Самовосстанавливающиеся полиуретаны на основе природного сырья
- Authors: Платонова Е.О.1,2, Пономарева П.Ф.1, Третьяков И.В.1, Афанасьев Е.С.2, Фролов С.М.1, Межуев Я.О.2,3
-
Affiliations:
- Федеральный исследовательский центр химической физики им. Н.Н. Семенова Российской академии наук
- Институт элементоорганических соединений им. А.Н. Несмеянова Российской академии наук
- Российский химико-технологический университет им. Д.И. Менделеева
- Issue: Vol 66, No 2 (2024)
- Pages: 101-111
- Section: ФУНКЦИОНАЛЬНЫЕ ПОЛИМЕРЫ
- URL: https://ogarev-online.ru/2308-1139/article/view/266167
- DOI: https://doi.org/10.31857/S2308113924020024
- EDN: https://elibrary.ru/NAJECJ
- ID: 266167
Cite item
Full Text
Abstract
На основе фурфурилглицидилового эфира – продукта, получаемого из фурфурола, синтезированы диольные удлинители цепи. С использованием этих удлинителей и бисмалеимидного отвердителя получены полиуретаны с эффектом термического самовосстановления посредством обратимой реакции Дильса–Альдера. Строение синтезированных полимеров доказано методом ИК-спектроскопии. Также определены термические и физико-механические свойства материалов. Методом дифференциальной сканирующей калориметрии показан циклический характер протекания прямой и обратной реакции Дильса–Альдера. С помощью метода сканирующей электронной микроскопии проведена визуальная оценка способности материала к самовосстановлению. Количественная оценка (эффективность самовосстановления модуля Юнга и предела прочности) проведена при помощи динамометрического анализа исходных и восстановленных образцов полимеров. Показано влияние содержания динамических связей на свойства полиуретанов, а также эффективность самозалечивания.
Full Text
ВВЕДЕНИЕ
Мировое производство полиуретанов и полимерных композиционных материалов на их основе к настоящему времени достигает нескольких десятков миллионов тонн в год [1]. ПУ широко используются для производства пластиков [2], клеев [3], покрытий [4, 5] и пен [6, 7]. Основная часть таких материалов не подвергается вторичной переработке и утилизируется, как правило, посредством сжигания или захоронения, что представляет серьезную угрозу для окружающей среды [8]. В целях значительного упрощения процесса химической переработки ПУ целесообразно изначально так спроектировать состав и структуру материала, чтобы по окончании срока службы его можно было либо расщепить на исходные компоненты, либо переработать. Именно поэтому в настоящее время в химии полимеров получила широкое распространение тенденция по созданию материалов многократного использования [3, 6, 7, 9].
Одним из методов разработки таких материалов является внедрение обратимо расщепляющихся под действием внешнего стимула (температуры, излучения) структур, таких как дисульфидные и дителлуридные мостики [10, 11], водородные [12] и ковалентные связи [13]. Обратимая реакция Дильса–Альдера (ДА-реакция) – один из наиболее полезных инструментов для создания полимеров с эффектом термического самовосстановления:
Она представляет собой термически индуцируемое [4+2] циклоприсоединение с участием диена и диенофила [14–17]. В качестве таковых чаще всего применяются фураны (диен) и малеимиды (диенофил). ДА-реакция, образуя бициклический аддукт (ДА-аддукт), и обратная ДА-реакция (оДА-реакция) находятся в термодинамическом равновесии, которое зависит от температуры. При высоких температурах (как правило 110–130 °C) преобладает оДА-реакция, и равновесие смещено в сторону исходных соединений, а при более низких (30–60 °C) – в сторону ДА-аддукта [14]. Существуют многочисленные исследования по тематике как образования по ДА-реакции термически обратимых ковалентных сеток из мономеров, так и сетчатых полимеров, содержащих соответствующие боковые функциональные группы [9, 18–22].
Фураны – это продукт переработки растительного сырья (отходов сельского хозяйства), который получают путем гидролиза и последующей дегидратации целлюлозы. Использование соединений из биовозобновляемых источников позволяет снизить объем потребления невозобновляемых ресурсов (нефть) [23] и одновременно привести к улучшению термомеханических свойств промышленно получаемых полимерных смол [24]. В данной работе представлен синтез удлинителя цепи на основе фурфурилглицидилового эфира (ФГЭ) и ПУ на его основе с эффектом термического самозалечивания. Стоит отметить, что, несмотря на то, что трифурандиол подобного строения уже был получен ранее [17, 25, 26] и даже использовался для создания самовосстанавливающихся полимеров, в литературе представлено крайне мало работ на тему самовосстанавливающихся ПУ на основе такого удлинителя цепи. В публикации [17] авторами был получен самозалечивающийся ПУ (на основе изофорондиизоцианата), проведена оценка эффективности залечивания (по пределу прочности). Однако влияние содержания ДА-аддуктов на физико-механические свойства и эффективность самовосстановления, равно как и способность материала к вторичной переработке, не исследовалось. В настоящей работе нами было не только изучено влияние содержания ДА-аддуктов (а, следовательно, и густоты химической сетки), но и циклической переработки на свойства полученных ПУ.
