Формирование наночастиц оксида цинка в водных растворах карбоксиметилцеллюлозы и их физико-химические свойства
- Authors: Юнусов Х.Э.1, Мирхолисов М.М.1, Ашуров Н.Ш.1, Сарымсаков А.А.1, Рашидова С.Ш.1
-
Affiliations:
- Институт химии и физики полимеров Академии наук Республики Узбекистан
- Issue: Vol 66, No 1 (2024)
- Pages: 50-58
- Section: КОМПОЗИТЫ
- URL: https://ogarev-online.ru/2308-1139/article/view/264119
- DOI: https://doi.org/10.31857/S2308113924010064
- EDN: https://elibrary.ru/NOJWRW
- ID: 264119
Cite item
Full Text
Abstract
Определены условия синтеза полимерметаллокомплексов, вмещающих в себя наночастицы оксида цинка различных размеров и форм, из растворов очищенной натрий-карбоксиметилцеллюлозы со степенью замещения 0.97, степенью полимеризации 850 и кристаллогидрата нитрата цинка химическими методами при температуре 80°C. Физико-химические свойства образцов натрий-карбоксиметилцеллюлозы, имеющих в своем составе стабилизированные наночастицы оксида цинка различных размеров и форм, изучены с помощью ИК-фурье-спектроскопии, атомно-силовой микроскопии и рентгеноструктурного анализа. Установлено, что с увеличением первоначальной концентрации Zn(NO3)2 в растворах натрий-карбоксиметилцеллюлозы при последующем химическом восстановлении образуются наночастицы оксида цинка разных размеров и форм. Растворы натрий-карбоксиметилцеллюлозы, содержащие наночастицы оксида цинка, могут найти широкое применение в медицинской практике в качестве биоматериалов с антибактериальными свойствами.
Full Text
ВВЕДЕНИЕ
Создание нового поколения оригинальных наноструктурированных полимерных препаратов и медицинских изделий с антибактериальными свойствами является актуальной задачей современной химии полимеров [1–3].
Перспективность применения нанои микрочастиц оксида цинка представляет большой интерес при разработке простых и эффективных методов их получения, а также для создания биоматериалов с заданными антибактериальными свойствами [4]. Нанокомпозиционные материалы на основе ZnO широко применяют в медицине, фармацевтике и парфюмерии в качестве антибактериальных и функциональных биоматериалов [5]. На сегодняшний день известно много методов получения наночастиц ZnO, которые разделяют на твердофазные, газофазные и жидкофазные [6, 7]. Преимущества жидкофазных методов, по сравнению с остальными, заключаются в относительной простоте их технической реализации, контролировании размера и морфологии получаемых нанокомпозиционных биоматериалов в зависимости от типа и концентрации реагентов, условий процесса синтеза, экологичности и экономичности [8]. Уникальные свойства и универсальность оксида цинка позволяют использовать большое число методов синтеза его наноструктур. Наноразмерный ZnO можно синтезировать различными методами, контролируя параметры синтеза: золь-гель, осаждения, микроэмульсионный, гидротермальный и другие [9–14]. Антибактериальные свойства полученных наночастиц могут варьироваться в зависимости от их формы и размера, что позволяет использовать определенные методы синтеза для конкретной области применения. На форму и размер оказывают влияние химические и физические параметры синтеза, тип растворителя, прекурсоры, pH и температура. Для получения частиц с заданными свойствами, как правило, применяют химические методы, поскольку они дают возможность лучше контролировать размер и морфологию частиц [15], несмотря на то что требуется сложное оборудование и дорогостоящие реактивы.
Наноразмерный ZnO имеет различную морфологию и демонстрирует значительную антибактериальную активность в отношении широкого спектра видов грамположительных и грамотрицательных бактерий, изученную многими исследователями [16]. Оксида цинка в настоящее время изучают как антибактериальный агент в микро-, и наномасштабе. ZnO проявляет значительную антимикробную активность, когда размер частиц уменьшается до нанометрового диапазона. Наноразмерный ZnO может взаимодействовать с бактериальными поверхностями или с бактериальным ядром, когда он попадает внутрь клетки и впоследствии проявляет отчетливую бактерицидную активность [17].
