Имитационная модель роста устрицы Ostrea edulis L. в условиях культивирования
- Авторы: Филиппова Т.А.1, Васечкина Е.Ф.1
-
Учреждения:
- Морской гидрофизический институт РАН
- Выпуск: № 4 (2023)
- Страницы: 87-100
- Раздел: Статьи
- URL: https://ogarev-online.ru/2413-5577/article/view/255623
- EDN: https://elibrary.ru/NZYAOP
- ID: 255623
Цитировать
Аннотация
Культивирование плоской устрицы Ostrea edulis L., потерявшей свое промысловое значение вследствие сокращения численности, является актуальной задачей. Применение математических имитационных моделей может способствовать развитию технологии выращивания устриц в условиях морской фермы. Предложенная математическая модель динамики роста O. edulis построена на принципах динамического баланса энергии. В модели использованы математические аппроксимации физиологических процессов (фильтрация, дыхание, экскреция, рост, нерест), полученные на основе опубликованных данных наблюдений. Установлены функциональные зависимости параметров аппроксимаций от условий среды. Валидация модели выполнена по натурным данным о линейном и весовом росте устрицы O. edulis, выращиваемой в заливе Донузлав в течение 30 мес. с апреля 2001 по октябрь 2003 г. Использование модели позволило получить динамику составляющих энергетического баланса плоской устрицы, находящейся на разных стадиях жизненного цикла. Полученное количественное распределение энергии роста между генеративными и соматическими тканями устрицы подтверждается качественным описанием роста тканей устрицы по натурным измерениям. Разработанная модель хорошо воспроизводит качественные и количественные характеристики физиологических процессов плоской устрицы. Модель энергетического баланса устрицы может быть использована в качестве блока комплексной экологической модели, имитирующей культивирование моллюсков на устричной ферме.
Ключевые слова
Полный текст
Введение
Устрица Ostrea edulis является одним из наиболее ценных видов моллюсков черноморского побережья. Однако в настоящее время этот вид потерял свое промысловое значение вследствие раковинной болезни, вызванной грибком. Во второй половине прошлого столетия произошло катастрофическое сокращение ареала обитания вида Ostrea edulis в Черном море. Это обусловило необходимость работ по искусственному воспроизводству моллюска, которые проводились начиная с 1980-х гг. [1]. Таким образом, исследования, посвященные количественному описанию динамики физиологических процессов у устриц данного вида, являются актуальными и могут быть востребованы при развитии данной аквакультуры.
В последние годы исследователи прилагают довольно много усилий для создания математических моделей, позволяющих имитировать динамику роста устриц в зависимости от параметров среды: температуры воды и концентрации кормовой взвеси. Целью настоящей работы является разработка такой модели для устрицы O. edulis, культивируемой в конкретном районе побережья Крыма – заливе Донузлав. Вначале рассмотрим ряд наиболее интересных и близких к нашей задаче моделей, предложенных другими авторами [2–8].
В исследовании [2] представлена имитационная модель динамики популяции устрицы вида Magallana gigas. Авторы анализировали натурные данные, описывающие рост устриц, устанавливали функциональные зависимости скорости роста от размеров моллюска, затем полученные зависимости использовали в качестве параметризаций в популяционной модели. Ввиду того, что процессы фильтрации, дыхания и экскреции у устриц разных стадий развития протекают по-разному, исследователи ввели отдельные математические функции для описания каждой стадии жизненного цикла устрицы и рассматривали их отдельно друг от друга. Недостатком такого подхода является сложность в описании непрерывного роста особей в популяции.
В работе [3] представлена модель роста тихоокеанской устрицы M. gigas, культивируемой в пруду Тау, Франция. Управляющие переменные модели: температура воды, концентрация органического вещества и хлорофилла a, а также соленость вод. Модель верифицировали по данным о линейном и весовом росте двух популяций устриц, выращиваемых в пруду в 2000–2001 гг. Авторы пришли к заключению, что их модель показывает хорошую сходимость натурных и имитационных данных, но лучших результатов удалось бы добиться с использованием моделей динамического бюджета энергии (dynamic energy budget, DEB).
