Сравнение эффективности нанореакторов для пероксиоксалатной хемилюминесцентной реакции в водной среде
- Authors: Фомин Е.О.1, Якимова Е.А.1, Якимов Н.П.1, Гроздова И.Д.1, Мелик-Нубаров Н.С.1
-
Affiliations:
- Московский государственный университет им. М.В. Ломоносова
- Issue: Vol 66, No 4 (2024)
- Pages: 223-235
- Section: МЕДИЦИНСКИЕ ПОЛИМЕРЫ
- URL: https://ogarev-online.ru/2308-1139/article/view/279926
- DOI: https://doi.org/10.31857/S2308113924040036
- EDN: https://elibrary.ru/MNDUHU
- ID: 279926
Cite item
Full Text
Abstract
Пероксиоксалатная хемилюминесцентная реакция способна эффективно возбуждать фотосенсибилизаторы, применяющиеся в тераностике для идентификации и обнаружения раковых клеток, за счет активной генерации пероксида водорода в них. Однако субстраты пероксиоксалатной реакции, представляющие собой ароматические оксалаты, легко гидролизуются в водной среде. Солюбилизация в нанореакторы с гидрофобным ядром позволяет существенно повысить их стабильность. В настоящей работе мы впервые сравнили эффективность пероксиоксалатной реакции в эмульсионных и мицеллярных нанореакторах. Для этого использовали два оксалата: высокоактивный бис-(2,4,5-трихлор-6-(фенилоксикарбонил)фенил) оксалат и почти в 15 раз менее активный оксалат на основе природной аминокислоты L-тирозина (БТЭЭ-оксалат). Исследуемые оксалаты существенно различались в pKa уходящей группы, цитотоксичности и гидрофобности. Включение оксалатов в эмульсионные нанореакторы в обоих случаях увеличило их стабильность примерно на два порядка по сравнению с гомогенным раствором ТГФ/вода (4 : 1). Однако эмульсии со временем расслаивались вследствие оствальдовского созревания. В отличие от эмульсий мицеллы блок-сополимера лактида и этиленгликоля проявляли прекрасную коллоидную стабильность и обеспечивали низкую скорость гидролиза обоих оксалатов. Активность оксалата на основе природной аминокислоты L-тирозина, солюбилизованного в мицеллы, превысила активность бис-(2,4,5-трихлор-6-(фенилоксикарбонил)фенил) оксалата, что указывает на избирательность влияния нанореакторов с твердым ядром на эффективность пероксиоксалатной хемилюминесцентной реакции.
Full Text
ВВЕДЕНИЕ
Фотохимические методы и в частности фотодинамическая терапия активно используются для лечения широкого круга онкологических заболеваний и гнойных ран. Однако их применение для терапии глубокозалегающих опухолей ограничено низкой прозрачностью тканей организма [1]. Эти ограничения можно преодолеть, заменив энергию источника света химической энергией хемилюминесцентных реакций, таких как окисление люминола пероксидом водорода в присутствии ионов Fe2+ [2] или окисление люциферина кислородом, катализируемое люциферазой [3].
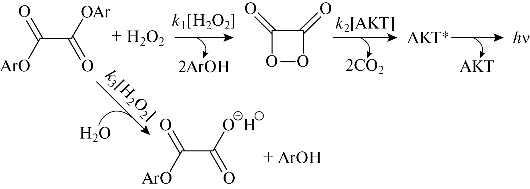
Наиболее перспективными являются системы на основе пероксиоксалатной хемилюминесцентной реакции (ПО-реакции). Эта реакция была открыта в середине 1960-х годов [4], и к настоящему времени ее механизм подробно исследован [5, 6]. ПО-реакция заключается во взаимодействии ароматических эфиров щавелевой кислоты с пероксидом водорода в присутствии флуорофора, который выступает в качестве активатора, возбуждаясь за счет энергии химической реакции (Схема 1). Если активатор при возбуждении способен переходить в долгоживущее триплетное состояние, то в ходе ПО-реакции образуется синглетный кислород, обладающий высокой токсичностью по отношению к клеткам [7, 8]. Этот подход можно назвать хемоиндуцированной фотодинамической терапией. Поскольку соотношение количества света и выход синглетного кислорода, определяющего терапевтический эффект, определяется природой активатора, хемилюминесценция, излучаемая в ходе реакции, может быть использована для оценки ее эффективности.
Схема 1
Использование ПО-реакции в хемоиндуцированной фотодинамической терапии затруднено низкой стабильностью ароматических оксалатов в водной среде, вызванной взаимным электроноакцепторным действием двух карбонильных групп (pKa (1) = 1.28 [9]) и фенольных заместителей. При введении электроноакцепторных групп в ароматическое кольцо этот эффект еще больше усиливается, и гидролиз оксалатов протекает в течение десятков секунд, что существенно ограничивает их использование в водных растворах.
Отсюда вытекает необходимость включения оксалата и активатора в гидрофобное ядро нанореакторов, защищающих оксалат от воды. В литературе описано множество различных нанореакторов, обеспечивающих стабилизацию оксалатов и высокую чувствительность системы к пероксиду водорода. Для проведения ПО-реакции в водной среде было предложено использовать твердые наночастицы оксалата и активатора, стабилизированные поливиниловым спиртом [10] или плюроником F127 [11, 12], эмульсии масел [13, 14], диметилфталата [8], мицеллы блок-сополимеров капролактона и этиленгликоля [15], а также липосомы [16]. Некоторые системы, например липосомы [16] или червеобразные мицеллы [17], не устойчивы и не подходят для большинства оксалатов из-за высокой гидратированности бислоев. Несмотря на широкое разнообразие предложенных нанореакторов, особенности кинетики ПО-реакции и ее эффективность в различных типах нанореакторов до сих пор систематически не изучались. Ранее мы показали, что солюбилизация оксалатов в мицеллах плюроников повышает их стабильность в водной среде и эффективность хемолюминесценции, что указывает на изменение кинетики ПО-реакции [18]. Этот эффект может зависеть от pKa уходящей фенольной группы оксалата, что было продемонстрировано для ПО-реакции в гомогенном растворе [19].
В данной работе мы сравнили влияние эмульсий диметилфталата, стабилизированных плюроником L64, и мицелл сополимеров монометокси-полиэтиленгликоля (мПЭГ) и полилактида (мПЭГ‒блок‒полилактид) на эффективность ПО-реакции с участием двух оксалатов. Гидрофобные ядра этих нанореакторов образованы сложными эфирами, однако они существенно различаются по фазовому состоянию. Использованные в работе оксалаты в свою очередь существенно различаются по структуре: оксалат на основе природной аминокислоты L-тирозина (БТЭЭ-оксалат) не содержит электроноакцепторных групп, а высокоактивный бис-(2,4,5-трихлор-6-(пентилоксикарбонил) фенил) оксалат (CPPO), содержит сильные электроноакцепторные заместители в фенольных фрагментах. Поэтому pKa уходящей фенольной группы CPPO в 5 раз меньше, чем у БТЭЭ-оксалата. Солюбилизация CPPO и БТЭЭ-оксалата в эмульсиях диметилфталата или мицеллах мПЭГ-блок-полилактида улучшало их стабильность на несколько порядков. В эмульсиях БТЭЭ-оксалат проявлял в 10 раз меньшую активность, чем CPPO, как и в гомогенном растворе ТГФ/вода. В то же время солюбилизация в мицеллах мПЭГ-блок-полилактида существенно увеличивала эффективность БТЭЭ-оксалата, а эффективность более активного CPPO оставалось практически неизменной.
