Geochemical features of sulfides of the Aktash magnetite-polymetallic deposit, Western Karamazar, Tajikistan (LA-ICP-MS data)
- Authors: Yatimov U.A.1, Maslennikov V.V.1, Artemyev D.A.1
-
Affiliations:
- South Ural Federal Research Center of Mineralogy and Geoecology of the Ural Branch of the Russian Academy of Sciences
- Issue: Vol 9, No 3 (2023)
- Pages: 50-69
- Section: Mineralogy of ore deposits
- URL: https://ogarev-online.ru/2313-545X/article/view/286290
- DOI: https://doi.org/10.35597/2313-545X-2023-9-3-4
- ID: 286290
Cite item
Full Text
Abstract
The distribution of trace elements in sulfides from various ores of the Aktash magnetite-polymetallic deposit (Tajikistan) is studied using LA-ICP-MS method. Sulfides partly replace banded magnetite ores. Each sulfide type exhibits specific geochemical features. Galena from sulfide-magnetite ores contains the higher amount of elements of «high-temperature» association (Bi, Ag, Cu) than galena from pyroxene-sphalerite ores, which, in addition to Ag and Bi, also contains higher amount of elements of «medium-temperature» association (Se, Te, and Sb). Sphalerite from sulfide-magnetite and chlorite-pyrrhotite ores contains higher Fe, Cd and Mn amount than sphalerite from pyroxene-sphalerite ores, which is characterized by elevated Co and As contents. Pyrite is depleted in trace elements except for As, the content of which is maximum compared to other sulfides. The Ag, Se, Bi, Zn, Cd and Ni contents of chalcopyrite from chlorite-pyrrhotite ores are higher than in chalcopyrite from sulfide-magnetite and pyroxene-sphalerite ores. Chalcopyrite from pyroxene-sphalerite ores is characterized by elevated Pb, As, Ge, Te and Sb contents. Relatively high Co, Ni and Se contents are determined in pyrrhotite. In addition to Fe, Cu, Zn, Pb and Au, which form minerals in all types of ores, we suggest by-product extraction of following elements from complex sulfide-magnetite, chlorite-pyrrhotite and pyroxene-sphalerite ores (the Bi, Ag, Se and Te contents of galena and Cd content of sphalerite are shown in brackets): Bi (19520–24650 ppm), Ag (7907–9650 ppm), Se (397–606 ppm) and Te (276– 436 ppm) from galena concentrate and Cd (8525–27670 ppm) from sphalerite concentrate.
Full Text
Введение
Сульфидные руды скарновых месторождений, кроме основных цветных металлов, также являются источниками благородных, редких и рассеянных элементов, вплоть до промышленных концентраций, что обуславливает комплексный характер этих руд. Карамазар представляет собой крупную полиметаллическую провинцию, в пределах которой расположены такие известные месторождения как Алтынтопкан, Большой Канимансур, Кансай, Замбарак, Караташ-Котан, Тары-э-Кан и др. (Моисеева, 1969; Сафонов и др., 2000). Руды перечисленных месторождений, кроме основных элементов (Рb, Zn, Cu и Fe), также содержат значительные концентрации Bi, Ag, Аu, Cd, Te, Se и других элементов.
Впервые элементы-примеси в сульфидах руд месторождений Кансайского рудного поля, в том числе месторождения Акташ, изучены Ф.И. Вольфсоном (1951), позднее этим вопросом занимались М.В. Еникеева (1959), Н.В. Нечелюстов, Н.Н. Попова, Э.Ф. Минцер (1961), В.С. Попов (1960), И.В. Дуброва, Е.Н. Кашинцева (1965) и др. Содержания элементов-примесей ими анализировались в основном методами рентгенохимического и полуколичественного спектрального анализа. На современном уровне элементы-примеси в рудообразующих сульфидах и закономерности их распределения в разных типах руд полиметаллических месторождений Карамазара и Кансайского рудного поля исследованы недостаточно. В этой связи авторы поставили задачу изучить закономерности распределения элементов-примесей сульфидов из разных минеральных типов руд месторождения Акташ. В данной работе впервые для месторождения приводятся результаты изучения минералов с помощью масс-спектрометрии с индуктивно связанной плазмой и лазерной абляцией (ЛА-ИСП-МС).
Геологическое строение месторождения
Месторождение Акташ расположено в восточной части Кансайского рудного поля Западного Карамазара (Северный Таджикистан) (рис. 1а) на участке, ограниченном с юга Южно-Окурдаванским разломом (Альпийский надвиг) и с запада, севера и востока – интрузивами Чокадамбулакского массива, прорвавшими карбонатные и эффузивно-осадочные толщи (Рахимов, 1978). Интрузивные породы представлены гранодиоритами и гранодиорит-порфирами, диоритами и долеритами, образующими дайкообразные и штокообразные тела. На контакте с интрузивами эффузивно-осадочные породы андезитового и андезит-дацитового составов преобразованы в полосчатые скарны. На отдельных участках сохраняются реликтовые блоки эффузивов (Чокадамбулакское месторождение) (Власова и др., 1972).
Рис. 1. Географическое положение (а), геологическая карта (б) и геологический разрез (в) месторождения Акташ, с упрощениями по (Фахриддинов и др., 1974).
1 – четвертичные отложения; 2 – карбонатные породы палеогена; 3 – карбонатные породы верхнего девона–нижнего карбона; 4 – гранодиорит-порфиры среднего карбона–нижнего триаса; 5 – гранодиориты среднего карбона; 6 – диоритовые порфириты верхнего триасса; 7 – долеритовые порфириты верхнего триаса; 8 – скарны; 9 – разрывные нарушения; 10 – Альпийский надвиг; 11 – полиметаллические рудные тела; 12 – магнетитовые рудные тела; 13 – линия геологического разреза.
Fig. 1. Geographical position (a), geological structure (б) and geological section A–Б (в) of the Aktash deposit, simplified after (Fakhridinov et al., 1974).
1 – Quaternary sediments; 2 – Paleogene carbonate rocks; 3 – Upper Devonian-Lower Carboniferous carbonate rocks; 4 – Middle Carboniferous-Lower Triassic granodiorite-porphyry; 5 – Middle Carboniferous granodiorite; 6 – Upper Triassic dioritic porphyry; 7 – Upper Triassic dolerite porphyry; 8 – skarn; 9 – ore zones; 10 – Alpine thrust; 11 – polymetallic ore bodies; 12 – magnetite ore bodies; 13 – geological cross section line.
В геологическом строении месторождения Акташ принимают участие карбонатные породы верхнего девона–нижнего карбона, интрузивные породы и полосчатые скарны, вероятно, так же, как и на Чокадамбулакском месторождении, образовавшиеся по слоистым вулканогенно-осадочным породам (рис. 1б) (Рахимов, 1978; Власова и др., 1972; Шихин и др., 1972; Ятимов и др., 2022б). Карбонатные породы сложены известняками, доломитами и их смешанными разновидностями. На удалении от интрузивов в верхней части карбонатной толщи хребта Окуртау, к которой приурочено месторождение, отмечены первые признаки проявления вулканической деятельности (Страхов, 1962). Наблюдается переслаивание известняков, вулканокластитов андезитового и андезидацитового состава, песчаников, алевролитов и кремнистых пород (Шихин и др., 1972).
Главное сульфидно-магнетитовое тело, падающее под углом 50–60°, начиная с глубины 400 м, не перебурено (рис. 1в). Полосчатые магнетитовые руды перемежаются с полосчатыми скарнами и мраморизованными известняками. Главными минералами скарнов являются пироксены ряда диопсид–геденбергит, гранаты ряда гроссуляр–андрадит, амфиболы ряда актинолит–тремолит, серпентин, эпидот и кальцит. Руды по минеральному составу подразделяются на три типа: сульфидно-магнетитовые, пироксен-сфалеритовые и хлорит-пирротиновые (Рахимов, 1978; Ятимов и др., 2022а).
Материалы и методы исследований
Полевые работы на месторождении, включающие составление схемы распространения рудных тел в центральной части месторождения и отбор образцов для исследований, проводились в 2018–2021 гг. Всего изучено 50 образцов пород и руд. Минеральный состав руд изучен в аншлифах под микроскопом Olympus BX51 с цифровой фотокамерой Olympus DP12.
Состав некоторых минералов исследован с помощью растрового электронного микроскопа РЭММА-202М, оснащенного энергодисперсионным микроанализатором в Институте минералогии ЮУ ФНЦ МиГ УрО РАН. Количественный анализ проведен с использованием эталонов MINM-25-53 фирм «ASTIMEX Scientific Limited» (стандарт № 01-044) и «Microanalysis Consultants Ltd.» (стандарт № 1362).