Целлюлоза и ее производные широко применяют в фармацевтической промышленности в качестве систем доставки лекарств [18]. В молекулярной структуре натрий-карбоксиметилцеллюлозы реакционноспособные гидроксильные и карбоксиметильные группы оказывают существенное влияние на формирование, стабилизацию и рост наночастиц ZnO [19].
Натрий-карбоксиметилцеллюлоза (Na-КМЦ) в отличие от целлюлозы представляет собой ее водорастворимую производную, и как анионный полимер используется в таких отраслях промышленности, как производство фармацевтических препаратов, текстиля, моющих средств, косметики, краски и продуктов питания, а также бурение нефтяных скважин из-за низкой стоимости и высокой стабильности [20]. Натрий-карбоксиметилцеллюлоза отличается высокой вязкостью, биоразлагаемостью и биосовместимостью, благодаря чему привлекает большое внимание исследователей. Применение ее в форме гидрогелей, пленок и порошков важно в таких областях, как тканевая инженерия, доставка лекарств, при создании перевязочных материалов для лечения ран и ожогов [21].
В последнее время особый интерес вызывают полимерные нанокомпозиты на основе Na-КМЦ и наночастиц ZnO, обладающие антибактериальными свойствами [22, 23].
Целью данной работы является исследование возможности формирования стабилизированных наночастиц ZnO в растворах натрий-карбоксиметилцеллюлозы, изучение их структуры и физико-химических свойств.
ЭКСПЕРИМЕНТАЛЬНАЯ ЧАСТЬ
В качестве полимерной матрицы применяли промышленные образцы Na-КМЦ производства “Promxim Impex” (Узбекистан) со степенью замещения 0.75–0.95 и степенью полимеризации 400–900, получаемые из хлопковой целлюлозы после очистки от сопутствующих неорганических и органических примесей [24].
Реактивами служили спирт этиловый (96.0%, кат. № 1.59010), гидроксид натрия (98.0%, кат. № 1310-73-2), кристаллогидрат азотнокислого цинка 6-водный (98.0%, кат. № 10196-18-6), медь сернокислая (II) 5-водная (99.9%, кат. № 7758-99-8), стандарт-титр натрий серновато-кислый 5-водный 0.1 н (99.9%, кат. № 10102-17-7), калий йодид (99.0%, кат. № 221945), стандарт-титр уксусная кислота 0.1 н (99.9%, кат. № 10102-17-7), крахмал (кат. № 9005-25-8), фенолфталеин (кат. № 77-09-8), азотнокислое серебро (99.0%, кат. № 7761-88-8) – все фирмы “Sigma Aldrich”.
Для эксперимента готовили 2%-ные водные растворы очищенных образцов Na-КМЦ с различными степенями замещения и полимеризации. Удаление гелевой фракции из растворов Na-КМЦ осуществляли посредством их центрифугирования на лабораторной центрифуге “Cenlee 20K” (Китай) при скорости 8000 об./мин в течение 20 мин.
Для формирования наночастиц оксида цинка выбрали очищенные образцы Na-КМЦ со степенью полимеризации 850 и степенью замещения 0.97; в качестве дополнительных реагентов для синтеза использовали дистиллированную воду (H2O, pH 6.8), гидроксид натрия, кристаллогидрат азотнокислого цинка (Zn(NO3)2⋅6H2O). Растворы очищенных образцов Na-КМЦ выступали в качестве полимерной матрицы при получении наночастиц оксида цинка.
Синтез наночастиц оксида цинка осуществляли с применением 2%-ного водного раствора очищенной Na-КМЦ со степенью замещения 0.97, степенью полимеризации 850 и расчетное количество водных растворов Zn(NO3)2⋅6H2O с концентрацией 0.01–0.10 моль/л.
На первом этапе исследования готовили 2%-ный водный раствор очищенной Na-КМЦ, который разделяли на растворенную и гелевую фракции посредством центрифугирования в течение 20 мин со скоростью 8000 об./мин.
К растворенной фракции очищенной Na-КМЦ при рН 7.25 по каплям добавляли различные объемы (3–10 мл) водного раствора соли Zn(NO3)2 с концентрацией 0.1 моль/л при рН 4.31, температуре 25°C и механическом перемешивании со скоростью 800 об./мин в течение 25 мин до образования гидрогеля.
