Mineralogical-geochemical features of zircon from the Kumir granitic stock, Gorny Altai
- Authors: Gusev A.I.1
-
Affiliations:
- Shukshin Altai State University for Humanities and Pedagogy
- Issue: Vol 8, No 2 (2022)
- Pages: 37-48
- Section: Minerals and mineral assemblages
- URL: https://ogarev-online.ru/2313-545X/article/view/285760
- DOI: https://doi.org/10.35597/2313-545X-2022-8-2-4
- ID: 285760
Cite item
Full Text
Abstract
Data on U-Pb age and composition of zircon from the Kumir granitic stock (Gorny Altai) and related greisens are presented for the first time. The magmatic, metamictic and pneumatolytic-hydrothermal zircons exhibit specific changes in main and trace elements with an increasing content of the high-field strength elemetns (U, Nb, Sc, REE) and decreasing Eu/Eu* and Ce/Ce* ratios. Depending on the composition and activity of volatiles in fluids and O fugacity, the REE contents and their ratios varied that is reflected on the tetrad effect of REE fractionation of М- and W- types.
Keywords
Full Text
Введение
Известно, что циркон ZrSiO4 обнаруживается в широком ряду изверженных кислых пород от пералюминиевых до паралкалиновых (Dai et al., 2011; Liu et al., 2006). Он также является химически и физически устойчивым акцессорным минералом, который также найден в метаморфических (Sláma et al., 2007; Wang, Griffen, 2004) и осадочных породах (Anthony et al., 2003; Shao et al., 2016; Zhou et al., 2015). Циркон является ключевым минералом для понимания геологической истории Земли (Cherniak, Watson, 2003) благодаря двум важным характеристикам: 1) он содержит многичисленные геохимически индикаторные элементы, такие как высокозарядные, редкоземельные (РЗЭ) и радиоактивные (U, Th) (Fourcade, Allegre, 1981; Gromet, Silver, 1983; Harrison et al., 2006), которые обладают противоположным поведением во время магматической кристаллизации (Belousova et al., 2002); и 2) он широко используется в геохронологии, в частности, U-Th-Pb датировании (Williams, 1998).
C Кумирским штоком гранитоидов в Горном Алтае пространственно и парагенетически связано комплексное Кумирское скандий-уран-редкоземельное месторождение. По запасам Sc и РЗЭ оно относится к крупным объектам мирового класса (Гусев, Гусев, 2020). В аляскитовых эгирин-рибекитовых гранитах штока присутствуют магматические и метамиктные цирконы, а в грейзенах Кумирского месторождения фиксируется и гидротермальный циркон. В этой связи стало целесообразным исследовать состав элементов-примесей указанных цирконов и выявить закономерности их поведения в ряду от магматического процесса до пневматолито-гидротермального.
Аналитические методы
Магматогенный и метамиктный цирконы изучены в образцах аляскит-порфиров (КМ-1), пневматолито-гидротермальный циркон изучен в образце кварц-мусковитового грейзена с бериллом и турмалином (Км-1). Пробоподготовка и изотопно-геохронологические исследования выполнены в Центре изотопных исследований ВСЕГЕИ (г. Санкт-Петербург). Изотопные измерения проводились по классической методике (Williams, 1998) на вторично-ионном микрозонде SHRIMP-II. При выборе участков для анализа использовались оптические и катодолюминесцентные наблюдения. U-Pb отношения были нормированы на значение 0.0668 по стандарту Temora, что отвечает возрасту 416.75 млн лет. Погрешность измерений единичных анализов составила 1σ, для расчетных конкордантных возрастов и их пересечений с конкордией – 2σ. Графики были построены в программе ISOPLOT/EX. Нормирование редких элементов и РЗЭ на спайдер-диаграммах проведено по составу примитивной мантии и хондрита, CI, соответственно (McDonough, Sun, 1995). Микроэлементный состав циркона исследован методом ЛА ИСП МС c использованием масс-спектрометра ELEMENT в комплексе с лазерной приставкой UP-213, Nd:YAG фирмы New Wave Research в Аналитическом центре Института геологии и минералогии СО РАН (г. Новосибирск). Порог обнаружения элементов, в среднем, 10 мг/т.
Геологическое строение участка и состав Кумирского штока
Кумирский шток гранитоидов входит в одноименное рудное поле, расположенное в пределах Холзунско-Чуйского тектонического блока и приурочено к наложенной Коргонской вулкано-плутонической структуре (ВТС) (Коргонский прогиб) (рис. 1).
Рис. 1. Структурно-тектоническая схема западной части Алтае-Саянской складчатой области для этапа О1–Р1, составлена автором с использованием материалов (Шокальский и др. 2000).
1, 2 – Структурно-вещественные комплексы активной континентальной окраины: 1 – вулканогенные образования нижнего-среднего девона (базальты, трахибазальты, андезиты, риолиты и их туфы, игнимбриты); 2 – туфогенные образования ордовика-нижнего девона с конгломератами, песчаниками, алевролитами, аргиллитами; 3–5 – коллизионные комплексы: 3 – граниты, умеренно-щелочные граниты (I тип), кварцевые сиениты среднего девона; 4 – габбро, диориты, тоналиты, граниты (I тип) нижнего силура–нижнего девона; 5 – габбро, плагиограниты среднего кембрия; 6 – глубинные разломы; 7 – кремнисто-метабазальтовые океанические образования верхнего кембрия–ордовика.
Прогибы: Т – Тельбесский, АЧ – Ануйско-Чуйский, Л – Лебедской, У – Уйменский. Глубинные разломы: I – Бийский, II – Тельбесский (ответвление Бийского), III – Чарышско-Теректинский; 8 – местоположение Кумирского участка.
Fig. 1. Structural-tectonic scheme of the western part of the Altay-Sayan fold region for the Early Ordovician–Early Permian, composed by the author using materials of (Shokalskii et. al., 2000).
