Изучение закономерностей аккумуляции радиоизотопов природного и техногенного происхождения на примере надземной части полыни горькой флоры урбанизированных территорий Центрального Черноземья
- Авторы: Дьякова Н.А.1
-
Учреждения:
- Воронежский государственный университет
- Выпуск: № 2 (2024)
- Страницы: 15-24
- Раздел: Экология растений
- URL: https://ogarev-online.ru/2311-1402/article/view/260495
- DOI: https://doi.org/10.36906/2311-4444/24-2/02
- ID: 260495
Цитировать
Полный текст
Аннотация
Радионуклиды в настоящий момент к наиболее опасным экотоксикантов, в силу их высокой устойчивости, широкого распространения, способности к биогенным миграциям и кумуляции в живых организмах. Целью настоящего исследования являлось изучение закономерностей аккумуляции радионуклидов природного и техногенного происхождения в синантропной флоре Воронежской области на примере надземной части полыни горькой (Artemisia absinthium L.). Все изученные образцы растительного сырья, заготовленные в естественных и искусственных фитоценозах Воронежской области, соответствует существующим требованиям радиационной безопасности (первая группа). Корреляционный анализ удельной активности природных и техногенных радионуклидов в почве и надземной части полыни горькой показал наличие тесной взаимосвязи между данными числовыми показателями, что подтвердило преимущественное транспочвенное их загрязнение. Полученные результаты исследования показали, что при увеличении удельной активности природных и техногенных радионуклидов в почве возрастала их удельная активность в надземной части полыни горькой. Коэффициенты накопления стронция-90, цезия-137, калия-40 из почв в надземной части полыни горькой имели тенденцию к снижению по мере увеличения удельной активности радионуклидов в почве, что указывает на наличие физиологических механизмов регуляции их поступления в растение, а тория-232, радия-226 – напротив, возрастали, что свидетельствует о высоких фиторемедиационных способностях вида в отношении данных изотопов. Впервые выявленные в результате исследования закономерности и математические зависимости накопления техногенных и природных радионуклидов в надземной части полыни горькой позволяют прогнозировать особенности загрязнения растительного сырья данными экотоксикантами.
Ключевые слова
Полный текст
Введение. Радионуклиды в настоящий момент относятся к наиболее опасным экотоксикантам, в силу их высокой устойчивости, широкого распространения, способности к биогенным миграциям и кумуляции в живых организмах. Учитывать особенности накопления в лекарственном растительном сырье (ЛРС) радионуклидов необходимо, так как некоторые растения способны проявлять способность к аккумуляции данных экотоксикантов, как техногенного (цезия-137 (Cs-137), стронций-90 (Sr-90)), так и природного происхождения (торий-232 (Th-232), радий-226 (Ra-226), калий-40 (К-40)), активно мигрирующих по биологической цепи «почва → ЛРС → лекарственный препарат → организм человека» [1; 22].
Работы, касающиеся оценки качества ЛРС Воронежской области, относящегося к стратегически важным районам растениеводства, в настоящее время единичны и несистематизированы. В предшествующих отечественных и зарубежных экологических исследованиях ЛРС показана различная тропность лекарственных растений к аккумуляции поллютантов из почв, приводимые данные сильно разнятся, что может быть связано с особенностями почв, а также способностью растениями аккумулировать некоторые биогенные элементы и блокировать чрезмерное накопление фитотоксичных соединений [6; 10; 16]. Почвы Воронежской области представлены преимущественно черноземами, отличающимися высокими концентрациями гумуса и прочих органических веществ, что обусловливает прочную абсорбцию радиоизотопов [9].
Полынь горькая (Artemisia absinthium L.) является рудеральным синантропным видом, представляющим собой многолетнее травянистое растение. Сырье заготавливается от дикорастущих особей. На территории РФ полынь горькая распространена практически повсеместно, особенно в лесной, лесостепной, степной зонах, активно формирует фитоценозы при зарастании карьеров и отвалов. Полынь горькая устойчива к засухам и морозам. Относится к эвгалофитам [15; 17; 23].