Содержание элементов-примесей (V51, Mn55, Fe56, Co59, Ni60, Cu65, Zn66, Ga69, Ge74, As75, Se77, Mo95, Ag107, Cd111, In115, Sn118, Sb121, Te125, Ba137, Au197, Tl205, Pb208, Bi209) в сульфидах определялось методом ЛА-ИСП-МС на масс-спектрометре Agilent 7700x с программным комплексом MassHunter и лазерным пробоотборником New Wave Research UP-213 (ИМин ЮУ ФНЦ МиГ УрО РАН). Параметры лазера: Nd: YAG, длина волны излучения 213 нм, энергия пучка (fluence) 2.5–3.5 дж/см2, частота повторения импульсов 7–10 Hz, диаметр пятна абляции 30–110 мкм, несущий газ – He, скорость потока 0.65 л/мин. Время работы лазера 5 с (предабляция) + 25–30 с (холостой ход) + 50–60 c (время анализа). Время между предабляцией и анализом 15– 25 с. Параметры масс-спектрометра: RF Power – 1550 Вт, рабочий газ – Ar, скорость несущего потока 0.95 л/мин, плазмообразующий поток Ar 15 л/мин, охлаждающий поток Ar 0.9 л/мин. калибровка масс-спектрометра осуществлялась на калибровочных мультиэлементных растворах. Для градуировки и расчета использовались международные стандарты: прессованные сульфиды USGS MASS-1 и USGS GSD-1g. Расчёт проводился в программе Iolite c использованием Pb208, Zn66 и Fe57 в качестве внутренних стандартов. Для определения минералого-геохимических ассоциаций элементов в сульфидах руд различного минерального состава был использован метод кластерного анализа при помощи пакета статистических программ Statsoft Statistica 10.0. Выборки формировались по разновидностям каждого минерального вида сульфидов.
Результаты исследований
Характеристика минеральных типов руд. Нами изучены сульфидно-магнетитовые, хлорит-пирротиновые и пироксен-сфалеритовые руды.
Сульфидно-магнетитовые руды слагают крутопадающие линзообразные тела среди полосчатых серпентин-пироксен-гранатовых скарнов (Ятимов и др., 2022б). Рудные тела прослеживаются по простиранию на 100–200 м, мощность их колеблется от 10 до 35 м. Для сульфидно-магнетитовых руд характерны полосчатая и вкраплено-массивная текстуры с чередованием магнетитовых, сульфидных и скарновых полос, согласных с общей слоистостью рудовмещающей толщи известняков (рис. 2а). В магнетитовой массе присутствуют включения скарнированных пород. Структура магнетитовых агрегатов в сплошных рудах неравномернозернистая. Выделяется несколько морфологических разновидностей магнетита (Ятимов и др., 2022б).
Рис. 2. Текстурно-структурные особенности руд месторождения Акташ: а – полосчато-вкрапленная сульфидно-магнетитовая руда; б – пятнисто-массивная и прерывисто-полосчатая хлорит-пирротиновая руда с редкими порфировидными выделениями пирита; в – прожилково-вкрапленная пироксен-сфалеритовая руда с вкрапленностью галенита; г – вростки самородного висмута в галените в ассоциации с пиритом, халькопиритом, сфалеритом и гранатом в основной массе магнетита; д – агрегаты пирротина в ассоциации с халькопиритом, сфалеритом, пиритом и цумоитом на контакте хлорита; е – сфалерит в тесном срастании с халькопиритом и галенитом. Полированный образец (а–в), отраженный свет (г–е).
Py-m – пирит сульфидно-магнетитовых руд, Py-p – пирит хлорит-пирротиновых руд, Py-s – пирит пироксен-сфалеритовых руд, Chp-m – халькопирит сульфидно-магнетитовых руд, Chp-p – халькопирит хлорит-пирротиновых руд, Chp-s – халькопирит пироксен-сфалеритовых руд, Gn-m – галенит сульфидно-магнетитовых руд, Gn-s – галенит пироксен-сфалеритовых руд, Sph-m – сфалерит сульфидно-магнетитовых руд, Sph-p – сфалерит хлорит-пирротиновых руд, Shp-s – сфалерит пироксен-сфалеритовых руд, Mt – магнетит, Po – пирротин, Ts – цумоит, Hm – гематит, Grt – гранат, Chl – хлорит, Bi – самородный висмут.
Fig. 2. Textural and structural features of ores from the Aktash deposit: а – banded-disseminated magnetite ore; б – patchy massive and banded pyrite-pyrrhotite ore with rare porphyritic pyrite; в – banded-disseminated galena-sphalerite ore; г – ingrowths of native bismuth in galena in assemblage with pyrite, chalcopyrite, sphalerite and garnet in magnetite; д – pyrrhotite in assemblage with chalcopyrite, sphalerite, pyrite and tsumoite at the contact with chlorite; е – sphalerite closely intergrown with chalcopyrite and galena. Polished sample (a–в), reflected light (г–е).
Py-m – pyrite of sulfide-magnetite ore, Py-p – pyrite of chlorite-pyrrhotite ore, Py-s – pyrite of pyroxene-sphalerite ore, Chp-m – chalcopyrite of sulfide-magnetite ore, Chp-p – chalcopyrite of chlorite-pyrrhotite ore, Chp-s – chalcopyrite of pyroxene-sphalerite ore, Gn-m – galena of sulfide-magnetite ore, Gn-s – galena of pyroxene-sphalerite ore, Sph-m – sphalerite of sulfide-magnetite ore, Sph-p – sphalerite of chlorite-pyrrhotite ore, Shp-s – sphalerite of pyroxene-sphalerite ore, Mt – magnetite, Po – pyrrhotite, Ts – tsumoite, Hm – hematite, Grt – garnet, Chl – chlorite, Bi – native bismuth.
Сульфиды представлены пиритом, галенитом, халькопиритом и сфалеритом, которые неравномерно распределены в основной магнетитовой массе и образуют гнезда, тонкую вкрапленность и прожилки (рис. 2г). Основным сульфидным минералом является пирит, который представлен ксеноморфными агрегатами и крупными эвгедральными кристаллами (до 300 мкм). Галенит в виде небольших скоплений размером до 300–400 мкм выполняет пространство между зернами магнетита и пирита. В галенитовых агрегатах обнаружены многочисленные включения минералов Bi: самородный висмут, висмутин, галеновисмутин, виттихенит, эмплектит, айкинит, фридрихит, зальцбургит, бисмит и заварицкит (Ятимов и др., 2019). В незначительных количествах в виде ангедральных агрегатов в ассоциации с пиритом, халькопиритом и галенитом встречается сфалерит с эмульсионной вкрапленностью халькопирита. В ассоциации с магнетитом обычно присутствуют агрегаты пироксена (диопсид-геденбергит) и граната (гроссуляр-андрадит). В меньшем количестве установлены эпидот, амфибол, серпентин и кальцит, замещающие гранат-пироксеновую ассоциацию, редко присутствуют шеелит, циркон, пирофанит и титанит.
Хлорит-пирротиновые руды встречаются реже, чем сульфидно-магнетитовые. Они имеют пятнистые, сплошные и прерывисто-полосчатые текстуры, обусловленные наличием полос, изогнутых в мелкие складки (рис. 2б). Этот тип иногда накладывается на сульфидно-магнетитовые руды. Основной рудный минерал – пирротин. В рудах также встречаются пирит, халькопирит, сфалерит, магнетит, гематит, марказит, хлорит, диопсид, реже глаукодот и бадделеит, а также теллуриды Bi (цумоит, пильзенит) и Ag (гессит, штютцит) (рис. 2д). Пирит присутствует в виде мелких ксеноморфных зерен в пирротине и образует самостоятельные выделения размером до 1 см на контакте с нерудными минералами. В ассоциации с пирротином присутствуют ангедральные зерна халькопирита, а также сфалерита с тонкой вкрапленностью халькопирита. Магнетит обычно располагается по краям крупных сульфидных агрегатов, а также встречается в виде мелких включений в пирротине. Наблюдается замещение магнетита гематитом, а также встречаются гематитовые прожилки, секущие пирит и пирротин. Обнаружено одно зерно галенита размером 5 мкм, который содержит 3.49 мас. % Ag и 4.25 мас. % Se. Хлорит обычно срастается с агрегатами и пластинками пирротина. Диопсид обычно образует кристаллы вокруг агрегатов хлорита и одиночные кристаллы в сульфидах.
Пироксен-сфалеритовые руды имеют прожилково-вкрапленной текстуру (рис. 2в). Форма рудных тел – разнообразная: от контактовых залежей, столбообразных, ветвящихся трубообразных до мелких линз и маломощных жил (Белоусов, Полотов, 1981). Сплошные руды обычно залегают или в центральных частях рудных тел, или вблизи известняков. Сфалерит ассоциирует с галенитом, халькопиритом, пиритом, реже пирротином и нерудными минералами (рис. 2е). Форма зерен сфалерита ксеноморфная и субгедральная. Наблюдаются прожилки кальцита во всех минералах. Галенит образует относительно крупные зерна в основной массе сфалерита и реже встречается на границах зерен пироксена и граната. Халькопирит образует в галените микровключения либо каймы вокруг агрегатов галенита. В агрегатах сфалерита присутствует эмульсионная вкрапленность халькопирита и пирротина. Пирит встречается в виде ангедральных и субгедральных зерен. Пироксен образует мономинеральные скопления и отдельные агрегаты и кристаллы в ассоциации с гранатом, серпентином, хлоритом, кальцитом, кварцем и сульфидами.
Последовательность минералообразования в рудах в общем можно представить в следующем виде: (1) магнетит-1, 2 + пироксен + гранат + магнетит-3, 4 + серпентин + амфибол + пирит-m1 + халькопирит-m + галенит-m + сфалерит-m + висмутовые минералы + самородное золото → (2) магнетит + пирротин-p + пирит-p + халькопирит-p + теллуриды висмута + хлорит + диопсид + самородное золото + теллуриды серебра + гематит → (3) пироксен + гранат + серпентин + сфалерит-s + пирит-s + халькопирит-s + галенит-s + кальцит + хлорит + гематит.
Типохимизм сульфидов. Методом ЛА-ИСП-МС проанализирован состав основных рудообразующих сульфидов месторождения Акташ: галенита, сфалерита, пирита, пирротина и халькопирита.