К полученному гидрогелю Zn2+КMЦ– примешивали различные объемы (0.1–0.5 мл) водных растворов NaOH с концентрацией 0.1 моль/л при pH 12.92 до достижения показателя среды раствора pH 8 и в течение 30 мин механически перемешивали при температуре 25°С со скоростью 800 об./мин.
Синтез оксида цинка проводили при температуре 80°С на магнитной мешалке со скоростью 800 об./мин.
Полученные в матрице Na-КМЦ наночастицы оксида цинка для обеспечения однородности и полидисперсности подвергали ультразвуковому диспергированию в течение 20 мин на диспергаторе “UW-2200” (Германия).
Для сравнения готовили растворы Na-КМЦ и гидрогели очищенной Na-КМЦ, содержащие ионы цинка. Из растворов Na-КМЦ и гидрогелей Zn2+КМЦ−, ZnO/КМЦ получали пленки и проводили физико-химические исследования.
Чтобы определить водородный показатель полученных растворов, использовали индикаторный детектор водорода “Digitalp H210 BenchtoppH/MvMeter” (Китай).
Выявление взаимодействия ионов цинка с функциональными группами Na-КМЦ осуществляли методом ИК-фурье-спектроскопии на спектрометре “Inventio-S” (“Bruker”, Германия). Морфологию поверхностных слоев нанометаллополимеров в пленках, отлитых из растворов Na-КМЦ, Zn2+-КМЦ– и ZnO-КМЦ, изучали с помощью атомно-силового микроскопа “Agilent 5500” (“Agilent”, США). Измерения проводили в контактном режиме в атмосферных условиях с использованием кремниевых контилеверов NSG 01. Средний размер наночастиц ZnO и коэффициент вариации определяли путем обработки соответствующих микрофотографий поверхности пленок по программе “MathCad”. Толщину наночастиц ZnO устанавливали из профиля сечения микрофотографий пленок, полученных методом атомно-силовой микроскопии. Гистограммы распределения наночастиц получали по их высоте в виде интегральных и дифференциальных кривых распределения. Рентгенографические исследования образцов проводили по методике [2, 25] на рентгеновском дифрактометре “XRD Miniflex 600” (“Rigaku”, Япония) с монохроматизированным CuKα-излучением, изолированным никелевым фильтром с длиной волны 1.5418 Å при 40 кВ и силе тока 15 мА. Образцы исследовали в виде пленок в интервале 2θ = 2°–70° [26]. Расчет степени кристалличности (СК) выполняли по оценке интенсивности максимального пика [27]:
где Ik и Ia – интенсивности кристаллического рефлекса и аморфного рассеяния соответственно, K – поправочный коэффициент.
Размер кристаллитов определяли по формуле Шеррера [28]: .
Здесь L – эффективный размер кристаллита (Å); λ = 1.5418 Å – длина волны; 2θ – брэгговский угол (град); k – коэффициент, зависящий от формы кристаллита (k = 0.9); β – ширина полувысоты пика (град).
Для определения среднего размера наночастиц ZnO методом динамического светорассеяния на приборе “ZETASIZER Nano ZS” (Великобритания) готовили раствор путем разбавления водой гидрогеля Na-КМЦ, содержащего наночастицы ZnO. Путем математического анализа в программе “MathCad” находили коэффициент вариации соответствующих микрофотографий.
Степень замещения, степень полимеризации, растворимость Na-КМЦ устанавливали по методике [24, 29].
РЕЗУЛЬТАТЫ И ИХ ОБСУЖДЕНИЕ
Для получения наночастиц ZnO широко известным способом считается химическое восстановление ионов цинка в полимерных матрицах, позволяющих управлять размером и формой наночастиц [5].
Растворимость и степень чистоты Na-КМЦ являются одними из важнейших физико-химических параметров, определяющих возможность их переработки в антибактериальные препараты и биоматериалы для медицинского применения.
Так, в настоящей работе был исследован состав растворимых и нерастворимых в воде фракций очищенных образцов Na-КМЦ с различными степенями замещения и полимеризации (табл. 1).
