Graft Polymerization of 5-Vinyltetrazole onto Chitosan
- Authors: Kizhnyaev V.N.1, Balakhovtsev I.D.1, Penzik M.V.1, Pokatilov F.A.1, Edel’shtein O.A.1
-
Affiliations:
- Irkutsk State University
- Issue: Vol 65, No 4 (2023)
- Pages: 312-320
- Section: ФУНКЦИОНАЛЬНЫЕ ПОЛИМЕРЫ
- URL: https://ogarev-online.ru/2308-1139/article/view/231638
- DOI: https://doi.org/10.31857/S2308113923700523
- EDN: https://elibrary.ru/QOJDTF
- ID: 231638
Cite item
Full Text
Abstract
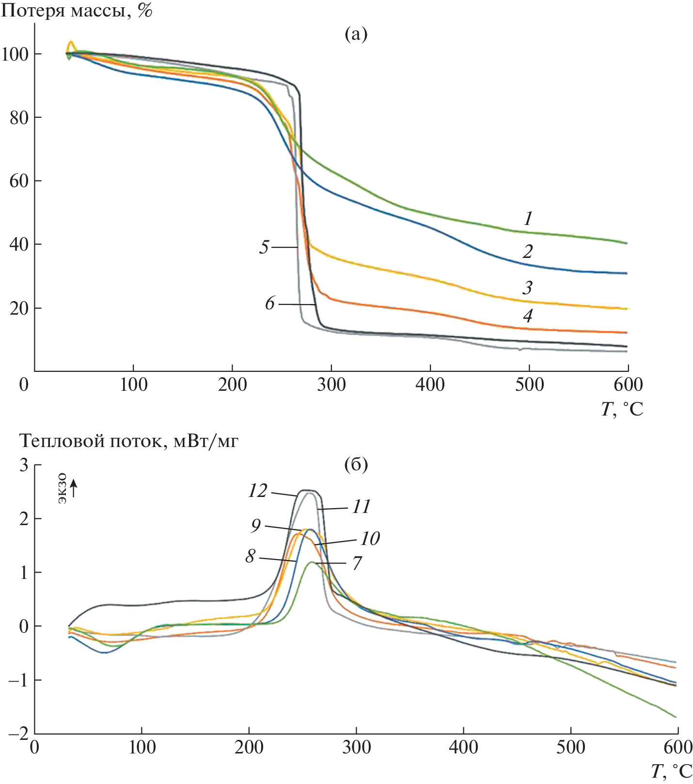
Polymerization of 5-vinyltetrazole under conditions of radical initiation in aqueous media in the presence of chitosan gave network graft copolymers, the structure of which is built from chitosan macromolecules crosslinked by chain fragments of poly(5-vinyltetrazole). It was determined that the polymerization is preceded by the formation of a saltlike product between chitosan macromolecules and vinyl monomer, which affects its polymerization activity. The obtained graft copolymers are prone to limited swelling in water to form pH-sensitive ampholytic hydrogels.
About the authors
V. N. Kizhnyaev
Irkutsk State University
Email: kizhnyaev@chem.isu.ru
664003, Irkutsk, Russia
I. D. Balakhovtsev
Irkutsk State University
Email: kizhnyaev@chem.isu.ru
664003, Irkutsk, Russia
M. V. Penzik
Irkutsk State University
Email: kizhnyaev@chem.isu.ru
664003, Irkutsk, Russia
F. A. Pokatilov
Irkutsk State University
Email: kizhnyaev@chem.isu.ru
664003, Irkutsk, Russia
O. A. Edel’shtein
Irkutsk State University
Author for correspondence.
Email: kizhnyaev@chem.isu.ru
664003, Irkutsk, Russia
References
- Dumitriu S. Polysaccharides. Structural Diversity and Functional Versatility. New York: CRC Press, 2005.
- Rinaudo M. // Prog. Polym. Sci. 2006. V. 31. № 7. P. 603.
- Belgacem M.N., Gandini A. Monomers, Polymers and Composites from Renewable Resources. Amsterdam; London; New York: Elsevier, 2008.
- Pillai C.K.S., Paul W., Sharma Ch.P. // Prog. Polym. Sci. 2009. V. 34. № 7. P. 641.
- Kean T., Thanou M. // Adv. Drug Deliv. Rev. 2010. V. 62. № 1. P. 3.