ЭКСПЕРИМЕНТАЛЬНАЯ ЧАСТЬ
Монометокси-полиэтиленгликоль (5 × 103), бис-(2,4,5-трихлор-6-(пентилоксикарбонил) фенил) оксалат N-бензоил-L-тирозин этиловый эфир (БТЭЭ) фирмы “Sigma-Aldrich” (США), октаноат олова (II) (Sn(Oct)2) и пероксид водорода (ABCR, Германия) применяли без дополнительной очистки. Октаноат олова (II) (Sn(Oct)2) использовали в инертной атмосфере. L-лактид и D,L-лактид (“Sigma-Aldrich”, США) очищали сублимацией в вакууме. Оксалилхлорид (ABCR, Германия) перегоняи и хранили в ампулах, запаянных в инертной атмосфере. Диметилфталат (“Scharlab”, Испания) очищали перегонкой в вакууме и хранили в инертной атмосфере. Все растворители осушали согласно стандартным методикам непосредственно перед использованием.
мПЭГ‒блок‒полилактид синтезировали согласно модифицированной методике, описанной ранее [20]. В отожженную круглодонную колбу Шленка (50 мл) с мешалкой помещали мПЭГ (2 г) и необходимое количество лактида и подключали к вакуумной установке. Смесь нагревали до 130 °C при постоянном перемешивании и вакуумировали в течение 10‒15 с, после чего заполняли аргоном. После трех циклов вакуумирования‒заполнения аргоном в колбу добавляли рассчитанное количество 1 моль/л раствора Sn(Oct)2 в ТГФ (0.2 экв. к концевым группам мПЭГ). Сразу после этого проводили три цикла вакуумирование‒заполнение аргоном для удаления следов ТГФ и создания инертной атмосферы. Реакцию вели в течение 12 ч при 130 °C. После окончания реакции охлажденную смесь растворяли в минимальном количестве ТГФ и осаждали 10-кратным избытком эфира для выделения полимера. Осадок собирали с помощью центрифугирования (800 × g, 10 мин). Процедуру повторяли трижды, после чего полимер сушили на воздухе.
БТЭЭ-оксалат синтезировали по ранее описанной методике [21].
Эффективность ПО-реакции в нанореакторах оценивали по интегральной интенсивности испущенного света, который регистрировали, используя флуориметр (“Hitachi HR-3010”, Япония). Реакцию проводили в кварцевой кювете шириной 1 см. Каждый образец содержал 1 × 10–6 моль оксалата (БТЭЭ-оксалат или CPPO) и 0.4 × 10–6 моль перилена, солюбилизованных в нанореакторах одного из двух исследуемых типов. Реакцию проводили в фосфатном буферном растворе (PBS – 0.137 моль/л NaCl, 2.7 × 10–3 моль/л KCl, 0.01 моль/л Na2HPO4, 1.8 × 10–3 моль/л KH2PO4, pH 7.4) при 37 °C. ПО-реакцию инициировали введением 1 мл PBS, содержащего 8 × 10–3 моль/л H2O2, конечная концентрация пероксида водорода в системе составляла 4 × 10–3 моль/л. Хемилюминесцентный сигнал регистрировали, используя спектрофлуориметр “Hitachi HR-3010” с фотоумножителем R928 (“Hamamatsu Photonics”, Япония). Для определения интегральной интенсивности полученную кривую интегрировали от момента начала реакции до времени, соответствующего снижению сигнала до 10% от максимального значения.
Эффективность ПО-реакции в гомогенном растворе ТГФ/вода определяли также по интегральной интенсивности излученного света как было указано выше. Раствор оксалата и перилена в 1.6 мл ТГФ помещали в кювету при 37 °C. Реакцию инициировали добавлением раствора NaHCO3 0.4 мл 3 × 10–2 моль/л, pH 7.5, содержащего 2 × 10–2 моль/л H2O2. Конечные концентрации для перилена, оксалата и пероксида водорода составляли 10–4, 4.5 × 10–5 и 4 × 10–3 моль/л соответственно. Поскольку эффективность ПО-реакции линейно зависит от концентрации оксалата, результаты, полученные для разных систем, были пересчитаны на концентрацию субстрата.
Эмульсии диметилфталата, стабилизированные плюроником L64, были получены по ранее описанной методике [8]. Для этого освобожденный от гидратной воды плюроник L64 (2 мг), 0.01 мл 0.1 моль/л раствора БТЭЭ-оксалата или CPPO в ТГФ, 0.04 мл 0.01 моль/л раствора перилена в ТГФ, 0.01 мл диметилфталата и 0.5 мл PBS помещали в кювету и тщательно перемешивали для получения эмульсии. ПО-реакцию инициировали добавлением водной фазы, содержащей 0.08 мл раствора (0.1 моль/л) пероксида водорода и 1.5 мл PBS.
Для формирования мицеллярных нанореакторов к 15 мг необходимого блок-сополимера мПЭГ‒блок‒полилактида, растворенного в 0.08 мл ТГФ, добавляли 0.046 мл 0.020 моль/л раствора оксалата в ТГФ и 0.020 мл 0.01 моль/л раствора перилена в ТГФ, после чего тщательно перемешивали в течение 5 мин. К полученному раствору при перемешивании добавляли 1 мл PBS и переносили в кювету. ПО-реакцию инициировали добавлением 1 мл PBS, содержащего 8 × 10‒4 моль/л пероксида водорода.
Для изучения влияния инкубации на эффективность ПО-реакции эмульсия и мицеллы были получены как описано выше, однако объем добавленного буферного раствора к ним был в два раза выше. Реакционную смесь помещали в сухой термостат (37 °C) на заданный промежуток времени. Затем смесь переносили в кювету и инициировали ПО-реакцию, добавляя 0.08 мл 0.1 моль/л раствора пероксида водорода.
Наблюдаемые константы скорости гидролиза и спада хемилюминесцентного сигнала ПО-реакции получали с помощью нелинейной регрессии (экспоненциальная функция), используя программное обеспечение Origin 8.5.