Таблица 1. Влияние степени замещения (СЗ) и степени полимеризации (СП) Na-КМЦ на количество и состав растворимых и нерастворимых в воде фракций
Образец, № | Показатели очищенных образцов Na-КМЦ | Показатели образцов Na-КМЦ после центрифугирования | ||||||
СЗ | СП | растворимая фракция, % | СЗ | СП | гелевая фракция, % | СЗ | СП | |
1 2 3 | 0.75 0.86 0.95 | 400 600 900 | 92.8 96.3 98.5 | 0.79 0.88 0.97 | 410 620 850 | 7.2 3.7 1.5 | 0.21 0.12 0.03 | 460 740 1150 |
С увеличением степени замещения доля растворимой в воде фракции Na-КМЦ увеличивается, что можно объяснить уменьшением количества водородных связей между макромолекулами Na-КМЦ. Кроме того, содержание гелевой фракции Na-КМЦ зависит от молекулярной массы Na-КМЦ и ее степени замещения.
Дальнейшие исследования посвящены формированию и стабилизации наночастиц ZnO в растворах Na-КМЦ и изучению их физико-химических свойств. Для синтеза стабильных наночастиц ZnO в качестве реакционной среды был выбран раствор очищенного образца Na-КМЦ со степенью полимеризации 850 и степенью замещения 0.97.
Очищенная Na-КМЦ в водных растворах диссоциирует на катионы Na+ и анионы КМЦ−, а азотнокислая соль цинка – на ионы Zn2+ и 2NO3−. При смешивании этих растворов ионы Zn2+ связываются с карбоксиметильными анионами (–CH2COO−) соли Na-КМЦ.
Спаренные электроны на 4s-орбитали ионов цинка(II) возбуждаются и переходят в пустые ячейки 4p-орбитали, а ионы цинка замещаются ионами натрия очищенной соли Na-КМЦ, образуя ионно-координационную связь с одинарными электронами на 2p-орбитали карбоксильной группы кислорода (–COO−) [23]. Ниже представлена схема и показана реакция взаимодействия Na-КМЦ с солями Zn(NO3)2:
2[C5H7O4–CH2OCH2COONa]n + nZn2+ → → [Zn(C5H7O4–CH2OCH2COO)2]n + 2nNa. (1)
В водных растворах гидролиза Na-КМЦ среда всегда будет щелочной из-за наличия сильного основания NaOH и слабой кислоты Н-КМЦ в растворе. При добавлении в раствор Na-КМЦ, где среда щелочная, раствора соли Zn(NO3)2 ионы цинка начинают взаимодействовать с ОН-группами, образуя Zn(OН)2.
В ходе реакции гидрооксид натрия, обладающий ярко выраженным основным свойством, быстро реагирует с ионами цинка, в результате чего раствор становится белым, что свидетельствует об образовании Zn(OH)2 в растворах Na-КМЦ:
[Zn(C5H7O4–CH2OCH2COO)2]n + 2nNaOH =
= nZn(OH)2 + [C5H7O4–CH2OCH2COONan]. (2)
Известно [30], что термическая деструкция Na-КМЦ происходит в интервале температуры 168–350°С. При нагревании гидрогеля Na-КМЦ, содержащего Zn(OH)2, до температуры 80°С гидроксид цинка в структуре Na-КМЦ разлагается на ZnO и воду:
. (3)
Карбоксиметильные группы и ионы Zn2+ в макромолекуле Na-КМЦ в результате реакции соединяются с формированием ионнокоординационных связей, и при нагревании до температуры 80°С образуются наночастицы ZnO.
Для контроля размера наночастиц ZnO, появляющихся в гидрогелях Na-КМЦ, и обеспечения их однородности систему Na-КМЦ‒ZnO обрабатывали в ультразвуковом диспергаторе при 44 кГц в течение 20 мин. Предполагаемый механизм образования Na-КМЦ‒ZnO из системы Na-КМЦ‒Zn2+ УЗ-диспергированием показан ниже:
Видно, что наночастицы ZnO, формирующиеся в матрице Na-КМЦ при воздействии ультразвукового излучения на Na-КМЦ‒Zn2+, стабилизируются за счет электростатического взаимодействия водородных связей [31].
При добавлении 10 мл 0.1 моль/л водного раствора Zn(NO3)2 к 100 мл 2%-ной очищенной Na-КМЦ при 25°С после 25 мин механического перемешивания водородный показатель достигал значения рН 6.37 (рис. 1а).
