Подвижность многократно протонированных полиэтиленоксидов в гелии при различных напряженностях электрического поля. Молекулярно-динамическое моделирование дрейфа ионов
- Авторы: Дубровский С.А.1, Балабаев Н.К.1
-
Учреждения:
- Федеральный исследовательский центр химической физики им. Н.Н. Семенова Российской академии наук
- Выпуск: Том 66, № 4 (2024)
- Страницы: 291-303
- Раздел: ТЕОРИЯ И МОДЕЛИРОВАНИЕ
- URL: https://ogarev-online.ru/2308-1120/article/view/285489
- DOI: https://doi.org/10.31857/S2308112024040055
- EDN: https://elibrary.ru/MCJEVG
- ID: 285489
Цитировать
Полный текст
Аннотация
Дрейф многократно протонированных цепей полиэтиленоксида в гелии в электростатических полях различной напряженности моделируется методом молекулярной динамики. Результаты моделирования сравниваются с предсказаниями кинетической теории подвижности ионов, которая связывает эффект увеличения напряженности поля с ростом температуры иона. Как и следовало ожидать, внутренняя температура иона Tion повышается с увеличением кинетической энергии случайного движения, получаемой ионом от поля. Однако она растет медленнее, чем ожидается в двухтемпературной теории. Подвижность ионов рассчитывается как функция напряженности поля E при постоянной температуре газа T (300 К) и как функция T при низких E. Результаты этих двух серий расчетов сравниваются при одинаковых внутренних температурах ионов. Результаты совпадают при Tion, близкой к температуре газа. При высоких температурах иона они несколько расходятся (примерно на 8% при Tion = 600 К), что не согласуется с теорией. Конформации и размеры дрейфующих ионов, а также их сечения столкновения, рассчитанные по подвижности, свидетельствуют о том, что увеличение числа присоединенных протонов приводит к разворачиванию полимерной цепи. Этот эффект удовлетворительно согласуется с критерием Рэлея устойчивости заряженной капли. Увеличение напряженности поля влияет на сечение столкновения по нескольким причинам. Они включают в себя повышение температуры иона, приводящее к увеличению размера иона, уменьшение влияния дальнодействующих притягивающих взаимодействий и дипольную ориентацию, которая более выражена при меньшем количестве присоединенных протонов.
Полный текст
ВВЕДЕНИЕ
Измерение подвижности ионизированных молекул (ионов) в газе представляет практический интерес, поскольку оно дает информацию о размере и структуре молекул. Подвижность ионов можно измерить с помощью ряда методов, которые вместе составляют технологию, известную как спектрометрия ионной подвижности (СИП) [1]. Она используется для изучения как малых, так и больших молекул, включая синтетические полимеры и биомолекулы, такие как белки и нуклеиновые кислоты [1–4]. Образование газообразных ионов из больших молекул может привести к разрушению молекул. Чтобы этого не произошло, необходимо использовать специальные методы мягкой ионизации. К таким методам относятся матричная лазерная десорбция/ионизация [5, 6] и ионизация электрораспылением [7].
В традиционных экспериментах СИП подвижность ионов измеряется в слабых электрических полях, в которых скорость дрейфа ионов намного меньше тепловой скорости молекул газа, а температура ионов близка к температуре газа. Подвижность, полученная в этих условиях, может быть точно преобразована в сечение столкновения иона с газом с использованием уравнения подвижности ионов для предельного случая нулевой напряженности поля (уравнение Мейсона–Шампа) [8]. В современных приборах СИП, например дифференциальные спектрометры подвижности или спектрометры с асимметричной формой волны поля, напряженность поля высока и скорость дрейфа ионов может достигать 50% и более от тепловой скорости. Чтобы учесть этот факт, были разработаны поправочные коэффициенты для уравнения нулевого поля [9]. Однако понимание того, как подвижность изменяется в зависимости от напряженности электрического поля, в настоящее время неполно, особенно в случае многоатомных ионов, что ограничивает использование СИП с сильным полем в аналитических исследованиях [10].
Для извлечения информации о молекулярной структуре иона из его сечения столкновения последнее сравнивается с сечениями, рассчитанными для атомистических моделей иона [10–12]. Сечение столкновения модели иона вычисляется для набора возможных геометрий иона, сгенерированных либо квантовыми, либо классическими методами. Недостаток этого подхода состоит в том, что сгенерированный набор геометрий иона может быть недостаточно репрезентативным, что может существенно повлиять на сечение столкновения. Альтернативой является прямое молекулярно-динамическое моделирование дрейфа ионов в газе и расчет сечения столкновения на основе моделируемой подвижности ионов [13, 14]. Поскольку молекулярно-динамическое моделирование дрейфа ионов, по сути, воспроизводит эксперимент по подвижности ионов на компьютере, данный подход представляется более реалистичным.
Здесь мы моделируем дрейф многократно протонированных цепей полиэтиленоксида (ПЭО) в гелии в широком диапазоне напряженностей электрического поля и оцениваем подвижность ионов на этой основе. Многократно протонированные цепи ПЭО были выбраны в качестве объекта исследования, так как они служат простым примером многократно заряженных макромолекулярных ионов, которые обычно возникают при ионизации электрораспылением [15].
Ионы ПЭО, образованные из нейтральных цепей ПЭО и катионов (таких как H+, Li+, Na+, Cs+ и NH4+) посредством заряд-дипольных взаимодействий, изучались во многих работах. Измерения подвижности ионов в слабых полях проводились для катионизированного ПЭО с разной длиной полимерной цепи и различным зарядовым состоянием (количеством присоединенных катионов) [16–20]. Эти исследования показали, что ионы ПЭО в газовой фазе могут существовать в различных конформациях: от компактной, близкой к сферической, до сильно удлиненной. Переход к развернутым конформациям происходит с увеличением зарядового состояния и вызван кулоновским отталкиванием катионов, прикрепленных к полимерной цепи. В то же время даже при большом количестве прикрепленных катионов полимерная цепь не полностью растянута, поскольку она обвивается вокруг катионов, формируя конфигурацию бусин на нити. Эти результаты были подтверждены путем моделирования молекулярной структуры катионизированного ПЭО [20, 21].