Анализ литературных данных позволил выявить отдельные экологические исследования качества растительных ресурсов на примере полыни горькой. К настоящему времени подробно изучены особенности накопления токсичных элементов в надземной части (траве) полыни горькой [2; 3; 8; 14; 18-21; 24]. В частности, на примере Воронежской области выявлено, что надземная часть полыни горькой способна аккумулировать некоторые металлы (цинк, медь), если их концентрация в почве ниже жизненно необходимого уровня, а также блокировать их накопление, если содержание металлов в почвах высоко. Это указывает на формирование в условиях техногенного загрязнения и адаптации к данным условиям эдафотипа полыни горькой [8].
Особенности накопления радионуклидов для данного вида практически не изучены. Исследования по накоплению радиоизотопов на примере флоры Белгородской области показали высокую аккумулирующую способность Cs-137 в надземной части полыни горькой (160 Бк/кг) [13].
Цель исследования – изучение закономерностей аккумуляции радионуклидов природного и техногенного происхождения в синантропной флоре Воронежской области на примере надземной части полыни горькой (Artemisia absinthium L.).
Материалы и методы исследования. Для исследования использовали разные по характеру антропогенного воздействия территории Воронежской области: промышленные предприятия (рис. 1: 23, 24, 28); теплоэлектроцентраль (рис. 1: 27); атомная электростанция (АЭС) (рис. 1: 8); аэропорт (рис. 1: 30); улица г. Воронежа (рис. 1: 31); высоковольтные линии электропередач (рис. 1: 9); водохранилище (рис. 1: 29); городские населенные пункты (рис. 1: 25, 26); медно-никелевое месторождения (рис. 1: 4); зоны загрязнения после аварии на Чернобыльской АЭС (рис. 1: 5-7); районы активного растениеводства (рис. 1: 10-22); дороги разной степени загруженности: трасса М4 (рис. 1: 32, 34), трасса А144 (рис. 1: 33), проселочная (рис. 1: 35) и железная дороги (рис. 1: 36); зоны контроля: Воронежский биосферный заповедник (рис. 1: 1), Хоперский заповедник (рис. 1: 2), Теллермановский лес (рис. 1: 3).
Рис. 1. Карта-схема отбора образцов почв и надземной части полыни горькой (обозначения описаны в тексте)
В качестве объекта исследования использовали надземную часть полыни горькой (Artemisia absinthium L.), которую заготавливали в соответствии с ФС. 2.5.0033.15 «Полыни горькой трава», в период цветения растения, аккуратно срезали, сушили теневым способом тонким слоем при хорошей вентиляции, периодически переворачивая. Биомасса каждой пробы (в пересчете на абсолютно сухое сырье) составляла не менее 100 г. Также отбирали пробы поверхностных слоев почвы (0–10 см от поверхности) на всех исследуемых пробных площадках методом конверта [7].
Анализ образцов проводили на спектрометре МКГБ-01 «РАДЭК» (НТЦ «РАДЭК», Россия). Определение удельной активности радиоизтопов в почве осуществляли по МР 2.6.1/2.3.7.0216-20, в ЛРС – по ОФС.1.5.3.0001 (1 вариант измерений) [21]. Измеряли удельную активность основных техногенных (Sr-90, Cs-137) и природных (К-40, Ra-226, Th-232) радиоизотопов. Каждое определение проводили троекратно. Полученные результаты измерений обрабатывали статистически при доверительной вероятности 95%.
Для оценки аккумулирующей активности природных и техногенных радиоизотопов надземной частью полыни горькой из почв рассчитывали коэффициенты накопления (КН):
,
где СЛРС – удельная активность радиоизотопа в надземной части полыни горькой; Бк/кг
СВСП – удельная активность радиоизотопа в почве; Бк/кг [6; 9].
