Synthesis of Aromatic Polyamidines by the [2+2]-Cycloaddition Reaction
- Authors: Mognonov D.M.1, Khakhinov V.V.1, Tkacheva N.I.2, Morozov S.V.2
-
Affiliations:
- Buryat State University
- Vorozhtsov Novosibirsk Institute of Organic Chemistry, Siberian Branch, Russian Academy of Sciences
- Issue: Vol 65, No 4 (2023)
- Pages: 304-311
- Section: ФУНКЦИОНАЛЬНЫЕ ПОЛИМЕРЫ
- URL: https://ogarev-online.ru/2308-1139/article/view/231637
- DOI: https://doi.org/10.31857/S2308113923700559
- EDN: https://elibrary.ru/UZTSXE
- ID: 231637
Cite item
Full Text
Abstract
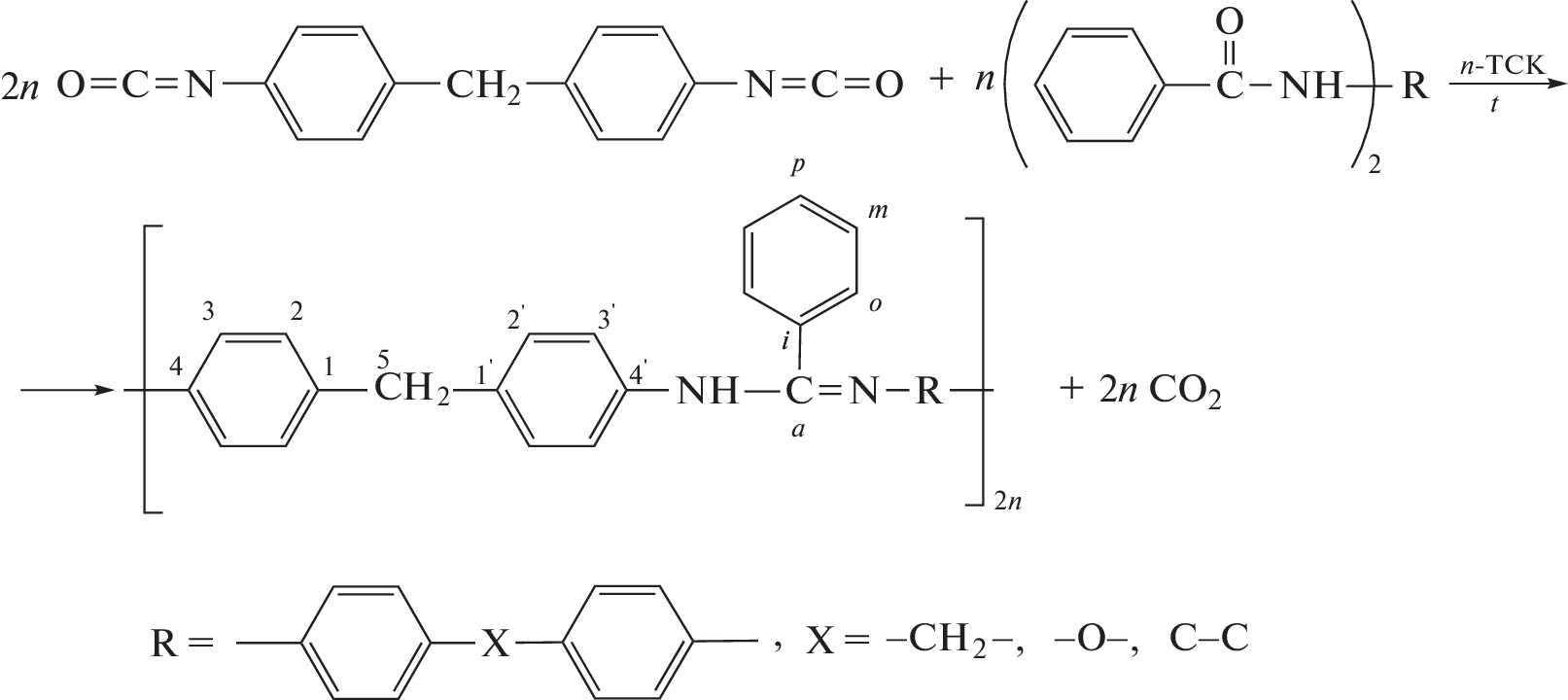
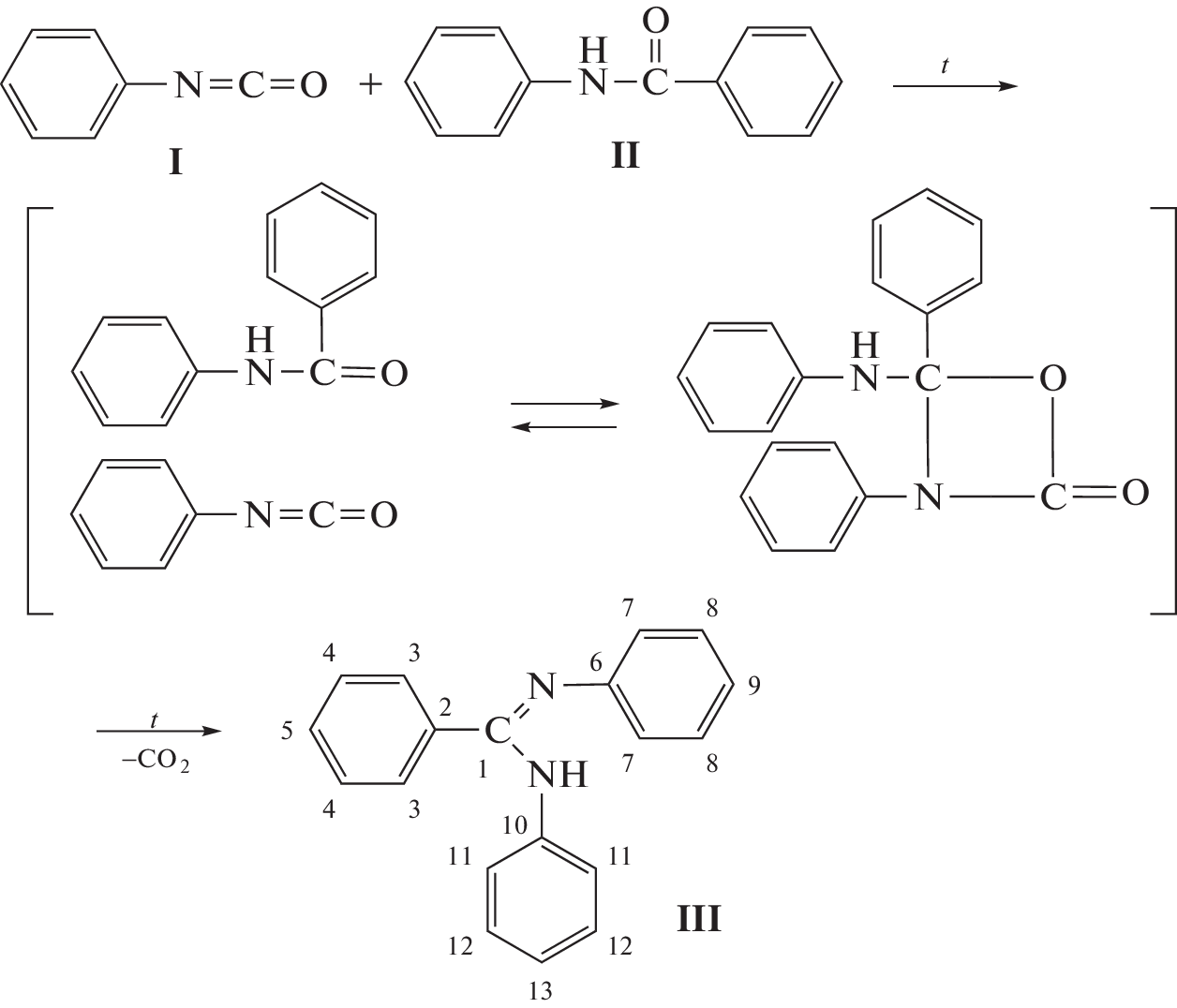
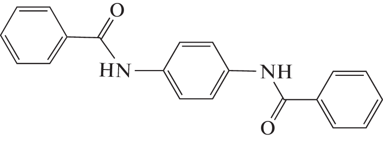
Aromatic polyamidines based on 4,4′-diphenylmethane diisocyanate and bisamides have been synthesized and studied. The one-step reaction of bisamides with diazocyanate according to the [2+2]-cycloaddition mechanism includes a concerted process of the formation of two new σ-bonds in the transition state. The formation of polyamidine occurs as a result of decarboxylation, which completes this reaction. Due to the availability of starting compounds, ease of synthesis, good solubility, and high heat resistance and thermal stability of the resulting polymers, there are wide opportunities for producing new materials by conventional industrial processes. Polyamidines have a sufficiently large set of important technological properties, which suggest their greater potential in relation to applied problems. The resulting film materials and glass-reinforced plastics based on polyamidines show high mechanical properties that are not inferior to those of materials made from commercial polyamides and polybenzimidazoles.
About the authors
D. M. Mognonov
Buryat State University
Email: khakhinov@mail.ru
670000, Ulan-Ude, Buryatia, Russia
V. V. Khakhinov
Buryat State University
Email: khakhinov@mail.ru
670000, Ulan-Ude, Buryatia, Russia
N. I. Tkacheva
Vorozhtsov Novosibirsk Institute of Organic Chemistry, Siberian Branch, Russian Academy of Sciences
Email: khakhinov@mail.ru
630093, Novosibirsk, Russia
S. V. Morozov
Vorozhtsov Novosibirsk Institute of Organic Chemistry, Siberian Branch, Russian Academy of Sciences
Author for correspondence.
Email: khakhinov@mail.ru
630093, Novosibirsk, Russia
References
- Ishikawa T. // Superbases for organic synthesis: Guanidines, amidines, phosphazenes and related organocatalysts. Chichester: Wiley, 2009.