Скорость гидролиза оксалата в водных дисперсиях нанореакторов и в гомогенном водно-органическом растворе определяли напрямую с помощью потенциометрического титрования раствором щелочи, используя автотитратор TTT60, оснащенный PHM60 pH-метром с комбинированным электродом и автобюреткой ABU80 (“Radiometer”, Копенгаген). 4 мл 0.15 моль/л раствора KCl помещали в ячейку, pH поддерживали на необходимом уровне (обычно 7.5) и фиксировали скорость добавления 0.01 моль/л NaOH для поддержания постоянного pH в течение заданного промежутка времени при 37 °C. В отсутствие реакции, сопровождающейся образованием кислоты, полученная кривая отражала фоновый процесс поглощения диоксида углерода из атмосферы. Далее в ячейку автотитратора вводили свежеприготовленные при 37 °C дисперсии нанореакторов и регистрировали кинетику расходования щелочи, добавляемой для поддержания необходимого значения pH.
Корректность измерения констант скорости гидролиза, полученных для дисперсий нанореакторов, проверяли в гомогенном водно-органическом растворе (вода/диметилфталат = 3 по объему) путем определения общего количества щелочи, израсходованной на титрование оксалата. Зависимость кинетики гидролиза от pH раствора изучали в той же системе (Дополнительные материалы, рис. S2).
Размер колллоидных частиц измеряли методом динамического светорассеяния, используя гониометр рассеянного лазерного света “PhotoCor” (“PhotoCor Corp.”, США), оснащенный He-Ne-лазером (λ = 633 нм, 15 мВт). Автокорреляционную функцию флуктуации интенсивности рассеянного света измеряли, используя 288-канальный FotoCor-SP корреллятор с логарифмической шкалой времени от 2.5 × 10–8 до 6800 с. Сбор данных проводили в течение 5‒20 мин в зависимости от интенсивности рассеянного света. Полученные автокорреляционные функции анализировали с помощью метода регуляризации, используя программу DynaLS (“PhotoCor Corp.”, США) для получения распределения рассеивающих частиц по коэффициентам диффузий. Значения гидродинамического радиуса рассчитывали из коэффициентов диффузии, используя уравнение Стокса в приближении сферических частиц. Все измерения проводили при постоянной температуре 37 °C.
Спектры ЯМР 1H записывали на спектрометре “Bruker DRX500” (США) с рабочей частотой 600.13 МГц. Химический сдвиг частоты калибровали по сигналу остаточных протонов растворителя. Для регистрации спектров исследуемые образцы растворяли в CDCl3 при концентрации 60 мг/мл и помещали в стандартные ампулы. Спектры регистрировали при комнатной температуре.
Молекулярную массу и полидисперсность Ð полученных полимеров определяли с помощью гел-ьпроникающей хроматографии на хроматографе “Altex”, с рефрактометрическим детектором (“Knauer”, Германия) и колонкой Waters HR-4 при скорости элюента 1 мл/мин, используя ТГФ в качестве растворителя. Для анализа брали растворы полимеров в ТГФ с концентрацией 10 мг/мл. В каждом эксперименте строили калибровочную зависимость времени удерживания стандартных образцов полиэтиленгликоля от логарифма их молекулярных масс. Калибровочная зависимость описывалась полиномом третьей степени и использовалась для расчета моментов распределения синтезированных блоксополимеров.
РЕЗУЛЬТАТЫ И ИХ ОБСУЖДЕНИЕ
Гомогенные водно-органические растворы оксалатов (система сравнения)
Поскольку химическая структура оксалатов сильно влияет на эффективность ПО-реакции [19, 26], в данной работе мы использовали два оксалата, сильно различающиеся по гидрофобности и pKa фенольной группы (табл. 1). Один из них, БТЭЭ-оксалат, является производным природной аминокислоты L-тирозина и проявляет значительно более низкую цитотоксичность (высокое значение IC50) чем второй, CPPO [21].
Таблица 1. Структура и некоторые свойства исследуемых оксалатов
Структурная формула | pKa фенольной группы | Цитотоксичность IC50 × 10‒6, моль/л [21] | LogP октанол/вода оксалатов |
10.0* | 0.152 ± 0.032 | 5.7 ± 0.82** | |
4.5** | 0.055 ± 0.005 | 10.4 ± 0.82** |
* Экспериментальные значения.
** Значения, рассчитанные с помощью программного обеспечения ACD Labs.
Активность оксалатов в ПО-реакции и реакции гидролиза, как и их кинетические характеристики, может быть количественно оценена в простой и надежной системе сравнения – гомогенном растворе ТГФ/вода. В данном случае система сравнения служит реперной точкой для исследования влияния нанореакторов на протекание ПО-реакции. При этом CPPO и БТЭЭ-оксалат образуют истинные растворы в смеси ТГФ/вода. Интегральная интенсивность хемилюминесценции ПО-реакции (эффективность реакции) и время затухания хемилюминесцентного сигнала в случае CPPO были примерно на порядок выше, чем для БТЭЭ-оксалата в той же концентрации (рис. 1а). В 15 раз более высокая эффективность CPPO, определенная в настоящей работе, полностью согласуется с данными, полученными в предыдущих работах [19, 22]. Данный эффект, очевидно, связан с наличием электроноакцепторных заместителей (три атома хлора и карбоксипентильная группа) в фенольном кольце CPPO. Вероятно, эти заместители способствуют образованию промежуточного продукта 1,2-диоксетандиона, в то время как менее активные оксалаты образуют монозамещенный интермедиат, который легко переходит в неактивные формы, не способные окислять активатор по механизму CIEEL [23, 24].
Рис. 1. Кинетика ПО-реакции (a) и гидролиза (б) БТЭЭ-оксалата (1) и CPPO (2) в системе ТГФ/вода при концентрации оксалатов 4.5 × 10–5 моль/л, перилена 1 × 10–4 моль/л, H2O2 4 × 10–4 моль/л; Т = 37 °C
Кинетику ПО-реакции часто описывают сложными схемами [24, 25], которые учитывают множество промежуточных продуктов, способных окислять активатор по CIEEL-механизму. Поскольку в данном случае нас интересует стадия циклизации и параллельная ей стадия гидролиза, здесь мы ограничимся простейшей кинетической схемой для описания кинетики ПО-реакции в системе сравнения (Схема 1). Кинетика испускания света согласно этой схеме описывается следующим уравнением:
, (1)
где концентрация оксалата определена как [Ox]0, пероксида водорода [H2O2]0, активатора [A] и локальная концентрация воды [H2O]; k1 – константа скорости циклизации, приводящая к образованию 1,2-диоксетандиона, k2 – константа скорости разложения 1,2-диоксетандиона с образованием активатора в возбужденном состоянии, k3 – константа скорости гидролиза оксалата; ϕ – квантовый выход люминесценции активатора, Φ – квантовый выход образования 1,2-диоксетандиона.
