Synthesis of Composite Polymer Particles by Seeded Emulsion Polymerization and Formation of Photonic Crystals Based on Them
- Authors: Iakobson O.D.1, Ivan’kova E.M.1, Vaganov G.V.1, Krasnopeeva E.L.1, Shevchenko N.N.1
-
Affiliations:
- Institute of Macromolecular Compounds of Russian Academy of Sciences
- Issue: Vol 65, No 4 (2023)
- Pages: 275-285
- Section: СИНТЕЗ
- URL: https://ogarev-online.ru/2308-1139/article/view/231634
- DOI: https://doi.org/10.31857/S2308113923700584
- EDN: https://elibrary.ru/QNHAFM
- ID: 231634
Cite item
Full Text
Abstract
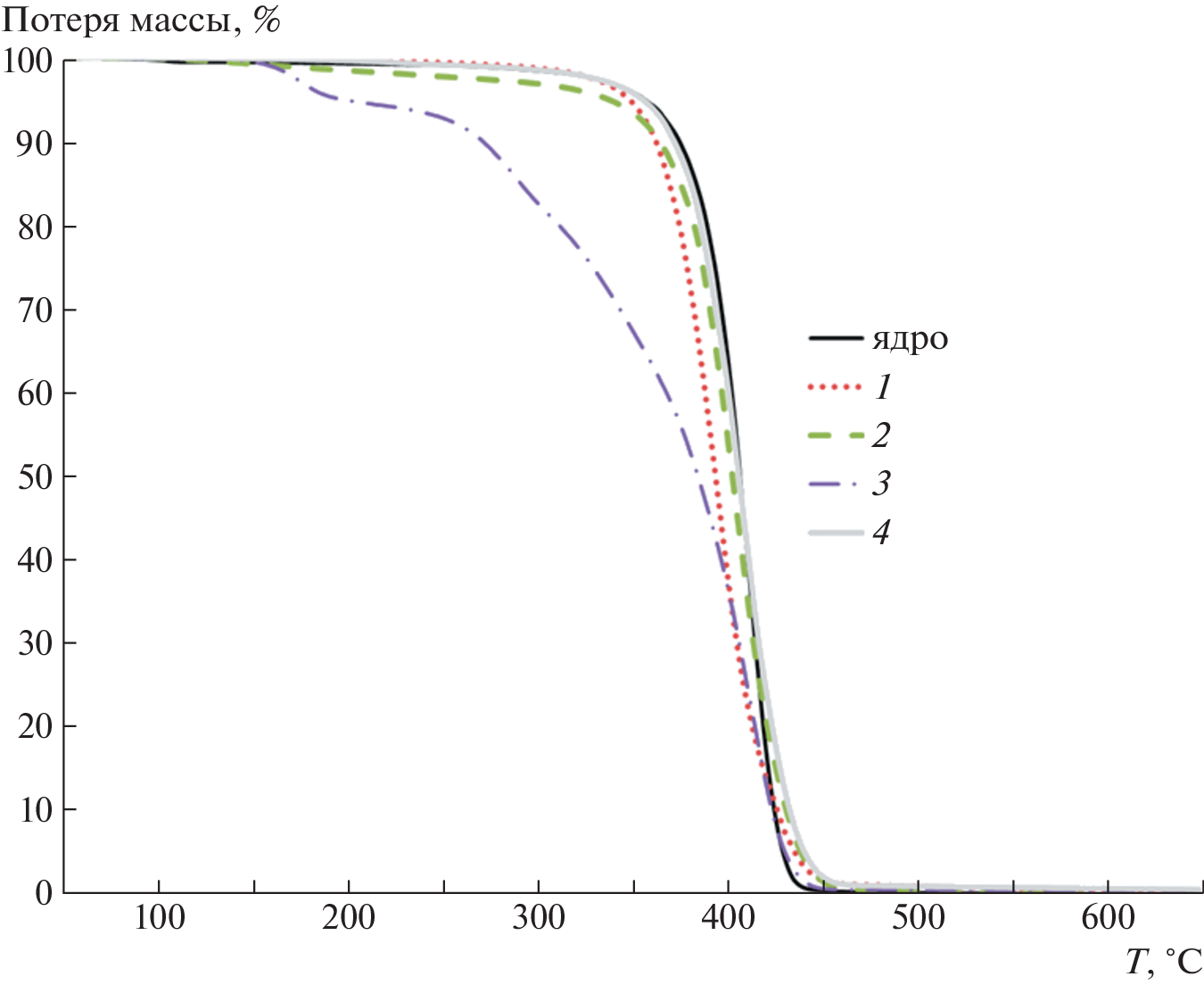
Submicron composite particles with the core/shell structure are synthesized by the seeded emulsion polymerization of a mixture of various acrylates in the presence of a redox initiation system. The diameter, morphology, and surface structure of particles as well as their ability to self-assemble into 3D ordered thin-film structures are studied by scanning electron microscopy, FTIR spectroscopy, thermogravimetry, and dynamic light scattering. It is shown that under the used experimental conditions particles with a shell thickness of 10‒35 nm are synthesized. The effect of shell composition (in particular, the alkyl chain length of acrylate comonomers) on the morphology and structure of the surface layer of the obtained composite particles is traced.
