ИЗУЧЕНИЕ АНТИМИКРОБНОГО ДЕЙСТВИЯ ХИТОЗАНОВОГО ПОКРЫТИЯ, ДОПИРОВАННОГО ФТОРСОДЕРЖАЩИМИ ХИНОЛИНАМИ
- Авторы: Чащин И.С.1, Перепёлкин Е.И.1,2, Дяченко В.И.1
-
Учреждения:
- Институт элементоорганических соединений имени А.Н. Несмеянова Российской академии наук
- Российский химико-технологический университет имени Д.И. Менделеева
- Выпуск: Том 65, № 3 (2023)
- Страницы: 217-229
- Раздел: МЕДИЦИНСКИЕ ПОЛИМЕРЫ
- URL: https://ogarev-online.ru/2308-1139/article/view/135627
- DOI: https://doi.org/10.31857/S2308113923700444
- EDN: https://elibrary.ru/WZKYDB
- ID: 135627
Цитировать
Полный текст
Аннотация
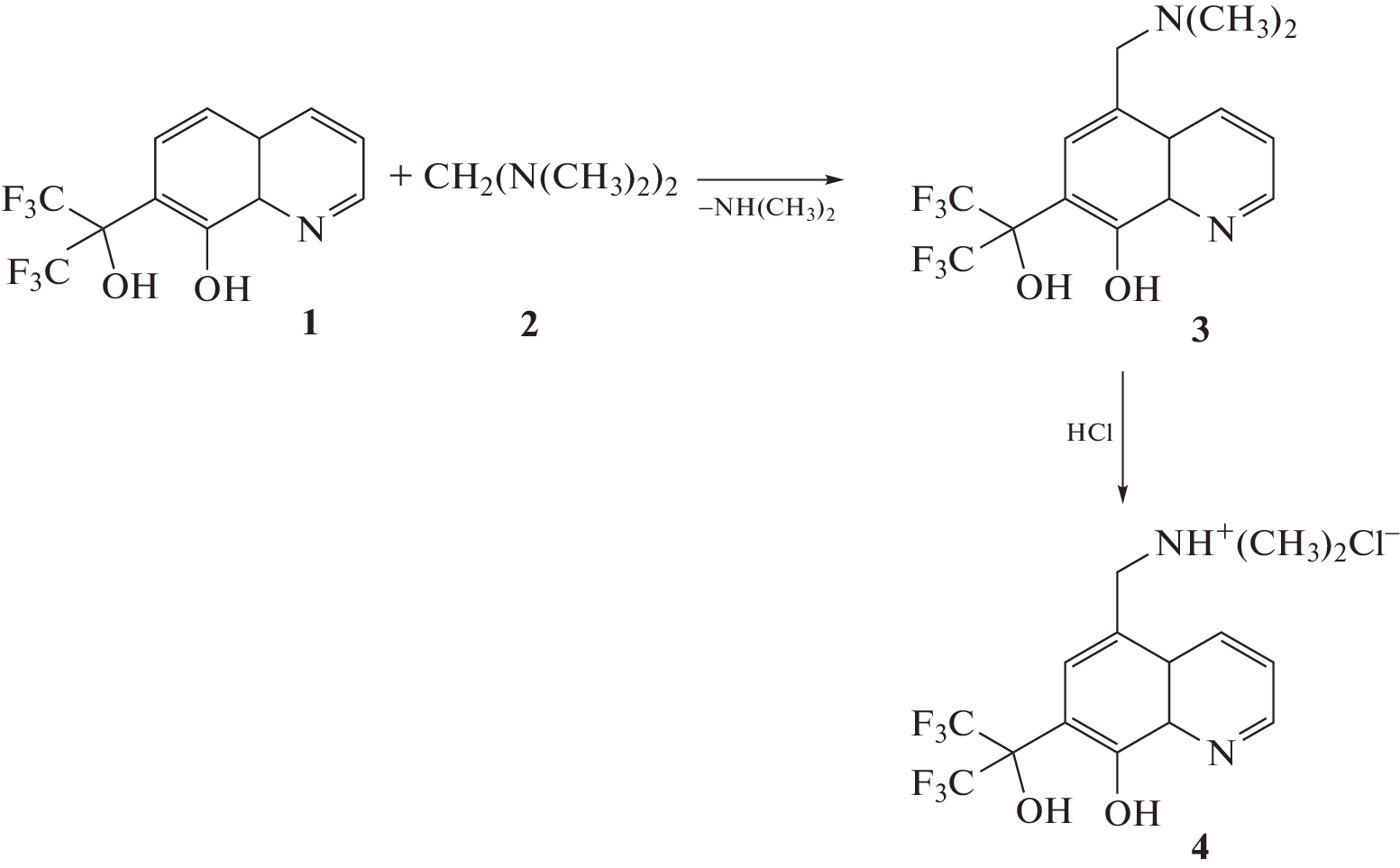
На основе хитозана и вновь синтезированного соединения фторхинолинового ряда ‒ 5-диметиламинометил-7-(2,2,2-трифтор-1-гидрокси-1-трифторметил-этил)хинолин-8-ола получен новый композит. Проведен сравнительный анализ его антимикробной активности с другими хитозановыми композитами, содержащими в своем составе применяемые в современной медицине такие антибиотики, как тетрациклин, ванкомицин и ципрофлоксацин. Продемонстрирована высокая эффективность 5-диметиламинометил-7-(2,2,2-трифтор-1-гидрокси-1-трифторметил-этил)хинолин-8-ола при подавлении роста Staphylococcus Aureus. Установлена возможность получения хитозановых наночастиц, допированных новым композитом, для применения их в качестве “интеллектуального” покрытия биопротезов клапанов сердца, в том числе с использованием угольной кислоты. Найден подход, позволяющий формировать гибридный биоматрикс на основе стабилизированного глутаровым альдегидом ксеногенного перикарда с ковалентно привязанным к нему полимерным “экраном” из хитозановых наночастиц как нано(микро)контейнеров с антимикробными агентами. Методом ионного гелирования синтезированы стабильные наночастицы хитозана, допированные новым композитом, что подтверждается высоким значением дзета-потенциала (|ζ| ~ 