Результаты исследования и их обсуждение. Удельная активность Sr-90 в надземной части полыни горькой варьировала в диапазоне 3,7–7,2 Бк/кг, что в значительно (в десятки раз) меньше предела допустимого содержания радионуклида в ЛРС, установленного ГФ XV в 200 Бк/кг. Удельная активность Cs-137, характеризующаяся числовыми значениями 27,6–120,4 Бк/кг, также не превышала установленных норм (400 Бк/кг). Значения суммы показателя соответствия требованиям радиационной безопасности и погрешности его определения для надземной части полыни горькой, составили 0,09–0,33, что не превышало 1,0 и позволило считать все заготовленные на территории Воронежской области образцы надземной части полыни горькой соответствующим критерию радиационной безопасности (первая группа) [5; 11; 12].
Аккумуляция Th-232 в надземной части полыни горькой характеризовалась диапазоном удельной активности 4,5–16,1 Бк/кг. Накопление в надземной части полыни горькой К-40 составило 514-1488 Бк/кг. Удельная активность Ra-226 отмечена на уровне 3,1–10,5 Бк/кг [11].
Корреляционный анализ зависимости удельной активности природных и техногенных радиоизтопов в почве и надземной части полыни горькой (табл.) показал наличие весьма заметной взаимосвязи для К-40, Sr-90, Cs-137, Ra-226, и заметной – для Th-232, что указывает на преимущественное транспочвенное загрязнение ими растительного сырья.
Таблица. Коэффициенты корреляции между показателями удельной активности радиоизотопов в почве и надземной части полыни горькой
Радиоизотоп | Sr-90 | Cs-137 | К-40 | Ra-226 | Th-232 |
Коэффициент корреляции | 0,86 | 0,93 | 0,93 | 0,94 | 0,60 |
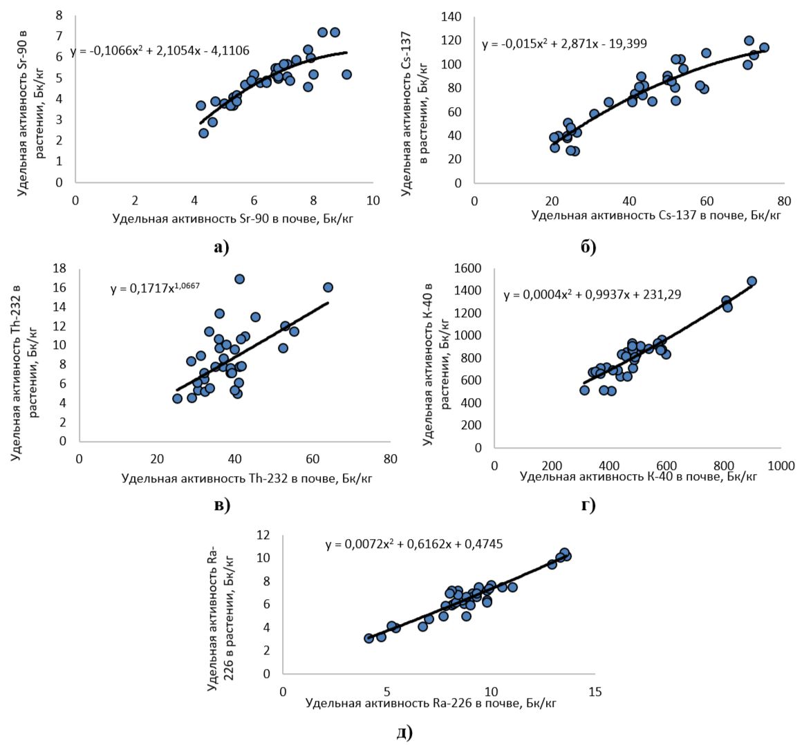
Анализ рисунка 2 показывает, что при возрастании удельной активности природных и техногенных радиоизотопов в почве увеличивалась их удельная активность в надземной части полыни горькой. Закономерности накопления определяемых радиоизотопов описаны математическими зависимостями.
