Применение гуанидинсодержащих органоминеральных комплексов для защиты пластикатов поливинилхлорида от фото- и биодеструкции
- Authors: Герасин В.А.1, Журина М.B.2, Куренков В.В.1, Менделеев Д.И.1
-
Affiliations:
- Институт нефтехимического синтеза им. А.В. Топчиева Российской академии наук
- Федеральный исследовательский центр “Фундаментальные основы биотехнологии” Российской академии наук
- Issue: Vol 66, No 3 (2024)
- Pages: 222-231
- Section: КОМПОЗИТЫ
- URL: https://ogarev-online.ru/2308-1120/article/view/272724
- DOI: https://doi.org/10.31857/S2308112024030061
- EDN: https://elibrary.ru/LWTMVY
- ID: 272724
Cite item
Full Text
Abstract
Рассмотрена возможность использования органоминеральных комплексов, получаемых в результате адсорбции высокомолекулярных биоцидов – полигуанидинов – на поверхности монтмориллонита, для защиты композитов на основе пластифицированного поливинилхлорида от фотоокислительной деструкции и биообрастания. По данным УФ-спектроскопии и результатам измерений характеристической вязкости растворов полимера установлено, что введение органоминеральных комплексов в материал способствует уменьшению глубины фотоокислительной деструкции материала в условиях жесткого УФ-облучения. Применение органоминеральных комплексов эффективно подавляет обрастание композитов биопленками микромицета Yarrowia lipolytica 367-3. Физико-механические характеристики композитов, содержащих органоминеральные добавки, сохраняются на высоком уровне после термического старения (в соответствии с технической документацией исходного материала). Композиты также отвечают технической документации по показателям потери массы при нагревании, плотности и объемного электрического сопротивления, однако повышение концентрации добавки в композите выше 2 мас.% приводит к увеличению водопоглощения материала выше нормативных значений.
Full Text
Поливинилхлорид (ПВХ) относится к наиболее распространенным в промышленности термопластичным полимерам и применяется (часто в форме пластифицированных композиций) для изготовления самых разнообразных изделий: пластиковых труб, оболочек кабелей, оконных рам, отделочных материалов (линолеума, декоративной плитки), искусственных кож, грампластинок, упаковок лекарственных препаратов. По данным 2017–2019 гг., изделия из ПВХ составляли около 10% от всего рынка промышленных пластиков [1].
Одной из проблем при эксплуатации изделий из ПВХ может быть их ограниченная светостойкость [2], а также (в некоторых случаях) подверженность биообрастанию [3]. Формирование биопленок бактерий и микромицетов на поверхности ПВХ может приводить к увеличению скорости деструкции материала [4] (в связи с воздействием выделяемых микроорганизмами ферментов на полимер, пластификатор и другие
компоненты материала). Кроме того, формирование биопленок в пластиковых трубах уменьшает просвет труб и меняет шероховатость поверхности, что негативно влияет на эксплутационные свойства изделий; в связи с этим защита ПВХ от биообрастания является актуальной задачей. Фотостарение ПВХ приводит к пожелтению изделий, снижению прочности и эластичности материала, поэтому в большинство композиций на основе ПВХ вводятся фотостабилизаторы. Фотодеградация пластифицированного ПВХ включает в себя как фотоинициированные радикальные процессы, приводящие к дегидрохлорированию с образованием полиеновых цепей (что приводит к изменению окраски полимера), так и физические процессы – в первую очередь десорбцию стабилизатора [5]. Для подавления радикальных процессов используют УФ-поглотители на основе производных бензотриазола или бензофенона [6], а также поглощающие в УФ-диапазоне наполнители, такие как углеродная сажа, диоксид титана, мел и т.д. [7]. Поглотители радикалов на основе производных триацетонамина (Hindered amine light stabilizers) используются меньше вследствие их взаимодействия с хлороводородом, выделяющимся при деструкции ПВХ [8].