1, 2 – Structural-compositional complexes of active continental margin: 1 – Early to Middle Devonian volcanic rocks (basalts, trachibasalts, andesites, rhyolites, their tuffs and ignimbrites); 2 – Ordovician–Early Devonian tuffaceous rocks with conglomerates, sandstones, siltstones, and claystones; 3–5 collisional complexes: 3 – Middle Devonian granites, moderate alkali granites (I type), quartz syenites; 4 – Early Silurian–Early Devonian gabbro, diorites, tonalites, granites (I type); 5 – Middle Cambrian gabbro, plagiogranites; 6 – deep faults; 7 – Upper Cambrian–Ordovician siliceous-metabasaltic oceanic rocks.
Troughs: Т – Telbes, АЧ – Anuy-Chuya, Л – Lebedskoy, У – Uimen. Deep faults: I – Biya, II – Telbes (branch of the Biya Fault), III – Charysch-Terekta; 8 – location of the Kumir area.
В Коргонской ВТС вулканический разрез имеет трехчленное строение. Нижним членом разреза является ергольская свита (О2), сложенная доминирующими пестроцветными лавами, туфами андезитов, андезибазальтов, базальтов, редко андезидацитов и дацитов. Значительно меньшие объемы занимают пирокластические и вулканогенно-терригенные образования. Мощность свиты составляет 1550 м. Среднюю часть разреза занимают отложения кумирской свиты (О-S?), сложенной песчаниками, алевролитами, сланцами, известняками (в том числе, микритовыми), среди которых отмечаются линзы и прослои лав и туфов андезитов, андезибазальтов, дацитов, риодацитов и риолитов. Мощность кумирской свиты варьирует от 500 до 2800 м. Верхним членом разреза является коргонская свита (D1–2), представленная пестро-окрашенными спекшимися туфами и туфолавами дацитов, риодацитов и риолитов. Общая мощность коргонской свиты варьирует от 5.0 до 5.5 км. Внутренне строение свит усложняется многочисленными телами вулканитов жерловой фации и субвулканическими телами (Коргонский, Щебнюхинский, Красноярский штоки), с которыми связаны месторождения железо-оксидного медно-золоторудного класса (IOCG) и субвулканического золото-серебряного (Холзунское, Коргонское, Красноярское, Щебнюхинское и другие месторождения).
Дискордантный по отношению к вмещающим вулканитам Кумирский шток имеет площадь около 3 км2 и вытянут в северо-восточном направлении и круто погружается в западном (рис. 2). Он состоит из кварцевых порфиров и аляскит-порфиров. Породы экзоконтакта подверглись ороговикованию, скарнированию, грейзенизации, альбитизации и биотитизации. В эндоконтакте штока проявлена интенсивная альбитизация.
Рис. 2. Схематическая геологическая карта Кумирского рудного поля.
1–5 – Кумирская свита: 1 – песчаники; 2 – алевропесчаники; 3 – алевролиты; 4 – мраморы; 5 – дайки фельзитов; 6–8 – породы Кумирского штока: 6 – аляскит-порфиры; 7 – гранит-порфиры; 8 – андезитовые порфириты; 9 – контуры рудных зон (З – Западная, В – Восточная); 10, 11 – скандий-уран-редкоземельные месторождения и проявления.
Fig. 2. Schematic geologic map of the Kumir ore field.
1–5 – Kumir Formation: 1 – sandstones; 2 – silty sandstones; 3 – siltstones; 4 – marbles; 5 – dike of felsites; 6–8 – rocks of the Kumir stock: 6 – porphyritic alaskites; 7 – porphyritic granites; 8 – andesitic porphyrites; 9 – contours of ore zones (З – Western, В – Eastern); 10, 11 – Sc-U-REE deposits and occurrences.
Аляскит-порфир имеет светлую окраску с розоватым оттенком, характеризуется массивной текстурой и порфировой структурой (аплитовой в цементирующей массе породы). Лейкократовые минералы, составляющие 97 % ее объема, представлены калинатровыми полевыми шпатами (альбит, ортоклаз-микропертит, санидин) (65 %) и кварцем (32 %), образующими редкие идиоморфные порфировые вкрапленники, но преимущественно выполняющими цементирующую аплитовидную массу породы. Меланократовые минералы, составляющие порядка 1 % ее объема, представлены идиоморфными зернами эгирина и рибекита, размеры которых почти на порядок превышают размеры зерен цементирующей массы породы. Вторичные минералы представлены серицитом (2 %), развитым за счет фенокристаллов щелочных полевых шпатов и образующим неравномерно рассеянные скопления в кварц-полевошпатовой массе породы. Рудные минералы представлены лейкоксенизированным магнетитом, акцессорные – апатитом, лейкоксеном.
По совокупности петрологических параметров порода лейкократовая, крайне высокоглиноземистая (Al’ = 13.71), принадлежит кислым плутоническим породам щелочного ряда калинатровой серии, относится к семейству щелочных лейкогранитов, соответствует виду щелочной аляскит, разновидности – щелочной эгирин-рибекитовый аляскитпорфир.
Скандиевое, редкоземельное и урановое оруденение представлено грейзеновым и гидротермально-метасоматическим типами среди грейзенизированных пород и пропилитов. Оруденение пространственно связано с умеренно щелочными гранитоидами штока анорогенного А-типа (в эндо-экзоконтактовой части штока сформировалось Кумирское месторождение и проявления Кумирское II, Спартак, Кумирское III). Детальное описание оруденения Кумирского месторождения приведено в работе (Гусев и др., 2009). Дополнительно к ранее известным типам оруденения в 2013 г. при обследовании отвалов и стенок штольни нами выявлен новый тип оруденения, ранее не привлекавший к себе внимания. Это грейзеновая минерализация по ороговикованным песчаникам, где среди окварцованных и грейзенизированных пород совместно с вкрапленностью и гнездами пирита отмечена вкрапленность берилла, турмалина, циннвальдита, литионита, поллуцита с содержанием Li2O 0.1– 0.5 мас. % и Cs2O 0.05–0.3 мас. %. Кроме того, в этих рудах отмечаются повышенные содержания Bi, Be, Sn, Ga, Ce, Zr.
