Intermolecular Interactions between Iodine and Low-Methoxylated Apple Pectin Modified with Pharmacophores
- Авторлар: Mudarisova R.K.1, Sagitova A.F.2, Kukovinets O.S.2, Kolesov S.V.1
-
Мекемелер:
- Ufa Institute of Chemistry, Ufa Federal Research Center, Russian Academy of Sciences
- Bashkir State University
- Шығарылым: Том 65, № 1 (2023)
- Беттер: 28-36
- Бөлім: Articles
- URL: https://ogarev-online.ru/2308-1139/article/view/135612
- DOI: https://doi.org/10.31857/S2308113923700365
- EDN: https://elibrary.ru/PIONMS
- ID: 135612
Дәйексөз келтіру
Толық мәтін
Аннотация
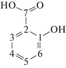
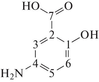
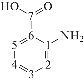
The interaction of iodine with low-methoxylated apple pectin (esterification degree 10%) modified with pharmacophores (salicylic, 5-aminosalicylic, and anthranilic acids) in aqueous solution has been investigated by spectral methods. Composition and stability constants of the iodine-containing complexes have been determined, and standard thermodynamic parameters of the complex formation have been calculated. Formation of the molecular 1 : 1 complexes in the considered systems has been governed by the enthalpy term (∆Н° < 0, ∆S° < 0). It has been found that hydroxyl as well as amino groups of the modified polysaccharide matrix can act as the main active sites involved in the interaction with iodine. The influence of the degree of methoxylation of the polysaccharide matrix and the structure of the modifying pharmacophore on the content of iodine, duration of the iodine release from the sample, and the antimicrobial activity has been demonstrated.
Авторлар туралы
R. Mudarisova
Ufa Institute of Chemistry, Ufa Federal Research Center, Russian Academy of Sciences
Email: mudarisova@anrb.ru
450054, Ufa, Russia
A. Sagitova
Bashkir State University
Email: mudarisova@anrb.ru
450054, Ufa, Russia
O. Kukovinets
Bashkir State University
Email: mudarisova@anrb.ru
450054, Ufa, Russia
S. Kolesov
Ufa Institute of Chemistry, Ufa Federal Research Center, Russian Academy of Sciences
Хат алмасуға жауапты Автор.
Email: mudarisova@anrb.ru
450054, Ufa, Russia
Әдебиет тізімі
- Li D., Li J., Dong H., Li X., Zhang J., Ramaswamy S. // Int. J. Biol. Macromol. 2021. V. 185. P. 49.
- Sriamornsak P. // Silpakorn Univ. Int. J. 2003. V. 3. P. 206.
- Zaitseva O., Khudyakov A., Sergushkina M., Solomina O., Polezhaeva T. // Fitoterapia. 2020. V. 146. P. 104676.
- Ciriminna R., Fidalgo A., Scurria A., Ilharco L.M., Pagliaro M. // Food Hydrocolloids. 2022. V. 127. P. 107423.
- Raji Z., Khodaiyan F., Rezaei K., Kiani H., Saeid Hosseini S. // Int. J. Biol. Macromol. 2017. V. 98. P. 709.
- Кайшева Н.Ш., Кайшев А.Ш. Фармакохимические основы применения пектинов и альгинатов. Пятигорск: РИА-КМВ, 2016.
- Eliaz I., Raz A. // Nutrients. 2019. V. 11. P. 2619.
- Minzanova S.T., Mironov V.F., Vyshtakalyuk A.B., Tsepaeva O.V., Mironova L.G., Mindubaev A.Z., Nizameev I.R., Kholin K.V., Milyukov V.A. // Carbohydr. Polym. 2015. V. 134. P. 524.
- Lara-Espinoza C., Carvajal-Millán E., Balandrán-Quintana R., López-Franco Y., Rascón-Chu A. // Molecules. 2018. V. 23. P. 942.
- Noreena A., Nazlic Z., Akrama J., Rasulb I., Manshaa A., Yaqoobc N., Iqbald R., Tabasuma S., Zubera M., Ziaa K. // Int. J. Biol. Macromol. 2017. V. 101. P. 254.
- Liu L., Fishman M.L., Hicks K.B. // Cellulose. 2007. V. 14. P. 15.