Для защиты полимерных материалов от биодеструкции к настоящему времени разработано большое число биоцидных добавок [9], однако многие из них характеризуются достаточно высокой токсичностью для человека и других теплокровных. Для замены токсичных биоцидов (например, на основе соединений металлов переменной валентности [10]) представляют интерес высокомолекулярные соединения гуанидинового ряда, которые характеризуются биоцидной активностью по отношению к широкому спектру микроорганизмов [11] и неопасны для человека (в отличие от низкомолекулярных гуанидинов и олигомеров [12]). Так, полигексаметиленгуанидин гидрохлорид (ПГМГ-ГХ) промышленно выпускается во многих странах и применяется в качестве компонента антисептических растворов для санитарной обработки помещений.
Непосредственное применение высокомолекулярных гуанидиновых соединений в качестве биоцидных добавок для крупнотоннажных термопластов затруднительно в связи с плохой совместимостью этих полимеров и возможностью вымывания добавки из полимерной основы. Применение гуанидиновых полимеров в форме органоминеральных комплексов позволяет разрешить данную проблему: комплексы, формирующиеся при иммобилизации ПГМГ-ГХ на неорганическом носителе, например монтмориллоните (ММТ), удовлетворительно распределяются в объеме матричного полимера при экструзионном смешении компонентов материала, а адсорбция полигуанидинов на поверхности неорганического носителя по ионообменному механизму способствует повышению стабильности материала. Экспериментально подтверждены как биоцидная эффективность таких добавок [13, 14], так и устойчивость органоминерального комплекса в составе композита на основе полиэтилена при воздействии водных сред [15]. Так, после выдержки композита в морской воде в течение 21 ме сяца не зафиксировано деструкции ПГМГ-ГХ или вымывания ПГМГ-ГХ из композита.
При экспонировании композитов с полиэтиленовой матрицей, содержащих органоминеральные комплексы ММТ + ПГМГ-ГХ, в условиях субтропического климата установлено также снижение скорости фотохимической деструкции полимерной основы композита в присутствии органоминеральной добавки [15], т.е. комплексная добавка на основе ММТ и ПГМГ-ГХ при введении в композиты с полиэтиленовой матрицей проявляет свойства не только биоцида, но и фотостабилизатора.
Биоцидное действие ПГМГ-ГХ связано преимущественно с действием катионных гуанидиновых групп на цитоплазматическую мембрану клеток [16]. Механизм фотостабилизации полимеров органоминеральными комплексами ПГМГ-ГХ до конца не ясен. Можно предположить, что он обусловлен дезактивацией радикалов на подвижных гуанидиновых звеньях с образованием радикала на α-углероде при гуанидиновой группе [17] и последующим обрывом цепи на поверхности ММТ.
Таким образом, создание новых функциональных добавок для защиты материалов на основе ПВХ от биообрастания и фотоокислительного старения представляет большой практический интерес, особенно в связи с ограниченной применимостью производных триацетонамина для фотостабилизации ПВХ и других полимеров с кислотными продуктами деструкции [18]. Использование гуанидинсодержащих органоминеральных добавок для решения данных задач представляется достаточно перспективным; при этом также возможно улучшение механических свойств материалов, поскольку ММТ уже в малых концентрациях может быть упрочняющим наполнителем для многих термопластичных полимеров, включая ПВХ [19].
Цель настоящей работы – исследование эффективности органоминеральных комплексов ММТ + ПГМГ-ГХ как функциональных добавок для повышения фотостабильности и стойкости к биообрастанию полимерных материалов на основе пластифицированного ПВХ.
Материалы и методы исследования
Полимерной основой при исследовании эффективности добавок служил кабельный пластикат “Элигран” марки ППО 30-35 предназначенный для изготовления защитных оболочек проводов и кабелей, эксплуатирующихся в условиях, требующих повышенной пожаробезопасности (электростанции, метрополитен, высотные здания, химические заводы, складские помещения и т.д.). Для сравнения использовали пластикат без биоцидных добавок и пластикат со стандартным фунгицидом марки “Fungitrol–11” (“Arxada”). Образцы ПВХ-пластикатов предоставлены для исследований Публичным акционерным обществом “Владимирский химический завод”.