Характеристика циркона из аляскитовых эгирин-рибекитовых гранитов
В изученных гранитоидах присутствуют два типа циркона: кристаллический прозрачный и непрозрачный метамиктный, вероятно, связанный с рудной стадией, когда формировались грейзены во вмещающих терригенно-вулканогенных образованиях кумирской свиты. Третий тип циркона развит в грейзенах, образовавшихся в ороговикованных породах кумирской свиты в контакте с одноименным штоком.
Морфология. В магматогенном цирконе Кумирского массива чаще развиты грани {100} и отсутствуют грани призмы {110}, что указывает на высокую температуру расплава, из которого кристаллизовался циркон (Pupin, Turco, 1972). Метамиктный циркон образует чаще всего призматические выделения, в которых развиты грани {101}. Он часто пористый с углублениями, обязанными процессам растворения. Иногда в нем проявлена осцилляционная зональность, что характерно для метамиктных цирконов (Xu et al., 2012). Циркон из грейзенов Кумирского месторождения имеет дипирамидальный облик, как правило, эвгедральный с хорошо развитыми гранями {111}, близкими по облику к синтетическим кристаллам и гидротермальным цирконам (McNaughton et al., 2005; Schaltegger, 2007).
Состав магматогенного циркона близок к стехиометрическому по соотношению главных компонентов (табл. 1) и характеризуется повышенными концентрациями Y, Hf и пониженными – U, а также повышенной суммой РЗЭ. В некоторых зернах проявлен слабый тетрадный эффект фракционирования РЗЭ М-типа четвертой тетрады (в данном случае анализируется четвертая тетрада, т. к. минерал характеризуется аномалией Ce, что исключает возможность использования среднего значения между первой и третьей тетрадами). Этот эффект указывает на слабую активность фтор-комплексов в магматогенных флюидах (Гусев, Табакаева, 2015). На спайдер-диаграмме отчетливо фиксируются негативные аномалии по Pr и Eu (рис. 3а).
Таблица 1
Химический состав магматогенного циркона Кумирского штока
Table 1
Chemical composition of igneous zircon of the Kumir stock
Компоненты | 1 | 2 | 3 | 4 | 5 | 6 | 7 | 8 | 9 |
SiO2, мас. % | 33.2 | 33.4 | 33.2 | 33.6 | 33.4 | 33.5 | 33.2 | 33.3 | 32.3 |
ZrO2 | 66.2 | 66.1 | 66.2 | 66.1 | 66.1 | 65.8 | 66.1 | 66.1 | 66.8 |
P2O5 | 0.031 | 0.032 | 0.031 | 0.042 | 0.033 | 0.031 | 0.042 | 0.035 | 0.031 |
Sc, г/т | 850 | 108 | 109 | 119 | 95.0 | 92 | 96.0 | 96 | 98.0 |
Ti | 2.50 | 2.60 | 2.30 | 3.1 | 4.20 | 3.3 | 2.90 | 3.0 | 3.20 |
Y | 515 | 488 | 496 | 491 | 492 | 561 | 493 | 491 | 556 |