Рис. 1. Влияние времени синтеза на рН среды при образовании наночастиц ZnO в растворах Na-КМЦ: а – Zn2-КМЦ, 25 мин, pH снижается до 6.37; б – Zn(OH)2, 30 мин, pH доходит до 8.02; в – ZnO, 120 мин, рН снижается до 7.45. Пояснения в тексте.
Затем при механическом перемешивании в течение 30 мин раствор Zn2+КМЦ− был титрован с помощью 30 мл 0.1 моль/л раствора NaOH, при этом раствор окрашивался в белый цвет, а водородный показатель составлял рН 8. Увеличение рН раствора от 6.37 до 8.0, приводящее к выпаданию белого осадка, свидетельствует об образовании в системе гидроксида цинка Zn(OH)2 (рис. 1б). Гидрогель Na-КМЦ, содержащий Zn(OH)2, механически перемешивали в течение 2 ч при температуре 80°С, в результате чего был получен гидрогель Na-КМЦ со значением pH 7.45, включающий в себя наночастицы ZnO (рис. 1в).
С целью определения связи карбоксиметильных групп с ионами Zn2+ в макромолекуле Na-КМЦ были проведены ИK-фурье-спектроскопические исследования пленок, отлитых из раствора Na-КМЦ и гидрогелей Zn2+КМЦ−, ZnO-КМЦ.
Спектры полученных пленок были исследованы в диапазоне длины волн 400–4000 см–1; состав наночастиц ZnO и структура молекул в пленке определялись по полосам поглощения в среднем диапазоне инфракрасного излучения (рис. 2).
Рис. 2. ИК-фурье-спектры образцов, очищенных Na-КМЦ (1) и Na-КМЦ с содержанием ионов цинка (2) и наночастиц ZnO (3).
На кривой 1 рис. 2 видно, что максимум полосы поглощения карбоксиметил-аниона в очищенных макромолекулах Na-КМЦ наблюдается в области 1602.70 см–1. При замещении катионов Na+ на катионы Zn2+ в макромолекуле КМЦ в ИК-спектрах прослеживается сдвиг полосы поглощения от 1602.70 до 1623.79 см–1, указывая на более прочное связывание −COO– с ионами Zn2+.
Затем в спектре появляется новый пик с длиной волны 475.15 см–1 (рис. 2, кривые 2 и 3), что характерно для пленок ZnO-KMЦ и подтверждается литературными данными [32]. Длина волны в диапазоне 400–600 см–1 обусловливает наличие наночастиц ZnO. В ИК-спектре широкая полоса поглощения в области 3445.20 см–1 относится к группам −OH, связанным внутрии межмолекулярными водородными связами. Изменение профиля этой полосы указывает на изменение интенсивности водородных связей [33] между группами −OH и молекулами наночастиц ZnO (кривая 3).
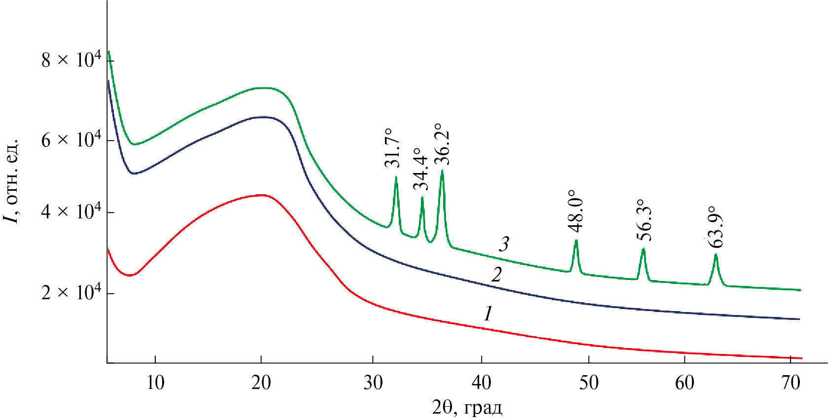
Далее были проведены рентгеноструктурные исследования образцов пленок Na-КМЦ, Zn2+КМЦ–, Na-КМЦ, содержащих наночастицы ZnO. Полученные данные представлены на рис. 3.
Рис. 3. Результаты рентгеноструктурного анализа пленок Nа-КМЦ (1), а также Zn2+КМЦ– (2) и ZnО-КМЦ (3) с мольным соотношением Na-KMЦ : Zn(NO3)2 = 100 : 6.