Более поздняя работа тех же авторов [4] демонстрирует уже модель на основе DEB-подхода. Результаты моделирования роста устриц по эмпирической модели сравнили с результатами, полученными с помощью DEB-модели. Последняя позволяет добиться лучшего соответствия результатов моделирования натурным данным о весовом и линейном росте устриц [3].
В работе [5] представлена достаточно универсальная для морских экосистем атлантического побережья DEB-модель роста устрицы M. gigas. Авторы применили единый подход к шести различным экосистемам и использовали коэффициент питания, который учитывает особенности пищевой активности устриц, находящихся в различных внешних условиях. Модель хорошо воспроизводит периоды нереста и потери биомассы в осенне-зимний период. Недостатком является отсутствие явной зависимости переменных модели от температуры воды. Авторы отметили, что в зимний период температура воды на всех рассматриваемых участках примерно одинакова, а в летний наблюдаются значительные различия. Тем не менее в модели для всех локаций используется один и тот же набор параметров, за исключением коэффициента питания.
Аналогичная модель разработана для нескольких морских экосистем тихоокеанского побережья [6]. DEB-модель роста устрицы M. gigas показала хорошие результаты при сопоставлении с данными измерений параметров, определяющих процессы роста и нереста. Однако авторы пришли к выводу, что три исследуемых локации характеризуются сходными внешними условиями. Поэтому для применения указанной модели в условиях, отличных от заданных, необходимо детализировать модель, включив в нее ряд величин, учитывающих разные условия среды.
В работе [7] DEB-модель применяется для сравнения жизненных циклов двух видов устриц: O. edulis и M. gigas. Использование DEB-подхода позволило авторам определить реакцию обоих видов устриц на повышение среднегодовой температуры воды на 2 °C. Вид M. gigas показал достаточную устойчивость к изменению параметров среды, в то время как у вида O. edulis жизненный цикл изменился вследствие угнетения процессов нереста. По результатам работы авторы смогли оценить значения параметров среды, необходимые для обеспечения устойчивого роста устриц O. edulis. Модель разработана для региональных условий пролива Лим-фьорд, Дания.
В работе [8] представлена математическая модель роста мидии Mytilus galloprovincialis, разработанная в соответствии с принципами динамического баланса энергии. Авторы подробно рассматривают процессы фильтрации, дыхания, нереста и экскреции мидий. Модель верифицировали по натурным данным, полученным на мидийной ферме в прибрежной зоне Крыма.
Приведенные примеры успешного применения DEB-моделей определяют наш выбор построения имитационной модели устрицы O. edulis на основе уравнения баланса энергии. Анализ литературных источников показал, что региональные особенности играют большую роль при построении модели, поскольку существенным образом определяют конкретный вид параметризаций для основных физиологических процессов. В связи с этим представляется актуальной разработка имитационной модели для O. edulis, культивируемой в заливе Донузлав. Модель должна описывать процессы ассимиляции пищи, выделения, дыхания, роста, размножения. Разработка такой модели с использованием подходов, описанных в [2–8], и ее верификация по данным натурных наблюдений являются целью настоящей работы.
Материалы и методы
В заливе Донузлав находится несколько морских хозяйств, в которых выращиваются двустворчатые моллюски: устрицы и мидии. В основном все хозяйства сосредоточены в центральной части залива. Многолетний опыт ведения морских хозяйств в этом заливе указывает на пригодность данной акватории для разведения устриц и мидий [9]. С учетом сказанного центральный район залива Донузлав был выбран для тестового расчета в качестве места возможного размещения аквакультуры плоской устрицы.
Модель динамического баланса энергии. Основные физиологические процессы, определяющие рост устрицы, – фильтрация, питание, дыхание, экскреция и нерест. Приведенная ниже модель математически описывает эти процессы для устриц, уже прошедших личиночную стадию и закрепившихся на твердом субстрате. Модель построена в соответствии с концепцией динамического баланса энергии. Количественные характеристики процессов выражаются в энергетических единицах измерения: калориях или джоулях. Для перехода от массовых единиц измерения к энергетическим используются коэффициенты калорийности тканей устрицы.