В отличие от предыдущих исследований, где молекулярное моделирование проводилось для ионов в отсутствие электрического поля, здесь молекулярные структуры моделируются для дрейфующих ионов одновременно с подвижностью ионов. В связи с этим смоделированная структура ионов и подвижность ионов могут быть соотнесены при одних и тех же условиях дрейфа. Мы проводим моделирование в широком диапазоне напряженностей поля, чтобы изучить влияние зарядового состояния протонированных цепей ПЭО на их подвижность и сечение столкновения и в слабых, и в сильных полях. Наша цель также состоит в том, чтобы изучить, как эффекты сильного поля, такие как нагревание, разворачивание и дипольная ориентация, влияют на подвижность этих ионов.
При высоких напряженностях поля дрейфующие ионы нагреваются, получая энергию от столкновений с молекулами газа. При дрейфе ионов в атомарном газе нагревание происходит до тех пор, пока внутренняя температура иона Tion не станет равной эффективной поступательной температуре Teff, которая характеризует среднюю энергию случайного движения иона. Когда ионы или газ являются многоатомными, эффективная поступательная температура определяется как [22, 23]
. (1)
Здесь T – температура газа, M – масса молекулы газа, m – масса иона, ξ – безразмерная величина, характеризующая долю энергии, теряемой за счет неупругих столкновений, kB – постоянная Больцмана, vd – скорость дрейфа, β΄ – поправочный член. Для ионов с массой, существенно большей массы молекул газа (m / M >> 1), влияние ξ исчезает из-за соотношения масс. В этом случае выражение для Teff такое же, как и для только упругих столкновений:
. (2)
Учет эффекта нагрева ионов приводит к двухтемпературному выражению для подвижности [22, 23]
, (3)
где E – напряженность поля, m = mM / (m + M) – приведенная масса, ze – заряд иона, e – элементарный заряд, N – числовая плотность газа, Ω – сечение столкновения, α – малый поправочный член. Уравнение (3) выведено для атомарных ионов в атомарном газе. Однако его можно применять к многоатомным ионам или газу при условии, что эффективная температура Teff определяется с учетом неупругих потерь энергии. Здесь следует отметить, что малый поправочный член α для многоатомных ионов или газа может отличаться от такового для атомарных ионов в атомарном газе; то же самое относится к поправочному члену β΄ [22].
В этой работе внутренняя температура иона Tion рассчитывается из моделируемых скоростей атомов иона и скорости его центра масс (см. следующий раздел). Учитывая, что исследуемые ионы дрейфуют в атомарном газе (гелии), мы считаем, что Tion количественно определяет эффективную поступательную температуру Teff. Эффективная температура, определенная таким образом, сравнивается с предсказанием уравнения (2), принимая во внимание, что исследуемые ионы массивны (m/M 1). Подвижности ионов, рассчитанные как функция E/N при постоянном значении T, сравниваются с подвижностями, определенными как функция T при низких значениях E/N, и разница между этими подвижностями сравнивается с предсказанием уравнения (3). Сечение столкновения вычисляется с использованием уравнения (3) и сравнивается с геометрическими характеристиками иона, полученными в результате моделирования. Кроме того, рассматривается влияние дипольной ориентации на сечение столкновения и подвижность иона.
Ниже будут представлены подробности метода моделирования, результаты расчетов температуры и подвижности ионов, обсуждение наблюдаемых различий в подвижности, а также данные о конформации и размере дрейфующих ионов, их сечении столкновения и дипольной ориентации.
МЕТОДИКА МОДЕЛИРОВАНИЯ
Моделирование проводится для многозарядных ионов ПЭО, которые представляют собой аддукты (комплексы), образованные из цепи ПЭО, H(CH2CH2O)nH, и нескольких протонов. Ниже они обозначены как ионы ПЭОn–(H+)z, где n – число мономерных звеньев в цепи (60 или 100), z – зарядовое состояние (число присоединенных протонов) (от 1 до 6). Дрейф ионов моделируется методом молекулярной динамики, реализованным в программе PUMA, разработанной в Институте математических проблем биологии РАН. Эта программа широко используется для моделирования полимерных и биомолекулярных систем [24, 25]. Для моделирования дрейфа макроионов в газовой среде программа была модифицирована, как описано в наших предыдущих работах [26, 27]. При моделировании дрейфа каждый атом системы ион–газ представляется явно. Температура газа поддерживается постоянной с помощью столкновительного термостата, описанного в работах [28, 29]. Вкратце моделирование происходит следующим образом.
Моделируемый ион помещается в центр расчетной ячейки в форме прямоугольного параллелепипеда с типичными размерами 400 × 200 × 200 Å. Молекулы газа (гелия) случайным образом размещаются в свободном объеме ячейки. Используются периодические граничные условия. Чтобы вызвать дрейф иона, прикладывается однородное электростатическое поле, направленное вдоль длинной стороны ячейки. Ячейка смещается на каждом шаге моделирования в соответствии со смещением иона так, чтобы центр ячейки совпадал с центром масс иона. Каждый следующий шаг траектории рассчитывается в системе отсчета, связанной со смещенной ячейкой.
Область вблизи дрейфующего иона освобождена от регулирования температуры. В этой области молекулы газа могут свободно сталкиваться с атомами иона. За пределами данной области столкновения молекул газа с частицами термостата (с частотой 10 пс–1) поддерживают постоянную температуру газа. Область, свободная от регулирования температуры, включает молекулы газа в пределах 15 Å от любого атома иона. Данное расстояние немного больше расстояния, на котором взаимодействие Ван-дер-Ваальса между молекулой гелия и ионом становится пренебрежимо малым (10.5 Å).
Для валентных связей цепи ПЭО используется потенциал Морзе. Это позволяет контролировать разрыв связей и фрагментацию полимерной цепи, которые могут возникать при моделировании дрейфа иона в сильных полях. Другие взаимодействия в системе описываются полноатомным силовым полем PCFF [30]. Парциальные заряды атомов цепи берутся из инкрементов связей, заданных в силовом поле PCFF. При расчете электростатических сил используется радиус обрезания 50 Å. Параметры потенциала Морзе и некоторых невалентных взаимодействий, а также парциальные заряды атомов приведены в нашей работе [31]. Протоны образуют связи с атомами кислорода цепи ПЭО посредством электростатических взаимодействий. Энергия связи протон–кислород составляет 47.1 и 120 ккал/моль соответственно для атомов кислорода внутри цепи и атома кислорода концевой гидроксильной группы. Разница в энергиях связи обусловлена разницей в парциальных зарядах (–0.2266e и –0.5233e).