Характерной особенностью галенита являются повышенные содержания Bi, Ag, Se, Te, Cu, Cd и Tl (табл. 1, рис. 3а–г). Повышенные содержания Bi, Ag, Cu, Cd и Tl отмечаются в галените-m сульфидно-магнетитовых руд, а в галените-s пироксен-сфалеритовых руд сконцентрированы повышенные содержания Se, Te и Sb (рис. 3а–г). В галените-m содержания Bi, Ag, Cu, Cd, Tl и Fe на несколько порядков выше, чем в галените-s. Наблюдается увлечение содержаний Se, Te и Sb в галените от сульфидно-магнетитовых к пироксен-сфалеритовым рудам (рис. 3б, г). Содержания V, Co, Ni, Zn, Ga, Ge, As, Mo, In, Sn, Ba, Au и U в галените низкие (табл. 1).
Таблица 1. Содержание элементов-примесей в галените месторождения Акташ (г/т)
Table 1. Trace element content of galena of the Aktash deposit (ppm)
Тип | Содержание | V | Mn | Fe | Co | Ni | Cu | Zn | Ga | Ge | As | Se |
Gn-m (n = 15) | среднее | 0.06 | 21 | 538 | 0.11 | 0.43 | 448 | 2.70 | 0.06 | 0.32 | 0.55 | 105 |
медиана | 0.04 | 1.10 | 29 | 0.08 | 0.38 | 444 | 1.40 | 0.04 | 0.29 | 0.53 | 106 | |
мин | 0.03 | 0.40 | 9 | 0.04 | 0.20 | 151 | 0.80 | 0.02 | 0.17 | 0.25 | 69 | |
макс | 0.24 | 260 | 3580 | 0.37 | 1.05 | 835 | 15 | 0.44 | 0.74 | 0.94 | 122 | |
Gn-s (n = 19) | среднее | 0.07 | 7.40 | 19 | 0.11 | 0.48 | 1.2 | 2.60 | 0.04 | 0.40 | 0.62 | 478 |
медиана | 0.06 | 5.60 | 23 | 0.10 | 0.65 | 1.2 | 2.80 | 0.05 | 0.47 | 0.57 | 473 | |
мин | 0.01 | 2.30 | 5.50 | 0.02 | 0.05 | 0.3 | 0.70 | 0.01 | 0.12 | 0.28 | 397 | |
макс | 0.14 | 33 | 33 | 0.22 | 0.95 | 2.6 | 4.6 | 0.07 | 0.65 | 0.93 | 606 | |
Тип | Содержание | Mo | Ag | Cd | In | Sn | Sb | Te | Ba | Au | Tl | Bi |
Gn-m (n = 15) | среднее | 0.04 | 8786 | 176 | 0.015 | 0.97 | 0.53 | 93 | 0.69 | 0.67 | 158 | 22241 |
медиана | 0.05 | 8650 | 175 | 0.013 | 0.92 | 0.51 | 97 | 0.27 | 0.15 | 158 | 22530 | |
мин | 0.02 | 7907 | 122 | 0.005 | 0.72 | 0.32 | 52 | 0.06 | 0.03 | 141 | 19520 | |
макс | 0.05 | 9650 | 268 | 0.042 | 1.41 | 0.81 | 138 | 2.65 | 6.68 | 170 | 24650 | |
Gn-s (n = 19) | среднее | 0.05 | 578 | 27 | 0.015 | 0.85 | 13 | 371 | 0.07 | 0.06 | 36 | 1375 |
медиана | 0.03 | 561 | 27 | 0.010 | 0.82 | 4.9 | 387 | 0.07 | 0.05 | 36 | 1434 | |
мин | 0.00 | 481 | 18 | 0.003 | 0.41 | 1.4 | 276 | 0.00 | 0.01 | 18 | 680 | |
макс | 0.27 | 680 | 42 | 0.035 | 1.36 | 121 | 436 | 0.22 | 0.27 | 47 | 1694 |
Примечание. Здесь и в табл. 2–5, n – количество анализов.
Note. Here and in Tables 2–5, n – number of analyses.
Рис. 3. Корреляции между элементами-примесями в галените месторождения Акташ (г/т): а – Ag–Bi; б – Te–Se; в – Cu + Cd + Tl–Bi + Ag; г – Te + Se + Sb–Bi + Ag.
Fig. 3. Ag–Bi (а), Te–Se (б), Cu + Cd + Tl–Bi + Ag (в) and Te + Se + Sb–Bi + Ag (г) correlations in galena of the Aktash deposit (ppm).
Аномально высокие содержания Fe, Cd, Mn и Cu является характерной особенностью сфалерита месторождения Акташ. По содержаниям элементов-примесей сфалерит сульфидно-магнетитовых и хлорит-пирротиновых руд отличается от сфалерита пироксен-сфалеритовых руд относительно высокими содержаниями Fe, Bi, Cd, Cu, Pb и In (табл. 2, рис. 4а). Содержания Co, As, Hg, Mn и Se в сфалерите-m по сравнению с другими разновидностями сфалерита сравнительно низкие (табл. 2, рис. 4б). Содержания Co и As в сфалерите-s по сравнению с другими разновидностями сфалерита гораздо выше. В целом, содержания Ni, Ga, Ge, Mo, Ag, Sn, Sb, Te, Ba, Au, Tl и Bi в сфалерите всех типов руд низкие и слабо варьируют (табл. 2).
Таблица 2. Содержание элементов-примесей в сфалеритe месторождения Акташ (г/т)
Table 2. Trace element content of sphalerite of the Aktash deposit (ppm)
Тип | Содержание | Mn | Fe | Co | Ni | Cu | Ga | Ge | As | Se | Mo | Ag |
Sph-m (n = 15) | среднее | 1174 | 39031 | 0.05 | 0.51 | 8694 | 0.33 | 0.36 | 4.3 | 0.65 | 0.24 | 50 |
медиана | 1246 | 35000 | 0.02 | 0.03 | 5170 | 0.25 | 0.07 | 1.5 | 0.25 | 0.20 | 17 | |
мин | 529 | 28690 | 0.005 | 0.02 | 1310 | 0.005 | 0.07 | 0.15 | 0.25 | 0.08 | 5 | |
макс | 2470 | 60300 | 0.22 | 2.70 | 31900 | 1.07 | 1.53 | 36 | 4.3 | 1.00 | 450 | |
Sph-p (n = 14) | среднее | 12424 | 95047 | 55 | 0.15 | 2969 | 0.80 | 2.10 | 1.2 | 31 | 0.04 | 2.40 |
медиана | 12943 | 94900 | 55 | 0.13 | 2400 | 0.50 | 2.10 | 1.1 | 30 | 0.03 | 1.90 | |
мин | 8870 | 87410 | 51 | 0.02 | 404 | 0.10 | 1.70 | 0.7 | 27 | 0.01 | 0.80 | |
макс | 15210 | 99870 | 63 | 0.52 | 8740 | 2.50 | 2.70 | 2.0 | 37 | 0.09 | 5.60 | |
Sph-s (n = 20) | среднее | 6960 | 23879 | 266 | 0.19 | 103 | 0.66 | 1.40 | 16 | 4.10 | 0.04 | 3.00 |
медиана | 6752 | 23575 | 278 | 0.08 | 30 | 0.57 | 1.40 | 17 | 3.80 | 0.03 | 2.70 | |
мин | 5148 | 15980 | 150 | 0.008 | 4.10 | 0.23 | 0.80 | 10 | 0.10 | 0.02 | 0.70 | |
макс | 8827 | 32400 | 317 | 0.70 | 560 | 1.24 | 1.90 | 20 | 11.2 | 0.12 | 8.30 | |
Тип | Содержание | Cd | In | Sn | Sb | Te | Ba | Au | Hg | Tl | Pb | Bi |
Sph-m (n = 15) | среднее | 20530 | 13 | 0.84 | 2.13 | 0.69 | 2.86 | 0.12 | 27 | 0.82 | 2856 | 620 |
медиана | 19930 | 8.90 | 0.83 | 1.45 | 0.35 | 0.98 | 0.13 | 24 | 0.61 | 289 | 154 | |
мин | 14200 | 5.10 | 0.39 | 0.29 | 0.17 | 0.12 | 0.005 | 17 | 0.05 | 5.30 | 4.20 | |
макс | 27670 | 39 | 2.30 | 4.94 | 3.95 | 11.6 | 0.31 | 61 | 1.93 | 9700 | 3500 | |
Sph-p (n = 14) | среднее | 13980 | 8.10 | 0.83 | 0.05 | 0.05 | 0.45 | 0.06 | 77 | 0.017 | 3.1 | 1.32 |
медиана | 13660 | 8.30 | 0.82 | 0.04 | 0.04 | 0.46 | 0.04 | 69 | 0.010 | 2.2 | 0.71 | |
мин | 12860 | 6.50 | 0.62 | 0.01 | 0.001 | 0.10 | 0.01 | 50 | 0.001 | 0.90 | 0.30 | |
макс | 16620 | 9.40 | 1.07 | 0.11 | 0.20 | 1.20 | 0.30 | 175 | 0.069 | 10.2 | 5.77 | |
Sph-s (n = 20) | среднее | 9484 | 0.30 | 0.57 | 0.71 | 0.44 | 0.34 | 0.01 | 68 | 0.034 | 18 | 0.31 |
медиана | 9361 | 0.34 | 0.56 | 0.55 | 0.19 | 0.28 | 0.01 | 55 | 0.013 | 6.20 | 0.13 | |
мин | 8525 | 0.03 | 0.29 | 0.007 | 0.08 | 0.06 | 0.00 | 46 | 0.004 | 0.97 | 0.01 | |
макс | 10860 | 0.63 | 1.08 | 2.91 | 4.10 | 1.10 | 0.02 | 122 | 0.147 | 176 | 1.39 |
Рис. 4. Корреляции между элементами-примесями в сфалерите месторождения Акташ (г/т): а – Cd–Fe; б – Mn–Fe.