About the authors
O. D. Iakobson
Institute of Macromolecular Compounds of Russian Academy of Sciences
Email: iakobson.olga@yandex.ru
199004, St. Petersburg, Russia
E. M. Ivan’kova
Institute of Macromolecular Compounds of Russian Academy of Sciences
Email: natali.shevchenko29@gmail.com
199004, St. Petersburg, Russia
G. V. Vaganov
Institute of Macromolecular Compounds of Russian Academy of Sciences
Email: natali.shevchenko29@gmail.com
199004, St. Petersburg, Russia
E. L. Krasnopeeva
Institute of Macromolecular Compounds of Russian Academy of Sciences
Email: natali.shevchenko29@gmail.com
199004, St. Petersburg, Russia
N. N. Shevchenko
Institute of Macromolecular Compounds of Russian Academy of Sciences
Author for correspondence.
Email: natali.shevchenko29@gmail.com
199004, St. Petersburg, Russia
References
- Shevchenko N.N., Shabsel’s B.M., Iurasova D.I., Skurkis Yu.O. // Polymer Science C. 2022. V. 64. № 2. P. 245.
- Habibi P., Moradi G., Moradi A., Golbabaei F. // Environ. Nanotechnol. Monit. Manag. 2021. V. 16. P. 100504.
- Takeoka Y. // J. Mater. Chem. C. 2013. V. 1. № 38. P. 6059.
- Burratti L., De Matteis F., Casalboni M., Francini R., Pizzoferrato R., Prosposito P. // Mater. Chem. Phys. 2018. V. 212. P. 274.
- Sinitskii A.S., Khokhlov P.E., Abramova V.V., Laptin-skaya T.V., Tretyakov Y.D. // Mendeleev Commun. 2007. V. 17. № 1. P. 4.
- Černáková L., Chrástová V., Volfová P. // J. Macromol. Sci. A. 2005. V. 42. № 4. P. 427.
- Rios L., Hidalgo M., Cavaille J.Y., Guillot J., Guyot A., Pichot C. // Colloid Polym. Sci. 1991. V. 269. № 8. P. 812.
- Okubo M., Ahmad H. // J. Polym. Sci., Polym. Chem. 1996. V. 34. № 15. P. 3147.
- Chen Y., Gautrot J.E., Zhu X.X. // Langmuir. 2007. V. 23. № 3. P. 1047.
- Ramli R.A., Laftah W.A., Hashim S. // RSC Adv. 2013. V. 3. № 36. P. 15543.
- Viel B., Ruhl T., Hellmann G.P. // Chem. Mater. 2007. V. 19. № 23. P. 5673.
- Goulis P., Kartsonakis I.A., Charitidis C.A. // Fibers. 2020. V. 8. № 11. P. 71.
- Chatterjee K., Sarkar S., Rao J.K., Paria S. // Adv. Colloid Interface Sci. 2014. V. 209. P. 8.
- Jenjob R., Phakkeeree T., Crespy D. // Biomater. Sci. 2020. V. 8. № 10. P. 2756.
- Wu P., Shen X., Schäfer C.G., Pan J., Guo J., Wang C. // Nanoscale. 2019. V. 11. № 42. P. 20015.
