ВЛИЯНИЕ ДИЭЛЕКТРИЧЕСКОЙ НЕОДНОРОДНОСТИ НА ПОВЕДЕНИЕ РАСТВОРОВ ПОЛИЭЛЕКТРОЛИТОВ В ЗАРЯЖЕННЫХ НАНОПОРАХ: ПОНИМАНИЕ НА УРОВНЕ ТЕОРИИ СРЕДНЕГО ПОЛЯ
- Авторы: Будков Ю.А.1,2, Каликин Н.Н.1,2
-
Учреждения:
- Национальный исследовательский университет “Высшая школа экономики”
- Институт химии растворов им. Г.А. Крестова Российской академии наук
- Выпуск: Том 65, № 1 (2023)
- Страницы: 51-58
- Раздел: Статьи
- URL: https://ogarev-online.ru/2308-1147/article/view/139213
- DOI: https://doi.org/10.31857/S230811472370022X
- EDN: https://elibrary.ru/JTUJNY
- ID: 139213
Цитировать
Полный текст
Аннотация
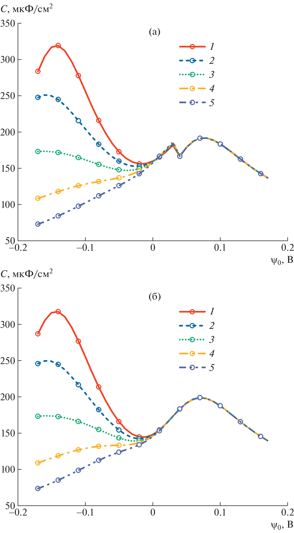
С помощью теории самосогласованного поля были исследованы механические и электрические свойства заряженных поверхностей находящихся в растворах полиэлектролитов. Такие системы обладают потенциалом для использования в области электрохимии. В данной работе основное внимание уделяется тому, как диэлектрическая неоднородность раствора может влиять на его расклинивающее давление в нанопоре и дифференциальную электрическую емкость двойного электрического слоя. Опираясь на разработанный подход, основанный на применении теоремы Нётер, вычислен тензор напряжений, содержащий член, связанный с конформационной энтропией полимерных цепей. С его помощью рассчитано расклинивающее давление раствора полиэлектролита, находящегося между двумя параллельными заряженными поверхностями, и проведен анализ его поведения как функции расстояния между поверхностями для различных значений параметра диэлектрического рассогласования. Кроме того, вычисляется дифференциальная электрическая емкость двойного электрического слоя и обсуждается влияние на ее значения диэлектрической неоднородности раствора полиэлектролита.
Об авторах
Ю. А. Будков
Национальный исследовательский университет “Высшая школа экономики”; Институт химии растворов им. Г.А. Крестова Российской академии наук
Email: ybudkov@hse.ru
Россия, 123458, Москва, ул. Таллинская, 34; Россия, 153045, Иваново, ул. Академическая, 1
Н. Н. Каликин
Национальный исследовательский университет “Высшая школа экономики”; Институт химии растворов им. Г.А. Крестова Российской академии наук
Автор, ответственный за переписку.
Email: ybudkov@hse.ru
Россия, 123458, Москва, ул. Таллинская, 34; Россия, 153045, Иваново, ул. Академическая, 1
Список литературы
- Dobrynin A.V., Rubinstein M. // Progr. Polym. Sci. 2005. V. 30. № 11. P. 1049.
- Netz R.R., Andelman D. // Phys. Rep. 2003. V. 380. № 1–2. P. 1.
- Nishimura N., Ohno H. // Polymer. 2014. V. 55. № 16. P. 3289.
- Kornyshev A.A. // J. Phys. Chem. B. 2007. V. 111. № 20. P. 5545.
- Fedorov M.V., Kornyshev A.A. // Am. Chem. Soc. 2014. Text : electronic.
- Budkov Y.A., Kalikin N.N., Kolesnikov A.L. // Phys. Chem. Chem. Phys. 2022. V. 24. № 3. P. 1355.
- Kalikin N.N., Kolesnikov A.L., Budkov Y.A. // Curr. Opinion Electrochem. 2022. V. 36. P. 101134.
- Kolesnikov A.L., Mazur D.A., Budkov Y.A. // Epl. 2022. V. 140. № 1.
- Kolesnikov A.L., Budkov Y.A., Gor G.Y. // J. Phys. Condens. Matter. 2022. V. 34. № 6. P. 63002.