- Kritchenkov A.S., Andranovits S., Skorik Y.A. // Russ. Chem. Rev. 2017. V. 86. № 3. P. 231.
- Badawy M.E.I. // Polym. Int. 2000. V. 57. № 2. P. 254.
- Pan Y., Luo X., Zhu A., Dai Sh. // J. Biomater. Sci. 2009. V. 20. P. 981.
- Philippova O.E., Korchagina E.V. // Polymer Science A. 2012. V. 54. № 7. P. 552.
- Liu H., Zhao Yu., Cheng S., Huang N., Leng Y. // J. Appl. Polym. Sci. 2012. V. 124. P. 2641.
- Mochalova A.E., Smirnova L.A. // Polymer Science B. 2018. V. 60. № 2. P. 131.
- Berezin A.S., Ishmetova R.I., Rusinov G.L., Skorik Yu.A. // Russ. Chem. Bull. 2014. V. 63. № 7. P. 1624.
- Kritchenkov A.S., Lipkan N.A., Kurliuk A.V., Shakola T.V., Egorov A.R., Volkova O.V., Meledina T.V., Suchkova E.P., Zabodalova L.A., Dysin A.P. // Pharm. Chem. J. 2020. V. 54. № 2. P. 138.
- Kritchenkov A.S., Egorov A.R., Krytchankou I.S., Dubashynskaya N.V., Volkova O.V., Shakola T.V., Kurliuk A.V., Skorik Yu.A. // Int. J. Biol. Macromol. 2019. V. 132. P. 340.
- Kashkouli K.I., Torkzadeh-Mahani M., Mosaddegh E. // Mater. Sci. Eng. 2018. V. 89. P. 166.
- Ostrovskii V.A., Popova E.A., Trifonov R.E. // Russ. Chem. Bull. 2012. V. 61. № 4. P. 768.
- Ostrovskii V.A., Popova E.A., Trifonov R.E. // Adv. Heterocycl. Chem. 2017. V. 123. P. 1.
- Myznikov L.V., Vorona S.V., Zevatskii Y.E. // Chem. Heterocycl. Comp. 2021. V. 57. № 3. P. 224.
- Kizhnyaev V.N., Pokatilov F.A., Vereshchagin L.I. // Polymer Science C. 2008. V. 50. № 1. P.1.
- Pokatilov F.A., Kizhnyaev V.N. // Polymer Science A. 2012. V. 54. № 11. P. 894.
- Pokatilov F.A., Kizhnyaev V.N., Zhitov R.G., Krakhotkina E.A. // Russ. J. Appl. Chem. 2016. V. 89. № 12. P. 1990.
- Pokatilov F.A., Kizhnyaev V.N., Akamova E.V., Edel’shtein O.A. // Polymer Science B. 2020. V. 62. № 3. P. 190.
- Andriyanova N.A., Smirnova L.A., Semchikov Yu.D., Kir`yanov K.V., Zaborshchikova N.V., Ur’yash V.F., Vostokov N.V. // Polymer Science A. 2006. V. 48. № 5. P. 483.
- Pokatilov F.A., Akamova E.V., Kizhnyaev V.N. // e-Polymers. 2022. V. 22. № 1. P. 203.
- Garcia-Valdez O., Champagne P., Cunningham M.F. // Prog. Polym. Sci. 2018. V. 76. № 1. P. 151.
- Yazdani-Pedram M., Retuert J. // J. Appl. Polym. Sci. 1997. V. 63. № 10. P. 1321.
- Prashanth K.V.H., Tharanathan R. // Carbohydr. Polym. 2003. V. 54. № 3. P. 343.
- Mochalova A.E., Smirnova L.A., Semchikov Yu.D., Kir’yanov K.V., Drozdov Yu.N., Prusakova I.I. // Polymer Science A. 2005. V. 47. № 6. P. 614.
- Mochalova A.E., Kruglova E.N., Yunin P.A., Apryatina K.V., Smirnova O.N., Smirnova L.A. // Polymer Science B. 2015. V. 57. № 2. P. 93.
- Pourjavadi A., Mahdavinia G.R., Zohuriaan-Mehr M.J., Omidian H. // J. Appl. Polym. Sci. 2003. V. 88. № 8. P. 2048.
- Kim S.Y., Cho S.M., Lee Y.M., Kim S.J. // J. Appl. Polym. Sci. 2000. V. 78. № 7. P. 1381.