ЭКСПЕРИМЕНТАЛЬНАЯ ЧАСТЬ
Материалы и реагенты
Фурфурол (99.5%, “Компонент-Реактив”) очищали перегонкой в вакууме. ППГ 2000 (полипропиленгликоль с Mn = 2000, “Aldrich”) сушили в вакууме (20 мбар) в течение 2 ч при 110 °C. Фурфуриламин (“Aldrich”) и ФГЭ (“Acros”) очищали перегонкой в вакууме (35 °C, 15 мбар и 100 °C, 10 мбар соответственно). ДМФА (“Acros”) сушили над гидридом кальция и перегоняли в вакууме (50 °C, 20 мбар), толуол сушили над гидридом кальция и перегоняли. 2,4-Толуилендиизоцианат (ТДИ), 80% 2,4-изомера, “Aldrich”) перегоняли в вакууме (126 °С/11 мбар) и вымораживали для отделения 2,6-изомера, 2,6-ди-трет-бутил-4-метилфенол (BHT, 99.0%, “Acros”) и 1,10-(метиленди-1,4-фенилен)бисмалеимид (БМИ 95%, “Aldrich”) использовали без дополнительной очистки.
Синтез трифурандиола
Трифурандиол (ТФ) синтезировали согласно модифицированной известной методике [25]. Смесь 21.6 мл (157.7 ммоль) ФГЭ и фурфуриламина (6.34 мл, 71.7 ммоль) в 40 мл толуола кипятили в течение 4 ч, ход реакции отслеживали методом ИК-спектроскопии (по исчезновению полос при 952 и 938 см–1, соответствующих оксирановому циклу ФГЭ, 1600 и 3300 см–1 – валентным и деформационным колебаниям аминогруппы, а также появлению полосы при 3500 см–1 для спиртовой группы). Растворитель удаляли при пониженном давлении, остаток фильтровали через слой активированного угля и переосаждали в системе диэтиловый эфир/гексан для отделения смолистых побочных продуктов. Выход составил 96%. ЯМР 1H (300 МГц, CDCl3): 7.39 (дд, JHH = 1.7, 0.8 Гц, 2H, =CHO, фурановое кольцо), 7.35–7.33 (м, 1H, =CHO, фурановое кольцо), 6.30–6.27 (м, 5H, =CH–CH=, фурановый цикл), 6.16 (д, JHH = 2.9 Гц, 1H, =CH–CH=, фурановый цикл), 4.47 (с, 4H, –O–CH2–C), 3.88–3.78 (м, 2H, –(CH2)CH–OH), 3.72 (д, JHH = 5.2 Гц, 2H, –N–CH2–C–), 3.51–3.36 (м, 4H, –(OH)CH–CH2–O–), 2.69–2.51 (м, 4H, CH–CH2–N(CH2)–). ИК (НПВО, пленка, см–1): 3500 (OH), 3117(=CH), 2905, 2860, 1504, 1451, 1357 (третичная аминогруппа), 1278, 1227, 1148, 1077, 1013 (фурановый цикл), 921, 883, 809, 735 (С=С, фурановый цикл).
Синтез преполимера ПУ-ТФ0
Преполимер ПУ-ТФ0 получали стандартным двустадийным методом. На первой стадии проводили реакцию между ТДИ (8.6 г, 50.0 ммоль) и ППГ 2000 (50.0 г, 25.0 ммоль) в 100 мл сухого ДМФА. Синтез вели при 70 °C в атмосфере аргона в течение 3 ч. Ход реакции отслеживали при помощи ИК-спектроскопии (по исчезновению характеристической полосы поглощения ОН-группы ППГ 2000 при 3473 см–1). На втором этапе реакционную смесь охлаждали до комнатной температуры и в течение 15 мин прикапывали раствор трифурандиола (10.1 г, 25.0 ммоль) в ДМФА (50 мл). По окончании реакционный раствор перемешивали 2 ч при 60 °C, затем добавляли одну–две капли трифурандиола для связывания непрореагировавших изоцианатных групп. Ход реакции отслеживали по исчезновению характеристической полосы поглощения изоцианатной группы при 2270 см–1. Выход 67 г (97%). ЯМР 1H (600 MГц, ДМСО-d6, δ): 7.95 (с, 4H, –NH–Ar), 7.64–7.59 (м, 2H, =CHO, фурановый цикл), 7.57 (с, 1H, =CHO, фурановый цикл), 7.19–7.12 (м, 2H, –Ar), 7.11–7.06 (м, 2H, –Ar), 7.03 (д, JHH = 7.9 Гц, 2H, –Ar), 6.43–6.36 (м, 5H, =CHO– фурановый цикл), 6.27–6.22 (м, 1H, =CHO, фурановый цикл), 4.38 (д, JHH = 1.4 Гц, 4H, –O–CH2–C), 3.71–3.67 (м, 2H, –(CH2)CH–O–), 3.67–3.61 (м, 4H, –(O)CH–CH2–O–), 3.61–3.57 (м, 2H, –N–CH2–C–), 3.55–3.38 (м, 52H, O–CH2–CH(CH3)–), 3.31 (с, 26H, CH2–CH(CH3)–O), 2.89 (с, 6H, CH3–Ar), 2.73 (с, 6H, CH3–Ar), 2.1–2.01 (м, 4H, CH–CH2–N(CH2)–), 1.07–0.96 (м, 78H, CH–CH3). ЯМР 13C (101 МГц, ДМСО-d6, δ): 152.27, 143.43, 109.79, 74.94, 72.72, 65.77, 64.67, 20.74, 17.59; ИК (НПВО, пленка, см–1): 2970, 2930, 2867 (С–Наром, СН2 ППГ 2000), 1728 (C=O), 1598, 1531, 1451 (C–Cаром, N–H, N–C), 1409, 1373, 1345 (C–Cаром), 1295, 1226 (C–N), 1100 (C–O–C ППГ 2000), 1013 (С=С фурановый цикл, C–Cаром,), 922, 867, 817, 735 (С=С фурановый цикл).