В приведенном уравнении первая экспонента с положительным предэкспотенциальным множителем соответствует убывающей ветви кинетической кривой на рис. 1а и отражает суперпозицию стадий циклизации и гидролиза, в то время как вторая экспонента с отрицательным предэкспотенциальным множителем соответствует возрастающей ветви и связана со стадией обратимого электронного обмена по механизму CIEEL [25]. Максимум интенсивности в большей степени определяется произведением концентраций реагентов, входящим в предэкспоненциальный множитель, а также квантового выхода реакции ϕ.
Снижение хемилюминесцентного сигнала в случае CPPO описывалось кинетикой псевдо-первого порядка с наблюдаемой константой 0.067 ± 0.002 с–1 (kd = k1 × [H2O2] + k3 × [H2O]). В случае БТЭЭ-оксалата константа была в 13 раз выше – 0.85 ± 0.06 с–1. Эти результаты хорошо согласуются с работой [26], в которой было продемонстрировано влияние стерического фактора на активность оксалатов. Несмотря на различия в pKa уходящих групп – тирозина, в случае БТЭЭ-оксалата, и 2,4,5-трихлор-6-(пентилкарбокси)фенола – в случае CPPO (табл. 1), наличие заместителей в орто-положении фенола в случае CPPO значительно затрудняет его участие в реакциях нуклеофильного замещения, что проявляется в снижении наблюдаемой константы.
Гидролиз оксалатов исследовали путем регистрации кинетических кривых ПО-реакции после инкубирования оксалата и перилена в смеси ТГФ/вода. Снижение концентрации оксалата в растворе также подчинялось кинетике псевдопервого порядка (Схема 1). В уравнении (1) только преэкспоненциальный множитель содержит концентрацию оксалата [Ox]0, поэтому данный параметр определяет максимальную интенсивность и интегральную эффективность ПО-реакции, не влияя на наблюдаемую константу скорости.
Действительно, максимум интенсивности уменьшался экспоненциально, в то время как наблюдаемая константа скорости не изменялась после предварительной инкубации в системе ТГФ/вода (Дополнительные материалы, рис. S3). Снижение интегральной интенсивности отлично описывалось уравнением первого порядка (рис. 1б). Наблюдаемая константа скорости гидролиза для CPPO составила 0.041 ± 0.003 с‒1, в то время как для БТЭЭ-оксалата 0.062 ± 0.002 с-1. Эти значения позволяют количественно оценить стабильность CPPO и БТЭЭ-оксалата в рассматриваемой системе. Подобное различие в скорости гидролиза сообщалось ранее для бис-(4-нитрофенилоксалата) и бис-(2,4-динитрофенилоксалата), как и для других сложных эфиров [28].
Мы также оценили константу скорости циклизации k1 × [H2O2], вычитая наблюдаемую константу гидролиза из константы спада хемилюминесцентного сигнала. Оказалось, что константа циклизации для CPPO составила 0.024 ± 0.005 с–1, тогда как для БТЭЭ-оксалата она была примерно в 30 раз выше, 0.78 ± 0.06 с–1.
Таким образом, CPPO характеризовался немного большей стабильность по отношению к гидролизу и обладал в 15 раз большей эффективностью по сравнению с БТЭЭ-оксалатом в гомогенной системе ТГФ/вода. Эти свойства делают CPPO наиболее подходящим для использования в гомогенной системе, для которых он и был создан [29].
Эмульсионные нанореакторы на основе диметилфталата и плюроника L64
Диметифталат является одним из лучших растворителей для различных оксалатов [30]. Его эмульсии в воде, стабилизированные плюроником L64, обладают рядом полезных свойств для использования в качестве нанореакторов для полимерных оксалатов [8]. Потенциал применения эмульсии диметилфталата для стабилизации низкомолекулярных оксалатов – БТЭЭ-оксалата и CPPO был изучен в данной работе.
При солюбилизации оксалатов в эмульсии диметилфталат/плюроник L64 в обоих случаях эффективность ПО-реакции возрастала в 3‒4 раза. При этом эффективность CPPO была все еще выше, чем БТЭЭ-оксалата (рис. 2а). Однако различие между эффективностями была меньше (10 раз), чем в гомогенной системе ТГФ/вода (15 раз). Спад хемилюминесцентного сигнала существенно замедлился для обоих оксалатов. Наблюдалось замедление в 30 и 1900 раз для CPPO и БТЭЭ-оксалата соответственно по сравнению с гомогенным раствором ТГФ/вода. Таким образом, константа затухания сигнала хемилюминесценции в эмульсионных нанореакторах составила (0.45 ± 0.03) × 10–3 с‒1 для БТЭЭ-оксалата, что более чем на порядок меньше по сравнению с CPPO (0.19 ± 0.03) × 10–2 с‒1.
Рис. 2. Кинетика испускания хемилюминесценции в ходе ПО-реакции (a) и гидролиза (б) БТЭЭ-оксалата (1) и CPPO (2) в эмульсии диметилфталат/плюроник L64, содержащей 5 мг/мл диметилфталата, 1.25 мг/мл плюроника L64, 4.5 × 10–3 моль/л одного из оксалатов, 1 × 10–4 моль/л перилена и 4 × 10–4 моль/л H2O2, PBS, 37 °C; в ‒ изменение мутности при 600 нм чистой эмульсии (1), эмульсии с 1 × 10–4 моль/л перилена и 4.5 × 10–4 моль/л CPPO (2), и с 4.5 × 10–4 моль/л БТЭЭ-оксалата (3)
Обе кинетические кривые (рис. 2а), соответствующие БТЭЭ-оксалату и CPPO, имели скачкообразный рост интенсивности, за которым следовало плавное повышение вплоть до максимума. Быстрая часть кривой предположительно соответствует фракции оксалата, которая по какой-то причине не была солюбилизована или осталась на поверхности эмульсионных капель. Стоит отметить, что максимальная интенсивность испускаемого света в гомогенном растворе достигалась за 1‒2 с для обоих оксалатов, в то время как в эмульсии диметилфталат/L64 это время составило 600 и 300 с для CPPO и БТЭЭ-оксалата соответственно (ср. рис. 1а и 2а). Это наблюдение указывает на существенное замедление стадии CIEEL (Схема 1), характеризующейся константой скорости k2 × [A].
Причины замедления стадии химического возбуждения до конца не ясны. Снижение локальной концентрации активатора в эмульсии по сравнению с гомогенным раствором ТГФ/вода маловероятно, поскольку перилен гораздо лучше растворяется в гидрофобном диметилфталате, чем в воде. Однако известно, что скорость CIEEL существенно зависит от полярности среды [31]. В связи с этим уменьшение диэлектрической проницаемости окружения 1,2-диоксентандиона, по-видимому, может являться причиной медленного достижения максимума интенсивности хемилюминесценции в эмульсионных нанореакторах.