Рис. 2. Зависимость удельной активности радиоизотопов в надземной части полыни горькой от удельной активности их в почве (а - Sr-90, б - Cs-137, в - Th-232, г - К-40, д – Ra-226)
Анализ коэффициентов накопления природных и техногенных радионуклидов в надземной части полыни горькой показал способность данного вида к аккумуляции Cs-137 и К-40 из почв. Коэффициенты накопления Cs-137 составляли 1,07–2,12, К-40 – 1,35–1,98, что объясняется одинаковым механизм накопления данных изотопов из почвы – по калиевым каналам [1]. Сходный характер аккумуляции в надземной части полыни горькой также отмечен для двухвалентных радиоизотопов – Ra-226 и Sr-90. Коэффициенты накопления Sr-90 составили 0,56–0,87, Ra-226 – 0,61–0,89. Относительно невысокие коэффициенты накопления в надземной части полыни горькой отмечены для Th-232: от 0,11 до 0,30 [4; 11].
Коэффициенты накопления К-40, Sr-90, Cs-137 в надземной части полыни горькой (рис. 3) снижались по мере увеличения удельной активности радиоизотопов в почве [1; 10]. Коэффициенты накопления Ra-226 и Th-232 увеличивались при возрастании удельной активности радионуклидов в почве, что свидетельствует о высоких фиторемедиационных способностях вида в отношении данных природных радиоизотопов.
Рис. 3. Зависимость коэффициентов накопления радиоизотопов в надземной части полыни горькой от удельной активности их в почве (а - Sr-90, б - Cs-137, в - Th-232, г - К-40, д – Ra-226)
Выводы. Таким образом, изучено накопление природных и техногенных радионуклидов надземной частью полыни горькой, заготовленной в искусственных и естественных фитоценозах Воронежской области. Все исследуемое растительное сырье соответствует требованиям радиационной безопасности (первая группа). Отмечено, что при увеличении удельной активности природных и техногенных радиоизотопов в почве возрастала их удельная активность в надземной части полыни горькой. Коэффициенты накопления К-40, Sr-90, Cs-137 из почв в надземной части полыни горькой уменьшались по мере увеличения удельной активности радионуклидов в почве, а Ra-226 и Th-232 – напротив, возрастали, что свидетельствует о высоких фиторемедиационных способностях вида в отношении данных природных радиоизотопов. Впервые выявленные в результате исследования закономерности и математические зависимости накопления техногенных и природных радионуклидов в надземной части полыни горькой позволяют прогнозировать особенности загрязнения растительного сырья данными экотоксикантами.
Исследование выполнено за счет гранта Российского научного фонда № 24-27-00272. https://rscf.ru/project/24-27-00272
Об авторах
Нина Алексеевна Дьякова
Воронежский государственный университет
Автор, ответственный за переписку.
Email: Ninochka_V89@mail.ru
ORCID iD: 0000-0002-0766-3881
д-р фармацевт. наук
Россия, ВоронежСписок литературы
- Бекман И.Н. Радиоэкология и экологическая радиохимия. Москва: Издатель Мархотин П.Ю., 2018. 400 с.
- Белозерова Т.И., Бойкова Т.Е., Прахова С.В. Диагностика содержания ионов тяжелых металлов и радионуклидов в почвах г. Северодвинска // Современные традиции развития науки и технологии. Периодический научный сборник. 2016. № 2. С. 110-114.
- Ботов А.Ю., Северин А.П., Яцюк В.Я., Сипливая Л.Е. Элементный состав некоторых растений семейства Аsteraceae // Научные ведомости. Серия Медицина. Фармация. 2011. № 22. С. 164-166.
- Гапонов С.П., Сливкин А.И., Дьякова Н.А. Изучение особенностей накопления радионуклидов травой полыни горькой // Пути и формы совершенствования фармацевтического образования. Создание новых физиологически активных веществ: Материалы 6-й Международной научно-методической конференции «Фармобразование-2016». Воронеж: Издательско-полиграфический центр Воронежского государственного университета, 2016. С. 232-236.
- Государственная фармакопея Российской Федерации. Издание XV. https://pharmacopoeia.regmed.ru/pharmacopoeia/izdanie-15
- Дьякова Н.А. Изучение накопления радионуклидов лекарственным растительным сырьем Центрального Черноземья // Вестник Смоленской Государственной Медицинской Академии. 2022. Т. 21. № 3. С. 171-176.