Синтез полимеров ПУ-ТФ1, ПУ-ТФ2 и ПУ-ТФ3
К раствору преполимера ПУ-ТФ0 (9.0 г, 3.3 ммоль, 1.0 экв) в 20 мл ДМФА добавляли БМИ (1.41 г, 3.9 ммоль, 1.2 экв) в качестве отвердителя и BHT (0.016 г, 0.072 ммоль, 1 мол. % по отношению к количеству преполимера и отвердителя) в качестве стабилизатора. Реакционную смесь нагревали до 60 °C в течение 2 ч, затем наносили на стеклянную подложку (чашку Петри) и отверждали при 60 °C в течение 48 ч. Таким образом была получена полиуретановая пленка ПУ-ТФ1. Аналогичным образом были синтезированы пленки ПУ-ТФ2 и ПУ-ТФ3 с использованием 1.5 и 1.8 экв. БМИ (на 1 экв. ПУ-ТФ0) соответственно. Все полимеры имели вид желтой прозрачной пленки и перед проведением испытаний хранились при комнатной температуре в защищенном от света месте не более недели. ИК (НПВО, пленка, см–1): 3313 (NH), 2970 (CH, ППГ 2000), 2931, 2896, 2870, 1776 (C=O, ДА-аддукт), 1709 (C=O), 1673 (C–C, N–H),1600 (C–C, NH, C–N),599, 1534, 1513, 1451 (C–C), 1374 (C–N), 1297, 1226 (C–O–C, ППГ 2000), 1100 (C–H, ППГ 2000), 1018, 936 (C–C, фуран),864 (C–H, малеимид), 820 ( C=C, фуран), 692 (C–H, малеимид).
Методы
ЯМР-спектры записывали на спектрометре “Bruker Avance 600” (600.1 МГц) в ДМСО-d6 с использованием в качестве стандарта остаточного сигнала дейтерированного растворителя, химические сдвиги измеряли в м.д. относительно внутреннего стандарта – тетраметилсилана. ИК-НПВО-спектры регистрировали на спектрометре “Nicolet iS10” в диапазоне 4000–650 см–1 с использованием германиевого кристалла. ДСК-анализ выполняли на приборе “NETZCH DSC 204 F1 Phoenix” в температурном интервале от –80 до +200 °C со скоростью нагревания/охлаждения 10 град/мин в атмосфере аргона. Для исследований использовали образцы массой 12–20 мг. Термогравиметрические исследования проведодили на приборе “NETZCH TG 209 F1 Libra” в температурном интервале 30–550 °C со скоростью нагревания/охлаждения 10 °C/мин в атмосфере аргона. Для исследований брали образцы массой ~5–6 мг. Микрофотографии были получены с использованием сканирующего электронного микроскопа “Phenom Pro X” (ускоряющее напряжение 15 кВ). Термический механический анализ выполняли на термомеханическом анализаторе “TA Instruments TMA Q400E” в режиме пенетрации. Образцы диаметром 0.6 см испытывали в температурном интервале от –70 до +390 °C со скоростью нагревания/охлаждения 5 °C/мин при нагрузке 1 Н с помощью датчика диаметром 2.54 мм. Динамометрические исследования проводили на разрывной машине “Zwick Roell Z100”. Пять образцов в виде двусторонних лопаточек вырубали из пленки с помощью вырубного ножа и испытывали при скорости нагрузки 50 мм/мин при комнатной температуре (25 °C).
Эксперимент по вторичной переработке
10 г измельченного полимера помещали в 100 мл ДМФА и нагревали при 120 °C до образования гомогенного раствора. Горячий раствор выливали в чашку Петри (или полипропиленовую форму для получения объемных образцов) и отверждали в сушильном шкафу при 60 °С в течение 48 ч.
Определение эффективности самовосстановления
Для количественной оценки эффективности процесса самовосстановления измеряли модуль упругости и предел прочности пленок. В качестве контрольной группы при определении механических свойств брали пять образцов, вырубленных из исходной пленки. Другие пять образцов намеренно повреждали скальпелем по центру испытуемой зоны. Поврежденные образцы подвергали процессу термического залечивания: выдерживали 2 ч при 120 °C и 48 ч при 60 °C. По завершении процесса залечивания восстановленные образцы испытывали аналогично образцам контрольной группы. Для каждой группы образцов были построены кривые нагружения и определено значение модуля упругости E и предела прочности σ. Для оценки процесса самовосстановления использовали эффективность восстановления модуля упругости ηE и эффективность восстановления предела прочности ησ:
где Еисх – модуль упругости исходных образцов (МПа), Евосст – модуль упругости залеченных образцов (МПа), σисх и σвосст – предел прочности для исходных и восстановленных образцов (МПа).