Наблюдаемые константы скорости снижения эффективности хемилюминесценции составили (0.57 ± 0.06) × 10–3 с–1 для CPPO и (0.74 ± 0.08) × 10–3 с–1 для БТЭЭ-оксалата (рис. 2б), что соответствует замедлению гидролиза оксалатов на два порядка при их солюбилизации в эмульсии. Однако при таких значениях констант гидролиза скорость затухания хемилюминесценции, являющаяся суммой скоростей гидролиза и циклизации, окажется больше, чем скорость гидролиза. Мы предположили, что это может быть вызвано разрушением эмульсии, вызванным оствальдовским старением. Действительно, мутность эмульсий, измеренная при 600 нм, уменьшалась со временем из-за увеличения размера частиц и их осаждения (рис. 2в). Данный процесс укорялся при солюбилизации оксалатов. Это означает, что низкомолекулярные оксалаты дестабилизируют эмульсию, ускоряя ее старение. В случае БТЭЭ-оксалата дестабилизация была более выраженной, в результате чего наблюдаемая константа скорости гидролиза была выше. Поскольку именно оксалат дестабилизирует систему, протекание ПО-реакции должно способствовать некоторой стабилизации системы за счет расходования оксалата, что приводит к более низкой кажущейся константе скорости затухания хемилюминесценции. Уменьшение интегральной эффективности во время инкубации, судя по всему, было вызвано в основном созреванием эмульсии, в то время как истинные константы скорости гидролиза для обоих оксалатов, по-видимому, значительно ниже.
Таким образом, эмульсия диметилфталата, стабилизированная плюроником L64, существенно увеличивает стабильность оксалатов по отношению к гидролизу. Однако из-за плохой коллоидной стабильности эта система не может быть использована для хемоиндуцированной фотодинамической терапии.
Мицеллярные нанореакторы на основе блок-сополимера мПЭГ‒полилактид
Синтез и мицеллообразование сополимеров мПЭГ-блок-полилактид. Мы предположили, что мицеллы с ядром на основе сложных полиэфиров могли бы стать эффективными нанореакторами для ПО-реакции, так как большинство ароматических оксалатов хорошо растворяются в сложных эфирах. Поэтому мы синтезировали две серии блок-сополимеров лактида и этиленгликоля, различающиеся оптической чистотой блоков полилактида, формирующих гидрофобное ядро нанореактора. Степень полимеризации лактида варьировалась в пределах от 5 до 80 повторяющихся звеньев, массовая доля лактидного блока в сополимере изменялась при этом от 0.15 до 0.65 (табл. 2). Сополимеры были охарактеризованы с помощью спектроскопии ЯМР 1H и гель-проникающей хроматографии. Дисперсность Ð полученных сополимеров варьировала от 1.4 до 1.8.
Таблица 2. Молекулярно-массовые характеристики синтезированный блок-сополимеров мПЭГ87‒блок‒полилактид, мПЭГ87 (Mn = 3.8 × 103, Đ = 1.24)
Полилактидный блок | Массовая доля лактидного блока ω | Mn × 10‒3 (ЯМР/ ГПХ) | Đ |
мПЭГ87‒блок‒поли-L-лактид | |||
L-лактид14 | 0.23 | 4.9/4.8 | 1.62 |
L-лактид36 | 0.41 | 6.5/6.4 | 1.72 |
L-лактид51 | 0.55 | 8.4/7.5 | 1.83 |
L-лактид61 | 0.64 | 10.7/8.2 | 1.77 |
мПЭГ87‒блок‒поли-D,L-лактид | |||
D,L-лактид5 | 0.14 | 4.2/ 4.2 | 1.42 |
D,L-лактид18 | 0.29 | 4.8/5.1 | 1.40 |
D,L-лактид28 | 0.42 | 5.5/5.9 | 1.73 |
D,L-лактид80 | 0.65 | 8.1/9.6 | 1.60 |
Степень полимеризации блока поли-L-лактида изменялась от 14 до 61, а сополимеры D,L-лактида содержали от 5 до 80 звеньев гидрофобного блока. Варьирование длины гидрофобного блока сополимеров позволило оценить его влияние на стабилизацию оксалатов и на протекание ПО-реакции в водном растворе.
Поскольку полилактид совершенно не растворим в воде, сополимеры мПЭГ‒бло‒поли-L-лактид формируют мицеллы в водных растворах [32, 33]. Результаты динамического светорассеяния показали, что водные дисперсии всех сополимеров содержат два типа частиц с разными коэффициентами диффузии (рис. 3а). “Быстрые” агрегаты составляли основную долю частиц. Их коэффициент диффузии соответствовал мицеллам с радиусом 30‒50 нм. “Медленная” фракция с размером около 150‒300 нм давала всего несколько процентов от общей интенсивности рассеяния.
Рис. 3. Анализ мицелл сополимеров мПЭГ‒блок‒полилактид методом динамического светорассеяния. Распределение мПЭГ‒блок‒поли-L-лактид14 (1), мПЭГ‒блок‒поли-L-лактид36 (2), мПЭГ‒блок‒поли-L-лактид51 (3) и мПЭГ‒блок‒поли-L-лактид61 (4) по интенсивности (а) и по объему (б); в ‒ изменения в значении гидродинамического радиуса мицелл мПЭГ‒блок‒поли-L-лактид (1) и мПЭГ‒блок‒поли-D,L-лактид (2)
Учитывая нелинейную зависимость интенсивности рассеивания от размера частиц, определенных с помощью светорассения, распределение было пересчитано с учетом объема рассеивающих частиц (рис. 3б). В этом случае наблюдался только один пик, средний размер которого немного увеличивался с ростом степени полимеризации полилактидного блока (рис. 3в).
Образование крупных частиц в водных дисперсиях сополимеров мПЭГ‒блок‒поли-L-лактид ранее уже наблюдалось [34]. Фракция частиц с размером от 150 до 300 нм представляет собой мицеллярные агрегаты, а не индивидуальные мицеллы. Причем объем этих агрегатов не составляет существенную долю от объема всех частиц. Таким образом, кажется маловероятными, что мицеллярные агрегаты влияют на свойства дисперсии.
Средний гидродинамический диаметр основной фракции мицелл сополимеров мПЭГ‒блок‒поли-L-лактид увеличивается параллельно с ростом массовой доли полилактидного блока ω с 30 нм при ω = 22% до 40 нм при ω = 65%. Эти изменения пропорциональны кубическому корню массы полилактидного блока (рис. 3в), что согласуется с ранее опубликованными данными [32, 35–37]. Рацемический мПЭГ‒блок‒поли-D,L-лактид демонстрировал немного другую картину. Размер мицелл сополимеров мПЭГ‒блок‒поли-D,L-лактид изменялся с увеличением степени полимеризации гидрофобного блока с 5 до 28 (30 нм), но резко возрастал (примерно в 1.7 раз) при переходе к полимеру, содержащему 65 мас. % гидрофобного блока (около 80 повторяющихся звеньев). Этот результат также согласуется с ранее опубликованными работами [32–37].