Число молекул гелия в расчетной ячейке с размерами 400 × 200 × 200 Å составляет 2376 и 1584 для ионов ПЭО, состоящих из 60 и 100 мономерных звеньев соответственно. Эти числа молекул гелия отвечают давлениям газа 6.07 и 4.05 атм при температуре газа 300 К, которая поддерживалась в большинстве расчетов. При использовании ячейки с другими размерами число молекул гелия изменяется пропорционально изменению объема ячейки, так что плотность газа N остается постоянной. Перед моделированием дрейфа ионы приводятся в равновесное состояние, соответствующее температуре газа, с помощью моделирования без электрического поля.
Моделирование дрейфа осуществляется в широком диапазоне напряженностей поля. Нижний предел нормированной напряженности поля E / N (от 25 до 90 Тд; 1 Тд = 10–21 В м2) выбирается для обеспечения достаточно высокой скорости дрейфа (150–250 м/с) и, следовательно, низкой ошибки из-за случайной диффузии ионов [14]. Сверху напряженность поля ограничена необходимостью поддержания целостности иона, т.е. избежания фрагментации его полимерной цепи и отрыва протонов. Это требование выполняется до тех пор, пока внутренняя температура иона, которая увеличивается с повышением напряженности поля, не превышает 1200 К. При каждом значении напряженности поля моделирование проводится для 16 независимых реализаций начальных данных системы и взаимодействия с столкновительным термостатом. Полученные результаты усредняются. Во всех моделированиях шаг по времени интегрирования составляет 0.5 фс. Моделирование выполняется в течение 40–55 нс. В течение первых 10–30 нс скорость дрейфа и температура иона становятся сопоставимыми со своими стационарными значениями. Время, необходимое для достижения стационарных параметров дрейфа, больше для низких напряженностей поля и длинных цепей ПЭО. В течение следующих 16–45 нс собираются и усредняются статистические данные о характеристиках иона.
Регистрируются следующие характеристики иона: положение и скорость центра масс, температура, дипольный момент, радиус инерции и расстояние между концами цепи ПЭО. Внутренняя температура иона Tion рассчитывается как
, (4)
где mi – масса атома i, vi – его скорость, Vcm – скорость центра масс иона, Nion – общее число атомов в ионе, kB – постоянная Больцмана, а усреднение, указанное угловыми скобками, выполняется по интервалу траектории 10 пс. Скорость дрейфа иона vd определяется как составляющая вектора Vcm в направлении электрического поля.
РЕЗУЛЬТАТЫ И ИХ ОБСУЖДЕНИЕ
Температура и подвижность иона
Сначала сравним температуру иона Tion, рассчитанную по уравнению (4), с эффективной температурой, рассчитанной по уравнению (2) при β΄= 0. Последняя обозначена ниже как Teff,1. Сравнение показано на рис. 1, где отношение Tion к Teff,1 построено как функция Teff,1. Отношение Tion / Teff,1 ведет себя одинаково для всех исследованных ионов ПЭОn–(H+)z. Точки данных для ионов с разной длиной цепи ПЭО и различным зарядовым состоянием перекрываются, что указывает на то, что внутренняя температура ионов полностью определяется скоростью дрейфа. При Teff,1, близкой к температуре газа (т.е. в слабых полях), Tion / Teff,1 практически совпадает с единицей. Увеличение Teff,1, вызванное ростом напряженности поля E и скорости дрейфа vd, приводит к уменьшению Tion / Teff,1. Это свидетельствует о том, что Tion растет медленнее, чем Teff,1, и разница между этими температурами увеличивается с ростом E.
Рис. 1. Отношение внутренней температуры иона Tion к эффективной поступательной температуре Teff,1 как функция Teff,1 для ПЭО60–(H+)z (1–5) и для ПЭО100–(H+)z (6–9). Число протонов в ионе z = (1, 6) 1, (2, 7) 2, (3) 3, (4, 8) 4, (5) 5 и (9) 6. Давление газа 6.07 (1–5) и 4.05 атм (6–9). Температура газа 300 К. Сплошная линия – описание данных экспоненциальной спадающей функцией. Цветные рисунки можно посмотреть в электронной версии.
Поведение Tion/Teff,1 можно понять, если учесть, что ионы ПЭОn–(H+)z дрейфуют в атомарном газе и, следовательно, их внутренняя температура Tion совпадает с эффективной поступательной температурой. Поскольку Tion = Teff, изменение Tion/Teff,1 характеризует изменение отношения Teff к Teff,1 и, таким образом, обусловлено поправочным членом β΄. Из данных рис. 1 следует, что поправочный член близок к нулю в слабых полях и уменьшается примерно до –0.22 в самых сильных исследованных полях. Это значение не согласуется с двухтемпературной теорией, согласно которой для массивных ионов (m >> M) поправочный член близок к нулю при всех напряженностях поля. Однако двухтемпературная теория не предназначена для описания дрейфа многоатомных ионов, и вычисляемый в этой теории поправочный член может отличаться от поправочного члена β΄, соответствующего многоатомным ионам. К сожалению, насколько нам известно, поправочный член β΄ для многоатомных ионов не был рассчитан, и мы не можем сравнить его с результатами моделирования.