Комплексную биоцидную и фотостабилизирующую добавку (КБФД) получали из промышленного ПГМГ-ГХ производства Общества с ограниченной ответственностью “Альтерхим−ПРО” и натриевого ММТ Вайомингского месторождения марки Cloisite Na+ производства компании “Southern Clay Products, Inc.”, США (емкость катионного обмена 95 ммоль/100 г глины, средний диаметр частиц сухого порошка ММТ 10 мкм).
Методика получения комплексной биоцидной и фотостабилизирующуей добавки аналогична представленной в работе [15]. Предварительно была приготовлена 6%-ная суспензия ММТ в дистиллированной воде, к cуспензии добавляли рассчитанное количество 10%-ного водного раствора ПГМГ-ГХ, приготовленную смесь перемешивали лопастной мешалкой 12 ч, оставляли на 1 сутки, разделяли на центрифуге “Janetzki T24” и сушили осадок на лиофильной сушилке “LaboGene SCANVAC Coolsafe 55-4” до получения белого пушистого порошка.
Для микробиологических испытаний дополнительно приготавливали КБФД(о), промытую дистиллированной водой для удаления “свободного” ПГМГ-ГХ. Для этого 1 г комплексной биоцидной и фотостабилизирующуей добавки диспергировали в 500 мл воды, оставляли на 1 сутки, центрифугировали и сушили осадок.
Образцы кабельного пластиката с комплексной биоцидной и фотостабилизирующуей добавкой получали смешением базового пластиката и порошка органоминеральной добавки в лабораторном двухшнековом экструдере “Haake MiniLab II” компании “Thermo Scientific” (температура 105 °C, частота вращения шнеков 100 об/мин); ниже образцы пластикатов обозначены как П-0 (без комплексной биоцидной и фотостабилизирующуей добавки), П-2, П-3, П-4, П-5. Для равномерного смешения материал в течение 10 мин проходил в экструдере по замкнутому циклу, затем экструдат измельчали и повторно смешивали при тех же условиях. Образцы кабельного пластиката без биоцидов и со стандартным биоцидом, полученные от производителя, обрабатывали в экструдере аналогичным образом для обеспечения одинаковой термической предыстории всех образцов.
Пластины ПВХ-пластикатов для исследований прессовали между плёнками из фторопласта при температуре 140 °С в течение 5 мин при давлении 2 МПа.
Ускоренные испытания ПВХ-пластикатов на стойкость к фотоокислительному старению проводили в лабораторных условиях при воздействии на образцы пластикатов (пластины диаметром ~4 см) жесткого УФ-излучения в течение 320 ч с помощью облучателя на основе четырех бактерицидных ламп БУВ-15 мощностью 15 Вт каждая (освещённость в диапазоне UVA 0.5 Вт/м2, диапазоне UVB 0.8 Вт/м2, диапазоне UVC 12 Вт/м2, максимальная интенсивность излучения соответствует длине волны 254 нм). После 320 ч облучения образцы пластикатов сохраняли эластичность и не разрушались. Применение ламп с жестким УФ-излучением позволяет существенно сократить продолжительность испытаний при первичной сравнительной оценке стойкости композитов различного состава к фотостарению; кроме того, такие данные могут быть полезны для оценки перспективности применения исследуемых добавок в изделиях, подвергаемых при эксплуатации периодической УФ-стерилизации [20].
Для оценки влияния УФ-излучения на молекулярную структуру полимерной основы ПВХ-пластикатов полимер отделяли от наполнителей обработкой горячим циклогексаноном в установке типа “экстрактор Сокслета” в течение 6 ч с последующей сушкой полученного раствора полимера до постоянной массы.