Методика определения равновесной степени набухания
Испытания по определению равновесной степени набухания проводили в соответствии с известной методикой [16]. Образец пленки (15 : 15 : 2 мм) помещали в ДМФА (30 мл), прирост массы измеряли с интервалом в 1 мин, затем с интервалом в 2, 3 и 5 мин до тех пор, пока масса образца не перестанет изменяться (до достижения плато продолжительностью 5 измерений). Образец выдерживали в растворителе несколько часов до постоянной массы, затем высушивали в течение нескольких дней при 60 °C для определения нулевого значения массы.
Определение содержания золь-фракции
Образец полимера массой 0.6 г помещали в 30 мл ДМФА и выдерживали в течение 12 ч. Раствор отфильтровывали, золь-фракцию сушили несколько дней при 60 °C до постоянной массы.
РЕЗУЛЬТАТЫ И ИХ ОБСУЖДЕНИЕ
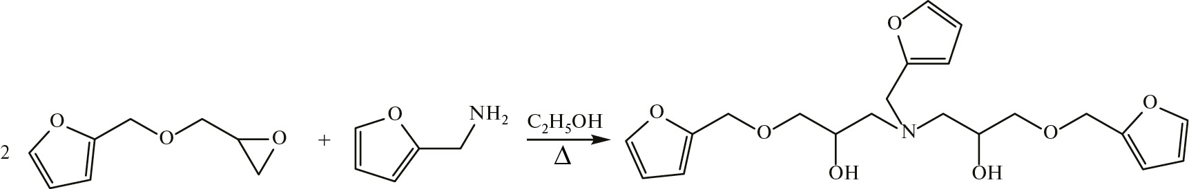
Для получения сетчатых ПУ использовали способ, широко описанный в литературе [27, 28, 29]. Он заключается во взаимодействии преполимера с боковыми фурановыми заместителями в цепи и низкомолекулярного (реже олигомерного) бисмалеимида. Для синтеза густосетчатых ПУ в качестве олигоэфирдиола использовали полипропиленгликоль, Мn = 2000 (ППГ-2000), а функционализация преполимера фуранами достигалась путем добавления трифурандиолового удлинителя цепи. Трифурандиол был получен по модифицированной методике [25] путем взаимодействия 2 экв фурфурилглицидилового эфира с 1 экв фурфуриламина:
Соединение было охарактеризовано спектральными методами (ИК и ЯМР), полученные данные совпадали с литературными.
Полученные после отверждения БМИ полимеры ряда ПУ-ТФ1, ПУ-ТФ2 и ПУ-ТФ3 в обычных органических растворителях (ацетон, гексан, хлороформ) либо не растворялись, либо набухали (ДМФА, ДМСО):
Такое поведение характерно для густосетчатых полимеров.
Использованные соотношения ПУ-ТФ0 : БМИ (m = 1.2–1.8) были определены опытным путем. Так, при m > 1.8 происходила кристаллизация непрореагировавшего БМИ на поверхности и в толще пленок. Причиной неполноты расходования БМИ может являться довольно резкий рост вязкости полимерного раствора, который наблюдался в процессе отверждения. Пленки, полученные при m < 1.2, оказались непрочными и липкими, непригодными к испытаниям.
Состав полимеров ПУ-ТФ1, ПУ-ТФ2 и ПУ-ТФ3 анализировали методом ИК-спектроскопии, спектры полиуретанов, а также исходного преполимера ПУ-ТФ0 и отвердителя представлены на рис. 1.
Рис. 1. Спектры ИК-НПВО трифурандиола (1), полиуретанов ПУ-ТФ0 (2), ПУ-ТФ1 (3), ПУ-ТФ2 (4) и ПУ-ТФ3 (5). Цветные рисунки можно посмотреть в электронной версии.
В ИК-спектрах ПУ-ТФ1, ПУ-ТФ2 и ПУ-ТФ3 наблюдалось уменьшение интенсивности характеристической полосы деформационных колебаний фуранового цикла при 766 см–1 и появление слабой полосы карбонильных групп в бициклическом ДА-аддукте при 1774 см–1, что также указывало на успешное отверждение и образование ДА-аддуктов [30, 31]. Полосу групп C=O при 1714 см–1 можно отнести к частично непрореагировавшим малеимидным группам и уретановым фрагментам.
При выдерживании полимеров ПУ-ТФ1, ПУ-ТФ2 и ПУ-ТФ3 в ДМФА была выделена растворимая золь-фракция, которая составляла от 7 до 14% от массы сухого образца. Методом ЯМР-спектроскопии было показано, что золь-фракция состоит из олигомеров со свободными малеимидными группами.
Для определения термостабильности ПУ-ТФ1, ПУ-ТФ2 и ПУ-ТФ3 использовали метод ТГА (в аргоне), термограммы образцов представлены на рис. 2.
Рис. 2. Кривые ТГА (а) и ДТГ (б) полиуретанов ПУ-ТФ1 (1), ПУ-ТФ2 (2) и ПУ-ТФ3 (3).
Температура 5 и 10% потери массы (Т5% и Т10%) немного уменьшалась с ростом содержания БМИ (табл. 1) и в целом значения температур разложения несильно превышали таковые для сетчатых полимеров, ранее синтезированных нами из разветвленного лапрола 3003 [32], что свидетельствует о сходной термостойкости обоих рядов ПУ.