Fig. 4. Cd–Fe (а) and Mn–Fe (б) correlations in sphalerite of the Aktash deposit (ppm).
Содержания большинства элементов-примесей в пирите сульфидно-магнетитовых руд ниже по сравнению с пиритом хлорит-пирротиновых и пироксен-сфалеритовых руд. Это отчетливо прослеживается на примере Co, Ni, Cu, Zn, Ge и Se (табл. 3). Пирит-m характеризуется низкими содержаниями Ni, Cu, Pb, Mn и Co и чуть более высокими содержаниями As по сравнению с пиритом других типов руд (рис. 5а). Содержания других элементов-примесей в этом пирите обычно составляют менее 1 г/т. Пирит-p в сравнении с пиритом-m обогащен Co, Ni, Ge, Se, Te и Ba и обеднен As и Cu (табл. 3, рис. 5а, б). Пирит-s обогащен Ni, Cu, Zn, Ge, Se, Cd и Te относительно пирита сульфидно-магнетитовых и хлорит-пирротиновых руд (табл. 3). Содержания V, Ga, In, Sn, Au, Tl и U во всех разновидностях пирита незначительные (табл. 3).
Таблица 3. Содержание элементов-примесей в пирите месторождения Акташ (г/т)
Table 3. Trace element content in pyrite of the Aktash deposit (ppm)
Тип | Содержание | V | Mn | Co | Ni | Cu | Zn | Ga | Ge | As | Se | Mo |
Py-m (n = 42) | среднее | 0.18 | 30 | 10 | 73 | 26 | 4.2 | 0.03 | 2.2 | 1931 | 1.4 | 0.47 |
медиана | 0.03 | 4.5 | 1.4 | 3.1 | 1.2 | 1.1 | 0.02 | 1.2 | 186 | 1.4 | 0.02 | |
мин | 0.01 | 0.1 | 0.01 | 0.1 | 0.2 | 0.5 | 0.004 | 0.8 | 2.5 | 0.1 | 0.002 | |
макс | 2.44 | 370 | 104 | 1375 | 937 | 115 | 0.32 | 4.6 | 9690 | 4.3 | 6.02 | |
Py-p (n = 22) | среднее | 0.08 | 45 | 117 | 98 | 6.7 | 38 | 0.04 | 10 | 90 | 44 | 0.13 |
медиана | 0.07 | 39 | 122 | 96 | 5.3 | 3.9 | 0.02 | 10 | 55 | 44 | 0.06 | |
мин | 0.02 | 0.6 | 70 | 65 | 0.2 | 1.7 | 0.002 | 9 | 1.4 | 33 | 0.008 | |
макс | 0.37 | 175 | 147 | 125 | 27 | 444 | 0.30 | 11 | 670 | 52 | 0.54 | |
Py-s (n = 16) | среднее | 0.06 | 68 | 111 | 187 | 119 | 671 | 0.06 | 30 | 258 | 93 | 0.16 |
медиана | 0.06 | 39 | 72 | 89 | 37 | 270 | 0.05 | 30 | 163 | 112 | 0.03 | |
мин | 0.02 | 0.9 | 1.0 | 3.6 | 5.3 | 6.2 | 0.02 | 28 | 12 | 20 | 0.006 | |
макс | 0.12 | 432 | 713 | 732 | 642 | 2770 | 0.10 | 33 | 817 | 144 | 1.08 | |
Тип | Содержание | Ag | Cd | In | Sn | Sb | Te | Ba | Au | Tl | Pb | Bi |
Py-m (n = 42) | среднее | 0.40 | 0.15 | 0.004 | 0.14 | 1.80 | 0.79 | 0.06 | 0.57 | 0.01 | 24 | 2.37 |
медиана | 0.08 | 0.06 | 0.003 | 0.11 | 0.31 | 0.22 | 0.02 | 0.03 | 0.008 | 9.7 | 0.70 | |
мин | 0.003 | 0.007 | 0.001 | 0.05 | 0.01 | 0.008 | 0.002 | 0.002 | 0.001 | 0.1 | 0.03 | |
макс | 4.57 | 2.86 | 0.014 | 0.47 | 24.4 | 7.3 | 0.42 | 7.78 | 0.071 | 193 | 14.8 | |
Py-p (n = 22) | среднее | 2.20 | 0.60 | 0.004 | 0.12 | 3.14 | 1.96 | 11 | 0.11 | 0.95 | 19.1 | 4.43 |
медиана | 1.80 | 0.09 | 0.003 | 0.13 | 1.53 | 0.11 | 1.05 | 0.03 | 0.24 | 17.2 | 0.96 | |
мин | 0.30 | 0.01 | 0.001 | 0.01 | 0.01 | 0.01 | 0.1 | 0.001 | 0.002 | 0.30 | 0.15 | |
макс | 10.8 | 9.4 | 0.013 | 0.25 | 14.8 | 38 | 136 | 0.42 | 7.23 | 52.2 | 68 | |
Py-s (n = 16) | среднее | 2.20 | 7.55 | 0.047 | 0.07 | 4.31 | 8.75 | 1.14 | 0.10 | 0.04 | 61 | 7.4 |
медиана | 1.31 | 3.34 | 0.027 | 0.071 | 2.51 | 6.10 | 0.12 | 0.07 | 0.02 | 55 | 4.4 | |
мин | 0.16 | 0.05 | 0.006 | 0.006 | 0.50 | 1.37 | 0.02 | 0.008 | 0.001 | 16 | 0.9 | |
макс | 8.91 | 32.9 | 0.128 | 0.122 | 26.7 | 33.1 | 8.0 | 0.50 | 0.21 | 151 | 34 |
Рис. 5. Корреляции между элементами-примесями в пирите (а, б) и халькопирите (в, г) месторождения Акташ (г/т): а – Se–As; б –Se–Te; в – Cd–Zn; г – Se–Ag.
Fig. 5. Se–As (а) and Se–Te (б) correlations in pyrite and Cd–Zn (в) and Se–Ag (г) correlations in chalcopyrite of the Aktash deposit (ppm).
В пирротине отмечаются относительно высокие содержания Co, Ni, Ge, Se, Mn, Cu, As, Pb, Bi и Zn при низких содержаниях большинства других элементов (табл. 4). Содержания Se и Te в пирротине и пирите хлорит-сфалеритовых руд сопоставимы, но пирротин содержит гораздо меньше As (рис. 5а, б).
Таблица 4. Содержание элементов-примесей в пирротине месторождения Акташ (г/т)
Table 4. Trace elements content of pyrrhotite of the Aktash deposit (ppm)
Тип | Содержание | V | Mn | Co | Ni | Cu | Zn | Ga | Ge | As | Se | Mo |
Po (n = 22) | среднее | 0.18 | 3.40 | 93 | 68 | 0.74 | 0.97 | 0.034 | 12.1 | 0.67 | 36 | 0.07 |
медиана | 0.04 | 2.10 | 91 | 66 | 0.65 | 1.08 | 0.021 | 11.9 | 0.50 | 37 | 0.04 | |
мин | 0.02 | 1.00 | 77 | 28 | 0.50 | 0.15 | 0.003 | 11.4 | 0.20 | 24 | 0.01 | |
макс | 2.68 | 18.0 | 109 | 111 | 1.70 | 1.68 | 0.265 | 14.1 | 1.40 | 48 | 0.42 | |
Тип | Содержание | Ag | Cd | In | Sn | Sb | Te | Ba | Au | Tl | Pb | Bi |
Po (n = 22) | среднее | 0.42 | 0.14 | 0.01 | 0.34 | 0.10 | 0.20 | 0.80 | 0.05 | 0.01 | 1.21 | 0.63 |
медиана | 0.38 | 0.05 | 0.01 | 0.35 | 0.10 | 0.24 | 0.60 | 0.04 | 0.009 | 0.79 | 0.38 | |
мин | 0.22 | 0.05 | 0.00 | 0.11 | 0.01 | 0.04 | 0.50 | 0.014 | 0.001 | 0.3 | 0.20 | |
макс | 0.90 | 0.45 | 0.02 | 0.56 | 0.20 | 0.35 | 1.70 | 0.21 | 0.08 | 8.55 | 2.55 |
Халькопирит характеризуется повышенными содержаниями Zn и Cd, что связано с микровключениями сфалерита (табл. 5). Содержания Zn и Cd в халькопирите сульфидно-магнетитовых руд менее изменчивы и, в целом, эти элементы в разновидностях халькопирита имеют положительную корреляцию, что свидетельствует о наличии включений сфалерита (рис. 5в). Халькопирит-m обеднен элементами-примесями по сравнению с халькопиритом других руд (табл. 5). Халькопирит хлорит-пирротиновых руд содержит в несколько раз больше Zn, Cd, Ag, Se, Bi и Ni, чем халькопирит сульфидно-магнетитовых и пироксен-сфалеритовых руд (табл. 5, рис. 5в, г). Для халькопирита-s характерны повышенные содержания Pb, As, Ge, Te и Sb (табл. 5). Крайне низкие содержания V, Ga, Mo, Sn, Au и Tl отмечаются во всех разновидностях халькопирита.