Энергетический баланс формируется и меняется в зависимости от физиологических процессов устрицы, которые зависят от ее веса, возраста, температуры воды, солености, времени года, обеспеченности ресурсами, индивидуальных особенностей. При практическом использовании данного подхода в разработке имитационной модели жизненного цикла моллюска необходимо как можно более точно математически описать все физиологические процессы для конкретного вида. Для этого необходимы данные натурных наблюдений и лабораторных экспериментов. В работе мы использовали аппроксимации, полученные по натурным данным (таблица), представленным в основном в диссертации 1) и работах Н. А. Сытник [10, 11].
Морфометрические соотношения. Сырой вес устрицы W (г) представим как сумму веса раковины Wsh (г) и мягких тканей Wsoft (г). Сырой и сухой вес мягких тканей моллюска связаны между собой соотношением Wd = 0.11Wsoft [12].
В процессе роста устрицы высота раковины также увеличивается. По натурным данным, представленным в работе 1), мы предложили следующую аппроксимацию зависимости высоты раковины от сырого веса моллюска:
при Wsoft ≤ 0.35 г ,
при Wsoft > 0.35 г
Потребление. Все питательные вещества, т. е. энергию, расходуемую на поддержание структуры и рост, устрица получает из морской воды, содержащей кормовую взвесь – фитопланктон и детрит. В процессе фильтрации моллюск потребляет энергию рациона I (кал/ч), однако усваивает только ее часть A = I – Ea, где Ea – неусвоенная часть рациона. Ассимилированную энергию моллюск тратит на дыхание R с выделением метаболитов Ex, рост мягких тканей Psom, гонад Pgen и увеличение размеров раковины Psh:
A = R + P + Ex;
P = Psom + Pgen + Psh,
где P – энергетические затраты на рост, кал/ч; R – энергетические затраты на дыхание, кал/ч; Ex – экскретируемая энергия, кал/ч. Таким образом, распределение энергетических затрат плоской устрицы можно упрощенно представить в виде уравнения баланса
I = P + R + Ea + Ex. (1)
Рассмотрим составляющие баланса (1) более подробно. Потребленная энергия (или рацион) зависит от скорости фильтрации F (л/ч), концентрации кормовой взвеси в воде С (мг/л) и калорийности взвеси Kс (кал/мг): I = F·KC·C. Количество ассимилированной энергии зависит от эффективности усвоения пищи, традиционно описываемой с использованием коэффициента ассимиляции: A = Ae·F·KC·C. Тогда суммарное выделение энергии можно учитывать в виде E = F·KC·C (1 – Ae) + Ex.
Продукция. В процессе роста устрица увеличивает массу раковины и массу мягких тканей. Будем считать, что вес раковины может увеличиваться или оставаться неизменным, в то время как масса мягких тканей может как увеличиваться, так и уменьшаться в зависимости от периодов жизни (состояние нереста либо голодание могут приводить к снижению веса). Изменение массы тела устрицы зависит от количества энергии, затрачиваемой организмом на рост:
где Kd = 5307 кал/(г сух. вес) – калорийность сухого веса мягких тканей устрицы; Wd – сухой вес мягких тканей моллюска, г. Согласно данным [10], энергетические затраты на рост раковины Psh в среднем составляют 12 % общей продукционной энергии, которой располагает моллюск исходя из уравнения энергетического баланса (1). Принимая во внимание эти наблюдения, мы полагали в модельных расчетах Psom + Pgen = 0.88P.
Нерест. Рост устриц тесно связан с процессом нереста. Для осуществления нереста должен выполняться ряд условий. Как правило, устрицы нерестятся при высоте раковины более 35 мм и массе генеративных тканей более 0.015 г сух. веса. Исследователи отмечают, что в разных акваториях начало нереста устрицы O. edulis может происходить при разных температурах: в Галисии (Испания) устрицы нерестятся при температуре 12–13 °C, в Северной Адриатике (Италия) – при температуре 13–17 °C, в норвежских фьордах – при температуре 25 °C [1, 13, 14]. Для Черного моря натурные данные об интенсивности процессов нереста показывают, что температурные рамки нереста составляют 17–25 °C [1, 10]. Этот интервал температуры воды и был принят в модели. Распределение энергии, затрачиваемой на рост соматических и генеративных тканей, можно оценивать, используя эмпирическое отношение энергетических затрат Pgen/Psom. Согласно работе [15], это соотношение линейно растет с ростом моллюска и для устрицы вида O. edulis выражается уравнением
. (2)
В модели принято условие, согласно которому при положительной продукционной энергии она распределяется в соответствии с уравнением (2), а при отрицательной (голодание) Pgen принимается равной нулю.