Образцы были выбраны из числа пленок Na-KMЦ, содержащих стабилизированные наночастицы ZnO размером 25–150 нм, синтезированные при мольном соотношении Na-KMЦ : Zn(NO3)2 = 0.08 : (5 × 10–4) и концентрации Zn(NO3)2 0.00324%. Размеры наночастиц определены методом динамического светорассеяния.
Рентгенографические исследования показали, что Na-KMЦ имеет аморфную структуру и на дифрактограмме рис. 3, кривая 1 дает аморфное гало при 2θ = 21.6°. В этом случае Na-KMЦ, содержащая ионы цинка, имеет аморфное гало с более высокой интенсивностью в той же области (рис. 3, кривая 2). На дифрактограмме рис. 3, кривая 3 видно, что в пленках ZnO-KMЦ наблюдаются кристаллические рефлексы при значениях угла 2θ = 31.7°, 34.4°, 36.2°, 48.0°, 56.3°, 63.9°, относящиеся к межплоскостным расстояниям (100), (002), (101), (102), (110) и (103), соответствующим кристаллу оксида цинка с гексагональной сингонией [34].
Методом АСМ были проведены исследования морфологии пленок Na-КМЦ, содержащих различное количество наночастиц ZnO, и определены формы и размеры наночастиц. Полученные результаты приведены на рис. 4.
Рис. 4. АСМ-снимки исходной пленки Na-KMЦ (а), а также пленок Na-KMЦ с содержанием Zn(NO3)2 = = 0.00162 (б), 0.00324 (в), 0.00648 (г), 0.0081% (д) и их гистограммы распределения наночастиц ZnO по размерам на пленках.
Видно, что при добавлении в растворы очищенной Na-КМЦ расчетного количества 0.00162% Zn(NO3)2 после отливки пленок последующим химическим восстановлением формируются стабилизированные [35] сферические наночастицы ZnO размером 20–40 нм (рис. 4б). При этом исходная пленка Na-KMЦ остается прозрачной (рис. 4а). С увеличением концентрации раствора нитрата цинка до 0.00324% в пленке Na-KMЦ образуются более крупные сферические наночастицы ZnO размером 25–150 нм и незначительно игольчатой формы (рис. 4в).
При увеличении концентрации раствора Zn(NO3)2 до 0.00648% в пленке Na-KMЦ формируются наночастицы ZnO сферической и удлиненной формы – толщина их составляет 20– 45 нм, а диаметр равен 20–200 нм (рис. 4г). При этом максимально количество наночастиц имеет размеры, укладывающиеся в интервале 25–100 нм.
При дальнейшем увеличении концентрации раствора Zn(NO3)2 до 0.0081% в пленке Na-KMЦ формируются наночастицы ZnO сферической формы, которые преобразуются в бесформенные наночастицы – толщина их составляет 20–45 нм, а диаметр равен 60–400 нм (рис. 4д). При этом максимально количество наночастиц ZnO имеет размеры, укладывающиеся в интервале 20– 200 нм.
Экспериментально установлено, что при низких значениях концентрации ионов цинка в полимерной матрице, распределение наночастиц ZnO по размерам имеет бимодальный характер, а при увеличении концентрации ионов цинка распределение частиц по размерам становится полимодальным. Данный факт возможно объяснить тем, что при увеличении концентрации ионов цинка в составе Na-КМЦ одновременному восстановлению подвергаются ионы цинка как связанные с карбоксиметилатанионом Na-КМЦ, так и не связанные с КМЦ катионы цинка. Эти процессы протекают с различной скоростью, что, видимо, способствует повышению полидисперсности формирующихся наночастиц.
Увеличение размера частиц, их агрегация и отклонение формы от сферических свидетельствуют о том, что создаваемая макромолекулами оболочка с уменьшением концентрации комплексов Zn2+КМЦ–, являющихся центрами химического восстановления и последующего роста наночастиц, становится менее плотной, что не исключает рост, коагуляцию и, возможно, коалесценцию частиц. Детальный механизм возникновения в этих условиях игольчатых частиц остается пока неясным.
Таким образом, размер и форма наночастиц ZnO, образующихся при химическом восстановлении катионов цинка в растворах Zn2+КМЦ–, зависят от концентрации водных растворов Na-КМЦ, Zn(NO3)2 и рН реакционной среды.