Таблица 5. Содержание элементов-примесей в халькопирите месторождения Акташ (г/т)
Table 5. Trace elements content of chalcopyrite of the Aktash deposit (ppm)
Тип | Содержание | V | Mn | Co | Ni | Zn | Ga | Ge | As | Se | Mo | Ag |
Chp-m (n = 14) | среднее | 0.14 | 3.2 | 0.04 | 0.24 | 311 | 0.19 | 0.31 | 0.55 | 5.50 | 0.16 | 1.30 |
медиана | 0.08 | 1.4 | 0.02 | 0.07 | 310 | 0.14 | 0.07 | 0.14 | 2.70 | 0.13 | 1.00 | |
мин | 0.02 | 0.03 | 0.01 | 0.05 | 200 | 0.04 | 0.02 | 0.005 | 1.40 | 0.07 | 0.30 | |
макс | 0.57 | 13 | 0.13 | 1.00 | 410 | 0.64 | 2.11 | 4.10 | 17 | 0.45 | 3.00 | |
Chp-p (n = 14) | среднее | 0.12 | 27 | 1.70 | 1.20 | 4412 | 0.08 | 5.80 | 1.50 | 41 | 0.20 | 84 |
медиана | 0.09 | 24.9 | 0.90 | 0.30 | 1515 | 0.05 | 5.60 | 1.30 | 42 | 0.19 | 89 | |
мин | 0.01 | 1.60 | 0.20 | 0.10 | 437 | 0.01 | 4.30 | 0.20 | 32 | 0.11 | 47 | |
макс | 0.57 | 88.1 | 9.60 | 11 | 16900 | 0.26 | 7.60 | 5.90 | 51 | 0.50 | 97 | |
Chp-s (n = 13) | среднее | 0.07 | 22 | 1 | 0.22 | 1070 | 0.20 | 15 | 10 | 8 | 0.1 | 2.30 |
медиана | 0.07 | 19 | 0.30 | 0.18 | 891 | 0.20 | 15 | 8 | 6 | 0.08 | 0.70 | |
мин | 0.04 | 0.50 | 0.10 | 0.02 | 259 | 0.10 | 14 | 6 | 4.3 | 0.04 | 0.20 | |
макс | 0.19 | 62 | 7.50 | 0.89 | 2310 | 0.60 | 16 | 21 | 15 | 0.16 | 13 | |
Тип | Содержание | Cd | In | Sn | Sb | Te | Ba | Au | Hg | Tl | Pb | Bi |
Chp-m (n = 14) | среднее | 50 | 1.60 | 0.29 | 0.41 | 0.18 | 0.84 | 0.04 | 0.22 | 0.26 | 4.8 | 2.90 |
медиана | 44 | 1.60 | 0.20 | 0.33 | 0.10 | 0.10 | 0.03 | 0.14 | 0.08 | 3.0 | 2.40 | |
мин | 31 | 1.00 | 0.01 | 0.11 | 0.004 | 0.01 | 0.01 | 0.01 | 0.01 | 0.7 | 1.10 | |
макс | 82 | 2.20 | 0.90 | 0.91 | 1.05 | 5.00 | 0.08 | 1.17 | 2.00 | 13 | 8.0 | |
Chp-p (n = 14) | среднее | 122 | 1.50 | 0.60 | 0.30 | 0.40 | 2.70 | 0.17 | 2.00 | 0.10 | 14 | 7.20 |
медиана | 45 | 1.30 | 0.70 | 0.20 | 0.30 | 2.50 | 0.10 | 0.90 | 0.06 | 11 | 6.00 | |
мин | 10 | 1.00 | 0.20 | 0.10 | 0.10 | 0.40 | 0.04 | 0.20 | 0.02 | 3.6 | 1.50 | |
макс | 430 | 2.40 | 1.00 | 0.70 | 0.80 | 5.50 | 0.40 | 9.60 | 0.25 | 35 | 16.8 | |
Chp-s (n = 14) | среднее | 25 | 0.05 | 0.31 | 2.90 | 1.84 | 0.50 | 0.04 | 0.52 | 0.30 | 112 | 2.70 |
медиана | 21 | 0.05 | 0.29 | 2.60 | 1.00 | 0.20 | 0.04 | 0.65 | 0.26 | 48 | 2.00 | |
мин | 2.90 | 0.03 | 0.12 | 0.30 | 0.05 | 0.20 | 0.01 | 0.05 | 0.08 | 11 | 0.60 | |
макс | 58 | 0.08 | 0.48 | 6.50 | 10.7 | 1.40 | 0.10 | 1.40 | 0.82 | 650 | 8.30 |
Обсуждение
Распределение элементов-примесей в сульфидах. Западный Карамазар является своеобразной геохимической провинцией большого комплекса важнейших элементов, сконцентрированных как в моноэлементных, так и комплексных месторождениях. Эта провинция выделяется как серебро-висмутоносная и кадмиеносная. Все полиметаллические месторождения Западного Карамазара почти независимо от их генетических особенностей содержат повышенное количество Bi и Ag в галените и Cd – в сфалерите (Бадалов, 1991). На месторождении Акташ этими элементами, соответственно, обогащены галенит и сфалерит по сравнению с пиритом, халькопиритом и пирротином. В зависимости от условий формирования и минеральных ассоциаций в сульфидах могут варьировать содержания и многих других элементов-примесей.
Cульфиды сульфидно-магнетитовых и хлорит-пирротиновых руд на месторождении Акташ обогащены Fe, Mn, Cd, Bi, Ag, Tl и Sb по сравнению с сульфидами пироксен-сфалеритовых руд, тогда как последние характеризуются в несколько раз более высокими содержаниями Se, Te, Sb, Co и Ni. Такое распределение элементов в основном наблюдается в разновидностях галенита, сфалерита и пирита. В халькопирите из хлорит-пирротиновых руд отмечаются высокие содержания Se и Ag по сравнению с халькопиритом сульфидно-магнетитовых и пироксен-сфалеритовых руд (рис. 6а). По некоторым данным высокие содержания Se в халькопирите могут отражать высокие температуры минералообразования (Auclair et al., 1987; Butler, Nesbitt, 1999). Например, халькопирит-p месторождения Акташ обеднен Se по сравнению с высокотемпературным халькопиритом труб древних и современных черных курильщиков (Масленников и др., 2016; Maslennikov at al., 2017), а халькопирит-s и халькопирит-m по соотношению Se, Ag и Sn подобны халькопириту черных (высокотемпературных) курильщиков (рис. 6а). На месторождении Акташ основным минералом-концентратором Se является галенит. Для большинства свинцово-цинковых скарновых месторождений ранние генерации галенита в несколько раз богаче Se и Te по сравнению с поздними (Сечевица и др., 1990), однако в разновидностях галенита месторождения Акташ и других скарново-полиметаллических месторождений Западного Карамазара наблюдается обратная картина. Следует отметить, что пирит месторождения Акташ содержит в несколько раз меньше Co по сравнению с пиритом скарново-сульфидно-магнетитовых месторождений, ассоциирующих с андезит-базальтовыми формациями (например, месторождение Сарбай в Тургайском прогибе) (рис. 6б). Сильная корреляция между Co и Ni и соотношение Co/Ni > 1 (в среднем, 1.27) отмечается только в пирите хлорит-пирротиновых руд. Содержания Co и Ni в пирите сульфидно-магнетитовых и пироксен-сфалеритовых руд сильно варьируют, но их повышенные содержания установлены лишь в пирите-s (рис. 6б).
Рис. 6. Корреляции между элементами-примесями в галените (а, б) и сфалерите (в, г) месторождения Акташ и других генетических типов месторождений: а – Bi–Ag; б – Bi–Cu/Sb (George et al., 2015; Wind et al., 2020; Li et al., 2022; Wei et al., 2021); в – Co–Fe; г – Mn–Cd/Fe (Cook et al., 2009; Ye et al., 2011; Yuan et al., 2018; Wei et al., 2018; Li et al., 2020).
SEDEX – эксгаляционно-осадочный тип; MVT – Pb-Zn месторождения долины р. Миссисипи.
Fig. 6. Bi–Ag (a) and Bi–Cu/Sb (б) correlations in galena and Co–Fe (в) and Mn–Cd/Fe (г) correlations in sphalerite from the Aktash deposit and other genetic types of deposits: а, б – (George et al., 2015; Wind et al., 2020; Li et al., 2022; Wei et al., 2021); б, в – (Cook et al., 2009; Ye et al., 2011; Yuan et al., 2018; Wei et al., 2018; Li et al., 2020).
SEDEX – sedimentary exhalation type; MVT – Mississippi valley type Pb-Zn deposits.