Подвижность иона K определяли как отношение моделируемой скорости дрейфа vd к напряженности поля E. Затем рассчитывали приведенную подвижность по уравнению K0 = (N / N0) K, где N – числовая плотность газа, N0 – стандартная числовая плотность газа (2.687 × 1025 м−3). Результаты расчетов K0 для ионов ПЭОn–(H+)z представлены на рис. 2. Эти результаты относятся к моделированию, выполненному для разных значений E / N при постоянной температуре газа (300 К). Поведение K0 при изменении E / N одинаково для всех исследованных ионов. При малых E / N приведенная подвижность имеет максимальное значение и слабо зависит от напряженности поля. С ростом напряженности поля K0 сначала медленно, а затем быстро уменьшается. Уменьшение начинается примерно при одной и той же нормированной напряженности поля z (E / N) независимо от зарядового состояния иона z. Увеличение z от 1 до 2 не приводит к существенному изменению отношения приведенной подвижности к z. Это свидетельствует о том, что ионы ПЭОn–(H+)z с одним и двумя присоединенными протонами имеют практически одинаковые сечения столкновения. При дальнейшем увеличении зарядового состояния K0 / z уменьшается, что свидетельствует об увеличении сечения столкновения. Сравнение данных рис. 2а и 2б показывает, что ионы с более длинными цепями ПЭО обладают меньшей подвижностью, что коррелирует с большим размером этих ионов.
Рис. 2. Отношение приведенной подвижности K0 к числу протонов в ионе z как функция z(E/N) для ПЭО60–(H+)z при z = 1 (1), 2 (2, 6), 3 (3), 4 (4), 5 (5, 7) (а) и для ПЭО100–(H+)z при z = 1 (1), 2 (2), 4 (3), 6 (4) (б). Давление газа 6.07 (а) и 4.05 атм (б). Температура газа 300 К. 1–5 – результаты, полученные с использованием ячейки моделирования с длинной стороной 400 Å; 6, 7 – экстраполяция данных для ячеек моделирования разных размеров на бесконечно длинную ячейку.
Большинство результатов, представленных на рис. 2, были получены с использованием ячейки моделирования с длинной стороной 400 Å. Для анализа влияния размера ячейки на моделируемую подвижность были также выполнены расчеты с другими значениями длины длинной стороны ячейки, а именно 180, 600 и 800 Å. Полученные в результате этих моделирований приведенные подвижности были экстраполированы на бесконечно длинную ячейку. Результаты экстраполяции для ПЭО60–(H+)2 и ПЭО60–(H+)5 также показаны на рис. 2. Видно, что при использовании ячейки с длинной стороной 400 Å ошибка в подвижности мала. Она составляет около 2.5% при умеренных значениях z (E / N) (730 и 960 Тд) и 5–6% при самых высоких исследованных значениях z (E / N) (1750 и 1900 Тд).
Сравним теперь подвижности ионов, рассчитанные как функции E / N при постоянной температуре газа (приведенные на рис. 2), с подвижностями, рассчитанными как функции температуры газа при низких E / N. Из уравнения (3) следует, что подвижности, полученные в этих двух сериях расчетов, должны быть близки при одинаковых эффективных температурах. Небольшая разница в них может существовать из-за разницы в поправочном члене α. Как обсуждалось выше, в нашем случае (дрейф ионов в атомарном газе) эффективная поступательная температура Teff совпадает с внутренней температурой иона Tion. Исходя из этого, мы сравниваем зависимости подвижности от температуры иона, а не от эффективной температуры (рис. 3). Для устранения влияния поправочного члена α сравниваемые подвижности нормируются на 1 + α, где α вычисляется из выражения двухтемпературной теории для массивных ионов [10, 23].
Рис. 3. Отношение приведенной подвижности K0 к числу протонов в ионе z и к поправочному коэффициенту 1 + α как функция Tion для ПЭО60–(H+)z при z = 2 (1, 3, 5) и 5 (2, 4, 6). Сравнение подвижностей при различных значениях E / N и температуре газа 300 К (1–4) и подвижностей при низких E / N и различных температурах газа (5, 6). 1, 2, 5, 6 – расчет с использованием ячейки моделирования с длинной стороной 400 Å; 3, 4 – экстраполяция данных для ячеек разных размеров на бесконечно длинную ячейку.
Как показано на рис. 3, при температуре иона, близкой к температуре газа, подвижности, полученные в разных расчетах (при изменении E / N и изменении температуры газа), практически одинаковы. При более высоких температурах иона эти подвижности отличаются друг от друга. Разница в них увеличивается с ростом Tion и достигает примерно 12% при Tion = 600 К. Данная величина несколько завышена, поскольку подвижности, полученные при постоянной температуре газа и разных E/N, завышены из-за недостаточно больших размеров ячейки моделирования (рис. 3). С учетом этого эффекта разница в подвижностях при температуре иона 600 К оценивается примерно в 8%. Таким образом, наблюдаемая разница в подвижностях согласуется с предсказанием уравнения (3) с точностью около 8% пока температура иона не превышает 600 К. Отметим, что аналогичные различия в подвижностях наблюдались в экспериментах с дрейфом ионов в многоатомном газе [22]. Они были приписаны неупругим потерям энергии. Однако в нашем случае дрейфа ионов в атомарном газе столкновения не имеют неупругих каналов, и это объяснение неприменимо. Возможно, наблюдаемая разница в подвижностях завышена из-за того, что поправочный член α, полученный в двухтемпературной теории, неправильно описывает подвижность многоатомных ионов. Нам неизвестно какое-либо выражение для поправочного члена, применимое к многоатомным ионам, и поэтому мы не рассматриваем этот вопрос далее.
Конформация и размер ионов
При низкой напряженности поля и температуре газа 300 К дрейфующие ионы ПЭОn–(H+)z с низкими зарядовыми состояниями (z = 1, 2) имеют глобулярную конформацию (рис. 4а, 4б). Увеличение z выше 2 приводит к разворачиванию полимерной цепи. В этом случае цепь принимает форму ожерелья с числом бусин, равным z. Конформации, подобные показанным на рис. 4, были обнаружены для ПЭО, ионизированного Cs+ и Na+, в молекулярно-динамических расчетах, проведенных в вакууме в отсутствие электрического поля [20, 21]. Подобные структуры в форме ожерелья образуются также полиэлектролитами в плохих растворителях [32].
Рис. 4. Конформации ионов ПЭО60–(H+)z, дрейфующих в гелии при низких напряженностях поля. Зарядовое состояние z = 1 (a), 2 (б), 3 (в), 4 (г) и 5 (д). Температура газа 300 К. Температура ионов около 305 К. Атомы углерода и водорода показаны серым цветом, атомы кислорода – красным.