- Don T.M., King C.F., Chiu W.Y. // Polym. J. 2002. V. 34. № 6. P. 418.
- Zhang J., Yuan Y., Shen J., Lin S. // Eur. Polym. J. 2003. V. 39. № 4. P. 847.
- Wang M., Xu L., Zhai M., Peng J., Li J., Wei G. // Carbohydr. Polym. 2008. V. 74. № 3. P. 498.
- Cai H., Zhang Z.P., Sun Ch.P., Lin He B., Xia Zhu X. // Radiat. Phys. Chem. 2005. V. 74. № 1. P. 26.
- Felinto M.C.F.C., Parra D.F., Silva C.C., Angerami J., Oliveira M.J.A., Lugão A.B. // Nucl. Instrum. Methods Phys. Res. Sect. B. 2007. V. 265. № 1. P. 418.
- Dergunov S.A., Nam I.K., Mun G.A., Nurkeeva Z.S., Shaikhutdinov E.M. // Radiat. Phys. Chem. 2005. V. 72. № 5. P. 619.
- Singh V., Kumar P., Sanghi R. // Prog. Polym. Sci. 2012. V. 37. № 2. P. 340.
- Fang S., Wang G., Li P., Xing R., Liu S., Qin Y., Yu H., Chen X., Li K. // Int. J. Biol. Macromol. 2018. V. 115. P. 754.
- Fang S., Wang G., Xing R., Chen X., Liu S., Qin Y., Li K., Wang X., Li R., Li P. // Int. J. Biol. Macromol. 2019. V. 132. P. 575.
- Spagnol C., Rodrigues F.H.A., Pereira A.G.B., Fajardo F.R., Rubira A.F., Muniz E.C. // Carbohydr. Polym. 2012. V. 87. № 3. P. 2038.
- Liu J., Wang Q., Wang A. // Carbohydr. Polym. 2007. V. 70. № 1. P. 166.
- Xie Y.T., Wang A.Q. // Iran. Polym. J. 2010. V. 19. № 2. P. 131.
- Mochalova A.E., Zaborshchikova N.V., Knyazev A.A., Smirnova L.A., Izvozchikova V.A., Medvedeva V.V., Semchikov Yu.D. // Polymer Science A. 2006. V. 48. № 9. P. 918.
- Mochalova A.E., Smirnova L.A., Zaitsev S.D., Semchikov Yu.D., Zaitseva I.I., Pavlov G. M. // Polymer Science B. 2007. V. 49. № 9–10. P. 232.
- Ijaz H., Tulain U.R., Minhas M.U., Mahmood A., Sarfraz R.M., Erum A., Danish Z. // Int. J. Polym. Mater. Polym. Biomater. 2022. V. 71. № 5. P. 336.
- Khan S., Anwar N. // Int. J. Polym. Sci. 2019. V. 2019. P. 1.
- Mahdavinia G.R., Pourjavadi A., Hosseinzadeh H., Zohuriaan M.J. // Eur. Polym. J. 2004. V. 40. № 7. P. 1399.
- Khairkar S R., Raut A.R. // Sci. J. Analyt. Chem. 2014. V. 2. № 6. P. 67.
- Skotnikova D.S., Mochalova A.E., Smirnova L.A. // Russ. J. Appl. Chem. 2019. V. 92. № 5. P. 634.
- Rong Q., Feng F., Ma Z. // Biosensors Bioelectronics. 2016. V. 75. P. 148.
- Metzler M., Chylińska M., Kaczmarek H. // J. Polym. Res. 2015. V. 22. P. 146.
- Kashkouli K.I., Torkzadeh-Mahani M., Mosaddegh E. // Mater. Sci. Eng. 2018. V. 89. P. 166.
- Santos K.S.C.R., Coelho J.F.J., Ferreira P., Pinto I., Lorenzetti S.G., Ferreira E.I., Higa O.Z., Gil M.H. // Int. J. Pharm. 2006. V. 310. P. 37.
- Kizhnyaev V.N., Vereshchagin L.I. // Russ. Chem. Rev. 2003. V. 72. № 2. P. 143.
- Sashiwa H., Yamamori N., Ichinose Y., Sunamoto J., Aiba S. // Macromol. Biosci. 2003. V. 3. P. 231.
Supplementary files