Фильтрация. Интенсивность фильтрации европейской устрицы зависит от возраста и размера моллюска, температуры воды, концентрации кормовой взвеси и ее калорийности, времени суток. При возрастании температуры воды с 7 до 23 °С интенсивность фильтрации моллюсков возрастает, при дальнейшем увеличении температуры воды – снижается. При температуре 7 °С и ниже жизнедеятельность моллюска угнетена [11]. Скорость фильтрации, как и некоторые другие жизненные функции моллюска, можно аппроксимировать степенной функцией сухого веса тела – аллометрической зависимостью. Учитывая также зависимость скорости фильтрации от температуры воды, запишем
,
при T < 23 °C af (T) = 0.1161T – 0.2678,
при T ≥ 23 °C af (T) = –0.1T + 4.67,
bf (T) = 10–4 T2 + 0.0046 T + 0.38.
где T – температура воды, °С; af (T) и bf (T) – эмпирические коэффициенты, полученные по натурным данным (таблица).
Коэффициенты аллометрических зависимостей вида aWdb для основных физиологических процессов (по работам Н. А. Сытник)
Coefficients of allometric dependencies of the form aWdb for the main physiological processes (according to works by N. A. Sytnik)
Процесс / Process | Температура, °С / Temperature, °С | Коэффициент / Coefficient | Работа / Work | |
a | b | |||
Фильтрация / Filtration | 7 | 0.54 | 0.443 | [11] |
10 | 0.88 | 0.435 | ||
13 | 1.20 | 0.583 | ||
16 | 1.69 | 0.512 | ||
20 | 2.05 | 0.602 | ||
23 | 2.37 | 0.487 | ||
27 | 1.97 | 0.606 | ||
Дыхание / Respiration | 6 | 0.112 | 0.617 | Работа 1) / Work 1) |
11 | 0.291 | 0.773 | ||
13 | 0.320 | 0.813 | ||
18 | 0.491 | 0.688 | ||
19 | 0.475 | 0.721 | ||
23 | 0.725 | 0.737 | ||
Экскреция / Excretion | 12 | 10.92 | 0.601 | [16] |
15 | 13.88 | 0.501 | ||
18 | 12.71 | 0.796 | ||
21 | 11.73 | 0.874 | ||
Примечание: оценки получены по натурным данным.
Note: The estimates were derived from in situ data.
Наблюдения показывают, что скорость фильтрации зависит от концентрации кормовой взвеси в воде. Есть некоторая оптимальная концентрация, выше и ниже которой скорость фильтрации снижается. Для учета этих особенностей необходимо ввести модулирующую функцию, меняющуюся в пределах от 0 до 1 [8]. Натурные данные о скорости фильтрации, представленные в [11], были аппроксимированы функцией (рис. 1)
FC = 0.4 + 0.65 C exp(–0.18C2.3).
Рис. 1. Зависимость нормированной на максимум скорости фильтрации от концентрации кормовой взвеси в воде
Fig. 1. Dependence of the nor- malized to maximum filtration rate on the forage suspension concentration in water
Таким образом, определим скорость фильтрации как F = FT FC и рацион (потребление) как I = KC FT FC C.
Согласно работе [11], устрицы фильтруют воду только в течение определенной части суток. Минимальное время фильтрации составляет 6 ч для устриц малых размеров, с ростом особи оно увеличивается до 18 ч. Для учета продолжительности фильтрации в модель была введена эмпирическая функция, позволяющая рассчитать количество часов фильтрации: h = 6 + 14t/(t + 50), где t – время с момента прикрепления устрицы к субстрату.