- Sriamornsak P. // Expert Opin. Drug Deliv. 2011. V. 8. P. 1009.
- Munarin F., Tanzi M.C., Petrini P. // Int. J. Biol. Macromol. 2012. V. 51. P. 681.
- Хотимченко Ю.С., Одинцова М.В., Ковалев В.В. Полисорбовит. Томск: Изд-во НТЛ, 2001.
- Jantrawut P., Bunrueangtha J., Suerthong J., Kantrong N. // Materials. 2019. V. 12. P. 1628.
- Kocaaga B., Kurkcuoglu O., Tatlier M., Batirel S., Guner F.S. // Appl. Polym. Sci. 2019. V. 136. P. 47640.
- Khotimchenko Y.S., Kolenchenko E.A., Khotimchenko M.Y., Kovalev V.V. // Orient. Pharm. Exp. Med. 2004. V. 4. P. 28.
- Zhukova G.F., Savchik S.A., Khotimchenko S.A. // Microelements Medicine. 2004. T. 5 № 1. P. 7.
- Sherer T., Thrall K., Bull R. // J. Toxucol. Environment. Health. 1991. V. 32. P. 89.
- Kukovinets O.S., Plekhanova D.F., Tarasova A.V., Abdullin M.I., Mudarisova R.K. // Russ. J. Appl. Chem. 2014. V. 87. № 10. P. 1524.
- Gillam T.A., Goh C.K., Ninan N., Bilimoria K., Shirazi H.S., Saboohi S., Al-Bataineh S., Whittle J.A. // Appl. Surf. Sci. 2021. V. 537. P. 147866.
- Abueva C., Seok Ryu H., Won Min J., Sang Chung P., Sook You H., Suk Yang M., Hoon Woo S. // Int. J. Biol. Macromol. 2021. V. 182. P. 1713.
- Gull N., Maqsood S., Khalid S., Zia S., Islam A., Sabir A., Sultan M., Hussain F., UllahKhan R., Taqi M., Butt Z. // Int. J. Biol. Macromol. 2020. V. 164. P. 4370.
- Kida D., Gladysz O., Szulc M., Zborowski J., Junka A., Janeczek M., Lipińska A., Skalec A., Karolewicz B. // Polymers. 2020. V. 12. P. 1271.
- Lepelletier D., Maillard J.Y., Pozzetto B., Simon A. // Antimicrob. Agents Chemother. 2020. V. 64. P. 9.
- Машковский М.Д. Лекарственные средства. М.: Медицина, 1984. Т. 2.
- Хотимченко М.Ю. // Биология моря. 2009. Т. 35. № 4. С. 302.
- Афанасьев С.П., Чирва В.Ю., Кацева Г.Н. // Химия природ. соед. 1984. № 4. С. 428.
- Mudarisova R., Kukovinets O., Sagitova A., Novoselov I. // Biointerface Res. Appl. Chem. 2020. V. 10. № 4. P. 5724.
- Донченко Л.В. Технология пектинов и пектинопродуктов. М.: ДеЛи, 2000.
- Булатов М.И., Калинкин И.П. Практическое руководство по фотометрическим методам анализа. Л.: Химия, 1986.
- Carlo G. Methods of Analytical Chemistry. M.: Chemistry, 1965.
- Thoma J.A., French D. // J. Am. Chem. Soc. 1960. V. 82. № 16. P. 4144.
- Klyubin V.V., Makovetskaya K.N., Klyubina K.A. // Russ. J. Phys. Chem. A. 2017. V. 91. № 4. P. 645.
- Xiaochun Y., Houtman C., Rajai H.A. // Carbohydr. Res. 1996. V. 292. P. 129.
- Moulay S. // J. Polym. Eng. 2013. V. 33. № 5. P. 389.
- Gegel N.O., Babicheva T.S., Belyakova O.A., Lugovitskaya T.N., Shipovskaya A.B. // Eur. J. Natural History. 2018. V. 3. P. 24.
- Kukovinets O.S., Mudarisova R.K., Volodina V.P., Tarasova A.V., Mokina A.Z., Abdullin M.I. // Chem. Nat. Compounds. 2014. V. 50. № 1. P. 50.
Қосымша файлдар