На основе полученных результатов исследований можно предположить, что однородность формирующихся наночастиц по размерам достигается благодаря тому, что макромолекулы Na-КМЦ, обволакивая наночастицы ZnO, создают вокруг них заряженную оболочку, препятствующую их агрегации. Повышение локальной концентрации КМЦ вблизи наночастиц ZnO, с одной стороны, обеспечивает электростатическую и стерическую стабилизацию, а с другой – создает условия, в которых нельзя полностью исключить взаимодействие радикалов, образующихся при химическом восстановлении.
ЗАКЛЮЧЕНИЕ
Установлено, что полимерметаллокомплексы карбоксиметилцеллюлозы с оксидом цинка, синтезированные при взаимодействии растворов очищенных Na-КМЦ и Zn(NO3)2, образуют ионные координационные связи, которые потверждены методом ИК-фурье-спектроскопии. Определены условия синтеза наночастиц ZnO из солей Zn(NO3)2 химическими методами в растворах Na-КМЦ. Также выявлено, что возможность синтеза наночастиц оксида цинка различных размеров и форм в структуре очищенных растворов Na-KMЦ зависит от первоначальных условий реакции и соотношения компонентов.
Таким образом, растворы Na-КМЦ, содержащие наночастицы ZnO, могут найти широкое применение в медицинской практике в качестве препаратов и биоматериалов с биодеградируемыми и антибактериальными свойствами.
Работа выполнена при финансовой поддержке Академии наук Республики Узбекистан в рамках фундаментальной программы научно-исследовательских работ Института химии и физики полимеров Академии наук Республики Узбекистан на 2020–2024 гг. по теме “Фундаментальные аспекты создания наноструктурных полимерных форм лекарственных средств и изделий медицинского назначения – будущее наночастиц в организме”.
About the authors
Х. Э. Юнусов
Институт химии и физики полимеров Академии наук Республики Узбекистан
Author for correspondence.
Email: haydar-yunusov@rambler.ru
Uzbekistan, 100128 Ташкент, ул. А. Кадыри, 7б
М. М. Мирхолисов
Институт химии и физики полимеров Академии наук Республики Узбекистан
Email: haydar-yunusov@rambler.ru
Uzbekistan, 100128 Ташкент, ул. А. Кадыри, 7б
Н. Ш. Ашуров
Институт химии и физики полимеров Академии наук Республики Узбекистан
Email: haydar-yunusov@rambler.ru
Uzbekistan, 100128 Ташкент, ул. А. Кадыри, 7б
А. А. Сарымсаков
Институт химии и физики полимеров Академии наук Республики Узбекистан
Email: haydar-yunusov@rambler.ru
Uzbekistan, 100128 Ташкент, ул. А. Кадыри, 7б
С. Ш. Рашидова
Институт химии и физики полимеров Академии наук Республики Узбекистан
Email: haydar-yunusov@rambler.ru
Uzbekistan, 100128 Ташкент, ул. А. Кадыри, 7б
References
- Goldberg M., Langer R., Jia X. // J. Biomater. Sci. Polym. Ed. 2007. V. 18. № 3. P. 241.
- Yunusov Kh.E., Sarymsakov A.A., Turakulov F.M. // Polymer Science B. 2022. V. 64. № 1. P. 68.
- Yunusov Kh.E., Sarymsakov A.A., Rashidova S.Sh. // Polymer Science A. 2014. V. 56. № 3. P. 283.
- Mahamuni P.P., Patil P.M., Dhanavade M.J., Badiger M.V., Shadija P.G., Lokhande A.C., Bohara R.A. // Biochem. Biophys. Rep. 2019. V. 17. P. 71.
- Chavali M.S., Nikolova M.P. // SN Appl. Sci. 2019. № 1. P. 607.
- Hashem M., Sharaf S., Abdel-Hady M.M., Hebeish A. // J. Carbohydr. Polym. 2013. V. 95. P. 1.
- Kolodziejczak R.A., Jesionowski T. // Rev. Mater. A. 2014. V. 7. № 4. P. 2833.
- Carp O., Tirsoaga A., Jurca B., Ene R., Somacescu S., Ianculescu A. // J. Carbohydr. Polym. 2015. V. 115. P. 285.