Дыхание. Часть ассимилированной энергии двустворчатые моллюски тратят на процессы метаболизма – дыхание. Интенсивность дыхания определяется температурой воды и размером устрицы. По натурным данным, представленным в таблице, была получена аппроксимация
ar (T) = 0.0357T – 0.1161,
br (T) = 0.0042T + 0.642,
где RO – скорость потребления кислорода, мл О2/ч. Для перевода в энергетические единицы использовался оксикалорийный коэффициент Kox = 4.74 кал/мл О2 (отношение количества энергии в калориях, выделяющейся при окислении вещества, к массе потребленного гидробионтом кислорода в миллилитрах), следовательно, затраты на дыхание R = RO Kox.
Экскреция. Ассимилированная устрицей энергия расходуется также на выведение из организма метаболитов, т. е. на процесс экскреции. Основным экскретируемым веществом является аммоний. Скорость экскреции зависит от температуры воды и размеров моллюска, что можно выразить аллометрическим уравнением. Максимальная скорость экскреции устрицы O. edulis наблюдается при температуре около 15 °С. Выше и ниже этого значения скорость незначительно снижается [16]. В таблице представлены значения коэффициентов аллометрического уравнения экскреции, полученные в лабораторных условиях при разной температуре воды. По этим значениям была выполнена аппроксимация и выведено аллометрическое уравнение экскреции, являющееся функцией двух переменных (температуры воды и сухого веса устрицы):
при T < 15 °C aex (T) = 0.9867T – 0.92,
при T ≥ 15 °C aex (T) = –0.3583T + 19.22,
bex (T) = 0.0371T + 0.0803,
где Am – скорость экскреции, мкг NH4/ч. Учитывая калорийность тканей устрицы и процентное содержание азота в сухом весе мягких тканей моллюска (7 % по данным из работы [16]), энергетические затраты на экскрецию можно рассчитать по формуле
Ex = 0.0758 Am,
где Ex – энергетические затраты на процесс экскреции, кал/ч.
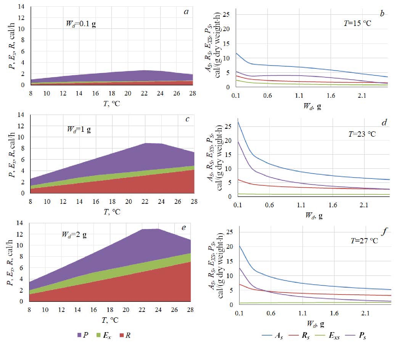
Составляющие энергетического баланса. Представляет интерес графическое описание вариаций энергетического баланса в зависимости от температуры воды и концентрации морской взвеси. На рис. 2 представлены модельные зависимости составляющих энергетического баланса устрицы, представленные в абсолютном и удельном выражении. На рис. 2, a, c, e показано, как распределяется ассимилированная энергия между процессами роста, выделения и дыхания в зависимости от температуры у устриц различных размеров. Чем крупнее моллюск, тем больше энергии он способен ассимилировать. Максимальные значения ассимилированной энергии фиксируются при температуре среды 22–24 °C, что обусловлено максимумом скорости фильтрации в этом диапазоне температур (наиболее комфортные условия для устриц этого вида).
Рис. 2. Зависимость составляющих энергетического баланса от температуры воды T (a, c, e) и сухого веса устриц Wd (b, d, f). P – продукционная энергия; Ex – энергия экскреции; R – энергетические затраты на дыхание; A – ассимилированная энергия. Индексами S обозначены величины в удельном выражении
Fig. 2. Dependence of the energy balance components on the water temperature T (a, c, e) and oyster dry weight Wd (b, d, f). P – production energy; Ex – excretion energy; R – respiratory energy expenditures; A – assimilated energy. The S indices denote specific quantities
У устриц малых размеров больше половины ассимилированной энергии тратится на рост, в то время как у более крупных моллюсков энергетические затраты на рост и дыхание почти равны. При этом размер устрицы почти не влияет на величину экскретируемой энергии, доля которой составляет 10–15 % от ассимилированной энергии.