Влияние мицеллярных нанореакторов на кинетику ПО-реакции и стабильность оксалатов по отношению к гидролизу. Для солюбилизации обоих оксалатов в мицеллах сополимеров мПЭГ‒блок‒поли-L-лактид использовали метод нанопреципитации как описано в Экспериментальной части. При этом кинетика ПО-реакуии двух оксалатов в мицеллах лактида и этиленоксида существенно отличалась (рис. 4а). Константа спада для CPPO составляла (0.11 ± 0.01) × 10–2 с–1, а максимум интенсивности хемилюминесценции был в 60 раз ниже, чем в гомогенном растворе ТГФ/вода. В результате чего интегральная интенсивность ПО-реакци оставалась практически неизменной при включении CPPO в мицеллярные нанореакторы.
Рис. 4. Кинетика испускания хемилюминесценции в течение ПО-реакции (a) и гидролиза (б) для БТЭЭ-оксалата (1) и CPPO (2) в мицеллах сополимеров мПЭГ‒блок‒поли-L-лактид61 при концентрации полимера 7.5 мг/мл, 4.5 × 10–4 моль/л каждого оксалата, 1 × 10–4 моль/л перилена и 4 × 10–4 моль/л H2O2, PBS, 37 °C
Кинетическая кривая ПО-реакции для БТЭЭ-оксалата в мицеллах сополимера мПЭГ‒блок‒поли-L-лактид61 в свою очередь имела два максимума (или максимум и плечо) хемилюминесценции (рис. 4а, кривая 1), причем они оба были выше кинетической кривой CPPO (рис. 4а, кривая 2). Максимум интенсивности уменьшился примерно на порядок, принимая во внимание разницу в концентрации оксалатов, в то время как время протекания ПО-реакции увеличилось в 300 раз (константа скорости уменьшилась с 0.86 ± 0.06 с‒1 в системе ТГФ/вода до (27 ± 4) × 10‒4 с‒1 в мицеллах). В результате интегральная интенсивность хемилюминесценции БТЭЭ-оксалата в мицеллах сополимеров мПЭГ‒блок‒поли-L-лактид61 была примерно в 20 раз выше, чем в системе сравнения (рис. 1а, кривая 1; рис. 4а, кривая 1). Таким образом, помещение БТЭЭ-оксалат в мицеллы с ядром из полилактида приводит к значительно более выраженному увеличению эффективности ПО-реакции, чем в случае эмульсий диметилфталата.
Кинетика гидролиза в мицеллярных нанореакторах на основе мПЭГ‒блок‒поли-L-лактид. На рис. 4б приведены кинетики гидролиза БТЭЭ-оксалата (кривая 1) и CPPO (кривая 2) в мицеллах сополимеров мПЭГ‒блок‒поли-L-лактид61. При инкубации мицеллярных нанореакторов в водной среде “высокоактивная” фракция БТЭЭ-оксалата расходовалась быстрее, при этом кинетика испускания света в ходе ПО-реакции описывалась простейшей моделью с единственной разностью экспонент.
Линеаризация кинетики гидролиза БТЭЭ-оксалата демонстрирует наличие двух фракций солюбилизованного оксалата, характеризующихся разной стабильность по отношению к воде. Гидролиз менее стабильной фракции (рис. 4б, кривая 1) протекал с константой скорости (0.8 ± 0.1) × 10–3 с–1, в то время как константа скорости гидролиза более стабильной фракции была примерно в 5 раз меньше ‒ (0.16 ± 0.07) × 10–3 с–1. Причем доля более стабильной фракции составляла порядка 0.44. Таким образом, солюбилизация БТЭЭ-оксалата приводит к более сложной кинетике и примерно в 400 раз повышает его стабильность по отношению к гидролизу (в случае стабильной фракции).
Солюбилизация СРРО в мицеллах сополимера мПЭГ‒блок‒поли-L-лактид61 также приводит к образованию двух форм, различающихся по скорости реакции с пероксидом водорода. При этом активная фракция не оказывает никакого влияния на кинетику гидролиза, которая соответствовала первому порядку и характеризовалась константой скорости (0.77 ± 0.05) × 10–3 с–1 (рис. 4б, кривая 2).
Скорость гидролиза оксалата была определена в независимых экспериментах с помощью потенциометрического титрования по скорости образования кислоты при поддержании постоянного значения pH 7.5. Нагруженные оксалатом мицеллы помещали в ячейку и регистрировали изменение во времени количества щелочи, требуемой для нейтрализации образующейся при реакции кислоты. Количество затраченной щелочи использовали для расчета доли гидролизованного оксалата (рис. 5, кривая 1, левая ось ординат). Вычитая полученное значение из единицы, была определена доля непрореагировавшего оксалата (рис. 5, кривая 2, правая ось ординат). Кинетика гидролиза БТЭЭ-оксалата (рис. 5а) и CPPO (рис. 5б) хорошо согласуется с данными о снижении интегральной интенсивности хемилюминесценции, показанной на рис. 4б (рис. 5, светлые точки). Более того, присутствие двух фракций солюбилизованного БТЭЭ-оксалата с разной стабильностью по отношению к гидролизу проявляется и в кинетике гидролиза, полученной с помощью потенциометрического титрования. Кривая 2 на рис. 5а описывается биэкспоненциальной функцией с соотношением экспонент примерно 1 к 1, что согласуется с данными, полученными при измерении остаточной интегральной интенсивности хемилюминесценции.
Рис. 5. Кинетика гидролиза БТЭЭ-оксалата (а) и CPPO (б), измеренная с помощью потенциометрического титрования (1) в условиях, приведенных в подписи к рис. 4. На левых осях указаны доли гидролизованного оксалата, рассчитанные из количества добавленного NaOH нормированного на количество оксалата в образце, на правых осях ‒ количество оставшегося оксалата. Светлые точки соответствуют данным рис. 4, полученным из интегральной интенсивности ПО-реакции
Влияние степени полимеризации лактидного блока. Варьирование степени полимеризации лактидного блока сильно влияло на интенсивность хемилюминесценции БТЭЭ-оксалата в мицеллярных нанореакторах (рис. 6). Увеличение степени полимеризации блока молочной кислоты в серии сополимеров при их постоянной молярной концентрации 0.75 × 10–3 моль/л приводило к постепенному росту интегральной интенсивности хемилюминесценции в мицеллярных системах с БТЭЭ-оксалатом. Вероятно, это указывает на увеличение эффективности солюбилизации субстрата в полимерных мицеллах с увеличением длины гидрофобного блока. Интересно, что сополимеры рацемической смеси лактидов при схожих степенях полимеризации демонстрировали немного меньшее сродство к БТЭЭ-оксалату (рис. 6, кривая 2). Учитывая склонность мПЭГ‒блок‒поли-L-лактида к кристаллизации даже в форме мицелл [32, 37], можно предположить, что более упорядоченное ядро мицелл сополимеров оптически чистого мПЭГ‒блок‒поли-L-лактида обеспечивает более эффективное включение оксалата.
