АДСОРБЦИЯ СТАТИСТИЧЕСКОГО СОПОЛИМЕРА НА ХИМИЧЕСКИ НЕОДНОРОДНОЙ ПЕРИОДИЧЕСКОЙ ПОВЕРХНОСТИ С ТЕКСТУРОЙ ИЗ ЧЕРЕДУЮЩИХСЯ ПОЛОС
- Авторы: Иванова А.С.1, Полоцкий А.А.1
-
Учреждения:
- Институт высокомолекулярных соединений Российской академии наук
- Выпуск: Том 65, № 1 (2023)
- Страницы: 67-78
- Раздел: Статьи
- URL: https://ogarev-online.ru/2308-1147/article/view/139215
- DOI: https://doi.org/10.31857/S2308114723700255
- EDN: https://elibrary.ru/HREGSB
- ID: 139215
Цитировать
Полный текст
Аннотация
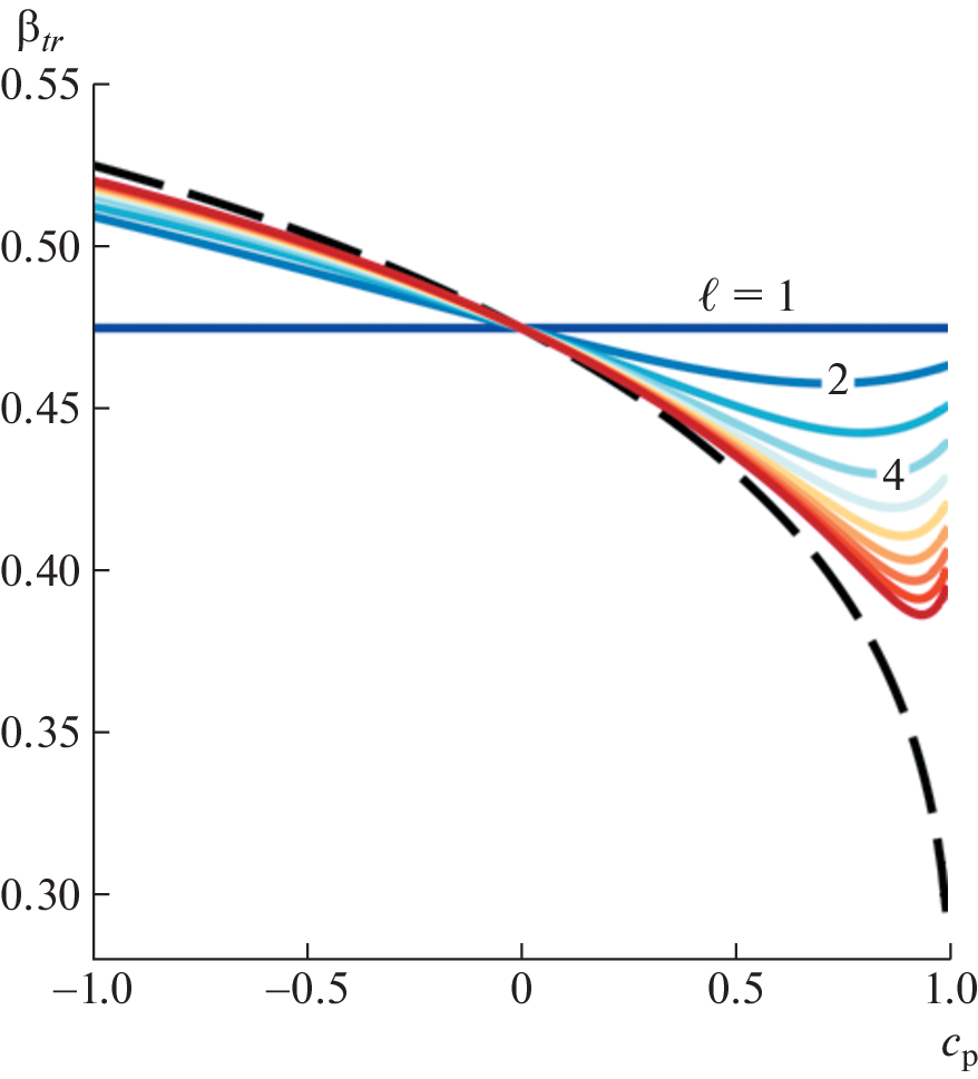
Теоретически изучена адсорбция одиночной цепи статистического сополимера, содержащего корреляции в последовательности, на химически неоднородной периодической поверхности с текстурой из чередующихся полос. Исследования проведены в рамках частично направленной модели полимера в трех измерениях с использованием метода производящих функций и приближения размороженного беспорядка для усреднения по ансамблю случайных последовательностей звеньев в сополимере. Получены зависимости точки адсорбционного перехода от состава статистического сополимера и степени корреляции в случайной последовательности звеньев для разных периодических поверхностей. Показано, что для симметричных и слабо асимметричных по составу поверхностей существуют “оптимальный” состав статистического сополимера и степень корреляции в последовательности звеньев, при которых обратная температура, отвечающая точке адсорбционного перехода, имеет локальный минимум. В случае поверхности симметричного состава “оптимальный” случайный сополимер также симметричен по составу. На поверхностях с ярко выраженной асимметрией состава лучше всего адсорбируется гомополимер, комплементарный превалирующим сайтам (центрам) на поверхности. Диапазон степени асимметрии, при которой у зависимости обратной температуры перехода от состава сополимера и параметра корреляции существует локальный минимум, довольно узкий.