На рис. 2, b, d, f представлены удельные (нормированные на сухой вес) составляющие энергетического баланса в зависимости от сухого веса мягких тканей устрицы для различных температур. Следует отметить несколько особенностей вариаций энергетического баланса устриц. При температурах 22–24 °C ассимиляция и продукция принимают максимальные значения. Энергетические затраты на рост определяются разницей между ассимиляцией и метаболическими затратами (дыхание и экскреция). У моллюсков малых размеров значения продукционной энергии превышают экскрецию и дыхание, при увеличении массы тела на рост тратится все меньше энергии. С ростом моллюска удельные величины ассимилированной энергии, энергии роста и дыхания убывают, в то время как величина экскретируемой энергии остается прежней. В слишком теплой воде (27 °C) затраты устриц на дыхание превышают продукционную энергию.
На рис. 3 представлена динамика изменения продукционной энергии, обусловленная совместным действием двух переменных (концентрации кормовой взвеси и температуры) для устриц двух размеров: Wsoft = 4.5 г, H = 26 мм и Wsoft = 27 г, Н = 59 мм. Для устриц обоих размеров можно выделить области отсутствия роста вследствие голодания при низких значениях концентрации кормовой взвеси в достаточно теплой воде. Устрицы начинают расти при концентрации кормовой взвеси выше 1 мг/л и температуре больше 8 °C. Максимальные скорости роста наблюдаются при максимальной концентрации кормовой взвеси и температуре 23 °C.
Рис. 3. Зависимость продукционной энергии от температуры воды и концентрации кормовой взвеси для устриц c высотой раковины 26 (a) и 59 мм (b)
Fig. 3. Dependence of the production energy on the water temperature and forage suspension concentration for oysters with a shell height of 26 mm (a) and 59 mm (b)
Обсуждение результатов
Валидация модели. В работе 1) представлены натурные данные о линейном и весовом росте устрицы O. edulis, выращиваемой в заливе Донузлав в течение 30 мес. с апреля 2001 по октябрь 2003 г. Интервалы между последовательными измерениями среднего веса и высоты устриц варьируются от 1 до 2 мес. Валидацию модели проводили путем сопоставления результатов имитационного моделирования с этими данными. Интегрирование модели проводили с шагом 1 сут. Время модельного эксперимента составляло 30 мес. Начало эксперимента – 19 апреля 2001 г., окончание – 29 октября 2003 г. Ряды управляющих переменных для модели (температура воды и концентрация взвеси) взяты также из работы 1) (рис. 4), они соответствуют средним характеристикам для центрального района Донузлава в период изучения роста моллюсков.
Рис. 4. Параметры среды центрального района залива Донузлав, влияющие на культивирование устриц. Красная кривая – температура воды; синяя кривая – концентрация кормовой взвеси
Fig. 4. Environmental parameters of the central Donuzlav Bay which affect the oyster cultivation. The red curve is water temperature; the blue curve is forage suspension concentration
Результаты сравнения модельных и натурных данных показаны на рис. 5. Показатели линейного и весового роста демонстрируют хорошую сходимость величин с натурными данными. Однако существует ряд отличий. На модельном графике динамики веса устриц наблюдаются зубцы, соответствующие наступлению периодов нереста. В натурных данных такие изменения не регистрируются вследствие их большой дискретности, не позволяющей зафиксировать столь быстрые изменения физиологического состояния устриц. В течение 30 мес. интегрирования модели нерест устриц фиксировался три раза: в июне 2002 г., апреле и июле 2003 г. Таким образом, устрицы нерестились через 15, 25 и 28 мес. после прикрепления к твердому субстрату.
Рис. 5. Сравнение модельных результатов (кривая) с натурными данными (квадраты) о росте устриц на ферме в Донузлаве 2001–2003 гг.: а – общий сырой вес устрицы; b – линейный размер
Fig. 5. Modelling results (curve) compared with in situ data (squares) on the oyster growth at a farm in Donuzlav, 2001–2003: а – total fresh weight; b – linear size
Результаты моделирования позволяют детально изучить динамику составляющих энергетического баланса культивируемых устриц. На рис. 6 показано, какое количество энергии устрица ассимилирует ежедневно и как эта энергия распределяется между процессами роста, дыхания и выделения на протяжении 30 мес. выращивания. Максимумы ассимилированной энергии соответствуют максимумам концентрации кормовой взвеси, за которыми, как правило, следуют периоды нереста. Продолжительное время продукционная энергия положительна, моллюск растет. Однако в результате нереста масса моллюска уменьшается, ассимилированной энергии не хватает для покрытия затрат на дыхание и экскрецию, рост тормозится. За время выращивания регистрируется два периода угнетения роста моллюска, не связанных с нерестом, а обусловленных резким уменьшением концентрации кормовой взвеси (отрицательные значения P на рис. 6). Аналогичные выводы сделаны по натурным экспериментам, представленным в работе 1) и работе [17].