Рис. 6. Зависимость интегральной интенсивности ПО-реакции в мицеллах сополимеров мПЭГ‒блок‒поли-L-лактид (1) и мПЭГ‒блок‒поли-D,L-лактид (2) от массовой доли ω полилактидного блока. Концентрация БТЭЭ-оксалата 4.5 × 10–4 моль/л, перилена 1 × 10–4 моль/л
Рост эффективности ПО-реакции с увеличением объема гидрофобной фазы в растворе блок-сополимера позволяет предположить, что солюбилизация оксалата в мицеллах увеличивается с ростом гидрофобного блока. Анализ размеров самого короткого блок-сополимера мПЭГ87‒блок‒поли-L-лактид14 (ω = 0.23, размер незаполненных мицелл порядка 30 нм) с помощью динамического светорассеяния позволил установить, что после включения БТЭЭ-оксалата и перилена образуется два типа частиц со средним гидродинамическим диаметром порядка 30 и 400 нм. Мы предположили, что 400 нм частицы представляют собой агрегаты выпавшего в осадок БТЭЭ-оксалата. Это означает неполную солюбилизацию субстрата в мицеллах мПЭГ87‒блок‒поли-L-лактид14. Напротив, размер мицелл мПЭГ87‒блок‒поли-L-лактид61 с большим гидрофобным блоком не изменялся после включения в них тех же количеств субстратов. Это указывает на полное включение субстратов в мицеллы с сополимеров с достаточно большим гидрофобным блоком. Это является причиной существенно более высокого сигнала интенсивности ПО-реакции в мицеллах мПЭГ87‒блок‒поли-L-лактид61 (ω = 0.64), по сравнению с менее гидрофобным мПЭГ87‒блок‒поли-L-лактид14.
Таким образом, включение оксалатов и активатора в эмульсии и мицеллярные нанореакторы замедляет гидролиз оксалатов и стадию циклизации в ПО-реакции (рис. 7а). Это может быть следствием как уменьшения локальной концентрации пероксида водорода и воды, так и константы гидролиза из-за дестабилизации переходного состояния в неполярном окружении [38].
Рис. 7. а ‒ Сравнение наблюдаемых констант циклизации k1 × [H2O2] (1) и наблюдаемых констант гидролиза k3 × [H2O] (2) для CPPO (слева) и БТЭЭ-оксалата (справа) в трех изученных системах; б ‒ сравнение интегральных интенсивностей хемилюминесценции, приведенных к одинаковой концентрации оксалата в исследуемых системах. Все данные представлены как среднее значение по крайней мере 3‒5 независимых экспериментов, а указанные доверительные интервалы соответствуют стандартному отклонению по всей выборке
В то же время соотношение хемилюминесцентной эффективности высокоактивного (CPPO) и низкоактивного (БТЭЭ-оксалат) оксалата, которое для гомогенной системе ТГФ/вода равно 15, уменьшается до 10 в эмульсионных нанореакторах с жидким гидрофобным ядром (рис. 7б). Солюбилизация этих оксалатов в мицеллярных нанореакторах мПЭГ‒блок‒поли-L-лактид с псевдотвердым гидрофобным ядром приводило к резкому уменьшению этого соотношения, причем эффективность хемилюминесценции обоих оксалатов становилась практически идентичной. Такой эффект нельзя объяснить изменением скоростей гидролиза или циклизации. Поэтому, мы предположили, что твердый нанореактор влияет на эффективность образования 1,2-диоксетандиона (Φ в равенстве (1)) в ходе реакции циклизации. Оксалаты, содержащие фенолы с электроноакцепторными заместителями, которые являются хорошей уходящей группой (например, CPPO), легко образуют диоксетановый цикл по согласованному механизму, предложенному в работе [39]. Напротив, малоактивные оксалаты склонны к образованию вместо 1,2-диоксетандиона частично замещенных 2-диоксанонов, которые не могут эффективно возбуждать активатор. Мы предполагаем, что твердое гидрофобное ядро мицелл сополимеров мПЭГ‒блок‒поли-L-лактид способствует образованию 1,2-диоксетандиона в случае низкоактивных оксалатов.
Увеличение эффективности стадии химического возбуждения активатора ПО-реакции в неполярной среде по сравнению с водными растворами хорошо известно, хотя его причины до конца не понятны [40]. В настоящей работе впервые раскрывается роль природы оксалата в увеличении эффективности хемилюминесценции за счет изменения полярности его окружения.
ЗАКЛЮЧЕНИЕ
Включение малоактивного БТЭЭ-оксалата на основе L-тирозина и высокоактивного CPPO в гидрофобное ядро эмульсии диметилфталата, стабилизированного плюроником L64 и мицеллы сополимера мПЭГ87‒блок‒поли-L-лактид61 замедляет скорость гидролиза примерно на два порядка по сравнению с гомогенным раствором ТГФ/вода (4 : 1). Константа скорости реакции с пероксидом водорода также уменьшилась на один‒два порядка.
Соотношение интегральных интенсивностей хемилюминесценции обоих оксалатов, различающихся по активности, немного снижалось в эмульсионных нанореакторах, и резко уменьшалось при переходе к мицеллярным нанореакторам, содержащим полукристаллический или стеклообразный полимеры при физиологической температуре. Оказалось, что мицеллы блок-сополимера L-лактида и ПЭГ повышают эффективность малоактивного оксалата по сравнению с высокоактивным. Этот эффект вряд ли может быть объяснен изменением констант скорости гидролиза или циклизации и, очевидно, связан с изменением эффективности образования высокоэнергетического интермедиата 1,2-диоксетандиона в случае менее активного БТЭЭ-оксалата. Эффективность хемилюминесценции БТЭЭ-оксалата в мицеллах увеличивалась с повышением степени полимеризации гидрофобного блока лактида. При этом БТЭЭ-оксалат, солюбилизованный в мицеллах сополимеров мПЭГ‒блок‒поли-L-лактид, проявляет более высокую активность в ПО-реакции, чем при включении в мицеллы мПЭГ‒блок‒поли-D,L-лактид с такой же массой гидрофобного блока.
Авторы выражают благодарность Е.М. Будыниной (МГУ) за помощь в анализе образцов методом ЯМР-спектроскопии.
Работа выполнена при финансовой поддержке Российского научного фонда (проект 23-23-00119).
About the authors
Е. О. Фомин
Московский государственный университет им. М.В. Ломоносова
Email: meliknubarovns@gmail.com
Russian Federation, Москва
Е. А. Якимова
Московский государственный университет им. М.В. Ломоносова
Email: meliknubarovns@gmail.com
Russian Federation, Москва
Н. П. Якимов
Московский государственный университет им. М.В. Ломоносова
Email: meliknubarovns@gmail.com
Russian Federation, Москва
И. Д. Гроздова
Московский государственный университет им. М.В. Ломоносова
Email: meliknubarovns@gmail.com
Russian Federation, Москва
Н. С. Мелик-Нубаров
Московский государственный университет им. М.В. Ломоносова
Author for correspondence.