45 мВ). С помощью микроскопии высокого разрешения идентифицировано ультратонкое покрытие из полимерных сферических наночастиц (~70 нм), имеющих высокую адгезию к коллагеновым фибриллам. Показана возможность реализации индуцированного изменением рН среды “умного” антимикробного ответа данного биопокрытия за счет вариантов конформации (раскручивания) полимерных наночастиц хитозана и высвобождения цидных агентов в случае роста патогена на его поверхности.
Об авторах
И. С. Чащин
Институт элементоорганических соединений имени А.Н. Несмеянова Российской академии наук
Автор, ответственный за переписку.
Email: chaschin@polly.phys.msu.ru
Россия, 119334, Москва, ул. Вавилова, 28
Е. И. Перепёлкин
Институт элементоорганических соединений имени А.Н. Несмеянова Российской академии наук; Российский химико-технологический университет имени Д.И. Менделеева
Email: chaschin@polly.phys.msu.ru
Россия, 119334, Москва, ул. Вавилова, 28; Россия, 125047, Москва, Миусская пл., 9
В. И. Дяченко
Институт элементоорганических соединений имени А.Н. Несмеянова Российской академии наук
Email: chaschin@polly.phys.msu.ru
Россия, 119334, Москва, ул. Вавилова, 28
Список литературы
- Jana S., Tefft B.J., Spoon D.B. // Acta Biomat. 2014. V. 10. P. 2877.
- Schoen F.J., Levy R.J. // Ann. Thorac. Surg. 2005. V. 79. P. 1072.
- Wenjie W., Changhu X., Xiangzhao M. // Int. J. Biol. Macromol. 2020. V. 164. P. 4532.
- Jeon S.J., Oh M., Yeo W.-S., Galva K.N., Jeong K.C. // Plos. One. 2014. V. 9. P. 92723/1.
- Ma Z., Kim D., Adesogan A.T., Ko S., Galvao K., Jeong K.C. // ACS Apl. Matter. 2016. V. 8. P. 10700.
- Chung Y., Su Y., Chen C., Jia G., Wang H., Wu J.C.G., Lin J. // Acta Pharmacol. Sin. 2004. V. 25. P. 932.
- Qi L., Xu Z., Jiang X., Hu C., Zou X. // Carbohydr. Res. 2004. V. 339. P. 2693.
- Ngyuen T.V., Ngyuen T.T.H., Wang S.-L., Ngyuen A.D. // Res. Chem. Intermed. 2017. V. 43. P. 3527.
