parameters were studied over the same period.
Materials and methods
The study uses such tools as the DHI MIKE SW modern spectral wave model of Danish Hydraulic Institute and the ERA5 global reanalysis database provided by the European Center for Medium-Range Weather Forecasts (ECMWF).
The DHI MIKE SW model takes into account basic physical mechanisms of wave field transformation including wave generation under the influence of surface wind, nonlinear three- and four-wave interactions, wave energy dissipation resulted from bottom friction and breaking, as well as diffraction and refraction [13].
Non-stationary fully spectral model is used when calculating the Black Sea wave fields. Spectral frequencies are included in the range of wave periods from 1.6 to 16.5 s. The model resolution in the directions of wave propagation is 15°. The model is configured to separate the wave field into two components (pure wind waves and swell waves) and verified based on numerous in situ experiments and satellite data [14].
The calculation grid with condensation in the coastal zone covers the Black Sea and the Sea of Azov and consists of 20,000 calculation elements (Fig. 1). The calculation point indicated in the inset to Fig. 1 is located 4 km seaward of Gelendzhik at a depth of 40 m.
The performed modeling made it possible to obtain a data array consisting of the main parameters of pure wind waves and swell waves covering a period of 20 years (from 2003 to 2022). The array includes significant heights of wind waves and swell waves, as well as the directions of their propagation. The time step is 1 h.
The meridional and zonal components of surface wind velocities and the Stokes drift were extracted from the ERA5 global atmospheric reanalysis array for the same period and with the similar time step. The Stokes drift is calculated based on the analysis of two-dimensional wave energy spectra [15].
Thus, we further study the climatic features of the variability of the following parameters:
- significant heights, as well as directions of propagation of wind waves and swell waves;
- wind direction and velocity;
- direction and velocity of the Stokes drift at the sea surface.
Fig. 1. Calculation grid of the Black Sea and the Sea of Azov. The inset shows the position of the calculation point near Gelendzhik
Results and discussion
Figs. 2–4 show seasonal features of the distribution of significant heights of wind waves, swell waves and wind velocities, respectively.
Pursuant to Fig. 2, wind waves of sea directions (from the southeast to the northwest) dominate from late autumn to mid-spring. November and February with their strong storms in the northeast directions are the exceptions. Wind waves in the west and northwest directions predominate in May, June and July. The wave disturbance from the northeast increases significantly from August to October. At the same time, the open sea brings little risk of storms in August and September.
Long swell waves experience significant refraction with the restructuring of the wave front normal to the coast on a relatively narrow shelf with almost parallel isobaths near Gelendzhik (see the inset to Fig. 1). As a result, all seasons are characterized by the absolute predominance of swell waves in the southwest and west-southwest directions (Fig. 3).
The region under consideration is under the influence of surface winds in all directions, with the exception of the southeast ones, in December, January and March (Fig. 4). The contribution of the northeast wind increases sharply in February. Two main wind directions in April–May are the southwest and the northeast. Weak winds of the northern sectors with a predominance of the northeast prevail from June to September. The northeast winds become dominant in October and November.
Fig. 5 shows generalizing climatic roses for wind waves, swell waves and surface wind constructed over 20 years from 2003 to 2022.
Fig. 2. Monthly wind wave roses near Gelendzhik
Fig. 3. Monthly swell wave roses near Gelendzhik
Fig. 4. Monthly surface wind roses near Gelendzhik
Fig. 5. Climatic roses: for wind waves (a), for swell waves (b), for the surface wind (c)
Pursuant to Fig. 5, wind waves in the west-southwest and northeast directions have the greatest repeatability while the strongest waves develop in the south-southeast-west sector. As in all seasons separately, the swell waves of the west-southwest and southwest directions dominate in the interannual sense. The prevailing wind is in the northeast directions, the least repeated wind is in the southeast directions.
Fig. 6 shows the so-called whisker boxes giving a visual graphical representation of certain statistical characteristics (mean distribution, 1st and 3rd quartiles (or 25th and 75th percentiles), 10th and 90th percentiles) of wave height and wind velocity values separately by month and overall for the year.
Fig. 6. Statistical characteristics of the distributions of: significant wind wave heights (a), significant swell waves heights (b), surface wind speeds (c)
The data (Fig. 6) show that wave height distributions are characterized by strong intraseasonal variability. The strongest wind waves are observed in the winter months with mean wave heights of ~0.7 m, and weakest ones – in summer (hs,wind sea ~0.3 m). The same picture is observed for the swell waves with mean heights slightly exceeding 0.6 m in winter and 0.2 m in summer. August is the quietest month. The differences among seasons in wind velocities are not as obvious as in wave parameters. Mean wind velocities are ~7 m/s in winter, as well as in early spring and late autumn, and 5 m/s in summer. The weakest wind is observed in May.