Таблица 1. Термические характеристики полимеров ряда ПУ-ТФ1, ПУ-ТФ2 и ПУ-ТФ3
Полимер | Td5%, °C | Td10%, °C | Td max, °C | Зольный остаток, мас. % | ТоДА, °C | Tg, °C | ΔHоДА, Дж/г |
ПУ-ТФ1 | 306 | 330 | 387 | 20.0 | 115, 131 | –49 | 21.5 |
ПУ-ТФ2 | 286 | 312 | 388 | 18.8 | 115, 132 | –48 | 22.0 |
ПУ-ТФ3 | 291 | 320 | 391 | 20.4 | 113, 134 | –48 | 23.2 |
Все полимеры ряда ПУ-ТФ1, ПУ-ТФ2 и ПУ-ТФ3 обладали довольно хорошей термической стойкостью и показали медленную потерю массы в интервале 260–360 °C (15.9, 17.3 и 20.7% для ПУ-ТФ1, ПУ-ТФ2 и ПУ-ТФ3 соответственно). Основная потеря массы наблюдается в интервале 370–450 °C и составляет 77.8, 78.7 и 75.4% для полиуретанов ПУ-ТФ1, ПУ-ТФ2 и ПУ-ТФ3. Образцы ПУ-ТФ1, ПУ-ТФ2 и ПУ-ТФ3 не показали явной тенденции к росту зольного остатка и температур разложения. На кривых ДТГ (рис. 2) присутствуют максимумы в области 387–391 °C, соответствующие потере массы в результате термического разложения фурансодержащего преполимера. Небольшие пики при 110–150 °C могут быть связаны с испарением следовых количеств ДМФА в материале (в ИК-спектрах сигналы ДМФА не проявляются). Кривые ТГА исходных и переработанных образцов практически идентичны, что свидетельствует о том, что переработка не влияет на термостабильность полученных полиуретанов.
Термические свойства и обратимый характер ДА-связей в ПУ-ТФ1, ПУ-ТФ2 и ПУ-ТФ3 были исследованы методом ДСК в атмосфере аргона (рис. 3).
Рис. 3. Кривые ДСК полимеров ПУ-ТФ1 (1), ПУ-ТФ2 (2) и ПУ-ТФ3 (3): сплошная линия – первое нагревание, штриховая – второе нагревание, пунктирная линия – охлаждение.
На термограммах первого нагревания для всех образцов присутствуют эндотермические пики, отвечающие протеканию оДА-реакции, связанные с расщеплением эндо- и экзо-стереомеров ДА-аддукта [33]. Эндо-аддукт, как кинетический продукт, имеет более низкую температуру оДА-реакции, в то время как экзо-аддукт, как термодинамический продукт, часто более термически стабилен и имеет более высокую температуру оДА-реакции [33, 34]. На кривых нагревания присутствует бимодальное распределение сигналов ввиду образования стереомеров. Однако на термограммах второго нагревания пик оДА-реакции хоть и значительно уменьшается, но не пропадает полностью (в отличие от ПУ на основе лапрола 3003 [32]). Также в процессе охлаждения протекает прямая ДА-реакция, на что указывает широкий экзотермический пик в интервале температур от 80 до 140 °С на соответствующих кривых всех образцов ПУ-ТФ1-3. Таким образом, в процессе второго нагревания происходит расщепление остаточных и новообразованных ДА-аддуктов, что и объясняет наличие пика оДА-реакции при втором нагревании. Термограммы исходных и повторно переработанных образцов аналогичны.
Также для всех полимеров ПУ-ТФ1, ПУ-ТФ2 и ПУ-ТФ3 была определена температура стеклования (табл. 1), которая отвечает стеклованию гибкого сегмента ППГ 2000 [35]. Рост Tg по сравнению с ранее полученными линейными [15] и лапрольными [32] ПУ может быть вызван как повышением ММ полимеров ряда ПУ-ТФ1, ПУ-ТФ2 и ПУ-ТФ3, так и большей жесткостью структуры: в линейных и лапрольных преполимерах активные группы находятся только на конце макромолекулы, в то время как в преполимерах на основе трифурандиола они присутствуют в виде боковых заместителей в основной цепи, что способствует увеличению количества ДА-аддуктов и приводит тем самым к росту жесткости полимерной сетки.
Для исследования термомеханических свойств полученных полимеров был проведет термомеханический анализ в режиме пенетрации, кривые ТМА для образцов ПУ-ТФ1, ПУ-ТФ2 и ПУ-ТФ3 представлены на рис. 4.
Рис. 4. Кривые ТМА полимеров ПУ-ТФ1 (1), ПУ-ТФ2 (2) и ПУ-ТФ3 (3).
Кривые для полимеров ПУ-ТФ1, ПУ-ТФ2 и ПУ-ТФ3 имеют вид, типичный для полиуретанов [36–38]. Первый переход при температуре около –43 °C можно отнести к стеклованию гибкого домена – ППГ 2000. Второй переход, начинающийся в диапазоне 125–167 °С, можно отнести к перекрывающимся сигналам оДА-реакции и диссоциации водородных связей в жестких сегментах полимера [39]. Результаты ТМА-анализа согласуются с исследованиями методом ДСК.
Сетчатые полимеры ряда ПУ-ТФ1, ПУ-ТФ2 и ПУ-ТФ3 довольно легко можно переработать растворным методом: измельченный полимер нагревали в ДМФА до 120 °С до получения гомогенного раствора, затем выливали на подложку и отверждали в течение 48 ч при 60 °С. Кривые ДСК исходных и повторно переработанных образцов имеют аналогичный вид. Для оценки плотности полимерной сетки исходные и дважды переработанные образцы ПУ-ТФ1, ПУ-ТФ2 и ПУ-ТФ3 были испытаны на набухание в ДМФА (рис. 5).