Nb | 4.51 | 3.60 | 3.20 | 2.76 | 2.60 | 2.9 | 3.85 | 3.52 | 3.94 |
La | 0.75 | 0.91 | 0.92 | 0.98 | 0.93 | 0.94 | 0.97 | 0.82 | 0.79 |
Ce | 41.1 | 39.3 | 39.0 | 40.1 | 39.6 | 39.3 | 39.1 | 44.6 | 39.5 |
Pr | 0.07 | 0.06 | 0.08 | 0.12 | 0.10 | 0.04 | 0.12 | 0.04 | 0.07 |
Nd | 1.60 | 1.4 | 1.42 | 1.17 | 1.19 | 1.3 | 1.23 | 1.34 | 1.22 |
Sm | 4.04 | 3.63 | 3.95 | 3.57 | 4.09 | 4.14 | 3.6 | 4.10 | 4.11 |
Eu | 0.63 | 0.64 | 0.62 | 0.61 | 0.7 | 0.59 | 0.63 | 1.03 | 0.77 |
Gd | 10.3 | 8.80 | 9.10 | 8.9 | 10.3 | 10.4 | 10.5 | 11.0 | 10.3 |
Tb | 3.06 | 2.80 | 2.50 | 2.55 | 2.8 | 3.03 | 3.2 | 3.4 | 3.31 |
Dy | 39.3 | 41.2 | 44.3 | 38.8 | 37.2 | 42.3 | 42.6 | 44.0 | 43.1 |
Ho | 14.0 | 13.1 | 14.1 | 11.6 | 13.5 | 14.1 | 14.8 | 14.3 | 14.1 |
Er | 82.3 | 72.6 | 77.1 | 72.8 | 72.6 | 86.5 | 87.4 | 91.0 | 89.4 |
Tm | 19.9 | 17.6 | 17.9 | 17.4 | 18.8 | 22.4 | 22.1 | 22.7 | 23.0 |
Yb | 205 | 184 | 193 | 184 | 182 | 221 | 223 | 233 | 225 |
Lu | 42.3 | 36.1 | 34.0 | 32.9 | 41.1 | 50.3 | 48.2 | 51.2 | 49.2 |
Hf | 9890 | 9879 | 9940 | 9880 | 9960 | 9997 | 9711 | 9975 | 9980 |
Ta | 0.98 | 0.82 | 0.79 | 0.76 | 0.89 | 0.92 | 1.01 | 1.01 | 0.98 |
Pb | 9.90 | 8.90 | 9.80 | 8.90 | 10.1 | 8.6 | 9.10 | 10.6 | 8.90 |
Th | 190 | 356 | 531 | 289 | 248 | 292 | 191 | 227 | 193 |
U | 546 | 803 | 805 | 876 | 886 | 875 | 801 | 882 | 880 |
∑РЗЭ | 549.3 | 457.6 | 546.9 | 534.5 | 519.9 | 588.3 | 593.4 | 618.5 | 601.9 |
Th/U | 0.35 | 0.44 | 0.66 | 0.33 | 0.28 | 0.33 | 0.24 | 0.26 | 0.22 |
(La/Yb)N | 0.0025 | 0.0033 | 0.0032 | 0.0031 | 0.0023 | 0.0019 | 0.002 | 0.0024 | 0.0017 |
Eu/Eu* | 0.28 | 0.33 | 0.304 | 0.31 | 0.31 | 0.26 | 0.29 | 0.44 | 0.34 |
Ce/Ce* | 34.38 | 28.6 | 26.7 | 23.7 | 25.6 | 29.1 | 23.9 | 37.1 | 31.7 |
Y/Ho | 36.8 | 37.2 | 35.2 | 42.3 | 36.7 | 39.8 | 33.3 | 34.3 | 39.4 |
ТЕ4 | 1.01 | 1.11 | 1.14 | 1.15 | 1.07 | 1.06 | 1.08 | 1.06 | 1.08 |
Примечание. Здесь и в табл. 2, 3 содержания элементов нормализованы по хондриту CI (McDonough, Sun, 1995). Eu* = (SmN + GdN) / 2, нормализовано по (McDonough, Sun, 1995); ТЕ4 – тетрадный эффект фракционирования РЗЭ четвертой тетрады по (Irber, 1999).
Note. Here and in Tables 2, 3, the contents of elements are normalized to chondrites СI (McDonough, Sun, 1995). Eu* = (SmN + GdN) / 2, normalized after (McDonough, Sun, 1995); ТЕ4 – tetrad effect of REE fractionation of the forth tetrad after (Irber, 1999).
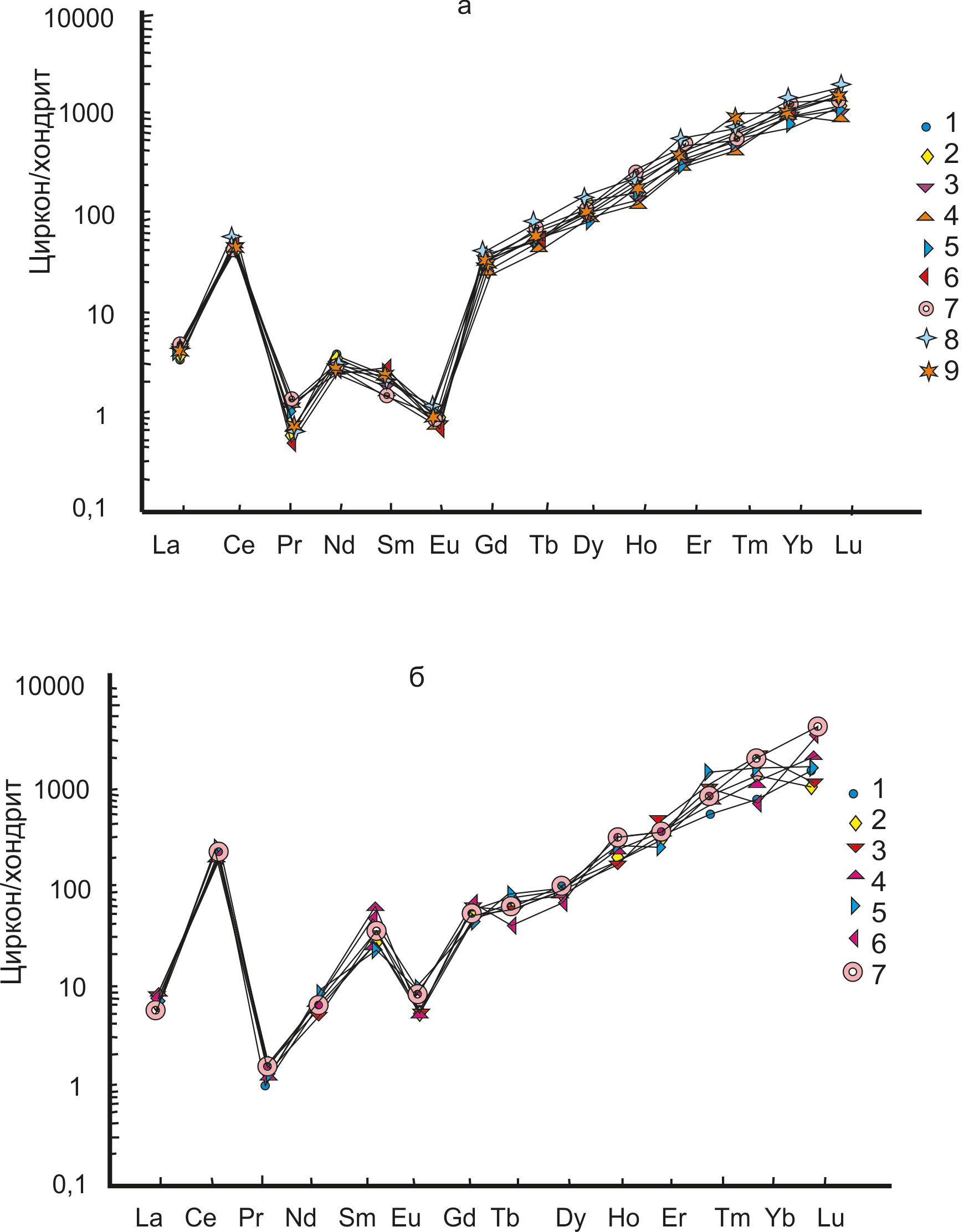
Рис. 3. Хондрит-нормализованные спектры распределения РЗЭ в магматогенном (а) и метамиктном (б) цирконах Кумирского штока.