В последние годы содержания Bi, Ag, Cu и Se в галените и Fe, Mn, Cd, Ge, In, Ga, Se и Te в сфалерите используют для интерпретации генезиса месторождений (Cook et al., 2009; Ye et al., 2011; George et al., 2015; Yuan et al., 2018; Wei et al., 2018; Wind et al., 2020; Li, 2020; Wei et al., 2021; Li et al., 2022). Галенит месторождения Акташ обогащен Bi, Ag, Cu, Se, Te, Cd и Tl, но крайне обеднен Sb аналогично другим Zn-Pb месторождениям скарнового типа (George et al., 2015; Li et al., 2022). Однако на дискриминационной диаграмме содержаний Bi и Ag изученные нами разновидности галенита образуют отдельные поля (рис. 7а). Состав галенита-m с аномально повышенными содержаниями Bi и Ag не попадает в поле состава галенита из скарновых месторождений. Состав галенита-s с относительно низкими содержаниями Bi и Ag совпадает с таковым из скарновых месторождений (рис. 7а). На диаграмме содержаний Bi и Cu/Sb, галенит-m отличается аномально высокими содержаниями Bi и Cu, а состав галенит-s находится между полями состава галенита из скарновых месторождений и месторождений типа SEDEX (рис. 7б). Повышенные содержания Bi обычно связаны с высокотемпературными флюидами, тогда как Sb более подвижен при низких температурах (Tooth et al., 2013; Cave et al., 2020), что свидетельствует о разных температурных условиях формирования галенита-m и галенита-s. Отличительным признаком галенита-m из месторождения Акташ являются повышенные содержания Cu и Tl. В галените свинцово-цинковых стратиформных, эпитермальных, скарновых и большинства колчеданных месторождений содержания Tl обычно не превышают 20 г/т (Graham et al., 2009; Масленников и др., 2016). Средние содержания Tl в галените месторождения Акташ в несколько раз выше: 158 г/т в галените-m и 36 г/т в галените-s (табл. 1). Природный галенит, как правило, содержит не более 70 г/т Cu, для которой предполагается изоморфизм подобный изоморфизму Ag (Graham et al., 2009). Содержание Cu в галените-m аномально высокие (в среднем, 448 г/т), но в галените-s ее содержание уменьшается до незначительных количеств (табл. 1).
Рис. 7. Соотношение Se-Ag-Sn для халькопирита (а) и Co-Ni для пирита (б) из месторождения Акташ.
Fig. 7. Se-Ag-Sn plot for chalcopyrite (a) and Co-Ni plot for pyrite (б) of the Aktash deposit.
По некоторым данным сфалерит месторождений скарнового типа обогащен Mn, Cd и Co и обеднен In, Sn и Fe (Cook et al., 2009; Ye et al., 2011; Li et al., 2020). Для сфалерита месторождения Акташ характерны повышенные содержания Fe, Mn, Cd и Co и пониженные – In, Sn, Ge и Ga. Сфалерит-m обеднен Mn и Co, но содержит аномальное содержание Cd и на диаграмме Co–Fe состав этого сфалерита попадает в поля эпитермальных и стратиформных месторождений (рис. 7в). Соотношения Co–Fe остальных разновидностей сфалерита совпадают с полем скарновых месторождений. На дискриминационной диаграмме Mn и Cd/Fe все разновидности сфалерита попадают в поле скарнового типа (рис. 7г).
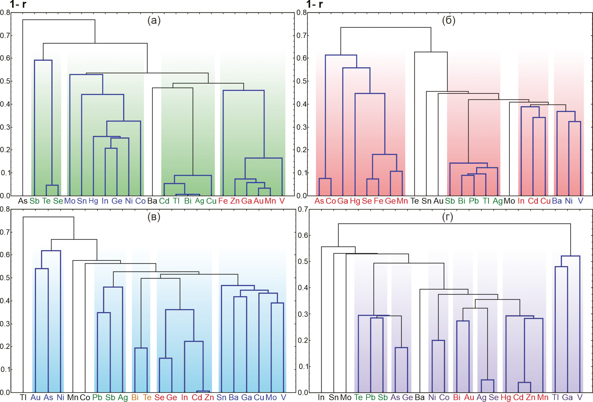
Минералого-геохимические ассоциации и формы нахождения элементов-примесей. По результатам кластерного анализа в выборке галенита из сульфидно-магнетитовых и пироксен-сфалеритовых руд выделены несколько групп или ассоциаций химических элементов (рис. 8а). Ассоциации Cd-Tl-Bi-Ag-Cu и Sb-Te-Se связаны с изоморфным вхождением этих элементов в структуру галенита (George et al., 2015). Ассоциация Fe-Zn-Ga-Au-Mn-V, возможно, характеризует микровключения железистого сфалерита, совместные с самородным золотом. Ассоциация Mo-Sn-Hg-In-Ge-Ni-Co может быть объяснена микровключениями пирита и халькопирита.
Рис. 8. Результаты кластеризации элементов-примесей в сульфидах из сульфидно-магнетитовых, хлорит-пирротиновых и пироксен-сфалеритовых руд.
Цветами выделены группы (кластеры) элементов. а – галенит; б – сфалерит; в – пирит и пирротин; г – халькопирит.
Fig. 8. Results of clustering of trace elements in sulfides of sulfide-magnetite, chlorite-pyrrhotite and pyroxene-sphalerite ores.
Groups (clusters) of elements are marked with colors. a – galena; б – sphalerite; в – pyrite and pyrrhotite; г – chalcopyrite.
Для разновидностей сфалерита из разных типов руд (рис. 8б) характерны две ассоциации (As-Co-Ga-Hg-Se-Fe-Ge-Mn и In-Cd-Cu), которые, видимо, представляют собой изоморфные примеси. Ассоциация Sb-Bi-Pb-Tl-Ag характерна для микровключений галенита, а ассоциация Ba-Ni-V может быть связана с микровключениями пирита и барита, однако видимые микровключения последнего нами не обнаружены.
Ассоциация Pb-Sb-Ag, полученная для объединенной выборки разновидностей пирита и пирротина, может быть обусловлена микровключениями галенита, а ассоциация Se-Ge-In-Cd-Zn, скорее всего, связана с включениями сфалерита (рис. 8в). Ассоциация Bi-Te обусловлена включениями теллуридов Bi (цумоита и пильзенита) (Ятимов и др., 2020). Элементы ассоциаций Sn-Ba-Ga-Cu-Mo-V и Au-As-Ni, по всей видимости, изоморфно входят в кристаллическую структуру пирита, кроме Sn, Ba и V, которые отражают присутствие минералов, содержащих указанные элементы.
В разновидностях халькопирита в виде изоморфной примеси участвуют следующие элементы (рис. 8г): Ni-Co, As-Ge, Ag-Se и Tl-Ga-V. Ассоциация Te-Pb-Sb показывает наличие микровключений галенита, а ассоциация Hg-Cd-Zn-Mn связана с микровключениями сфалерита. Ассоциация Bi-Au отражает включения сростков самородных золота и висмута.
Многие элементы-примеси имеют две формы нахождения в исследованных сульфидах. В одних случаях элементы входят в состав микровключений в минералах-носителях, в других – изоморфно замещают химические элементы в структуре сульфида. Так, в кристаллическую решетку галенита могут входить Bi, Ag, Se, Te, Sb, Tl, Cu и, возможно, Cd (Годовиков, 1966; Ненашева, 1975; George et al., 2015). Висмут, Ag, Cu, Tl и Sb изоморфно замещают Pb в кристаллической решетке галенита по схеме гетеровалентного изоморфизма: (Ag, Cu, Tl)1+ + (Bi, Sb)3+ ↔ 2Pb2+ (George et al., 2015). Помимо этого, Bi, Ag и Cu могут присутствовать за счет микровключений висмутовых минералов, которые наблюдаются в виде включений в галените сульфидно-магнетитовых руд (Ятимов и др., 2019). В структуру сфалерита изоморфно входят Fe, Mn, Cd, Cu, Hg, In, Ga, Ge, Tl, Co, Ni (Cook at al., 2009). Большинство этих элементов изоморфно входят также в состав сфалерита месторождения Акташ, кроме Tl и Ni, которые связаны с включениями галенита и пирита, соответственно (рис. 7б). Катионы с ионным радиусом и зарядом, аналогичным заряду Zn2+, такие как Fe2+, Cu2+, Mn2+, Cd2+, Ge2+, могут непосредственно замещать Zn в кристаллической решетке сфалерита по схеме M2+ ↔ Zn2+ (Pattrick et al., 1998; Cook et al., 2009; Lockington et al., 2014).
В структуре пирита и пирротина в определенных количествах изоморфно могут замещать Fe и S следующие элементы: Co, Ni, Mn, Cu, Zn, Ge, As, Sb, Au, Ag, Se, Te (Reich et al., 2013; Deditius et al., 2014). В нашем случае, подавляющее большинство элементов-примесей, судя по результатам кластерного анализа, изоморфно входят в структуру пирита и пирротина (рис. 7в). В халькопирите только Ag, Pb, Zn, As, Se и Co обычно упоминаются как изоморфные примеси, а Mn, Tl, In, Ga и Hg встречаются редко и в низких концентрациях (George et al., 2018). Возможно, в составе халькопирита Ag, Se, As, Ge, Co, Ni, Tl, In, Ga и V присутствуют изоморфно, а повышенные содержания Pb, Sb, Te, Zn, Cd, Mn, Hg, Bi и Au обеспечиваются благодаря микровключениям галенита, сфалерита, самородного золота и висмута. Ровные тренды ЛА-ИСП-МС и отсутствие аномальных пиков Se, характерных для микровключений, указывают на вхождение Se в структуру халькопирита в изоморфной форме.