Рис. 5. Кривые набухания исходных полимеров ПУ-ТФ1 (1), ПУ-ТФ2 (2) и ПУ-ТФ3 (3) (а), а также дважды переработанных полимеров ПУ-ТФ1 (б), ПУ-ТФ2 (в) и ПУ-ТФ3 (г); б–г: 1 – 0 цикл, 2 – 1 цикл, 3 – 2 цикл.
В случае первичных (0 цикл) образцов скорость набухания и значение степени набухания уменьшались с увеличением содержания БМИ. Предположительно с ростом содержания БМИ в ряду ПУ-ТФ1, ПУ-ТФ2 и ПУ-ТФ3 повышается и содержание ДА-аддуктов, а, следовательно, увеличивается и плотность сетки в материале. Образцы ПУ-ТФ1, ПУ-ТФ2 и ПУ-ТФ3 сохраняют целостность на протяжении нескольких часов после начала испытаний, что может указывать на повышенную плотность сетки. Небольшой рост степени набухания для всех однократно переработанных ПУ (1 цикл) находился в пределах погрешности. Повышение скорости набухания для всех переработанных полимеров может быть вызвано увеличением размеров ячеек физической сетки полимера после вторичной переработки. После второго цикла переработки скорость и степень набухания практически не меняется для всего ряда ПУ-ТФ1, ПУ-ТФ2 и ПУ-ТФ3.
Для определения физико-механических свойств проводили динамометрические испытания исходных и переработанных образцов ПУ-ТФ1, ПУ-ТФ2 и ПУ-ТФ3. В процессе каждого цикла исследовали физико-механические свойства материалов методом одноосного растяжения, результаты представлены в табл. 2. Типичные кривые нагружения и гистограммы, характеризующие изменение физико-механических характеристик, представлены на рис. 6 и 7.
Таблица 2. Физико-механические характеристики полимеров ПУ-ТФ1, ПУ-ТФ2 и ПУ-ТФ3
Образец | E0 | E4 | σ0 | σ4 | E5 исх | E5 восст | ηE,% | σ5 исх | σ5 восст | ησ,% |
МПа | МПа | МПа | МПа | |||||||
ПУ-ТФ1 | 4 | 4 | 6 | 7 | 7 | 3 | 57 | 6 | 3 | 52 |
ПУ-ТФ2 | 4 | 6 | 8 | 9 | 8 | 5 | 63 | 8 | 4 | 53 |
ПУ-ТФ3 | 4 | 6 | 11 | 9 | 10 | 10 | 99 | 11 | 10 | 87 |
Рис. 6. Типичные диаграммы нагружения ПУ-ТФ1 (1), ПУ-ТФ2 (2) и ПУ-ТФ3 (3).
Рис. 7. Изменение предела прочности (а), модуля упругости (б) ПУ-ТФ1 (1), ПУ-ТФ2 (2), ПУ-ТФ3 (3) в ходе вторичной переработки, и относительного удлинения образцов ПУ-ТФ1 (1), ПУ-ТФ2 (2) и ПУ-ТФ3 (3) в процессе циклической переработки (в).
Испытания на растяжение показали, что с повышением содержания БМИ в ряду ПУ-ТФ1, ПУ-ТФ2 и ПУ-ТФ3 происходит увеличение предела прочности, скорей всего, связанное с ростом плотности ДА-аддуктов, которые выполняют роль поперечных сшивок (табл. 2). Все три образца ПУ-ТФ1, ПУ-ТФ2 и ПУ-ТФ3 показывают близкие значения модулей упругости с небольшой тенденцией к увеличению при росте концентрации БМИ. Для всех композиций вне зависимости от концентрации бисмалеимида при повторных переработках наблюдается увеличение прочности приблизительно на 2 МПа (при первом и втором цикле) с последующим снижением до исходного значения. Вероятно, в процессе приготовления (при 60 °С) образцов все исследованные системы неравновесны: длинные разветвленные молекулы в вязких растворах за время термообработки не могут занять термодинамически выгодное положение. При повторных циклах переработки, когда полимерные сетки распадаются, у систем появляется возможность образовать более равновесную структуру, учитывая и тот факт, что повторная переработка проходит при более высокой температуре (120 °С). Возврат прочности к исходным значениям (на третьем и четвертом цикле) может быть связан с протеканием процессов деструкции (уменьшение числа поперечных связей и активных центров). Также этот эффект может быть вызван тем, что в процессе переработки происходит накопление поперечных связей в материале: то есть количество реакционноспособных групп при переработке не меняется, однако количество поперечных связей (ДА-аддуктов), которые образуются из этих групп, зависит от довольно большого числа факторов (вязкости реакционного раствора, подвижности молекул полимера, расположения активных групп в молекуле). При переработке, несмотря на нагревание до 120 °С, можно предполагать, что расщепляются не все поперечные связи, и при дальнейшем отверждении при 60 °С может происходить их накопление в полиуретане (на что косвенно указывают данные ДСК-анализа). Величины σ и E на последних циклах (второй–четвертый цикл) практически не меняются. Также с повышением содержания БМИ растет и эффективность восстановления модуля упругости и прочности. Явной закономерности в изменении относительного удлинения полимеров e в процессе вторичной переработки не наблюдалось.