Условные обозначения соответствуют номерам проб в табл. 1 и 2.
Fig. 3. Chondrite-normalized REE patterns of igneous (a) and metamict (б) zircons of the Kumir stock.
Numbers correspond to those in Tables 1 and 2.
В отличие от магматогенного метамиктный циркон обладает пониженными содержаниями Zr, Y и Hf и повышенными – U, а также суммарными содержаниями РЗЭ и отношения Ce/Ce* (табл. 2). Спектры распределения РЗЭ свидетельствуют об отрицательных аномалиях Pr и Eu и положительной – Sm (рис. 3б). Тетрадный эффект фракционирования РЗЭ М-типа четвертой тетрады значительно выше в отдельных зернах минерала, что указывает на значительно более высокую активность фтор-комплексов в перераспределении РЗЭ в условиях воздействия гидротермальных флюидов на магматогенный циркон.
Таблица 2
Химический состав метамиктного циркона Кумирского штока
Table 2
Chemical composition of metamict zircon of the Kumir stock
Компоненты | 1 | 2 | 3 | 4 | 5 | 6 | 7 |
SiO2, мас. % | 31.2 | 31.4 | 31.8 | 32.6 | 32.4 | 32.5 | 32.2 |
ZrO2 | 64.2 | 64.1 | 64.2 | 63.1 | 63.1 | 63.8 | 63.1 |
P2O5 | 0.033 | 0.03 | 0.033 | 0.043 | 0.03 | 0.033 | 0.042 |
Sc, г/т | 135 | 163 | 161 | 150 | 155 | 105 | 104 |
Ti | 12.5 | 12.6 | 12.3 | 13.1 | 14.2 | 13.3 | 12.9 |
Y | 51.0 | 48.0 | 49.6 | 49.3 | 49.2 | 36.1 | 49.5 |
Nb | 14.5 | 13.1 | 13.2 | 12.7 | 12.6 | 12.1 | 13.8 |
La | 1.75 | 1.91 | 1.92 | 1.98 | 1.93 | 1.94 | 1.7 |
Ce | 141.1 | 139.1 | 139.0 | 140.1 | 159.6 | 139.3 | 159.1 |
Pr | 0.10 | 0.16 | 0.13 | 0.12 | 0.11 | 0.14 | 0.15 |
Nd | 3.60 | 3.40 | 3.20 | 3.70 | 3.90 | 3.30 | 3.25 |
Sm | 6.64 | 6.65 | 6.90 | 6.70 | 6.50 | 6.40 | 6.6 |
Eu | 0.53 | 0.50 | 0.52 | 0.51 | 0.57 | 0.50 | 0.53 |
Gd | 12.3 | 12.8 | 15.1 | 18.9 | 15.3 | 15.4 | 15.5 |
Tb | 3.60 | 3.80 | 3.50 | 3.55 | 3.8 | 3.3 | 3.5 |
Dy | 45.3 | 41.5 | 45.3 | 44.8 | 44.2 | 42.4 | 42.4 |
Ho | 11.0 | 11.1 | 10.1 | 11.0 | 12.4 | 14.1 | 14.2 |
Er | 92.3 | 92.6 | 97.1 | 92.8 | 72.9 | 86.9 | 87.9 |
Tm | 29.9 | 27.6 | 27.9 | 27.4 | 28.8 | 22.4 | 22.5 |
Yb | 225 | 284 | 293 | 282 | 284 | 224 | 225 |
Lu | 40.3 | 30.1 | 30.5 | 42.9 | 41.4 | 54.3 | 58.2 |
Hf | 890 | 979 | 994 | 880 | 960 | 897 | 978 |
Ta | 5.98 | 5.20 | 3.70 | 3.60 | 3.80 | 3.90 | 3.10 |
Pb | 19.9 | 18.9 | 11.8 | 11.9 | 10.1 | 18.6 | 19.1 |
Th | 290 | 255 | 231 | 229 | 228 | 222 | 251 |
U | 956 | 1009 | 1155 | 1156 | 1136 | 1172 | 1101 |
∑РЗЭ | 664.4 | 703.2 | 723.8 | 725.7 | 724.6 | 650.5 | 690.03 |
Th/U | 0.303 | 0.25 | 0.2 | 0.198 | 0.2 | 0.189 | 0.23 |
(La/Yb)N | 0.0053 | 0.0045 | 0.0044 | 0.0047 | 0.0046 | 0.0059 | 0.0051 |
Eu/Eu* | 0.176 | 0.162 | 0.15 | 0.129 | 0.147 | 0.147 | 0.154 |
Ce/Ce* | 54.2 | 49.76 | 47.7 | 47.7 | 56.0 | 46.8 | 59.0 |
Y/Ho | 4.64 | 4.32 | 4.9 | 4.48 | 3.97 | 2.56 | 3.48 |
ТЕ4 | 1.16 | 1.67 | 1.65 | 1.38 | 1.64 | 1.03 | 0.99 |
Циркон из грейзенов характеризуется резким увеличением концентраций U, Nb, Sc, ∑РЗЭ и уменьшением отношений Eu/Eu* и Ce/Ce* (табл. 3). В отдельных индивидах циркона проявлен тетрадный эффект фракционирования РЗЭ М- и W-типов, что указывает на активную роль таких летучих компонентов, как H2O и F. В спектре распределения РЗЭ наблюдается отрицательная аномалия Eu, но исчезает положительная аномалия Ce за счет относительного увеличения концентраций легких РЗЭ и их перераспределения (рис. 4).