Об авторах
А. С. Иванова
Институт высокомолекулярных соединений Российской академии наук
Email: sasinaas@yandex.ru
Россия, 199004, Санкт-Петербург, Большой пр., 31
А. А. Полоцкий
Институт высокомолекулярных соединений Российской академии наук
Автор, ответственный за переписку.
Email: sasinaas@yandex.ru
Россия, 199004, Санкт-Петербург, Большой пр., 31
Список литературы
- Fleer G.J., Cohen-Stuart M.A., Scheutjens J.M.H.M., Cosgrove T., Vincent B. Polymers at Interfaces. London: Chapman and Hall, 1993.
- Eisenriegler E. Polymers Near Surfaces. Singapore: World Scientific, 1993.
- Daoud M. // C. R. Acad. Sci. Paris Ser. IV. 2000. V. 1. № 9. P. 1125.
- Encyclopedia of Colloid and Interface Science / Ed. by T. Tadros. Berlin; Heidelberg: Springer-Verlag, 2013.
- González García A., Nagelkerke M.M.B., Tuinier R., Vis M. // Adv. Colloid Interface Sci. 2020. V. 275. P. 102077.
- Bellmann C. Surface Modification by Adsorption of Polymers and Surfactants. Berlin: Springer, 2008. P. 235.
- Brun Y., Rasmussen C.J. // Liquid Chromatography/ Ed by S. Fanali, P.R. Haddad, C.F. Poole, M.-L. Riekkola. Amsterdam: Elsevier, 2017. P. 275.
- Kim S., Oh S.M., Kim S.Y., Park J.D. // Polymers. 2021. V. 13. № 17. P. 2960.
- Russell A.J., Baker S.L., Colina C.M., Figg C.A., Kaar J.L., Matyjaszewski K., Simakova A., Sumerlin B.S. // AIChE J. 2018. V. 64. № 9. P. 3230.
- Kapelner R.A., Yeong V., Obermeyer A.C. // COCIS. 2021. V. 52. P. 101407.
- Clegg J.R., Peppas N.A. // Soft Matter. 2020. V. 16. № 4. P. 856.
- Hilburg S.L., Ruan Z., Xu T., Alexander-Katz A. // Macromolecules. 2020. V. 53. № 21. P. 9187.
- Jayapurna I., Ruan Z., Eres M., Jalagam P., Jenkins S., Xu T. // Biomacromolecules. 2023. V. 24. № 2. P. 652.