Визуальная оценка самовосстановления была проведена методом СЭМ: были получены микрофотографии образца ПУ-ТФ3 с нанесенным повреждением до и после процесса залечивания (рис. 8). Надрез скальпелем залечивали следующим температурным режимом: 2 ч при 120 °C, 48 ч при 60 °C. На микрофотографиях заметно, что поврежденная поверхность практически полностью восстановилась после термической обработки.
Рис. 8. СЭМ-изображения образца пленки ПУ-ТФ3 до (а) и после (б) проведения термического залечивания.
Таким образом, была получена серия полиуретанов, которые могут быть подвергнуты вторичной переработке в течение по крайней мере пяти циклов без потери в физико-механических свойствах и термостойкости. Благодаря использованию в качестве удлинителя цепи трифурандиола, который обеспечивает необходимое количество активных групп в полимере, синтезированные материалы обладают эффективной (~90%) способностью к самовосстановлению повреждений путем обратимой реакции Дильса–Альдера. Также было показано, что при увеличении содержания бисмалеимидного отвердителя происходит небольшое (30%) увеличение жесткости (модуль Юнга возрастает от 4 до 6 МПа), в то время как прочность на разрыв повышается почти на 70% (с 3 до 10 МПа). Обратимость реакции Дильса–Альдера в полиуретанах была показана методом ДСК и испытаниями по вторичной переработке. Жесткость и прочность материала после первого цикла переработки немного увеличивается (примерно на 30%), что может быть связано с неполнотой взаимодействия фурансодержащего преполимера и малеимидного отвердителя. При проведении дальнейших циклов модуль Юнга и прочность на разрыв изменяются в пределах погрешности. Стоит отметить, что циклические испытания подобных самовосстанавливающихся полимеров довольно редко встречаются в литературе. И для создания более экологичных материалов (в том числе материалов многоразового использования) очень важно понимать, как меняются физико-механические свойства такого материала при вторичной переработке.
Работа выполнена при финансовой поддержке Российского научного фонда (проект 24-29-00848).
About the authors
Е. О. Платонова
Федеральный исследовательский центр химической физики им. Н.Н. Семенова Российской академии наук; Институт элементоорганических соединений им. А.Н. Несмеянова Российской академии наук
Author for correspondence.
Email: e-o-platonova@yandex.ru
Russian Federation, 119991 Москва, ул. Косыгина, 4; 119334 Москва, ул. Вавилова, 28, стр. 1
П. Ф. Пономарева
Федеральный исследовательский центр химической физики им. Н.Н. Семенова Российской академии наук
Email: e-o-platonova@yandex.ru
Russian Federation, 119991 Москва, ул. Косыгина, 4
И. В. Третьяков
Федеральный исследовательский центр химической физики им. Н.Н. Семенова Российской академии наук
Email: e-o-platonova@yandex.ru
Russian Federation, 119991 Москва, ул. Косыгина, 4
Е. С. Афанасьев
Институт элементоорганических соединений им. А.Н. Несмеянова Российской академии наук
Email: e-o-platonova@yandex.ru
Russian Federation, 119334 Москва, ул. Вавилова, 28, стр. 1
С. М. Фролов
Федеральный исследовательский центр химической физики им. Н.Н. Семенова Российской академии наук
Email: e-o-platonova@yandex.ru
Russian Federation, 119991 Москва, ул. Косыгина, 4
Я. О. Межуев
Институт элементоорганических соединений им. А.Н. Несмеянова Российской академии наук; Российский химико-технологический университет им. Д.И. Менделеева
Email: e-o-platonova@yandex.ru
Russian Federation, 119334 Москва, ул. Вавилова, 28, стр. 1; 125047 Москва, Миусская пл., 9
References
- Research P. Polyurethane Market (By Product: Rigid Foam, Flexible Foam, Coatings, Adhesives & Sealants, Elastomers, Others; By Raw Material: Polyol, MDI, TDI, Others; By Application: Furniture & Interiors, Construction, Electronics & Appliances, Automotive, Footwear, Packaging, Others) - Global Industry Analysis, Size, Share, Growth, Trends, Regional Outlook, and Forecast 2023-2032 [Электронный ресурс]. 2024. - URL: https://www.precedenceresearch.com/polyurethane-market (Дата обращения 03.05.2024).
- Weng F., Liu X., Koranteng E., Ma N., Wu Z., Wu Q. // Polym. Compos. 2019. V. 40. № 12. P. 4694.
- Wang S., Liu Z., Zhang L., Guo Y., Song J., Lou J., Guan Q., He C., You Z. // Mater. Chem. Frontiers. 2019. V. 3. № 9. P. 1833.
- Fan W., Zhang Y., Li W., Wang W., Zhao X., Song L. // Chem. Eng. J. 2019. V. 368. P. 1033.
- Mirmohseni A., Akbari M., Najjar R., Hosseini M. // J. Appl. Polym. Sci. 2019. V. 136. № 8. P. 47082.
- Deng Y., Dewil R., Appels L., Ansart R., Baeyens J., Kang Q. // J. Environment. Management. 2021. V. 278. P. 111527.
- Gama N., Godinho B., Marques G., Silva R., Barros-Timmons A., Ferreira A. // Polymer. 2021. V. 219. P. 123561.