Email: meliknubarovns@gmail.com
Russian Federation, Москва
References
- J.F. Algorri, M. Ochoa, P. Roldán-Varona, L. Rodríguez-Cobo, and J.M. López-Higuera, Cancers 13, 3484 (2021).
- R. Laptev, M. Nisnevitch, G. Siboni, Z. Malik, and M.A. Firer, Br. J. Cancer 95, 189 (2006).
- J. Ng, N. Henriquez, A. MacRobert, N. Kitchen, N. Williams, and S. Bown, Photodiagnosis Photodyn. Ther. 38, 102856 (2022).
- E.A. Chandross, Tetrahedron Lett. 4, 761 (1963).
- A. Boaro and F.H. Bartoloni, Photochem. Photobiol. 92, 546 (2016).
- M. Vacher, I.F. Galván, B.-W. Ding, S. Schramm, R. Berraud-Pache, P. Naumov, N. Ferré, Y.-J. Liu, I. Navizet, D. Roca-Sanjuán, W.J. Baader, and R. Lindh, Chem. Rev. 118, 6927 (2018).
- M.J. Phillip and P.P. Maximuke, Oncology 46, 266 (1989).
- A.V. Romanyuk, I.D. Grozdova, A.A. Ezhov, and N.S. Melik-Nubarov, Sci. Rep. 7, 3410 (2017).
- L.S. Darken, J. Am. Chem. Soc. 63, 1007 (1941).
- D. Lee, S. Khaja, J.C. Velasquez-Castano, M. Dasari, C. Sun, J. Petros, W.R. Taylor, and N. Murthy, Nat. Mater. 6, 765 (2007).
- X. Zhen, C. Zhang, C. Xie, Q. Miao, K.L. Lim, and K. Pu, ACS Nano 10, 6400 (2016).
- Y.-D.D. Lee, C.-K.K. Lim, A. Singh, J. Koh, J. Kim, I.C. Kwon, and S. Kim, ACS Nano 6, 6759 (2012).
- M. Wu, M. Cui, A. Jiang, R. Sun, M. Liu, X. Pang, H. Wang, B. Song, and Y. He, Angew. Chem. Int. Ed. Eng. 62, e202303997 (2023).
- D. Mao, W. Wu, S. Ji, C. Chen, F. Hu, D. Kong, D. Ding, and B. Liu, Chem 3, 991 (2017).
- M. Dasari, D. Lee, V.R. Erigala, and N. Murthy, J. Biomed. Mater. Res., Part A 89, 561 (2009). https://doi.org/10.1002/jbm.a.32430
- S.S. Mohammadi, Z. Vaezi, B. Shojaedin-Givi, and H. Naderi-Manesh, Anal. Chim. Acta 1059, 113 (2019).
- M. Xie, Z. Zhang, W. Guan, W. Zhou, and C. Lu, Anal. Chem. 91, 2652 (2019).
- A.V. Romanyuk and N.S. Melik-Nubarov, Polym. Sci., Ser. B 57, 369 (2015). https://doi.org/10.1134/S1560090415040089
- M.M. Rauhut, L.J. Bollyky, B.G. Roberts, M. Loy, R.H. Whitman, A.V. Iannotta, A.M. Semsel, and R.A. Clarke, J. Am. Chem. Soc. 89, 6515 (1967).
- P. Ferruti, M. Penco, P. D’Addato, E. Ranucci, and R. Deghenghi, Biomaterials 16, 1423 (1995).
- E.A. Dets, N.P. Iakimov, I.D. Grozdova, and N.S. Melik-Nubarov, Mendeleev Commun. 33, 793 (2023).
- C.D. Dowd and D.B. Paulm, Aust. J. Chem. 37, 73 (1984).
- F.J. Alvarez, N.J. Parekh, B. Matuszewski, R.S. Givens, T. Higuchi, and R.L. Schowen, J. Am. Chem. Soc. 108, 6437 (1986).
- S.M. da Silva, A.P. Lang, A.P.F. dos Santos, M.C. Cabello, L.F.M.L. Ciscato, F.H. Bartoloni, E.L. Bastos, and W.J. Baader, J. Org. Chem. 86, 11434 (2021).
- A.G. Hadd, A. Seeber, and J. W. Birks, J. Org. Chem. 65, 2675 (2000).
- T. Maruyama, S. Narita, and J. Motoyoshiya, J. Photochem. Photobiol., A 252, 222 (2013).
- J.P. Guthrie, Canad. J. Chem. 56, 2354 (1978).
- H. Neuvonen, J. Chem. Soc. Perkin Trans. 2 1995, 945 (1995).
- M.M. Rauhut, US Patent No. 3749679 (1971).
- M.M. Rauhut, Acc. Chem. Res. 2, 80 (1969).
- M. Khalid, S.P. Souza, M.C. Cabello, F.H. Bartoloni, L.F.M.L. Ciscato, E.L. Bastos, O.A.A. El Seoud, and W.J. Baader, J. Photochem. Photobiol., A 433, 114161 (2022).
- T. Riley, C.R. Heald, S. Stolnik, M.C. Garnett, L. Illum, S.S. Davis, S.M. King, R.K. Heenan, S.C. Purkiss, R.J. Barlow, P.R. Gellert, and C. Washington, Langmuir 19, 8428 (2003).
- S.A. Hagan, A.G. A. Coombes, M.C. Garnett, S.E. Dunn, M.C. Davies, L. Illum, S.S. Davis, S.E. Harding, S. Purkiss, and P.R. Gellert, Langmuir 12, 2153 (1996).
- E.V. Razuvaeva, A.I. Kulebyakina, D.R. Streltsov, A.V. Bakirov, R.A. Kamyshinsky, N.M. Kuznetsov, S.N. Chvalun, and E.V. Shtykova, Langmuir 34, 15470 (2018).
- T. Riley, T. Govender, S. Stolnik, C.D. Xiong, M.C. Garnett, L. Illum, and S.S. Davis, Colloids Surf., B 16, 147 (1999).
- T. Riley, S. Stolnik, C.R. Heald, C.D. Xiong, M.C. Garnett, L. Illum, S.S. Davis, S.C. Purkiss, R.J. Barlow, and P.R. Gellert, Langmuir 17, 3168 (2001).
- S.S. Venkatraman, P. Jie, F. Min, B.Y.C. Freddy, and G. Leong-Huat, Int. J. Pharm. 298, 219 (2005).
- M.L. Bender and W.A. Glasson, J. Am. Chem. Soc. 81, 1590 (1959).
- F.A. Augusto, G.A. de Souza, S.P. de Souza Junior, M. Khalid, and W.J. Baader, Photochem. Photobiol. 89, 1299 (2013).
- F.H. Bartoloni, A.P. E. Pagano, F.A. Augusto, and W.J. Baader, Luminescence 29, 62 (2014).
Supplementary files