- Maya S., Indulekha S., Sukhithasri V., Smitha K.T., Shantikumar V.N., Jayakumar R., Biswas R. // Int. J. Biol. Macromol. 2012. V. 51. P. 392.
- Janes K.A., Fresneau M.P., Marazuela A., Fabra A., Alonso M.J. // J. Control. Release. 2001. V. 73. P. 255.
- Tramontini M., Angiolini L. // Tetrahedron. 1990. V. 46. № 6. P. 1791.
- Dyachenko V.I., Kolomiets A.F., Fokin A.V., Aleksandrova G.A., Rychkova M.I. // Byul. Izobret. 2007. V. 18. P. 1793687.
- Chaschin I.S., Perepelkin E.I., Dyachenko V.I. // Dokl. Phys. Chem. 2021. V. 501. P. 114.
- Бокерия Л.А., Гудкова Р.Г. Сердечно-сосудистая хирургия. Болезни и врожденные аномалии системы кровообращения. М.: ФГБУ НМИЦ ССХ им. А.Н. Бакулева Минздрава России, 2015.
- Chaschin I.S., Badun G.A., Chernysheva M.G., Gri-gorev T.E., Krasheninnikov S.V., Anuchina N.M., Bakuleva N.P. // J. Mech. Behav. Biomed. Mater. 2019. V. 94. P. 213.
- Dyachenko V.I., Galachov M.V., Kolomietz A.F., Fokin A.V. // Bull. Acad. Sci. USSR Div. Chem. Sci. 1989. V. 38. № 12. P. 2550.
- Kachala V.V., Khemchyan L.L., Kashin A.S., Orlov N.V., Grachev A.A., Zalesskiy S.S., Ananikov V.P. // Russ. Chem. Rev. 2013. V. 82. P. 648.
- Kashin A.S., Ananikov V.P. // Russ. Chem. Bull. 2011. V. 60. P. 2602.
- McFarland J. // J. Am. Med. Assoc. 1907. V. 49. P. 1176.
- Theapsak S., Watthanaphanit A., Rujiravanit R. // ACS Appl. Mater. Int. 2012. V. 4. P. 2474.
- Akhil Kumar M.M., Biju V.M. // New J. Chem. 2020. V. 44. P. 8044.
- Yu V.L., Fang G.D., Keys T.F., Harris A.A., Gentry L.O., Fuchs P.C., Wagener M.M., Wong E.S. // Ann. Thorac. Surg. 1994. V. 58. P. 1073.
- Nunes A.P., Teixeira L.M., Iorio N.L., Bastos C.C., de Sousa Fonseca L., Souto-Padron T., dos Santos K.R. // Int. J. Antimicrob. Agents. 2006. V. 27. P. 307.
- Smith J.K., Bumgardner J.D., Courtney H.S., Smeltzer M.S., Haggard W.O. // J. Biomed. Mater. Res. B. 2010. V. 94. P. 203.
- Żamojć K., Wiczk W., Zaborowski B., Makowski M., Pranczk J., Jacewicz D., Chmurzyński L. // Spectrochim. Acta. A. 2014. V. 133. P. 887.
- Sides P.J., Faruqui D., Gellman A.J. // Langmuir. 2009. V. 25. P. 1475.
- Bet M.R., Goissis C., Vargas S., Sehswe-de-Araujo H.S. // Biomaterials. 2003. V. 24. P. 131.
- Tomaz A.F., de Carvalho S.M.S., Barbosa R.C., Silva S.M.L., Sabino Gutierrez M.A., de Lima A.G.B., Fook M.V.L. // Materials. 2018. V. 11. P. 2051.
- Albright V., Zhuk I., Wang Y., Selin V., van de Belt-Gritter B., Busscher H.J., van der Mei H.C., Sukhishvili S.A. // Acta Biomater. 2017. V. 61. P. 66.
- Chaschin I.S., Sinolits M.A., Badun G.A., Chernysheva M.G., Anuchina N.M., Krasheninnikov S.V., Khugaev G.A., Petlenko A.A., Britikov D.V., Zubko A.V., Kurilov A.D., Dreger E.I., Bakuleva N.P. // Int. J. Biol. Macromol. 2022. V. 222. P. 2761.
Дополнительные файлы