- Akindoyo J.O., Beg M.D.H., Ghazali S., Islam M.R., Jeyaratnam N., Yuvaraj A.R. // RSC Adv. 2016 V. 6. № 115. P. 114453.
- Zhang Y., Broekhuis A.A., Picchioni F. // Macromolecules. 2009. V. 42. № 6. P. 1906.
- Liu J., Ma X., Tong Y., Lang M. // Appl. Surfa. Sci. 2018. V. 455. P. 318.
- Chang K., Jia H., Gu S.-Y. // Eur. Polym. J. 2019. V. 112. P. 822.
- Liang Z., Huang D., Zhao L., Nie Y., Zhou Z., Hao T., Li S. // J. Inorgan. Organomet. Polymers Mater. 2021. V. 31. № 2. P. 683.
- Bhattacharya S., Phatake R.S., Nabha Barnea S., Zerby N., Zhu J.-J., Shikler R., Lemcoff N.G., Jelinek R. // ACS Nano. 2019. V. 13. № 2. P. 1433.
- Coope T., Turkenburg D., Fischer H., Luterbacher R., Bracht H., Bond I. // Smart Mater. Struct. 2016. V. 25. P. 084010.
- Platonova E.O., Vlasov E., Pavlov A.A., Kireynov A., Nelyub V.A., Polezhaev A.V. // J. Appl. Polym. Sci. 2019. V. 136. № 33. P. 47869.
- Shahidzadeh M., Khansari Varkaneh Z., Ramezanzadeh B., Zamani Pedram M., Yarmohammadi M. // Progr. Org. Coatings. 2020. V. 140. P. 105503.
- Wei Y., Du X., Ma X., Zhao K., Zhang S., Bai Y. // Polym. Bull. 2017. V. 74. № 9. P. 3907.
- Adzima B.J., Aguirre H.A., Kloxin C.J., Scott T.F., Bowman C.N. // Macromolecules. 2008. V. 41. № 23. P. 9112.
- Kavitha A.A., Singha N.K. // ACS Appl. Mater. Interfaces. 2009. V. 1. № 7. P. 1427.
- Kloxin C.J., Scott T.F., Adzima B.J., Bowman C.N. // Macromolecules. 2010. V. 43. № 6. P. 2643.
- Marref M., Mignard N., Jegat C., Taha M., Belbachir M., Meghabar R. // Polym. Int. 2013. V. 62. № 1. P. 87-98.
- Scheltjens G., Diaz M.M., Brancart J., Van Assche G., Van Mele B. // React. Funct. Polymers. 2013. V. 73. № 2. P. 413.
- Gandini A., Carvalho A.J.F., Trovatti E., Kramer R.K., Lacerda T. M. // Eur. J. Lipid Sci. Technol. 2018. V. 120. № 1. P. 1700091.
- Karami Z., Zohuriaan-Mehr M., Kabiri K., Ghasemi Rad N. // Polymers from Renewable Resources. 2019. V. 10. № 1–3. P. 27.
- Liu Y.-L., Hsieh C.-Y. // J. Polym. Sci., Polym. Chem. 2006. V. 44. № 2. P. 905.
- Strachota B., Morand A., Dybal J., Matějka L. // Polymers. 2019. V. 11. № 6. P. 930.
- Willocq B., Odent J., Dubois P., Raquez J.-M. // RSC Adv. 2020. V. 10. № 23. P. 13766.
- Menon A.V., Madras G., Bose S. // Polym. Chem. 2019. V. 10. № 32. P. 4370.
- Gaina C., Ursache O., Gaina V., Varganici C. D. // eXPRESS Polym. Lett. 2013. V. 7. P. 636.
- Goussé C., Gandini A., Hodge P. // Macromolecules. 1998. V. 31. № 2. P. 314.
- Petrova T.V., Solodilov V.I., Kabantseva V.E., Karelina N.V., Polezhaev A.V. // IOP Conf. Ser.: Mater. Sci. Eng. 2019. V. 683. P. 012070.
- Platonova E., Chechenov I., Pavlov A., Solodilov V., Afanasyev E., Shapagin A., Polezhaev // Polymers. 2021. V. 13. № 12. P. 1935.
- Froidevaux V., Borne M., Laborbe E., Auvergne R., Gandini A., Boutevin B. // RSC Adv. 2015.V. 5. № 47. P. 37742.
- Cuvellier A., Verhelle R., Brancart J., Vanderborght B., Van Assche G., Rahier H. // Polym. Chem. 2019. V. 10. № 4. P. 473.
- Faucher J.A. // J. Polym. Sci., Polym. Lett. 1965. V. 3. № 2. P. 143.
- Бакирова И.Н., Романов Д.А., Губанов Э.Ф., Зенитова Л.А. // Высокомолек. соед. Б. 1998. Т. 40. № 10. С. 1666.
- Wang W., Ping P., Chen X., Jing X. // Eur. Polym. J. 2006. V. 42. № 6. P. 1240.
- Teitelbaum B.Y., Yagfarova T.A., Aleyev K.M., Khasanov M.K., Gafurov F.S. // J. Тhermal Аnalysis. 1984. V. 29. № 2. P. 227.
- Yu S., Zhang R., Wu Q., Chen T., Sun P. // Adv. Mater. 2013. V. 25. № 35. P. 4912.
Supplementary files