Переход катионизированного ПЭО из глобулярной в развернутую конформацию можно объяснить [18, 21] на основе критерия Рэлея устойчивости заряженной проводящей сферической капли [33]. Согласно этому критерию, капля теряет устойчивость и распадается на две части, когда ее заряд превышает критическое значение Qc, определяемое выражением
, (5)
где σ – поверхностное натяжение, ε0 – диэлектрическая проницаемость вакуума, R – радиус капли. Используя соотношение Rg2 = 3R2/5 для радиуса инерции сферы [34] и вводя объем мономерного звена как vm = (4pR3/3)/n, получаем выражение для критического зарядового состояния иона ПЭО
, (6)
в котором n — число звеньев в цепи ПЭО, e — элементарный заряд. Подставляя сюда литературное значение поверхностного натяжения ПЭО σ = 4.25 × 10–2 Н/м [35] и используя найденные при моделировании радиусы инерции, получаем zc = 3.0 и 3.9 для ПЭО60–(H+)z и ПЭО100–(H+)z соответственно. Эти оценки критического зарядового состояния согласуются с наблюдаемым изменением конформации ионов (см. рис. 4 для ПЭО60–(H+)z).
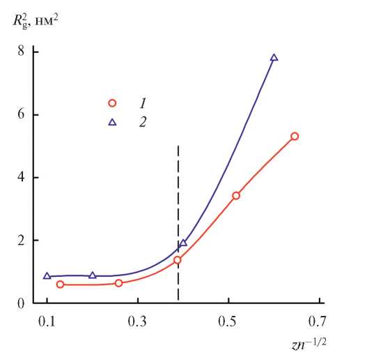
Из соотношения (6) следует, что произведение zn–1/2 не зависит от длины цепи ПЭО n, поэтому его можно рассматривать как приведенное зарядовое состояние, масштаб, позволяющий сравнивать данные моделирования для ионов с различной длиной цепи ПЭО. На рис. 5 представлена зависимость радиуса инерции от приведенного зарядового состояния для ПЭО60–(H+)z и ПЭО100–(H+)z, а также критическое значение zn–1/2 (0.39). Как показано на рис. 5, для обоих ионов резкое увеличение радиуса инерции начинается при приведенном зарядовом состоянии, приблизительно равном его критическому значению. Это свидетельствует о том, что модель Рэлея удовлетворительно описывает разворачивание протонированных цепей ПЭО, вызванное увеличением их заряда.
Рис. 5. Среднеквадратичный радиус инерции как функция приведенного зарядового состояния zn–1/2 для ПЭО60–(H+)z (1) и для ПЭО100–(H+)z (2). Температура ионов 305 К. Штриховая линия отмечает критическое зарядовое состояние, рассчитанное по критерию Рэлея с использованием литературного значения поверхностного натяжения ПЭО [35].
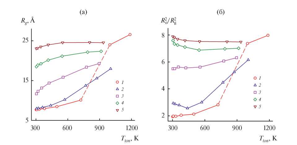
Повышение напряженности поля приводит к дополнительному разворачиванию ионов ПЭОn–(H+)z вследствие роста их температуры. Данный процесс проявляется в увеличении радиуса инерции иона и изменении отношения среднеквадратичного расстояния между концами цепи Re2 к среднеквадратичному радиусу инерции Rg2 (рис. 6). На рис. 6 показано поведение Rg и отношения Re2 / Rg2 для ПЭО60–(H+)z. Аналогичное поведение наблюдается и для ионов ПЭО100–(H+)z. Рост Rg происходит по-разному для ионов с различным зарядовым состоянием. При зарядовом состоянии больше двух скорость роста Rg уменьшается с повышением температуры ионов. Напротив, для ионов с z = 1 и z = 2 скорость роста Rg увеличивается с ростом Tion. Это различие обусловлено различием в конформациях ионов в слабых полях. Если для сильно заряженных ионов рост Rg связан с дополнительным разворачиванием частично развернутых цепей ПЭО, то для слабо заряженных ионов он отражает переход из глобулярного состояния в развернутое.
Рис. 6. Радиус инерции (a) и отношение Re2 к Rg2 (б) как функция ионной температуры для ПЭО60–(H+)z. Зарядовое состояние z = 1 (1), 2 (2), 3 (3), 4 (4) и 5 (5).
Для ионов с наименьшим зарядовым состоянием (z = 1) увеличение радиуса инерции становится очень резким при температуре иона около 700 К, как показано пунктирной линией. Аналогичные переходы от постепенного к резкому увеличению размера иона наблюдались для однократно протонированных цепей ПЭО в нашей предыдущей работе [27]. Они объяснялись растяжением цепи из-за натяжения в ней, создаваемого электрическим полем и силой сопротивления газа. Предполагается, что дрейфующая цепь ПЭО, несущая один протон, ведет себя как макромолекула, закрепленная на одном конце и помещенная в гидродинамический поток. Она растягивается, когда натяжение, определяемое давлением газа и скоростью дрейфа, становится достаточно большим. В результате при высоких ионных температурах ионы ПЭОn–(H+)z с наименьшим зарядовым состоянием принимают развернутую конформацию с радиусом инерции, близким или даже большим, чем у ионов с максимальным исследованным зарядовым состоянием. Для ионов с z = 2 радиус инерции при высоких Tion меньше, чем для ионов с z = 1. Это может указывать на то, что растяжение полимерной цепи, вызванное потоком газа, уменьшается с увеличением числа присоединенных протонов.
Конформацию иона ПЭОn–(H+)z можно сопоставить с отношением среднеквадратичного расстояния между концами цепи ПЭО Re2 к среднеквадратичному радиусу инерции Rg2. Чем более развернута конформация, тем больше это отношение. Для глобулярной конформации оно должно быть порядка единицы. Для конформаций идеальной линейной цепи и стержнеобразного полимера отношение Re2 / Rg2 составляет 6 и 12 соответственно [34]. Как показано на рис. 6б, при низких ионных температурах однократно протонированные цепи ПЭО характеризуются минимальным значением Re2 / Rg2 (около 2). Увеличение зарядового состояния приводит к росту Re2 / Rg2. Для ПЭО60–(H+)3 Re2 / Rg2 достигает значения около 6, что указывает на то, что этот ион имеет конформацию, похожую на конформацию идеальной линейной цепи. То же самое наблюдается для ПЭО100–(H+)4. Для ионов с самыми высокими зарядовыми состояниями отношение Re2 / Rg2 достигает значения около 8, что свидетельствует о том, что конформации этих ионов более развернутые, чем у идеальной линейной цепи, но менее вытянутые, чем у стержнеобразного полимера.