Промышленное значение содержаний элементов-примесей. Содержания некоторых элементов-примесей (Bi, Ag, Se, Te, Cd) в сульфидах, возможно, являются промышленно значимыми. В настоящее время запасы полиметаллических руд по категории С2 составляют 2.178 млн т: Zn 80.2 тыс. т, Pb 22.9 тыс. т и Au 3.5 т при средних содержаниях 3.68 % Zn, 1.05 % Pb и 0.44 г/т Au (по отдельным золоторудным телам – 35.8 г/т Au) (Белоусов, Полотов, 1981ф). Запасы сульфидно-магнетитовых руд не подсчитаны. Запасы Bi и Ag в полиметаллических рудах месторождения Акташ составляет 579.1 т и 97.5 т при средних содержаниях 0.027 % Bi и 44.8 г/т Ag (Белоусов, Полотов, 1981ф). Запасы этих элементов в сульфидно-магнетитовых рудах также не подсчитаны. Установленные нами средние содержания (6 анализов) по штуфным пробам (вес 1–4 кг) этих руд составляют 1.96 % для Pb, 0.18 % – Bi и 633 г/т – Ag, что в несколько раз превышает содержания этих элементов в полиметаллических рудах. В целом, среднее содержание Bi в первичных рудах висмутсодержащих месторождений варьирует от 0.003 до 0.06 %, а минимальное промышленное содержание Ag в свинцово-цинковых и медных рудах составляет 10 г/т (Малахов и др., 2007). Среднее содержание этих элементов в сульфидно-магнетитовых рудах месторождения Акташ в несколько раз выше указанных значений. Серебро и Bi, главным образом, сосредоточены в галените. Содержания Bi и Ag в галените из сульфидно-магнетитовых руд в несколько раз превышают типичные для этого минерала содержания (Иванов, 1996, 1997). Обычно самые высокие содержания Bi (в среднем 2340 г/т) характерны для галенита скарновых месторождений (Иванов, 1996). Однако среднее содержание Bi (22241 г/т) в галените сульфидно-магнетитовых руд месторождения Акташ превосходит это значение в 9–10 раз. Среднее содержание Ag в галените разных типов месторождений составляет 1120 г/т (Иванов, 1997), а среднее содержание Ag (8786 г/т) в галените сульфидно-магнетитовых руд месторождения Акташ в 7–8 раз выше этого значения.
Повышенные содержания Se и Te отмечаются в обеих разновидностях галенита, но в галените пироксен-сфалеритовых руд (478 г/т Se и 371 г/т Te, в среднем) их содержания на 1–2 порядка выше кларков – 55 г/т Se и 20 г/т Te (Иванов, 1996). Кроме того, в галените установлены повышенные содержания Tl (в среднем, 158 г/т в галените-m и 36 г/т в галените-s), средние содержания которого в несколько раз больше минерального кларка – 4.6 г/т по (Иванов, 1996). Запасы этих элементов в рудах месторождения не определены.
В сфалерите промышленный интерес представляет Cd (8525–27670 г/т), содержания которого во всех типах руд в несколько раз выше минерального кларка – 2700 г/т (Иванов, 1997). Его среднее содержание составляет 75.1 г/т в сульфидно-магнетитовых рудах (6 анализов), 91.2 г/т в хлорит-пирротиновых рудах (1 анализ) и 6742 г/т в пироксен-сфалеритовых рудах (3 анализа). Несмотря на повышенное содержание Cd в сфалерите сульфидно-магнетитовых и хлорит-пирротиновых руд, его среднее содержание относительно низкое, что связано с слабо распространенностью сфалерита в этих рудах. Запасы Cd в рудах месторождения Акташ не подсчитаны. Содержания элементов-примесей в халькопирите, пирите и пирротине не имеют промышленного значения. Из токсичных элементов в пирите в незначительном количестве установлен только As.
Предполагается, что Bi, Ag, Se, Te и Cd попутно можно будет извлекать из получаемых свинцовых, цинковых и медных концентратов. Переработку сульфидно-магнетитовых руд с целью извлечения элементов-примесей наиболее рационально проводить по схеме селективной флотации с получением свинцового, цинкового и медного концентратов с последующим цианированием и магнитной сепарацией хвостов флотации.
Заключение
Таким образом, каждая разновидность сульфидов скарнового месторождения Акташ в Западном Карамазаре характеризуется своей геохимической специализацией в зависимости от минерального типа руд. В распределении некоторых элементов-примесей в сульфидах из различных руд наблюдаются определенные закономерности. Установлены повышенные содержания Bi, Ag, Cu, Cd и Tl в галените сульфидно-магнетитовых руд по сравнению с галенитом пироксен-сфалеритовых руд, содержащим высокие концентрации Se, Te и Sb. Сфалерит сульфидно-магнетитовых и хлорит-пирротиновых руд характеризуется высокими содержания Fe, Cd и Mn, что характерно для скарновых сульфидных месторождений. В сфалерите пироксен-сфалеритовых руд содержания этих элементов уменьшаются с возрастанием содержаний Co, As, Pb. В пирите содержания Co, Ni, Cu, Zn, Ge и Se увеличиваются от сульфидно-магнетитовых руд к пироксен-сфалеритовым рудам. Халькопирит хлорит-пирротиновых руд содержит в несколько раз больше Zn, Cd, Ag, Se, Bi и Ni, чем халькопирит сульфидно-магнетитовых и пироксен-сфалеритовых руд. Для халькопирита пироксен-сфалеритовых руд характерны повышенные содержания Pb, As, Ge, Te и Sb. В пирротине в основном отмечается незначительно высокие содержания Co, Ni, Ge и Se.
В целом, руды месторождения Акташ являются комплексными, из которых возможно извлекать попутно некоторые элементы-примеси. Главным минералом-концентратором Ag, Bi, Te и Se, является галенит, а Cd – сфалерит всех типов руд. Перспективные повышенные содержания Ag характерны для халькопирита хлорит-пирротиновых руд. Пирит, кроме умеренных средних содержаний As, не несет значимого количества ни технологичных, ни токсичных элементов-примесей. Низкие содержания элементов-примесей – характерная черта пирротина. Полученные данные по распределению элементов-примесей могут быть использованы при оценке перспектив сульфидного оруденения на скарново-полиметаллических месторождениях Западного Карамазара.
Данные геохимические исследования проведены при финансовой поддержке РНФ (проект № 22-17-00215). Типизация руд и диагностика минералов выполнялись ранее в рамках государственной бюджетной темы Института минералогии ЮУ ФНЦ МиГ УрО РАН (№ 122031600292-6).
1 m, p и s – минералы сульфидно-магнетитовых, хлорит-пирротиновых и пироксен-сфалеритовых руд, соответственно.
About the authors
U. A. Yatimov
South Ural Federal Research Center of Mineralogy and Geoecology of the Ural Branch of the Russian Academy of Sciences
Author for correspondence.
Email: umed1990@list.ru
Russian Federation, Ilmeny State Reserve, 456317, Miass, Chelyabinsk Region
V. V. Maslennikov
South Ural Federal Research Center of Mineralogy and Geoecology of the Ural Branch of the Russian Academy of Sciences
Email: umed1990@list.ru
Russian Federation, Ilmeny State Reserve, 456317, Miass, Chelyabinsk Region
D. A. Artemyev
South Ural Federal Research Center of Mineralogy and Geoecology of the Ural Branch of the Russian Academy of Sciences
Email: umed1990@list.ru
Russian Federation, Ilmeny State Reserve, 456317, Miass, Chelyabinsk Region
References
- Auclair G., Fouquet Y., Bohn M. (1987) Distribution of selenium in high-temperature hydrothermal sulfide deposits at 13° North, East Pacific Rise. The Canadian Mineralogist, 25, 577–587.
- Badalov S.T. (1991) [Geochemical features of oreforming systems]. Tashkent, Fan, 144 p. (in Russian)
- Belousov V.A., Polotov V.S. (1981) [Report on the additional exploration of the lower horizons of the ore zone No. 9 of the Aktash deposit]. Kairakkum, Fondy Kayrakkumskoy GRE, 145 p. (in Russian)
- Butler I.B., Nesbitt R.W. (1999) Trace element distributions in the chalcopyrite wall of black smoker chimney: insights from laser ablationi nductively coupled plasma mass spectrometry (LA–ICP–MS). Earth Planet. Sci. Lett., 167(3), 335–345.
- Cave B., Lilly R., Barovich K. (2020) Textural and geochemical analysis of chalcopyrite, galena and sphalerite across the Mount Isa Cu to Pb-Zn transition: Implications for a zoned Cu-Pb-Zn system. Ore Geology Reviews, 124, 103647.
- Cook N.J., Ciobanu C.L., Pring A., Skinner W., Shimizu M., Danyushevsky L., SainiEidukat B., Melcher F. (2009) Trace andminor elements in sphalerite: a LA-ICPMS study. Geochim Cosmochim Acta, 73, 4761–4791
- Deditius A.P., Reich M., Kesler S.E., Utsuno-miya S., Chryssoulis S.L., Walshe J., Ewing R.C. (2014) The coupled geochemistry of Au and As in pyrite from hydrothermal ore deposits. Geochim. Cosmochim. Acta, 140, 644–670.
- Dubrova I.V., Kashintseva E.N. (1965) [Distribution of impurity elements in some of the main minerals of the ores of the deposits of the Kansai ore field]. In: Geologiya svintsovo-tsinkovykh mestorozhdeniy Kansayskogo rudnogo polya [Geology of lead-zinc deposits of the Kansai ore field]. Moscow, Nauka, 115–126. (in Russian)
- Enikeeva M.V. (1959) [Galena from Southwestern Karamazar]. Zapiski Uzbekskogo otdeleniya VMO [Notes of the Uzbek branch of WMO], 13, 51–57. (in Russian)
- Fakhridinov T., Filev G.A. et al. (1974) [Report on the results of exploration work carried out in 1969–73. on the object «Detailed exploration of the Aktash deposit»]. Kairakkum, Fondy Kayrakkumskoy GRE, 165 p. (in Russian)
- George L., Cook N., Crowe B., Ciobanu C. (2018) Trace elements in hydrothermal chalcopyrite. Mineralogical Magazine, 82(1), 59–88.
