Effect of Drug Substances of the Electrolyte Nature on the Conformational and Supramolecular State of Pectin Macromolecules in Solution
- Авторлар: Afanas’eva M.A.1, Shurshina A.S.1, Kulish E.I.1
-
Мекемелер:
- Bashkir State University
- Шығарылым: Том 65, № 1 (2023)
- Беттер: 43-51
- Бөлім: Articles
- URL: https://ogarev-online.ru/2308-1139/article/view/135614
- DOI: https://doi.org/10.31857/S2308113923700286
- EDN: https://elibrary.ru/PHNHYF
- ID: 135614
Дәйексөз келтіру
Толық мәтін
Аннотация
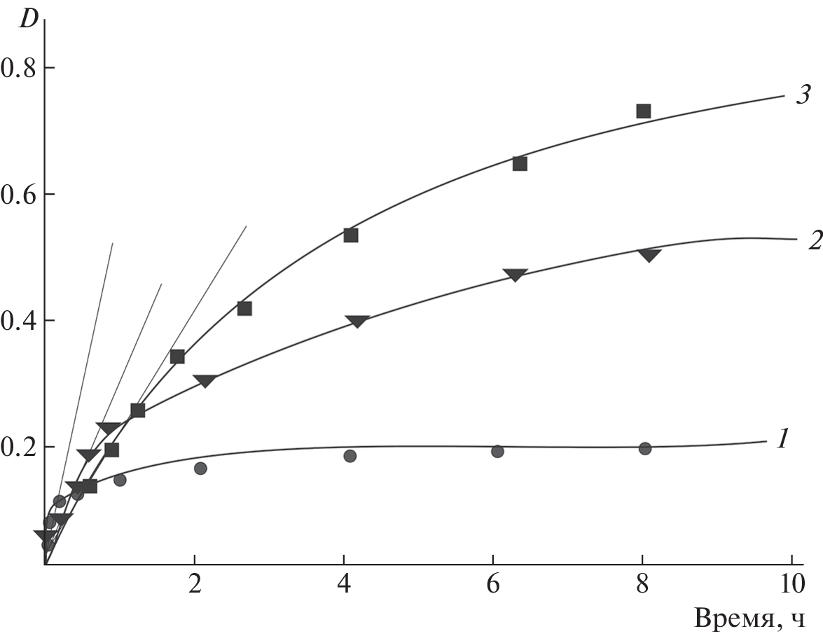
Effect of a number of low-molecular-weight drug substances on the viscous and rheological behavior of pectin solutions in dilute and semidilute solutions regimes is studied. It is shown that the introduction of a drug substance, which is a low molecular weight electrolyte, into a dilute pectin solution leads to a change in the intrinsic viscosity of the polymer and the degree of aggregation of its macromolecules. Upon introduction of the drug substance into a semidilute pectin solution the rheological behavior of the solution changes. Presence of a drug substance of the nonelectrolyte nature in pectin solution has almost no effect on the conformational and supramolecular state of pectin and, accordingly, the viscosity characteristics of solution. It is demonstrated that the electrolyte drug substances, especially polyvalent cations, affect some practically important properties of liquid and soft dosage forms produced from pectin solutions, specifically the yield stress and the rate of drug substance release. The results obtained are explained by the polyelectrolyte nature of pectin.
Авторлар туралы
M. Afanas’eva
Bashkir State University
Email: anzhela_murzagil@mail.ru
450076, Ufa, Republic of Bashkortostan, Russia
A. Shurshina
Bashkir State University
Email: anzhela_murzagil@mail.ru
450076, Ufa, Republic of Bashkortostan, Russia
E. Kulish
Bashkir State University
Хат алмасуға жауапты Автор.
Email: anzhela_murzagil@mail.ru
450076, Ufa, Republic of Bashkortostan, Russia
Әдебиет тізімі
- Markov P.A., Krachkovsky N.S., Durnev E.A., Martinson E.A., Popov S.V. // J. Biomed. Mater. Res. A. 2017. V. 105. № 9. P. 2572.
- Korzhikov V.A., Vlakh E.G., Tennikova T.B. // Polymer Science A. 2012. V. 54. № 8. P. 585.
- Temenoff J.S., Mikos A.G. // Biomaterials. 2000. V. 21. P. 2405.
- Biomaterials / Ed. by Joyce Y. Wong, Joseph D. Bronzino. Boca Raton: CRS Press, 2019.
- Shtilman M.I. Immobilization on Polymers. Utrecht, Tokyo: VSP, 1993.