- Asnacios A., Espert A., Colin A., Langevin D. // Phys. Rev. Lett. 1997. V. 78. № 26. P. 4974.
- Salmi J., Osterberg M., Stenius P., Laine J. // Nordic Pulp Paper Res. J. 2007. V. 22. № 2. P. 249.
- Yethiraj A. // J. Chem. Phys. 1999. V. 111. № 5. P. 1797.
- Tadmor R., Hern’andez-Zapata E., Chen N., Pincus P., Israelachvili J.N. // Macromolecules. 2002. V. 35. № 6. P. 2380.
- Turesson M., Woodward C.E., Åkesson T., Forsman J. // J. Phys. Chem. B. 2008. V. 112. № 16. P. 5116.
- Åkesson T., Woodward C., Jönsson B. // J. Chem. Phys. 1989. V. 91. № 4. P. 2461.
- Podgornik R. // Chem. Phys. Lett. 1990. V. 174. № 2. P. 191.
- Budkov Y.A., Kalikin N.N. // Phys. Rev. E. 2023. V. 107. № 2. P. 24503.
- Khokhlov A.R., Kramarenko E.Y. // Macromol. Theor. Simul. 1994. V. 3. № 1. P. 45.
- Khokhlov A.R., Kramarenko E.Y. // Macromolecules. 1996. V. 29. № 2. P. 681.
- Kramarenko E.Y., Khokhlov A.R., Yoshikawa K. // Macromol. Theor. Simul. 2000. V. 9. № 5. P. 249.
- Kramarenko E.Y., Erukhimovich I.Y., Khokhlov A.R. // Macromol. Theor. Simul. 2002. V. 11. № 5. P. 462.
- Budkov Y.A., Kalikin N.N., Kolesnikov A.L. // Eur. Phys. J. E. 2017. V. 40. № 4.
- Borukhov I., Andelman D., Orland H. // Phys. Rev. Lett. 1997. V. 79. № 3. P. 435.
- Maggs A.C., Podgornik R. // Soft Matter. 2016. V. 12. № 4. P. 1219.
- Lifshitz I. // Soviet J. Experim. Theor. Phys. 1969. V. 28. № 6. P. 1280.
- Grosberg A.Y., Khokhlov A.R. // Stat. Phys. Macromol., Am. Inst of Physics, 1994.
- Borue V.Y., Erukhimovich I.Y. // Macromolecules. 1990. V. 23. № 15. P. 3625.
- Landau L.D., Lifshitz E.M. Statistical Physics. Oxford: Elsevier, 2013. V. 5.
- Hatlo M.M., Van Roij R., Lue L. // Epl. 2012. V. 97. № 2. P. 28010.
- Ландау Л.Д., Лифшиц Е.М. Электродинамика сплошных сред М.: Физматлит, 2005.
- Budkov Y.A., Kolesnikov A.L., Goodwin Z.A., Kiselev M.G., Kornyshev A.A. // Electrochim. Acta. 2018. V. 284. P. 346.
- Budkov Y.A., Kolesnikov A.L. // J. Stat. Mech.: Theory and Experiment. 2022. V. 2022. № 5. P. 53205.
- Brandyshev P.E., Budkov Y.A. // J. Chem. Phys. 2023. V. 158. № 17. P. 174114.
- Derjaguin B.V., Churaev N.V., Muller V.M. // Surf. Forces. 1987. P. 293.
- Budkov Y.A., Kolesnikov A.L. // Curr. Opin. Electrochem. 2022. V. 33. P. 100931.
- Podgornik R., Jönsson B. // Europhys. Lett. 1993. V. 24. № 6. P. 501.
- Podgornik R., Åkesson T., Jönsson B. // J. Chem. Phys. 1995. V. 102. № 23. P. 9423.
- Podgornik R., Livcer M. // Curr. Opin. Colloid Interface Sci. 2006. V. 11. № 5. P. 273.
- Budkov Y.A., Kolesnikov A.L., Kiselev M.G. // Europhys. Lett. 2015. V. 111. № 2. P. 28002.
- Budkov Y.A., Kolesnikov A.L., Kiselev M.G. // J. Chem. Phys. 2016. V. 144. № 18. P. 184703.
- Budkov Y.A., Sergeev A.V., Zavarzin S.V., Kolesnikov A.L. // J. Phys. Chem. C. 2020. V. 124. № 30. P. 16308.
- Budkov Y.A., Zavarzin S.V., Kolesnikov A.L. // J. Phys. Chem. C. 2021. V. 125. № 38. P. 21151.
Дополнительные файлы