Увеличение Tion приводит к изменению Re2 / Rg2 для всех исследованных ионов (рис. 6б). Для ионов с наименьшим зарядовым состоянием Re2 / Rg2 увеличивается аналогично Rg2. Для ионов с z > 1 Rg2 и Re2 / Rg2 ведут себя по-разному при низких температурах ионов. В то время как Rg2 увеличивается, Re2 / Rg2 уменьшается. Это указывает на то, что увеличение размера данных ионов сопровождается изменением их формы. По-видимому, ионы ПЭОn–(H+)z с высокими зарядовыми состояниями становятся более гибкими с ростом Tion и принимают более изогнутые конформации, чем те, что приведены на рис. 4. Это подтверждается их снимками при более высоких температурах ионов (не показаны).
Сечение столкновения
Сечение столкновения рассчитывали с использованием уравнения (3) с Teff = Tion и поправочным членом α, оцененным в соответствии с двухтемпературной теорией [10, 23] как . Результаты этих расчетов представлены на рис. 7.
Рис. 7. Сечение столкновения как функция температуры иона для ПЭО60–(H+)z при z = 1 (1), 2 (2), 3 (3), 4 (4), 5 (5) (а) и для ПЭО100–(H+)z при z = 1 (1), 2 (2), 4 (3), 6 (4) (б).
Сечение столкновения изменяется в зависимости от зарядового состояния и температуры иона. Увеличение зарядового состояния от z = 1 до z = 2 приводит к росту Ω для ПЭО60–(H+)z и практически не влияет на сечение столкновения для ПЭО100–(H+)z. При дальнейшем увеличении зарядового состояния сечение столкновения возрастает и для ПЭО100–(H+)z. Повышение Ω с ростом z, очевидно, связано с разворачиванием иона ПЭОn–(H+)z. Оно отражает увеличение размера иона и изменение его формы.
Изменение сечения столкновения с повышением температуры иона обусловлено несколькими причинами. Одна из них – изменение размера и конформации иона. Другие причины связаны с дальнодействующими притягивающими взаимодействиями и дипольной ориентацией ионов. Дальнодействующие притягивающие взаимодействия вносят существенный вклад в сечение столкновения при низких температурах, когда энергия столкновения иона с молекулой газа мала по сравнению с глубиной потенциала взаимодействия иона с газом. С ростом температуры иона энергия столкновения увеличивается, а вклад дальнодействующих притягивающих взаимодействий уменьшается [10, 36, 37]. По-видимому, именно этот эффект приводит к уменьшению Ω с повышением температуры иона при низких значениях Tion (рис. 7). Дипольная ориентация уменьшает статистические веса ориентаций ионов с большими сечениями, ортогональными направлению поля, и, таким образом, уменьшает сечение столкновения, особенно для вытянутых ионов. Такой эффект может быть существенным в сильных полях. Мы полагаем, что именно он приводит к уменьшению сечения столкновения с ростом температуры иона, наблюдаемому при высоких значениях Tion. Дипольная ориентация ионов ПЭОn–(H+)z обсуждается в следующем разделе.
Рассмотрим теперь корреляцию между сечением столкновения и радиусом инерции ионов ПЭОn–(H+)z при температуре иона, близкой к газовой, т.е. в условиях малой напряженности поля (рис. 8). В этом случае увеличение сечения столкновения и радиуса инерции обусловлено развертыванием цепей ПЭО из-за отталкивания присоединенных протонов. Сечение столкновения и радиус инерции повышаются с ростом зарядового состояния иона. Сечение столкновения монотонно увеличивается с Rg2. Связь между этими величинами нелинейна. Она хорошо описывается логарифмической функцией Ω = a0 + a1ln (Rg2 – a2) как для ПЭО60–(H+)z, так и для ПЭО100–(H+)z (сплошные линии на рис. 8). Эта функция не основана на какой-либо физической модели. Однако она оказалась эффективной для представления корреляции Ω с Rg для нескольких других макромолекулярных ионов, включая небольшие белки [38].
Рис. 8. Нормированное сечение столкновения как функция нормированного среднеквадратичного радиуса инерции для ПЭО100–(H+)z (1) и для ПЭО60–(H+)z (2). Температура ионов 305 К. Сплошные линии – описание данных логарифмической функцией.
На рис. 8 полученное при моделировании сечение столкновения Ω нормировано на геометрическое сечение соответствующего однозарядного иона Ωgeom. Последнее вычисляется из радиуса инерции как Ωgeom = π((5/3)1/2Rg + RHe)2, где радиус молекулы гелия RHe = 1.04 Å. В этом расчете предполагается, что однозарядный ион имеет глобулярную конформацию, а его радиус R связан с радиусом инерции соотношением R = (5/3)1/2Rg [34]. Как показано на рис. 8, полученное при моделировании сечение столкновения Ω примерно в 1.5 раза больше, чем Ωgeom для ПЭО60–(H+)1 и примерно в 1.6 раза больше для ПЭО100–(H+)1. Это различие, по-видимому, обусловлено влиянием дальнодействующих притягивающих взаимодействий на сечение столкновения иона.
Дипольная ориентация
Дипольная ориентация иона контролируется дипольным моментом иона p, рассчитанным относительно центра масс иона. Здесь мы сначала рассмотрим корреляцию между степенью ориентации и отношением Ed / ER энергии дипольной ориентации Ed к вращательной энергии ER. Степень ориентации количественно определяется как cos γ (γ – угол между вектором p и вектором напряженности поля E). Энергия дипольной ориентации рассчитывается как Ed = 2 |p| E, где дипольный момент иона p – сумма дипольного момента цепи ПЭО и дипольного момента присоединенных протонов. Вращательная энергия вычисляется как ER = kBTR, при этом вращательная температура TR принимается равной Tion, рассчитанной из уравнения (4).