Fig. 7 shows seasonal features of the Stokes drift velocities and directions. Note that in accordance with well-established oceanographic traditions, the direction of the Stokes currents is determined relative to the side of the world towards which they are headed (the direction of waves and wind – from the side). For convenience of consideration and taking into account the general orientation of the coastline, the repeatability of the Stokes drift is calculated for four 90° sectors conditionally defining the following directions of currents: towards the coast, along the coast towards the southeast, away from the coast, along the coast towards the northwest.
Pursuant to Fig. 7, surface currents caused by wind waves formed both by large-scale processes throughout the entire Black Sea water area and by local wind have well-defined seasonal differences. From December to April, excluding February, the Stokes transport has comparable repeatability in directions towards the coast, away from the coast and towards the northwest. In February, the main flow tends to the open sea under the influence of strong northeast winds. In May and June, the repeatability of currents towards the coastline increases significantly with the contribution of currents towards the southeast increasing at the beginning of summer. In July, the currents directed towards the southeast and away from the coast become almost identical in terms of repeatability. From August to November, the proportion of currents directed away from the coast increases with a gradual decrease in the repeatability of currents towards the southeast.
Fig. 8 shows the generalized pattern of sea currents caused by the Stokes transport.
Pursuant to Fig. 8, the long-term repeatability of the Stokes currents in directions is as follows: towards the coast – 27.4%, towards the southeast – 20.9%, away from the coast – 34.3%, towards the northwest – 17.4%. In general, the flow directed to the open sea predominates climatically. The repeatability of alongshore flows directed towards the southeast and northwest is almost the same.
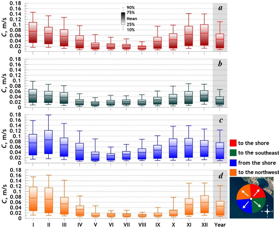
Statistical characteristics of flow velocities also show intraseasonal differences (Fig. 9). The currents directed towards the coast are the strongest ones in December–January (mean velocities ~0.07 m/s), away from the coast – in winter and autumn, especially in February (more than 0.08 m/s), towards the northwest – from November to February. The weakest currents are directed towards the southeast with mean values of 0.04 m/s in winter. The extremely insignificant transport (mean velocities less than 0.02 m/s) towards the coast and towards the northwest is observed in August, in May – towards the southeast, in July – towards the sea. In general, currents towards the sea have the highest mean annual velocities (almost 0.06 m/s). They are followed by currents towards the coast and towards the northwest (~0.05 m/s) and alongshore currents towards the southeast (~0.03 m/s).
Fig. 7. Monthly roses of the Stokes drift near Gelendzhik
Fig. 10 shows interannual variability of the Stokes drift velocities. According to the data, despite the climatic dominance of flows directed towards the sea, currents towards the coast can prevail in some years (e.g., in 2004 and 2021). The mean annual repeatability of the Stokes drift by 90° sectors is as follows: towards the coast – 23.4–34.7%, towards the southeast – 16.1–25.5%, away from the coast – 24.8–44.1%, towards the northwest – 12.6–23.3%. The mean annual current velocities vary as follows: towards the coast – 0.037–0.054 m/s, towards the southeast – 0.025–0.035 m/s, away from the coast – 0.039–0.061 m/s, towards the northwest – 0.033–0.059 m/s. The maximum velocities are an order of magnitude higher than the mean values. Intraannual maximum velocities also vary widely: towards the coast – 0.18–0.34 m/s, towards the southeast – 0.12–0.22 m/s, away from the coast – 0.19–0.42 m/s, towards the northwest – 0.20–0.34 m/s. The maximum Stokes drift velocity amounting to 0.42 m/s was observed in 2012 with the currents directed towards the open sea.
Fig. 8. Climatic roses of currents caused by the Stokes drift
Fig. 9. Statistical characteristics of Stokes drift velocities by distribution sectors: a – towards the coast; b – to the southeast; c – away from the coast; d – towards the northwest
Fig. 10. Repeatability (a), mean (b) and maximum (c) Stokes drift velocities by distribution sectors
Conclusion
The performed research results in the analysis of the Stokes drift main parameters (velocities and directions) on the northeastern shelf of the Black Sea near Gelendzhik over a long period of time from 2003 to 2022 and the study of the seasonal and interannual patterns of distribution of wind wave and surface wind parameters.
Main results.
Wind waves. Wind waves of sea directions (from the southeast to the northwest) dominate from late autumn to mid-spring. November and February with their strong storms in the northeast directions represent some exceptions. Wind waves in the west and northwest directions predominate in May, June and July. The wave disturbance from the northeast increases significantly from August to October. At the same time, the open sea brings little risk of storms in August and September.