Рис. 6. Динамика распределения составляющих энергетического баланса в течение 30 мес. выращивания
Fig. 6. Dynamics of the energy-balance components distribution during 30 months of cultivation
Представляет интерес распределение энергии роста между генеративными и соматическими тканями. В первый год культивирования Pgen/Psom возрастает от 10 до 16 %, моллюск развивается до взрослого состояния, наращивая в основном соматические ткани. Во второй год Pgen/Psom увеличивается с 16 до 33 %, устрица уже достаточно велика, большая часть продуктивной энергии тратится на рост генеративных тканей, нужных для обеспечения размножения. В течение третьего года наблюдения энергетические затраты на рост генеративных тканей возрастают до 47 %. Эти модельные результаты подтверждают качественные выводы по росту плоской устрицы, сделанные в работе 1) и работе [17].
Заключение
В исследовании представлена разработанная математическая модель роста плоской устрицы. Модель позволяет рассчитывать энергетику процессов дыхания, фильтрации, экскреции, размножения. В работе подробно исследованы процессы функционирования устрицы O. edulis, выделены факторы (температура, концентрация кормовой взвеси, возраст особи), влияющие на эти процессы и их взаимосвязь. Предложены математические аппроксимации жизненных функций устрицы: дыхания, фильтрации, экскреции, нереста.
Валидацию модели проводили по натурным данным, полученным при исследовании устриц O. edulis, выращиваемых в заливе Донузлав в 2001–2003 гг. Результаты моделирования показывают хорошее качественное и количественное соответствие натурным данным о линейном и весовом росте, распределению энергетических затрат, отношению энергии, затраченной на рост генеративных тканей, к энергии структурного роста. Модель может быть использована в качестве блока, имитирующего процессы функционирования устричной фермы в комплексной экологической модели.
1) Сытник Н. А. Функциональная экология плоской устрицы (Ostrea edulis L., 1758, Ostereidae, Bivalvia) Черного моря : автореф. дис. … канд. биол. наук: 03.02.08. Севастополь, 2015. 23 с.
Об авторах
Татьяна Александровна Филиппова
Морской гидрофизический институт РАН
Автор, ответственный за переписку.
Email: filippovata@mhi-ras.ru
ORCID iD: 0000-0001-5762-5894
Scopus Author ID: 56190548500
ResearcherId: AAO-5512-2020
младший научный сотрудник
Россия, 299011, Россия, Севастополь, ул. Капитанская, 2Елена Федоровна Васечкина
Морской гидрофизический институт РАН
Email: vasechkina.elena@gmail.com
ORCID iD: 0000-0001-7007-9496
Scopus Author ID: 6507481336
ResearcherId: P-2178-2017
заместитель директора по научно-методической и образовательной работе, доктор географических наук
Россия, 299011, Россия, Севастополь, ул. Капитанская, 2Список литературы
- Кракатица Т. Ф. Биология черноморской устрицы Ostrea edulis L. в связи с вопросами ее воспроизводства. Киев : Наукова думка, 1976. 80 с. URL: http://aquacultura.org/upload/files/pdf/library/invert/Кракатица - Биология черноморской устрицы.pdf (дата обращения: 23.11.2023).