- Глушков Р.Г., Модникова Г.А., Львов А.И., Крылова Л.Ю., Пушкина Т.В., Гуськова Т.А., Соловьева Н.П. // Pharmaceut. Chem. J. 2004. Т. 38. № 8. С. 16.
- Aly A.A., Brase S., Gomaa M.A.-M. // Arkivoc. 2018. Pt. VI. P. 85.
- Mognonov D.M., Grigor’eva M.N., Stelmakh S.A., Ochirov O.S., Tonevitsky Y.V. // Russ. Chem. Bull. 2017. V. 66. № 10. P. 1937.
- Tang R., Ji W., Wang Ch. // Polymer. 2011. V. 52. P. 921.
- Mart H., Oertel U., Komber H., Haussler L., Bohme F. // Macromolecules. 2005. V. 35. P. 8051.
- Böhme F., Klinger C., Komber H., Häussler L., Jehnichen D. // J. Polym. Sci., Polym. Chem. 1998. V. 36. № 6. P. 929.
- Grundmann C., Kreutzberger A. // J. Polym. Sci. 1959. V. 38. № 134. P. 425.
- Kurita K., Kusayama I., Iwakura Y. // J. Polym. Sci., Polym. Chem. Ed. 1977. № 9. P. 2163.
- Ogato S., Kakimoto M., Imai Y. // Macromol. Chem. Rapid Commun. 1985. V. 6. № 12. P. 835
- Burdukovskii V.F., Kholkhoev B.Ch. // Polymer Science B. 2015. V. 57. № 2. P. 61.
- Grundmann C., Kreutzberger A. // J. Polym. Sci. 1959. V. 38. № 134. P. 425.
- Tonevitsky Y.V., Mognonov D.M., Sanzhizhapov D.B., Doroshenko Yu.E., Khakhinov V.V., Samsonova V.G., Botoeva S.O. // Polymer Science B. 2000. V. 42. № 5–6. P. 146.
- Митченко Ю.И., Краснов Е.П., Долгов А.В. // Высокомолек. соед. Б. 1972. Т. 15. № 5. С. 367.
- Могнонов Д.М., Тоневицкий Ю.В., Аюрова О.Ж., Ильина О.В., Корнопольцев В.Н. // Вопр. материаловедения. 2018. Т. 94. № 4. С. 151.
- Цейтлин Г.М., Токарев Б.В., Кулагин В.Н. // Журн. орган. химии. 1982. Т. 18. № 5. С. 1075.
- Katritzky A.R., Chapman A.J., Millet G.H. // J. Chem. Soc. 1980. № 1. P. 2743.
- Konovalova S.A., Avdeenko A.P., Santalova A.A., Palamarchuk G.V., D’yakovenko V.V., Shishkin O.V. // Russ. J. Org. Chem. 2015. V. 51. № 1. P. 42.
- Carrilho R.M., Almeida A.R., Kiss M., Kollar L., Skoda-Foldes R., Dabrowski J.M., Moreno M.J.S.M., Pereira M.M. // Eur. J. Organ. Chem. 2015. V. 2015. № 8. P. 1840.
- Cheng N., Yan Q., Liu S., Zhao D. // Cryst. Eng. Comm. 2014. V. 16. № 20. P. 4265.
- Kozlov A.S., Petrov A.K., Mognonov D.M., Burdukovskii V.F., Kholkhoev B.Ch., Ochirov B.D. // Polymer Science A. 2013. V. 55. № 4. P. 285.
- Mognonov D.M., Grigor’eva M.N., Stelmakh S.A., Ochirov O.S., Tonevitsky Y.V. // Russ. Chem. Bull. 2017. V. 66. № 10. P. 1937.
- Toktonov A.V., Mognonov D.M., Mazurevskaya Zh.P., Botoeva S.O. // Polymer Science A. 2006. V. 48. № 1. P. 1.
- Могнонов Д.М. Дис. … д-ра хим. наук. Иркутск: Иркутский гос. ун-т, 2002.
- Клебанов М.С. // Пласт. массы. 2020. № 3–4. С. 60.
- Михайлин Ю.А. // Волокнистые полимерные композиционные материалы в технике. СПб.: Научные основы и технологии, 2013.
- Виноградова С.В., Васнев В.А. // Поликонденсационные процессы и полимеры. М.: Наука, 2000.
- Mognonov D.M., Ayurova O.Z., Il’ina O.V., Khakhinov V.V. Russ. Chem. Bull. 2018. V. 67. № 10. P. 1903.
- Тоневицкий Ю.В., Могнонов Д.М., Санжижапов Д.Б., Мазуревская Ж.П., Токтонов А.В. // Russ. Chem. Bull. 1999. № 3. С. 626.
- Михайлин Ю.А. Термоустойчивые полимеры и полимерные материалы. СПб.: Профессия, 2006.
- Savitsky A.O., Tekovtsev A.V., Lukoshkin V.N., Bohme F. // Phys. Solid State. 2008. V. 50. № 10. P. 1895.
- Sharavaran K., Komber H., Fischer D., Bohme F. // Polymer. 2004. V. 45. P. 2127.
Supplementary files