The strongest wind waves are observed in the winter months with mean wave heights of ~0.7 m, and weakest ones – in summer (0.3 m).
Swell waves. All seasons are characterized by the absolute predominance of swell waves in the southwest and west-southwest directions. The swell waves with mean heights slightly exceed 0.6 m in winter and 0.2 m in summer.
Wind. The region under consideration is under the influence of surface winds in all directions, with the exception of the southeast ones, in December, January and March. The contribution of the northeast wind increases sharply in February. Two main wind directions in April–May are the southwest and the northeast. Weak winds of the northern sectors with a predominance of the northeast prevail from June to September. The northeast winds become dominant in October and November. Mean wind velocities are ~7 m/s in winter, as well as in early spring and late autumn, and 5 m/s in summer. The weakest wind is observed in May.
The Stokes drift. From December to April, excluding February, the Stokes transport has comparable repeatability in directions towards the coast, away from the coast and towards the northwest. In February, the main flow tends to the open sea. In May and June, the repeatability of currents towards the coastline increases significantly with the contribution of currents towards the southeast increasing at the beginning of summer. In July, the currents directed towards the southeast and away from the coast become almost identical in terms of repeatability. From August to November, the proportion of currents directed away from the coast increases with a gradual decrease in the repeatability of currents towards the southeast.
The table shows the interannual characteristics of the Stokes currents.
In multi-year terms, the flow directed away from the coast to the open sea prevails. The same flow has the highest mean velocity. Repeatability of the longshore currents directed towards the southeast and northwest is almost the same, but the currents towards the northwest are much more intense.
Long-term characteristics of the Stokes drift by wave directions
Flow direction | Repeatability, % | Mean velocity, m/s | Mean maximum velocity, m/s |
Towards the coast | 27.4 | 0.046 | 0.27 |
Towards the southeast | 20.9 | 0.030 | 0.17 |
Away from the coast | 34.3 | 0.053 | 0.28 |
Towards the northwest | 17.4 | 0.045 | 0.26 |
Note that the Stokes drift is only part of the complex hydrodynamic picture characteristic of coastal waters. Experimental observations and numerical modeling carried out by A. Isobe et al. made it possible to establish that under the influence of the Stokes transport, large plastics were mostly transported and accumulated in the coastal zone of the sea, processed into smaller forms (microplastics) and subsequently transported into the open sea. Thus, we can conclude that sea currents generated by surface waves make a significant contribution to the processes of accumulation and redistribution of pollutants in the shelf zone of the sea and determine largely the ecological state of coastal waters.
Final remark. Average currents can be generated in the field of groups of waves at the ocean surface. Such currents differ in their pure form from the Stokes drift induced directly by the waves. Naturally, this results in certain errors in the estimates of the Stokes transport values. Nevertheless, we believe that the indicated inaccuracies are, let’s say, a kind of a systematic error and do not affect the climatic features of variations in the Stokes drift greatly.
1 Stokes G. G. On the numerical calculation of a class of definite integrals and infinite series // Transactions of the Cambridge Philosophical Society. Cambridge, 1847. Vol. IX, part 1. P. 166–187.
About the authors
Boris V. Divinsky
Shirshov Institute of Oceanology, Russian Academy of Sciences
Email: divin@ocean.ru
ORCID iD: 0000-0002-2452-1922
SPIN-code: 2017-8359
ResearcherId: C-7262-2014
Leading Research Associate, Laboratory of Geology and Lithodynamics, PhD (Geogr.)
Russian Federation, 36 Nakhimovskiy Ave., Moscow, 117997Sergey B. Куклев
Shirshov Institute of Oceanology, Russian Academy of Sciences
Email: kuklev@ocean.ru
ORCID iD: 0000-0003-4494-9878
SPIN-code: 7717-9703
ResearcherId: G-5656-2017
Head of Laboratory of Hydrophysics and Modelling, PhD (Geogr.)
Russian Federation, 36 Nakhimovskiy Ave., Moscow, 117997Vladimir V. Ocherednik
Shirshov Institute of Oceanology, Russian Academy of Sciences
Email: poekperementarium@gmail.com
ORCID iD: 0000-0002-3593-7114
SPIN-code: 6522-7608
ResearcherId: G-2850-201
Research Associate, Laboratory of Hydrophysics and Modelling
Russian Federation, 36 Nakhimovskiy Ave., Moscow, 117997Olga N. Kukleva
Shirshov Institute of Oceanology, Russian Academy of Sciences
Author for correspondence.