- A population dynamics model for the Japanese oyster, Magallana gigas / M. Kobayashi [et al.] // Aquaculture. 1997. Vol. 149. P. 285–321. doi: 10.1016/S0044-8486(96)01456-1
- Growth model of the Pacific oyster, Magallana gigas, cultured in Thau Lagoon (Méditerranée, France) / A. Gangnery [et al.] // Aquaculture. 2003. Vol. 215, iss. 1–4. P. 267–290. doi: 10.1016/S0044-8486(02)00351-4
- Bacher C., Gangnery A. Use of dynamic energy budget and individual based models to simulate the dynamics of cultivated oyster populations // Journal of Sea Research. 2006. Vol. 56. P. 140–155. doi: 10.1016/j.seares.2006.03.004
- A single bio-energetics growth and reproduction model for the oyster Magallana gigas in six Atlantic ecosystems / M. Alunno-Bruscia [et al.] // Journal of Sea Research. 2011. Vol. 66, iss. 4. P. 340–348. doi: 10.1016/j.seares.2011.07.008
- Application of a dynamic energy budget model to the Pacific oyster, Magallana gigas, reared under various environmental conditions / S. Pouvreau [et al.] // Journal of Sea Research. 2006. Vol. 56. P. 156–167. doi: 10.1016/j.seares.2006.03.007
- Comparing life history traits and tolerance to changing environments of two oyster species (Ostrea edulis and Magallana gigas) through Dynamic Energy Budget theory / B. Stechele [et al.] // Conservation Physiology. 2022. Vol. 10, iss. 1. coac034. doi: 10.1093/conphys/coac034
- Васечкина Е. Ф., Казанкова И. И. Математическое моделирование роста и развития мидии Mytilus galloprovincialis на искусственном субстрате // Океанология. 2014. Т. 54, № 6. С. 816–824. EDN TCJANB. doi: 10.7868/s0030157414060112
- Вялова О. Ю. Рост и сроки получения товарной триплоидной устрицы в лимане Донузлав (Черное море, Крым) // Морской биологический журнал. 2019. Т. 4, № 1. С. 24–32. EDN NZVTQB. doi: 10.21072/mbj.2019.04.1.03
- Сытник Н. А., Полякова Т. В. Характеристика аллометрического роста плоской устрицы (Ostrea edulis, Linnaeus (1758)) в онтогенезе // Водные биоресурсы и аквакультура Юга России : материалы Всероссийской научно-практической конференции, приуроченной к 20-летию открытия в Кубанском гос. университете направления подготовки «Водные биоресурсы и аквакультура», г. Краснодар, 17–19 мая 2018 г. Краснодар : Кубанский гос. ун-т, 2018. С. 249–253.
- Сытник Н. А. О некоторых экологических закономерностях фильтрационного питания устрицы (Ostrea edulis L.) // Ученые записки Таврического национального университета им. В. И. Вернадского. Серия: Биология, химия. 2010. Т. 23, № 3. С. 143–153. EDN VKWOVL.
- Mo C., Neilson B. Standardization of oyster soft tissue dry weight measurements // Water Research. 1994. Vol. 28, iss. 1. P. 243–246. doi: 10.1016/0043-1354(94)90140-6
- His E., Beiras R., Seaman M. N. L. The Assessment of Marine Pollution – Bioassays with Bivalve Embryos and Larvae // Advances in Marine Biology. 1999. Vol. 37. P. 1–178. doi: 10.1016/s0065-2881(08)60428-9
- Factors determining the timing of swarming of European flat oyster (Ostrea edulis L.) larvae in the Dutch Delta area: Implications for flat oyster restoration / M. Maathuis [et al.] // Journal of Sea Research. 2020. Vol. 156. 101828. doi: 10.1016/j.seares.2019.101828
- Сытник Н. А. Рост и продукция устрицы (Ostrea edulis L.) лимана Донузлав Черного моря // Экологическая безопасность прибрежных и шельфовых зон и комплексное использование ресурсов шельфа. Севастополь, 2011. Вып. 17, т. 2. С. 429–434.
- Mann R. Some biochemical and physiological aspects of growth and gametogenesis in Magallana gigas and Ostrea edulis grown at sustained elevated temperatures // Journal of the Marine Biological Association of the United Kingdom. 1979. Vol. 59, iss. 1. P. 95–110. https://doi.org/10.1017/S0025315400046208
- Холодов В. И., Пиркова А. В., Ладыгина Л. В. Выращивание мидий и устриц в Черном море / Под. ред. В. Н. Еремеева. Севастополь, 2010. 424 с.
Дополнительные файлы