- Lupan O., Chai G., Chow L. // Microelectron Eng. 2008. V. 85. № 11. P. 2220.
- Nikolaeva N.S. // Shurn. Sibir. Fed. Univ. Ser. Khim. 2010. V. 3. № 2. P. 153.
- Karthik S., Siva P., Balu K.S., Suriyaprabha R., Rajendran V., Maaza M. // Adv. Powder Technol. 2017. V. 28. P. 3184.
- Khan M.F., Hameedullah M., Ansari A.H., Ahmad E. // Int. J. Nanomed. 2014. №. 9. P. 853.
- Khorsand Z.A., Abd H.M.W.H., Mahmoudian M.R., Darroudi M., Yousefi R. // Adv. Powder Technol. 2013. V. 24. P. 618.
- Darroudi M., Sabouri Z., Kazemi O.R., Khorsand Z.A., Kargar H., Abd H.M.H.N. // Ceram. Int. 2014. V. 40. P. 4827.
- Verbi A., Gorjanc M., Simonci B. // Coatings. 2019. V. 9. P. 26.
- Jones N., Ray B., Ranjit K.T., Manna A.C. // FEMS Microbiol. Lett. 2008. № 1. V. 279. P. 71.
- Seil J.T., Webster T.J // Int. J. Nanomed. 2012. V. 7. P. 2767.
- Philipp B., Bock W., Schierbaum F. // J. Polym. Sci., Polym. Symp. 2007. V. 66. № 1. P. 83.
- Ruchir P., Bijender K., Jong W.R. // Int. J. Biol. Macromol. 2020. V. 162. P. 229.
- Upadhyaya L., Singh J., Agarwal V., Pandey A.C., Verma S.P., Das P., Tewari R.P. // J. Polym. Res. 2014. V. 21. P. 550.
- Zare-Akbari Z., Farhadnejad H., Furughi-Nia B., Abedin S., Yadollahi M.M. // Int. J. Biol. Macromol. 2016. V. 93. P. 1317.
- Yassin A.Y., Abdelghany A.M., Reda S., Salama A., Tarabiah E. // J. Inorg. Organomet. Polym. Mater. 2023. V. 33. P. 1855.
- Manoj V., Karthika M., Praveen V., Kumar S.R., Boomadevi S., Jeyadheepan K., Karn R.K., John R., Bosco B., Pandiyan S.K. // Asian J. Appl. Sci. 2014. V. 7. № 8. P. 798.
- Yuldoshov Sh.A., Yunusov Kh.E., Sarymsakov A.A., Goyipnazarov I.Sh. // Polym Eng. Sci. 2021. V. 62. P. 677.
- Kuzieva M.А., Atakhanov A.А., Shakhobutdinov S.Sh., Ashurov N.Sh., Yunusov Kh.E., Guohua J. // Cellulose. 2023. V. 30. P. 5657.
- Langford J.I., Wilson A.J. // J. Appl. Crystallogr. 1978. V. 11. P. 102.
- Verma P., Maheshwari S.K. // J. Microsc. Ultrastruct. 2018. V. 4. №. 6. P. 182.
- Nam S., French A.D., Condon B.D., Concha M. // Carbohydr. Polym. 2016. V. 13. P. 1.
- Stigsson V., Kloow G., Germgard U. // Cellulose. 2006. V. 13. №. 6. P. 705.
- Akram M., Taha I., Ghobashy M.M. // Cellulose. 2016. V. 23. №. 3. P. 1713.
- Priyadarshi R., Kumar B., Rhim J.W. // Int. J. Biol. Macromol. 2020. P. 1.
- Gordon T., Perlstein B., Houbara O., Felner I., Banin E., Margel S. // Colloids Surf. Physicochem. Eng. Asp. 2011. V. 374. № 1–3. P. 1.
- Thirumavalavan M., Huang K.L., Lee J.F. // Colloids Surf. Physicochem. Eng. Asp. 2013. V. 417. P. 154.
- Khorsand Z.A., Razali R., Abdumajid W.H., Darroudi M. // Int. J. Nanomedicine. 2011. V. 6. P. 1399.
- Tso C.P., Zhung C.M., Shih Y.H., Tseng Y.M., Wu S.C., Doong R.A. // Water Sci. Technol. 2010. V. 61. P. 127.
Supplementary files