Теория подвижности дипольно-ориентированных ионов [10, 39] утверждает, что при низком отношении Ed/ER ориентация отсутствует и вращение иона свободно. Ориентация происходит, когда энергия дипольной ориентации превышает энергию вращения иона. Эти предсказания согласуются с корреляцией между cosγ и Ed / ER, приведенной на рис. 9. Степень ориентации мала при низком Ed / ER и становится заметно больше нуля при Ed, близкой к ER. При большом Ed / ER степень ориентации близка к единице, что указывает на то, что дипольный момент “заперт” вдоль E. Точки данных для разных ионов ПЭОn–(H+)z перекрываются. Это свидетельствует о том, что степень ориентации полностью определяется отношением Ed / ER, независимо от свойств иона (зарядовое состояние, длина полимерной цепи) и давления газа. Аналогичное поведение степени ориентации наблюдалось ранее [27] для однократно протонированных цепей ПЭО разной длины, дрейфующих при разных давлениях газа.
Рис. 9. Степень ориентации в зависимости от отношения энергии дипольной ориентации Ed к вращательной энергии ER для ПЭО60–(H+)z (1–5) и для ПЭО100–(H+)z (6–9). Зарядовое состояние иона z = 1 (1, 6), 2 (2, 7), 3 (3), 4 (4, 8), 5 (5) и 6 (9). Давление газа 6.07 (1–5) и 4.05 атм (6–9). Температура газа 300 К.
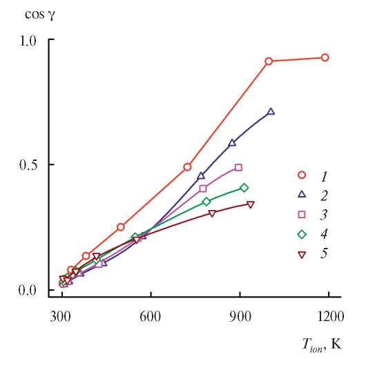
На рис. 10 показана степень ориентации в зависимости от температуры иона для ионов ПЭО60–(H+)z с различными зарядовыми состояниями. Степень ориентации увеличивается с ростом температуры иона и меняется в зависимости от зарядового состояния. Это является следствием повышения напряженности поля и дипольного момента иона. Влияние зарядового состояния зависит от температуры иона. При низких температурах иона оно слабое, особенно для ионов с z > 1. При высоких значениях Tion увеличение зарядового состояния приводит к заметному снижению степени ориентации. В результате при высоких ионных температурах более сильно заряженные ионы ПЭО60–(H+)z менее ориентированы, чем их более слабо заряженные аналоги. Это связано с тем, что дипольная ориентация в таких условиях в основном контролируется напряженностью поля, которая при одинаковых Tion ниже для более сильно заряженных ионов.
Рис. 10. Степень ориентации в зависимости от температуры иона для ПЭО60–(H+)z при z = 1 (1), 2 (2), 3 (3), 4 (4), 5 (5).
ЗАКЛЮЧЕНИЕ
В настоящей работе методом молекулярной динамики проведено моделирование дрейфа многократно протонированных цепей ПЭО в гелии в электростатическом поле различной напряженности. Результаты моделирования интерпретированы с использованием кинетической теории подвижности ионов, которая предполагает, что эффект увеличения напряженности поля может быть описан повышением температуры ионов.
Внутренняя температура иона Tion, рассчитанная в ходе моделирования, сравнивалась с эффективной поступательной температурой Teff,1, вычисленой в первом приближении двухтемпературной теории. Сравнение показывает, что Tion хорошо коррелирует с Teff,1, но растет медленнее с увеличением напряженности поля. Эту разницу можно объяснить, если предположить, что поправочный член к Teff, рассчитанный в двухтемпературной теории, некорректно описывает эффективную температуру многоатомных ионов.
Подвижность ионов, определенная как функция напряженности поля E при постоянной температуре газа T (300 К), сравнивалась с подвижностью, рассчитанной как функция T при низкой E. Сравнение проводилось при одинаковых внутренних температурах ионов. Результаты двух серий расчетов практически совпадают при Tion, близких к температуре газа. При высоких температурах ионов они несколько расходятся (примерно на 8% при Tion = 600 К), что не согласуется с теорией. Это различие можно объяснить, предположив, что поправочный член α, полученный в двухтемпературной теории, некорректно описывает подвижность многоатомных ионов. Отметим, что данное различие, по-видимому, не связано с неупругими потерями энергии, поскольку дрейф ионов происходит в атомарном газе, где столкновения не имеют неупругих каналов.
Изучено влияние зарядового состояния на конформацию и размер дрейфующих ионов. Установлено, что ионы с низким зарядовым состоянием в слабых полях (при температуре газа 300 К) находятся в глобулярном состоянии. Увеличение зарядового состояния приводит к разворачиванию полимерной цепи иона. В результате ионы принимают конформацию ожерелья. Изменение конформации удовлетворительно согласуется с критерием Рэлея устойчивости заряженной капли. Сечения столкновения, рассчитанные из подвижности ионов с использованием двухтемпературной теории, хорошо коррелируют с этими результатами.
Увеличение напряженности поля влияет на конформацию, размер и сечение столкновения иона. Изменение конформации и размера происходит в основном вследствие повышения температуры иона. Конформационные изменения включают переход слабозаряженных цепей из глобулярного в вытянутое состояние и, по-видимому, изгиб ионов с высокими зарядовыми состояниями. Сечение столкновения изменяется по нескольким причинам. К ним относятся увеличение размера иона, уменьшение влияния дальнодействующих притягивающих взаимодействий и дипольная ориентация.
Показано, что дипольная ориентация контролируется отношением Ed/ER энергии дипольной ориентации к вращательной энергии. Степень ориентации повышается с ростом этого отношения и не зависит от свойств иона (зарядовое состояние, длина полимерной цепи) и давления газа при фиксированном Ed/ER. При высоких температурах ионов степень ориентации уменьшается с увеличением зарядового состояния иона, указывая на то, что ориентация более выражена при меньшем количестве протонов, присоединенных к полимерной цепи.