- Дьякова Н.А. Методические рекомендации по заготовке лекарственного растительного сырья в Воронежской области. Воронеж: Издательский Дом ВГУ, 2022. 160 с.
- Дьякова Н.А. Накопление тяжелых металлов и мышьяка травой полыни горькой // Известия Саратовского университета. Новая серия. Серия Химия. Биология. Экология. 2020. Т. 20. № 4. С. 445-453.
- Дьякова Н.А. Экологическая оценка сырьевых ресурсов лекарственных растений Воронежской области. Воронеж: Цифровая полиграфия, 2022. 264 с.
- Дьякова Н.А. Эколого-фармакогностическая оценка радионуклидного загрязнения лекарственного растительного сырья Воронежской области. Москва: Русайнс, 2023. 188 с.
- Дьякова Н.А., Сливкин А.И., Гапонов С.П. Оценка радионуклидного загрязнения лекарственного растительного сырья в Центральном Черноземье на примере травы полыни горькой // Вопросы обеспечения качества лекарственных средств. 2019. № 3(25). С. 36-44.
- Дьякова Н.А., Уколова И.Р. Содержание радионуклидов в траве полыни горькой, собранной в Центральном Черноземье // Материалы 65-й Всероссийской межвузовской студенческой научной конференции с международным участием «Молодежь, наука, медицина». Тверь: Редакционно-издательский центр Тверскогого сударственного медицинского университета. 2019. С. 324-327.
- Колчанов Р.А., Колчанов А.Ф. Содержание цезия-137 в лекарственных растениях на территории Белгородской области // Научные ведомости БелГУ. 2009. № 11(66). С. 14-17.
- Королёв А.С., Гладышев А.А., Юткина И.С. Особенности накопления биоэлементов в надземной части Аrtemisia аbsinthium L. на шламовом поле криолитового завода // Известия Оренбургского государственного аграрного университета. 2014. № 5(49). С. 159-161.
- Куркин В.А. Фармакогнозия. Самара: Офорт, 2004. 1174 с.
- Куролап С.А., Мамчик Н.П., Клепиков О.В. и др. Медико-экологический атлас Воронежской области. Воронеж: Воронежская областная типография, 2010. 167 с.
- Кьосев П.А. Лекарственные растения: самый полный справочник. Москва: Эксмо-Пресс, 2011. 939 с.
- Любимов В.Б., Анищенко Л.Н., Борздыко Е.В., Маркелова Н.В., Поцепай Ю.Г., Сковородникова Н.А., Азарченкова Е.А., Мокрогузова В.Н. Итоги разработки системы биоанализа на региональной основе в мониторинге сред обитания // Ежегодник НИИ фундаментальных и прикладных исследований. 2011. № 1(2). С. 49-60.
- Милютина Н.О., Осмоловская Н.Г., Политаева Н.А., Куриленко В.В. Анализ миграции тяжелых металлов в системе «почва–растение» при эколого-геологической оценке окружающей среды вокруг полигона ТКО в г. Тамбов // Геоэкология. Инженерная геология, гидрогеология, геокриология. 2020. № 3. С. 55-63.
- Позняк С.С. Содержание некоторых тяжелых металлов в растительности полевых и луговых агрофитоценозов в условиях техногенного загрязнения почвенного покрова // Вестник Томского государственного университета. Биология. 2011. № 1. С. 13-19.
- Попп Я.И., Бокова Т.И. Содержание цинка, меди и кадмия в различных видах лекарственных растений, произрастающих в поймах рек Иртыша и Оби // Вестник НГАУ. 2017. № 1(42). С. 84-92.
- Терешкина О.И., Рудакова И.П., Самылина И.А. Оценка риска радионуклидного загрязнения лекарственного растительного сырья // Фармация. 2011. № 7. С. 3-6.
- Цвелев Н.Н. Определитель сосудистых растений Северо – Западной России. СПб.: Изд-во СПУВА, 2000. 781 с.
- Чибрик Т.С. Изменчивость микроэлементного состава Artemisia absinthium L. // Экосистемы, их оптимизация и охрана. 2014. № 11. С. 106-113.
Дополнительные файлы