- Thomas M.M., Chandran P.R., Vipin V.V., Mohamed A.P., Kingshott P., Pillai S. // React. Funct. Polym. 2021. V. 158. P. 104779.
- Shevchenko N., Pankova G., Laishevkina S., Iakobson O., Koshkin A., Shabsels B. // Colloids Surf. Physicochem. Eng. Asp. 2019. V. 562. P. 310.
- Han M.G., Sperry J., Gupta A., Huebner C.F., Ingram S.T., Foulger S.H. // J Mater Chem. 2007. V. 17. № 14. P. 1347.
- Li H., Wu P., Zhao G., Guo J., Wang C. // J. Colloid Interface Sci. 2021. V. 584. P. 145.
- Tang W., Chen C. // Polymers. 2020. V. 12. № 3. P. 625.
- Fan J., Qiu L., Qiao Y., Xue M., Dong X., Meng Z. // Front. Chem. 2021. V. 9. P. 665119.
- Furumi S. // Polym. J. 2013. V. 45. № 6. P. 579.
- Rosetta G., An T., Zhao Q., Baumberg J.J., Tomes J.J., Gunn M.D., Finlayson C.E. // Opt. Express. 2020. V. 28. № 24. P. 36219.
- Ito T., Katsura C., Sugimoto H., Nakanishi E., Inomata K. // Langmuir. 2013. V. 29. № 45. P. 13951.
- Kirsch S., Doerk A., Bartsch E., Sillescu H., Landfester K., Spiess H.W., Maechtle W. // Macromolecules. 1999. V. 32. № 14. P. 4508.
- Okubo M., Katsuta Y., Matsumoto T. // J. Polym. Sci., Polym. Lett. Ed. 1980. V. 18. № 7. P. 481.
- Tian L., Li X., Zhao P., Chen X., Ali Z., Ali N., Zhang B., Zhang H., Zhang Q. // Macromolecules. 2015. V. 48. № 20. P. 7592.
- Pusch J., Van Herk A.M. // Macromolecules. 2005. V. 38. № 16. P. 6909.
- Suzuki D., Yamagata T., Murai M. // Langmuir. 2013. V. 29. № 33. P. 10579.
- Mu Y., Qiu T., Li X., Guan Y., Zhang S., Li X. // Langmuir. 2011. V. 27. № 8. P. 4968.
- Li C., Wu Z., He Y.-F., Song P.-F., Zhai W., Wang R.-M. // J. Colloid Interface Sci. 2014. V. 426. P. 39.
- Misra A., Urban M.W. // Macromol. Rapid Commun. 2010. V. 31. № 2. P. 119
- Okubo M., Yamashita T. // Colloid Polym. Sci. 1998. V. 276. № 2. P. 103.
- Kim S.H., Son W.K., Kim Y.J., Kang E.-G., Kim D.-W., Park C.W., Kim W.-G., Kim H.-J. // J. Appl. Polym. Sci. 2003. V. 88. № 3. P. 595.
- Okubo M., Fujiwara T., Yamaguchi A. // Colloid Polym. Sci. 1998. V. 276. № 2. P. 186–189.
- Iakobson O., Ivan’kova E., Natalia Shevchenko // Langmuir. 2023. V. 39. № 28. P. 9952.
- Shevchenko N.N., Shabsels B.M., Men’shikova A.Yu., Pankova G.A., Smyslov R.Yu., Saprykina N.N., Sel’kin A.V., Ukleev T.A. // Nanotechnol. Russ. 2012. V. 7. № 3–4. P. 188.
- Men’shikova A.Yu., Bilibin A.Yu., Shevchenko N.N., Shabsel’s B.M., Evseeva T.G., Bazhenova A.G., Sel’kin A.V. // Polymer Science A. 2006. V. 48. № 9. P. 910.
- Silverstein R.M., Bassler G.C., Morrill T.C. Spectrometric Identification of Organic Compounds. 5th ed. New York: Wiley, 1991.
- https://pubchem.ncbi.nlm.nih.gov/.
- Morgan L.W. // J. App. Polym. Sci. 1982. V. 27. № 6. P. 2033.
- https://polymerdatabase.com/polymers.html
Supplementary files