В данной работе характеризуются возможности двухтемпературной теории при описании подвижности многозарядных гибких макромолекулярных ионов в атомарном газе, таком как гелий. Результаты работы могут помочь лучше понять влияние высокой напряженности поля на подвижность в таких системах. Они также могут быть полезны для интерпретации экспериментальных данных, полученных в сильных полях.
Расчеты проведены на суперкомпьютерах Института прикладной математики им. Келдыша РАН.
Работа выполнена в рамках Программы фундаментальных научных исследований Российской Федерации при поддержке государственного бюджета.
Об авторах
С. А. Дубровский
Федеральный исследовательский центр химической физики им. Н.Н. Семенова Российской академии наук
Автор, ответственный за переписку.
Email: sd@chph.ras.ru
Россия, 119991, Москва, ул. Косыгина, 4
Н. К. Балабаев
Федеральный исследовательский центр химической физики им. Н.Н. Семенова Российской академии наук
Email: sd@chph.ras.ru
Россия, 119991, Москва, ул. Косыгина, 4
Список литературы
- Eiceman G.A., Karpas Z., Hill H.H. Ion Mobility Spectrometry. CRC Press, Boca Raton, Florida, 2014.
- Lapthorn C., Pullen F., Chowdhry B. Z. // Mass Spectrom. Rev. 2013. V. 32. P. 43.
- DuezQ., Hoyas S., Josse T., Cornil J., Gerbaux P., De Winter J. // Mass Spectrom. Rev. 2023. V. 42. P. 1129.
- Lanucara F., Holman S.W., Gray C.J., Eyers C.E. // Nature Chem. 2014. V. 6. P. 281.
- Karas M., Bachmann D., Bahr U., Hillenkamp F. // Int. J. Mass Spectrom. Ion Processes. 1987. V. 78. P. 53.
- Hillenkamp F., Peter-Katalinic J. MALDI MS: A Practical Guide to Instrumentation, Methods and Applications. Wiley-VCH, Weinheim, 2007.
- Fenn B., Mann M., Meng C.K., Wong S.F., Whitehouse C.M. // Science. 1989. V. 246. P. 64.
- Mason E.A., Schamp H.W. // Ann. Phys. 1958. V. 4. P. 233.
- Siems W.F., Viehland L.A., Hill H.H. // Analyst. 2016. V. 141. P. 6396.
- Shvartsburg A.A. Differential Ion Mobility Spectrometry. CRC Press, Boca Raton, Florida, 2009.
- D’Atri V., Porrini M., Rosu F., Gabelica V. // J. Mass Spectrom. 2015. V. 50. P. 711.
- Prell J.S. // Compr. Anal. Chem. 2019. V. 83. P. 1.
- Lai R., Dodds E. D., Li H. // J. Chem. Phys. 2018. V. 148. P. 064109.
- Dubrovskii S.A., Balabaev N.K. // Polym. Sci., Ser. A. 2022. V. 64. P. 549.
- Kaltashovand I.A., Abzalimov R.R. // J. Am. Soc. Mass Spectrom. 2008. V. 19. P. 1239.
- von Helden G., Wyttenbach T., Bowers M.T. // Int. J. Mass Spectrom. Ion Proc. 1995. V. 46/147. P. 349.
- Saucy D.A., Ude S., Lenggoro I.W., de la Mora J.F. // Anal. Chem. 2004. V. 76. P. 1045.
- Ude S., de la Mora J.F., Thomson B.A. // J. Am. Chem. Soc. 2004. V. 126. P. 12184.
- Trimpin S., Plasencia M., Isailovic D., Clemmer D.E. // Anal. Chem. 2007. V. 79. P. 7965.
- Larriba C., de la Mora J.F. // J. Phys. Chem. B. 2012. V. 116. P. 593.
- Consta S., Chung J.K. // J. Phys. Chem. B. 2011. V. 115. P. 10447.
- Viehland L.A., Fahey D.W. // J. Chem. Phys. 1983. V. 78. P. 435.
- Mason E.A., McDaniel E.W. Transport Properties of Ions in Gases. Wiley, New York, 1988.
- Kanev I.V., Balabaev N.K., Glyakina A.V., Morozov V.N. // J. Phys. Chem. B. 2012. V. 116. P. 5872.
- Balabaev N.K., Mazo M.A., Kramarenko E.Yu. // Macromolecules. 2017. V. 50. P. 432.
- Dubrovskii S.A., Balabaev N.K. // Polym. Sci., Ser. A. 2021. V. 63. P. 891.
- Dubrovskii S.A., Balabaev N.K. // Polym. Sci., Ser. A. 2023. V. 65. P. 213.
- Lemak A.S., Balabaev N.K. // Mol. Simul. 1995. V. 15. P. 223.
- Lemak A.S., Balabaev N.K. // J. Comput. Chem. 1996. V. 17. P. 1685.
- Hill J.R., Sauer J. // J. Phys. Chem. 1995. V. 99. P. 9536.
- Dubrovskii S.A., Balabaev N.K. // Polym. Sci., Ser. A. 2018. V. 60. P. 404.
- Dobrynin A.V., Rubinstein M. // Prog. Polym. Sci. 2005. V. 30. P. 1049.
- Lord Rayleigh // Philos. Mag. 1882. V. 14. P. 184.
- RubinsteinM., Colby R.H. Polymer Physics. Oxford University Press, Oxford, 2003.
- Polymer Handbook. / Eds. Brandrup J., Immergut E.H., Grulles E.A. V. 6. Wiley, New York, 1999. P. 526
- Bleiholder C., Johnson N.R., Contreras S., Wyttenbach T., Bowers M.T. // Anal. Chem. 2015. V. 87. P. 7196.
- Gandhi V.D., Larriba-Andaluz C. // Anal. Chim. Acta. 2021. V. 1184. P. 339019.
- Kulesza A., Marklund E.G., MacAleese L., Chirot F., Dugourd P. // J. Phys. Chem. B. 2018. V. 122. P. 8317.
- Shvartsburg A.A., Noskov S.Y., Purves R.W., Smith R.D. // Proc. Natl. Acad. Sci. 2009. V. 106. P. 6495.
Дополнительные файлы