- Panganiban B., Qiao B., Jiang T., DelRe C., Obadia M.M., Nguyen T.D., Smith A.A.A., Hall A., Sit I., Crosby M.G., Dennis P.B., Drockenmuller E., Olvera de la Cruz M., Xu T. // Science. 2018. V. 359. № 6381. P. 1239.
- Nguyen T.D., Qiao B., Olvera de la Cruz M. // PNAS. 2018. V. 115. № 26. P. 6578.
- Srebnik S., Chakraborty A.K., Shakhnovich E.I. // Phys. Rev. Lett. 1996. V. 77. № 15. P. 3157.
- Bratko D., Chakraborty A.K., Shakhnovich E.I. // Chem. Phys. Lett. 1997. V. 280. № 1–2. P. 46.
- Bratko D., Chakraborty A.K., Shakhnovich E.I. // Comput. Theor. Polym. Sci. 1998. V. 8. № 1–2. P. 113.
- Golumbfskie A.J., Pande V.S., Chakraborty A.K. // Proc. Natl Acad. Sci. USA. 1999. V. 96. № 21. P. 11707.
- Chakraborty A., Golumbfskie A.J. // Annu. Rev. Phys. Chem. 2001. V. 52. P. 537.
- Chakraborty A. // Phys. Rep. 2001. V. 342. P. 1.
- Ziebarth J.D., Williams J., Wang Y. // Macromolecules. 2008. V. 41. № 13. P. 4929.
- Patel B., Ziebarth J.D., Wang Y. // Macromolecules. 2010. V. 43. № 4. P. 2069.
- Polotsky A., Degenhard A., Schmid F. // J. Chem. Phys. 2004. V. 121. № 10. P. 4853
- Polotsky A.A. // J. Phys. A. 2012. V. 45. № 42. P. 425004.
- Denesyuk N.A., Erukhimovich I.Ya. // J. Chem. Phys. 2000. V. 113. № 9. P. 3894.
- Ivanova A.S., Polotsky A.A. // Phys. Rev. E. 2022. V. 106. № 3. P. 034501.
- Mezard M., Parisi G., Virasoro M. // Spin Glass Theory and Beyond. Singapore: World Scientific, 1986.
- Доценко В.С. // Успехи физ. наук. 1993. Т. 163. № 6. С. 1.
- Yoshinaga N., Kats E., Halperin A. // Macromolecules. 2008. V. 41. № 20. P. 7744.
- Polotsky A.A. // Polymer Science C. 2018. V. 60. № 2. P. 3.
- Polotsky A. // Cond. Matt. Phys. 2015. V. 18. № 2. P. 23802.
- Privman V., Švrakić N. M. // Directed Models of Interfaces and Clusters: Scaling and Finite-Size Properties (Lecture Notes in Physics). Berlin: Springer, 1989.
- Polotsky A.A. // J. Phys., Math. Theor. 2016. V. 49. № 1. P. 015001.
- Jhon Y.K., Semler J.J., Genzer J., Beevers M., Gus’kova O.A., Khalatur P.G., Khokhlov A.R. // Macromolecules. 2009. V. 42. № 7. P. 2843.
- Kühn R. // Markov Processes Relat Fields. 2004. V. 10. № 3. P. 523.
- Gunning A.P., Kirby A.R., Mackie A.R., Kroon P., Williamson G., Morris V.J. // J. Microscopy. 2004. V. 216. P. 52.
- Dudchenko A.V., Bengani-Lutz P., Asatekin A., Mauter M.S. // ACS Appl. Polym. Mater. 2020. V. 2. № 11. P. 4709.
- Huang Y.-W., Gupta V.K. // J. Chem. Phys. 2004. V. 121. P. 2264.
- Denis F.A., Pallandre A., Nysten B., Jonas A.M., Dupont-Gillain C.C. // Small. 2005. V. 1. № 10. P. 984.
- Pallandre A., De Meersman B., Blondeau F., Nysten B., Jonas A.M. // J. Am. Chem. Soc. 2005. V. 127. № 12. P. 4320.
Дополнительные файлы