- Material Science of Chitin and Chitosan / Ed. by T. Uragami, S. Tokura. Tokyo: Springer, 2006.
- Dang Duc Long, Dang Van Luyen // J. Macromol. Sci. 1996. V. 33. № 12. P. 1875.
- Rashmi Boppana // J. Microencapsulation. 2010. V. 27. № 4. P. 337.
- Mishra R.K., Banthia A.K., Majeed A.B.A. // Asian J. Pharmaceut. Clinic. Res. 2012. V. 5. № 4. P. 1.
- Ovodov Yu.S. // Russ. J. Bioorgan. Chem. 2009. V. 35. № 3. P. 269.
- Kolenchenko E.A., Khotimchenko M.Y., Khozhaenko E.V., Khotimchenko Y.S. // Russ. J. Marine Biol. 2012. V. 38. № 4. P. 346.
- Rybalkina O.Yu., Razina T.G., Lopatina K.A., Amosova E.N., Krylova S.G., Efimova L.A., Safonova E.A., Zueva E.P., Khotimchenko M.Yu., Khotimchenko Yu.S. // Bull. Experimental Biol. Medicine. 2013. V. 154. № 4. P. 492.
- Cui S., Yao B., Gao M., Sun X. // Carbohydr. Polym. 2017. V. 157. P. 766.
- Dheer D., Aroro D., Jaglan S., Rawal R.K., Shancar R. // J. Drug Target. 2017. V. 25. № 1. P. 1.
- Chan S.Y., Choo W.S., Joung D.J., Lox X.J. // Carbohydr. Polym. 2017. V. 161. P. 118.
- Das S., Ng K.Y. // J. Pharmaceut. Sci. 2010. V. 99. № 2. P. 840.
- Kyomugasho C., Gwala S., Christiaens S., Jamsazzadeh Kermani Z., Van Loey A.M., Grauwet T., Hendrickx M.E. // Food Hydrocolloids. 2017. V. 62. № 1. P. 299.
- Do Prado S.B.R., Ferreira G.F., Harazona Y., Shiga T.M., Raz A., Carpita N.C., Fabi J.P. // Scientific Rep. 2017. V. 7. № 1. P. 16564.
- Penhasi A. // Carbohydr. Polym. 2017. V. 157. P. 651.
- Ilyin S.O., Makarova V.V., Anokhina T.S., Volkov A.V., Antonov S.V. // Polymer Science A. 2017. V. 59. № 5. P. 676.
- Баранов В.Г., Френкель С.Я., Агранова С.А., Бресткин Ю.В., Пинкевич В.Н., Шабсельс Б.М. // Высокомолек. соед. 1987. Т. 29. № 10. С. 745.
- Arinshtein A.E. // Sov. Phys. JETP. 1992. № 4. P. 646.
- De Gennes P.G. Scaling Concepts in Polymer Physics. Ithaka: Cornell Univ. Press, 1979.
- Малкин А.Я., Исаев А.И. Реология: концепции, методы, приложения. СПб.: Профессия, 2007.
- Doi M., Edwards S.P. // J. Chem. Soc., Faraday Trans. II. 1978. V. 74. № 10. P. 1789.
- De Gennes P.G. // Macromolecules. 1976. V. 9. № 4. P. 587.
- Орленева А.П., Королев Б.А., Литманович А.А., Захарова Ю.А., Касаикин В.А., Куличихин В.Г. // Высокомолек. соед. A. 1998. Т. 40. № 7. С. 1179.
- Litmanovich E.A., Syaduk G.V., Lysenko E.A., Zezin A.B., Kabanov A.V., Kabanov V.A. // Polymer Science. A. 2006. V. 48. № 9. P. 997.
- Dreval’ V.E., Vasil’ev G.B., Litmanovich E.A., Kulichikhin V.G. // Polymer Science A. 2008. V. 50. № 7. P. 751.
- Chernova V.V., Valiev D.R., Bazunova M.V., Kulish E.I. // Russ. J. Phys. Chem. B. 2018. V. 12. № 4. P. 701.
- Bazunova M.V., Valiev D.R., Chernova V.V., Kulish E.I. // Polymer Science A. 2015. V. 57. № 5. P. 675.
- Vikhoreva G.A., Rogovina S.Z., Pchelko O.M., Gal’braikh L.S. // Polymer Science. B. 2001. V. 43. № 5–6. P. 166.
Қосымша файлдар