Таблица 3
Химический состав циркона из грейзенов Кумирского месторождения
Table 3
Chemical composition of zircon from greisens of the Kumir deposit
Компоненты | 1 | 2 | 3 | 4 | 5 | 6 | 7 | 8 |
SiO2 | 33.4 | 33.6 | 33.5 | 33.1 | 33.3 | 33.1 | 33.8 | 33.4 |
ZrO2 | 65.8 | 65.3 | 65.8 | 66.4 | 66.2 | 66.3 | 65.9 | 65.5 |
P2O5 | 0.04 | 0.04 | 0.05 | 0.05 | 0.04 | 0.04 | 0.03 | 0.02 |
Sc | 155 | 157 | 146 | 153 | 168 | 155 | 151 | 159 |
Ti | 435 | 485 | 458 | 370 | 396 | 303 | 408 | 407 |
Y | 57.4 | 57.3 | 53.4 | 43.8 | 44.7 | 53.1 | 52.4 | 51.3 |
Nb | 42.1 | 42.8 | 43.0 | 43.3 | 52.1 | 53.2 | 54.1 | 54.0 |
La | 29.9 | 39.1 | 52.8 | 49.7 | 63.0 | 54.3 | 44.4 | 68.7 |
Ce | 381.6 | 454.4 | 521.9 | 630.7 | 659.3 | 534.7 | 446.8 | 528.0 |
Pr | 66.1 | 63.2 | 63.3 | 101.4 | 93.8 | 59.3 | 96.3 | 87.1 |
Nd | 141.6 | 244.8 | 221.5 | 149.3 | 218.4 | 217.1 | 163.9 | 145.4 |
Sm | 42.4 | 50.6 | 41.9 | 61.7 | 52.9 | 62.4 | 61.9 | 72.7 |
Eu | 0.73 | 0.75 | 0.67 | 0.77 | 0.87 | 0.65 | 0.88 | 1.10 |
Gd | 54.1 | 58.3 | 48.0 | 67.6 | 88.5 | 101.6 | 102.1 | 190.1 |
Tb | 34.8 | 41.5 | 52.3 | 52.1 | 52.4 | 53.2 | 53.8 | 53.7 |
Dy | 449.2 | 434.7 | 356.1 | 326.8 | 248.3 | 243.1 | 345.8 | 443.1 |
Ho | 113.0 | 210.1 | 211.8 | 212.1 | 213.9 | 216.1 | 147.6 | 217.5 |
Er | 395.8 | 452.8 | 378.4 | 262.5 | 364.5 | 389.1 | 396.3 | 492.1 |
Tm | 129.1 | 115.8 | 136.4 | 135.7 | 148.1 | 213.7 | 212.2 | 221.8 |
Yb | 493.7 | 359.7 | 476.8 | 358.5 | 389.7 | 240.7 | 328.3 | 330.8 |
Lu | 140.8 | 142.4 | 134.1 | 136.1 | 140.3 | 149.3 | 148.1 | 150.7 |
Hf | 4894 | 4891 | 4983 | 4995 | 4993 | 4894 | 4991 | 4894 |
Ta | 39.1 | 29.2 | 28.8 | 19.2 | 19.7 | 19.6 | 18.3 | 16.5 |
Pb | 29.9 | 36.2 | 91.7 | 67.4 | 60.9 | 59.2 | 58.8 | 51.3 |
Th | 191.8 | 186.6 | 215.8 | 186.9 | 240.5 | 182.9 | 190.2 | 234.8 |
U | 1218 | 1120 | 1315 | 1365 | 1382 | 1401 | 1424 | 1441 |
∑РЗЭ | 2530.2 | 2725.4 | 2749.4 | 2588.8 | 2778.7 | 2588.3 | 2600.8 | 3054.1 |
Th/U | 0.157 | 0.167 | 0.164 | 0.137 | 0.174 | 0.13 | 0.133 | 0.163 |
(La/Yb)N | 0.046 | 0.074 | 0.075 | 0.094 | 0.109 | 0.249 | 0.092 | 0.141 |
Eu/Eu* | 0.041 | 0.042 | 0.045 | 0.036 | 0.038 | 0.025 | 0.033 | 0.027 |
Ce/Ce* | 1.48 | 1.75 | 1.88 | 1.2 | 1.68 | 2.0 | 0.75 | 1.4 |
Y/Ho | 0.51 | 0.27 | 0.25 | 0.21 | 0.21 | 0.24 | 0.36 | 0.27 |
TE4 | 1.06 | 0.8 | 1.13 | 1.16 | 1.06 | 0.73 | 1.08 | 0.99 |
Рис. 4. Хондрит-нормализованные спектры распределения РЗЭ в цирконах из грейзенов Кумирского месторождения.
Условные обозначения соответствуют номерам проб в табл. 3.
Fig. 4. Chondrite-normalized REE patterns of zircons from greisens of the Kumir deposit.
Numbers correspond to those in Table 3.
Возраст. Чистые зерна магматического циркона (точки КМ-1.1.1, 1.6.1, 1.7.1, 1.8.1, 1.9.1, рис. 5) показали конкордантный возраст 421 ± 16 млн лет (MSWD = 0.037, рис. 6).
Рис. 5. Катодолюминесцентное изображение цирконов из эгирин-рибекитовых аляскит-порфиров Кумирского штока (проба КМ-1).
Fig. 5. Cathodoluminescent images of zircons from aegirine-riebeckite porphyritic alaskite of the Kumir stock (sample KМ-1).
Рис. 6. Диаграммы с конкордией для цирконов из пробы КМ-1.
Fig. 6. Concordia diagrams for zircon from sample KМ-1.