- George L., Cook N.J., Ciobanu C.L. (2015) Trace and minor elements in galena: A reconnaissance LA-ICP-MS study. American Mineralogist, 100. 548–569.
- Godovikov A.A. (1966) [On impurities of silver, bismuth and antimony in galena]. Geologiya rudnykh mestorozhdeniy [Geology of ore deposits], 2, 59–66. (in Russian)
- Graham G.E., Kelley K.D., Slack J.F., Koenig A.E. (2009) Trace elements in Zn-Pb-Ag deposits and related stream sediments, Brooks Range Alaska, with implications for Tl as a pathfinder element. Geochemistry: Exploration, Environment, Analysis, 9, 19–37.
- Ivanov V.V. (1996) [Ecological geochemistry of elements. Book 3]. Moscow, Nedra, 352 p. (in Russian)
- Ivanov V.V. (1997) [Ecological geochemistry of elements. Book 5]. Moscow, Ecology, 576 p. (in Russian)
- Li G., Zhao Z., Wei J., Ulrich T. (2022) Trace element compositions of galena in an MVT deposit from the Sichuan-Yunnan-Guizhou metallogenic province, SW China: Constraints from LA-ICP-MS spot analysis and elemental mapping. Ore Geology Reviews, 105, 105123.
- Li Z., Ye L., Hu Y., Wei C., Huang Z., Yang Y., Danyushevsky L. (2020) Trace elements in sulfides from the Maozu Pb-Zn deposit, Yunnan Province, China: Implications for trace-element incorporation mechanisms and ore genesis. American Mineralogist, 105(11), 1734–1751.
- Lockington J.A., Cook N.J., Ciobanu C.L. (2014) Trace and minor elements in sphalerite from metamorphosed sulphide deposits. Mineral. Mag, 108, 873–890.
- Malakhov I.A., Burmako I.L., Alekseev A.V. (2007) [Industrial types of metallic minerals]. Ekaterinburg, Izdatelstvo UGGU, 209 p. (in Russian)
- Maslennikov V.V., Maslennikova S.P., Large R.R., Danyushevsky L.V., Herrington R.J., Ayupova N.R., Zaykov V.V., Lein A.Yu., Tseluyko A.S., Melekestseva I.Yu., Tessalina S.G. (2017) Chimneys in Paleozoic massive sulfide mounds of the Urals VMS deposits: mineral and trace element comparison with modern black, gray and clear smokers. Ore Geology Review, 85, 64–106.
- Maslennikov V.V., Melekestseva I.Yu., Maslennikova S.P. et al. (2016) [Differentiation of toxic elements under conditions of lithogenesis and technogenesis of VMS deposits]. Yekaterinburg, RIO UrO RAN, 368 p.
- Moiseeva M.I. (1969) [Mineralogy of ore deposits in the north-eastern part of the Kuraminsky Range and adjacent areas]. Tashkent, Fan, 204 p. (in Russian)
- Nechelyustov N.V., Popova N.N., Mintser E.F. (1961) [Distribution of impurity elements during hypogene mineral formation in lead-zinc and copper-molybdenum deposits of Karamazar]. Trudy IMGRE AN SSSR [Proceedings of the IMGRE Academy of Sciences of the USSR], 5, 3–42. (in Russian)
- Nenasheva S.N. (1975) [Experimental study of the nature of silver, antimony and bismuth impurities in galena]. Novosibirsk, Nauka, 124 p. (in Russian)
- Pattrick R.A.D., Mosselmans J.F.W., Charnock J.M. (1998) An x-ray absorption study of doped sphalerites. Eur. J. Mineral, 10, 239–249.
- Popov V.S. (1960) [Geochemistry of ores of the Central Kansai in Karamazar]. Uchenye zapiski Sredneaziatskogo instituta geologii i mineral’nogo syr’ia [Scientific notes of the Central Asian Institute of Geology and Mineral Resources], 3, 72–84. (in Russian)
- Rakhimov Sh.Kh. (1978) [Geological and structural conditions of localization of skarn-polymetallic deposits of the Karamazar]. Tashkent, Fan, 142 p. (in Russian).
- Reich M., Deditius A., Chryssoulis S., Li J.W., Ma C.Q., Parada M.A., et al. (2013) Pyrite as a record of hydrothermal fluid evolution in a porphyry copper system: a SIMS/EMPA trace element study. Geochim. Cosmochim. Acta, 104, 42–62.
- Safonov Y.G., Bortnikov N.S., Zlobina T.M., Chernyshev V.F., Dzainukov A.B., Prokof’ev, V.Yu. (2000) Polymetal (Ag, Pb, U, Cu, Bi, Zn, F) Adrasman–Kanimansur ore field (Tadzhikistan) and its ore-forming system. I: Geology, mineralogy, and structural conditions of the ore deposition, Geol. Ore Deposits, 42(3), 175–188.
- Sechevitsa A.M., Ivanov V.V., Ivanov V.N., Danilova N.P., Kondrashova O.V., Kuvshinov V.Ya., Tsibizova A.N. (1990) [Exploration and evaluation of complex deposits of non-ferrous metals]. Moscow, Nedra, 117 p.
- Shikhin Yu.S., Baikov V.N., Ishchenko E.N. Kuznetsov Zh.N., Mikhailov V.V., Pochinok A.A., Shekhtman P.A. (1972) [Geology and ore content of the ore region]. In: Geologiya i mineralnye kompleksy Zapadnogo Karamazara [Geology and mineral complexes of Western Karamazar]. Moscow, Nedra, 18–105.
- Strakhov N.M. (1962) [Fundamentals of the theory of lithogenesis]. Moscow, Akademiya nauk SSSR, 212 p.
- Tooth B., Etschmann B., Pokrovski G.S., Testema-le D., Hazemann J.-L., Grundler P.V., Brugger J. (2013) Bismuth speciation in hydrothermal fluids: An X-ray absorption spectroscopy and solubility study. Geochim. Cosmochim. Acta, 101, 156–172.
- Vlasova M.I., Kotenev M.D., Matyash V.P., Myasnikov V.M. (1972) [Geology and ore content of the ore region]. In: Geologiya i mineralnye kompleksy Zapadnogo Karamazara [Geology and mineral complexes of Western Karamazar]. Moscow, Nedra, 192–229. (in Russian)
- Vol’fson F.I. (1951) [The structure and genesis of lead-zinc deposits of Western Karamazar]. Moscow, Izdatelstvo AN SSSR, 245 p. (in Russian)
- Wei C., Huang Z.L., Yan Z.F., Hu Y.S., Ye L. (2018) Trace element contents in sphalerite from the Nayongzhi Zn-Pb Deposit, Northwestern Guizhou, China. Minerals, 8(11), 490–512.
- Wei C., Ye L., Hu Y., Huang Z., Danyushevsky L., Wang H. (2021) LA-ICP-MS analyses of trace elements in base metal sulfides from carbonate-hosted Zn-Pb deposits, South China: A case study of the Maoping deposit. Ore Geology Reviews, 130(2), 103945
- Wind S.C., Schneider D.A., Hannington M.D., McFarlane C.R.M. (2020) Regional similarities in lead isotopes and trace elements in galena of the Cyclades Mineral District, Greece with implications for the underlying basement. Lithos, 366, 105559.
- Yatimov U.A., Ayupova N.R., Blinov I.A., Kotlyarov V.A. (2019) [Bismuth minerals of sulphide-magnetite ores from the Aktash deposit (Western Karamazar, Tajikistan)]. Mineralogiya [Mineralogy], 5(4), 39–51. (in Russian)
- Yatimov U.A., Ayupova N.R., Maslennikov V.V., Kotlyarov V.A., Shilovskikh V.V. (2022a) Gold–Telluride Mineralization in Pb–Zn–Fe Ores of the Aktash Skarn Deposit (Western Karamazar, Tajikistan). Geology of Ore Deposits, 64(4), 202–220.
- Yatimov U.A., Safaraliev N.S., Shilovskikh V.V., Kotlyarov V.A. (2020) [Tsumoite and pilsenite of the skarn-magnetite deposit Aktash (Western Karamazar)]. Doklady Akademii nauk Respubliki Tadzhikistan [Reports of the Academy of Sciences of the Republic of Tajikistan], 63(9–10), 643–648. (in Russian)
- Yatimov, U.A., Maslennikov, V.V., Ayupova, N.R., Artem’ev, D.A. (2022б) [Trace elements in magnetite as indicators of formation conditions of iron ore of Aktash deposit, Western Karamazar, Tajikistan]. Izvestiya Tomskogo politekhnicheskogo universiteta. Inzhiniring georesursov [Bulletin of the Tomsk Polytechnic University, Geo Assets Engineering], 333(12), 151–167. (in Russian)
- Ye L., Cook N.J., Ciobanu C.L., Liu Y.P., Zhang Q., Liu T.G., Gao W., Yang Y.L., Danyushevskiy L. (2011) Trace and minor elements in sphalerite from base metal deposits in South China: A LA-ICPMS study. Ore Geology Reviews, 39, 188–217.
- Yuan B., Zhang C.Q., Yu H.J., Yang Y.M., Zhao Y.X., Zhu C.C., Ding Q.F., Zhou Y.B., Yang J.C., Xu Y. (2018) Element enrichment characteristics: insights from element geochemistry of sphalerite in Daliangzi Pb-Zn deposit, Sichuan, Southwest China. Journal of Geochemical Exploration, 186, 187–201.
Supplementary files