Email: kukleva-ola@mail.ru
ResearcherId: J-7126-2018
Research Associate, Laboratory of Hydrophysics and Modelling
Russian Federation, 36 Nakhimovskiy Ave., Moscow, 117997References
- Clarke, A. and Van Gorder, S., 2018. The Relationship of Near-Surface Flow, Stokes Drift and the Wind Stress. Journal of Geophysical Research: Oceans, 123(7), pp. 4680–4692. https://doi.org/10.1029/2018JC014102
- Lentz, S., Fewings, M., Howd, P., Fredericks, J. and Hathaway, K., 2008. Observations and a Model of Undertow over the Inner Continental Shelf. Journal of Physical Oceanography, 38(11), pp. 2341–2357. https://doi.org/10.1175/2008JPO3986.1
- Lentz, S. and Fewings, M., 2012. The Wind- and Wave-Driven Inner-Shelf Circulation. Annual Review of Marine Science, 4, pp. 317–343. https://doi.org/10.1146/annurev-marine-120709-142745
- Sullivan, P. and McWilliams, J., 2010. Dynamics of Winds and Currents Coupled to Surface Waves. Annual Review of Fluid Mechanics, 42, pp. 19–42. https://doi.org/10.1146/annurev-fluid-121108-145541
- Pärn, O., Davulien, L., Macías, D.M., Vahter, K., Stips, A. and Torsvik, T., 2023. Effects of Eulerian Current, Stokes Drift and Wind While Simulating Surface Drifter Trajectories in the Baltic Sea. Oceanologia, 65(3), pp. 453–465. https://doi.org/10.1016/j.oceano.2023.02.001
- Isobe, A., Kubo, K., Tamura, Y., Kako, S., Nakashima, E. and Fujii, N., 2014. Selective Transport of Microplastics and Mesoplastics by Drifting in Coastal Waters. Marine Pollution Bulletin, 89(1–2), pp. 324–330. https://doi.org/10.1016/j.marpolbul.2014.09.041
- Iwasaki, S., Isobe, A., Kako, S., Uchida, K. and Tokai, T., 2017. Fate of Microplastics and Mesoplastics Carried by Surface Currents and Wind Waves: A Numerical Model Approach in the Sea of Japan. Marine Pollution Bulletin, 121(1–2), pp. 85–96. http://dx.doi.org/10.1016/j.marpolbul.2017.05.057
- Yang, Y., Li, Y., Li, J., Liu, J., Gao, Z., Guo, K. and Yu, H., 2021. The Influence of Stokes Drift on Oil Spills: Sanchi Oil Spill Case. Acta Oceanologica Sinica, 40(10), pp. 30–37. https://doi.org/10.1007/s13131-021-1889-9
- Bosi, S., Broström, G. and Roquet, F. 2021. The Role of Stokes Drift in the Dispersal of North Atlantic Surface Marine Debris. Frontiers in Marine Science, 8, 697430. doi: 10.3389/fmars.2021.697430
- McWilliams, J. and Restrepo, J., 1999. The Wave-Driven Ocean Circulation. Journal of Physical Oceanography, 29(10), pp. 2523–2540. doi: 10.1175/1520-0485(1999)029<2523:TWDOC>2.0.CO;2
- Markova, N.V. and Bagaev, A.V., 2016. The Black Sea Deep Current Velocities Estimated from the Data of Argo Profiling Floats. Physical Oceanography, (3), pp. 23–35. doi: 10.22449/1573-160X-2016-3-23-35
- Tuomi, L., Vähä-Piikkiö, O., Alenius, P., Björkqvist, J. and Kahma, K., 2017. Surface Stokes Drift in the Baltic Sea Based on Modelled Wave Spectra. Ocean Dynamics, 68(1), pp. 17–33. https://link.springer.com/article/10.1007/s10236-017-1115-7
- Sørensen, O.R., Kofoed-Hansen, H., Rugbjerg, M. and Sørensen, L.S., 2005. A Third-Generation Spectral Wave Model Using an Unstructured Finite Volume Technique. In: J. M. Smith, ed., 2005. Coastal Engineering 2004 – Proceedings of the 29th International Conference. World Scientific, pp. 894–906. https://doi.org/10.1142/9789812701916_0071
- Divinsky, B.V. and Kosyan, R.D., 2017. Spatiotemporal Variability of the Black Sea Wave Climate in the Last 37 Years. Continental Shelf Research, 136, pp. 1–19. http://dx.doi.org/10.1016/j.csr.2017.01.008
- Breivik, Ø. and Christensen, K., 2020. A Combined Stokes Drift Profile under Swell and Wind Sea. Journal of Physical Oceanography, 50(10), pp. 2819–2833. doi: 10.1175/JPO-D-20-0087.1
Supplementary files