Обсуждение
Ярко проявленная положительная аномалия Ce в магматогенном цирконе указывает на окислительные условия его кристаллизации (Hinton, Upton, 1991), связанные с тем, что коэффициенты распределения ионов Ce4+ и Ce3+ в системе циркон-расплав оптимальны в условиях повышенной фугитивности кислорода. При повышенной фугитивности кислорода Ce окисляется до Ce4+ и входит в решетку циркона изоморфно. В то же время, Ce3+ некогерентен в кислом расплаве и требует дополнительных замещений в структуре циркона, что энергетически не выгодно. Европий не когерентен и потому концентрируется в расплаве. В итоге возникает положительная Ce и отрицательная Eu аномалии в цирконе. Это подтверждается также и отрицательной аномалией Eu в цирконе Кумирского штока, которая оптимальна при повышенных значениях fO2 (Burnham, Berry, 2012).
Из высокозарядных элементов в различных типах циркона чаще всего анализируется поведение РЗЭ, Nb, Ta, U, Th, Rb, Sr, Hf и Re (Belousova et al., 2002; Hinton, Upton, 1991; Zhou et al., 2015). Скандий, также входящий в группу высокозарядных элементов, анализируется реже. В отличие от других объектов, связанных с анорогенными гранитоидами, Кумирское месторождение с комплексными рудами имеет повышенные концентрации Sc, которые коррелируют с РЗЭ, поэтому логично оценить особенности поведения Sc в магматогенном цирконе. Известно, что поведение Sc, как и многих других редких и редкоземельных элементов в магматогенных флюидах, тесно связано с поведением летучих компонентов, таких как F, B, Li. Поскольку в цирконах Кумира проявлен тетрадный эффект фракционирования РЗЭ М-типа, обусловленный активностью фтор-комплексов, нами проанализировано поведение Sc в зависимости от величин тетрадного эффекта (рис. 7). Тренд увеличения концентраций Sc в цирконе прямо зависит от величины тетрадного эффекта М-типа. На диаграмме Eu/Eu*–TE4 также наблюдается увеличение значений Eu/Eu* с повышением величин тетрадного эффекта (рис. 8). Согласно ряду кислотности-щелочности Sm, Gd и Eu в растворах при стандартных условиях это увеличение отвечает повышению кислотности среды (Маракушев, 1976). Следовательно, среда при кристаллизации циркона, при которой происходило увеличение содержания Sc в цирконе Кумирского штока, помимо высокой окисленности характеризовалась и увеличением кислотности. Последующие процессы перехода от магматической к пневматолито-гидротермальной фазе приводили к метамиктизации циркона. Его кристаллизация в грейзенах связана с флюидами, в которых помимо фтора важную роль играла водная составляющая.
Рис. 7. Диаграмма Sc–TE4 для магматогенного циркона Кумирского штока.
Содержание Sc в углистых хондритах по (Wasson, Kallemeyn, 1988), средние содержания Sc в изверженных породах по (Виноградов, 1962).
Здесь и на рис. 8, условные обозначения соответствуют номерам проб в табл. 1.
Fig. 7. Sc–TE4 diagram for igneous zircons of the Kumir stock.
The Sc contents in carbonaceous chondrites after (Wasson, Kallemeyn, 1988); the average Sc contents of igneous rocks after (Vinogradov, 1962).
Here and in Fig. 8, numbers correspond to those in Table 1.
Рис. 8. Диаграмма Eu/Eu*–TE4 для магматогенного циркона Кумирского штока.
Fig. 8. Eu/Eu*–TE4 diagram for igneous zircon of the Kumir stock.
В совокупности с геологическими данными конкордантный возраст 421 ± 16 млн лет свидетельствует о правомерности отнесения Кумирского штока, наряду с другими многочисленными субвулканическими телами в северной периферической полосе Коргонского прогиба, к лудловскому ярусу позднего силура и более позднему раннему девону, связанному с наложенным коргонским вулканическим комплексом. Отдельные зерна прозрачного зонального циркона магматического облика с древними значениями возраста на уровне палеопротерозоя и даже неоархея являются ксеногенными и свидетельствуют о наличии докембрийских пород в области магмогенерации Кумирского штока.
Заключение
В результате исследований минеральных особенностей и распределения редких и редкоземельных элементов установлено, что в аляскит-порфирах Кумирского штока в Горном Алтае присутствуют два типа цирконов, один из которых, вероятно, синхронен образованию породы: он прозрачный, призматический и практически стехиометричен по составу. Второй тип характеризуется другой морфологией, непрозрачен и содержит повышенные концентрации U, из-за чего становится метамиктным, и должен быть отнесен к пневматолито-гидротермальному этапу становления штока. По направлению от магматогенного к пневматолито-гидротермальному циркону установлены закономерные изменения его составов в зависимости от физико-химических изменений среды кристаллизации, а также флюидного режима процессов. В этом же направлении наблюдается увеличение концентраций высокозарядных элементов, в том числе и Sc, на фоне увеличения активности водных флюидов. Накопление Sc и других высокозарядных элементов в цирконе происходило при повышении кислотности среды и фугитивности кислорода.
About the authors
A. I. Gusev
Shukshin Altai State University for Humanities and Pedagogy
Author for correspondence.
Email: anzerg@mail.ru
Russian Federation, Biysk, Altay krai, 659333
References
- Anthony J.W., Bideaux R.A, Bladh K.W, Nichols M.C. (2003) Handbook of mineralogy. Mineralogical Society of America, Chantilly, 565 p.
- Belousova E.A., Griffin W.L., O’Reilly S.Y., Fisher N.I. (2002) Igneous zircon: trace element composition as an indicator of source rock type. Contribution to Mineralogy and Petrology, 143(3), 602–622.
- Burnham A.D., Berry A.J. (2012) An experimental study of trace element portioning between zircon and melt as function of oxygen fugacity. Geochimica et Cosmochimica Acta, 95(10), 196–212.
- Cherniak D.J., Watson E.B. (2003) Diffusion in zircon. Reviews in Mineralogy and Geochemistry, 53(1), 113–143.
- Dai J.G., Wang C.S., Hébert R., Li Y.L., Zhong H.T., Guillaume R., Bezard R., Wei Y.S. (2011) Late Devonian OIB alkaline gabbro in the Yarlung Zangbo Suture Zone: Remnants of the Paleo-Tethys? Gondwana Research, 19 (1), 232–243.
- Fourcade S., Allegre C.J. (1981) Trace elements behavior in granite genesis: a case study. The calc-alkaline plutonic association from the Querigut complex (Pyrenees, France). Contribution to Mineralogy and Petrology, 76(2), 177–195.
- Gromet L.P., Silver L.T. (1983) Rare earth element distributions among minerals in a granodiorite and their petrogenetic implications. Geochimica et Cosmochimica Acta, 47(5), 925–939.
- Gusev A.I., Gusev N.I. (2020) [REE mineralization of the Korgon Trough]. Prirodnye resursy Gornogo Altaya: geologiya, geofizika, ekologiay, mineral’nye, vodnye i lesnye resursy Altaya [Natural Resources of Gorny Altai: Geology, Geophysics, Ecology, Mineral, Water and Forest Resources of Altai], (1–2), 5–12 (in Russian).
- Gusev A.I., Gusev N.I., Efimova I.V. (2009) [Magmatism and ore mineralization of Kumir ore field, Gorny Altai]. Rudy i metally [Ores and Metals], (6), 21–28 (in Russian).
- Gusev A.I., Tabakaeva E.M. (2015) [Petrology, geochemistry and genesis of anorogenic granitoids]. Hamburg: Palmarium Academic Publishing, 261 p. (in Russian).
- Harrison T.M., Watson E.B., Rapp R.P. (2006) Does anataxis deplete the lower crust in heat producing elements? Implications from experimental studies. Trans American Geophysical Union (EOS), 67(5), 386.
- Hinton R.W., Upton G.J. (1991) The chemistry of zircon: variation within and between large crystals from syenite and alkali basalt xenoliths. Geochimica et Cosmochimica Acta, 55(2), 3287—3302.
- Irber W. (1999) The lanthanide tetrad effect and its correlation with K/Rb, Eu/Eu*, Sr/Eu, Y/Ho, and Zr/Hf of evolving peraluminous granite suites. Geochim Comochim Acta,.63(2),. 489-508.
- Liu Y.C., Li S.G., Gu X.F., Hou Z.H. (2006) Zircon SHRIMP U-Pb dating for olivine gabbro at Wangmuguan in the Beihuaiyang zone and its geological significance. Chinа Science Bulletin, 51(11), 2500–2506.
- Marakushev A.A. (1976) [Thermodynamic factors of formation of ore zoning]. In: Termodinamicheskie faktory obrazovaniya rudnoi zonalnosti skrytogo orudeneniya na osnove zonalnosty gidrotermalnykh mestorozhndeniy [Thermodynamic Factors of Formation of Blind Ore Zonation on the Basis of Zonation of Hydrothermal Deposits]. Moscow, Nauka, 36–51 (in Russian).
- McDonough W.F., Sun S. (1995) The composition of the Earth. Chemical Geology, 120(3–4), 223–253.
- McNaughton N.J. Mueller A.G., Groves D.I. (2005) The age of the giant Golden Mile deposit, Kalgoorlie, Western Australia: ion-microprobe zircon and monazite U-Pb geochronology of a synmineralization lamprophyre dike. Economic Geology, 100(7), 1427–1440.
- Pupin J.P., Turco G. (1972) Unetypologie originale du zircon accessoire. Bulletin de la Société Française de Minéralogie et de Cristallographie, 95(3), 348–359.
- Shao T., Cheng N., Song M. (2016) Provenance and tectonic-paleogeographic evolution: Constraints from detrital zircon U-Pb ages of Late Triassic-Early Jurassic deposits in the northern Sichuan basin, central China. Journal of Asian Earth Sciences, 127(1), 12–31.
- Schaltegger U. (2007) Hydrothermal zircon. Elements, 3(1), 51–68.
- Shokalskii S.P., Babin G.A., Vladimirov A.G., Borisov S.M. (2000) [Correlation of igneous and methamorphic complexes of the western part of the Altai-Sayan fold region]. Novosibirsk, SO RAN, filial «Geo», 187 p. (in Russian).
- Sláma J., Košler J., Pedersen R.B. (2007) Behaviour of zircon in high-grade metamorphic rocks: evidence from Hf isotopes, trace elements and textural studies. Contribution to Mineralogy and Petrology, 154(3), 335–356.
- Vinogradov A.P. (1962) [Average contents of chemical elements in main types of igneous rocks of the Earth’s crust]. Geokhimiya [Geochemistry], (7), 555–572. in Russian).
- Wang X., Griffen W.L. (2004) Unusual Hf contents in metamorphic zircon from coesite-bearing eclogites of the Dabie Mountains, east-central China: implications for the dating of ultrahigh pressure metamorphism. Journal of Metamorphic Geology, 22(7), 629–637.
- Wasson J.T., Kallemeyn G.W. (1988) Mean composition of the chondrite groups. Philosophy Transactions Royal Society London, 5(7), 535–544.
- Williams I.S. (1998) U-Th-Pb geochronology by ion microprobe. Reviews in Economic Geology, 7(1), 1–35.
- Xu X-S., Zhang M., Zhu K-Y., Chen X-M., He Z-Y. (2012) Reverse age zonation of zircon formed by metamictisation and hydrothermal fluid leaching. Lithos, 150(4), 256–267.
- Zhou Y., Liang X.Q., Liang X.R., Jiang Y., Wang C., Fu J.G., Shao T. (2015) U-Pb geochronology and Hf-isotopes on detrital zircons of Lower Paleozoic strata from Hainan Island: new clues for the early crustal evolution of southeastern South China. Gondwana Research, 27(4), 1586–1598.
Supplementary files