Для качественной оценки изменения молекулярной массы полимера при УФ-облучении измеряли характеристическую вязкость растворов полимера (полученных после обработки пластиката на экстракторе Сокслета) в циклогексаноне при температуре 25.4 °С. Измерения выполняли на стеклянном капиллярном вискозиметре серии ВПЖ.
ИК-спектральные исследования проводили на спектрометре “Bruker IFS 66 v/s” в режиме НПВО для пластикатов (кристалл ZnSe, 45°, однократное отражение диапазон 4000–400 см–1, разрешение 1 см–1) и в режиме съемки на пропускание для пленок ПВХ без наполнителей. Обработку и анализ спектров выполняли с использованием программного обеспечения OMNIC 9.2 и набора библиотек спектров высокого разрешения HR Aldrich.
Микробиологические исследования роста биопленок на поверхности пластикатов проводили по экспресс-методике, разработанной в Институте микробиологии им. Виноградского РАН [21]. В качестве модельной культуры использовали культуру микромицета Yarrowia lipolytica 367-3 из коллекции Федерального исследовательского центра Биотехнологии РАН. Инокулят был приготовлен из суточной культуры Y. lipolytica 367-3, выращенной на жидкой среде LB на качалке (100 об/мин, 30 °С) и разбавленной до оптической плотности OD540 = 0.2 стерильной среды LB. Стерилизованные образцы ПВХ-пластикатов (пластины 25 × 3 × 0.5 мм, не менее шести пластин для каждого опыта) помещали в пробирки с богатой питательной средой LB (Lennox), в которые вводили по 50 мкл инокулята, культивировали двое суток при 30 °С при перемешивании (120 об/мин). Через 48 ч пластины с выросшими на их поверхности биопленками извлекали из пробирок и помещали в 1 мл водного раствора МТТ (тиазолил синий тетразолий бромид, Диаэм)1 на 3.5 ч, в результате чего метаболически активные клетки окрашивались. После окрашивания пластины промывали водой для удаления остатков МТТ и несвязанных планктонных клеток и помещали в 0.5 мл ДМСО для экстрагирования. Оптическая плотность экстракта OD590 (измеренная при длине волны 590 нм на спектрофотометре Azure AC3000), является количественной характеристикой роста биопленки на поверхности образца.
Эксплуатационные характеристики ПВХ-плас тикатов измеряли в соответствии со стандартными методиками. Плотность образцов определена по ISO 11833-1 2019 методом обмера и взвешивания, водопоглощение образцов пластикатов – по ISO 62:2008 IEC 60811-402:2012, потери массы пластикатов – по Межгосударственному стандарту ГОСТ 5960–72 (выдержка 6 ч при температуре 160 °С, размеры образцов пластикатов 60 × 40 × 2 мм). Электропроводность пластикатов находили с помощью тераомметра E6-13A, электроды для измерений объемного электрического сопротивления материала изготавливали в соответствии с IEC 93-80. Физико-механические свойства пластикатов охарактеризовывыли в условиях одноосного растяжения образцов в виде двусторонних лопаток (не менее пяти лопаток для каждого состава, размеры рабочей части лопаток 3 × 10 мм, скорость растяжения 20 мм/мин) на разрывной машине “TIRAtest 2000”.
Результаты и их обсуждение
ПВХ-пластикат и органоминеральный комплекс КБФД охарактеризованы методом термогравиметрии (рис. 1), для сравнения на рисунке приведены также кривые ТГА для реакторного порошка ненаполненного непластифицированного ПВХ марки C-7059М. Кривые скорости изменения массы (рис. 1б) масштабированы и сдвинуты для удобства чтения графика.
Рис. 1. Термограммы (а) и дифференциальные термограммы (б) компонентов органоминерального комплекса КБФД (1), промытого водой органоминерального комплекса КБФД(о) (2), пластиката ПВХ П-0 (3) и реакторного порошка ПВХ (4).
На дериватограммах непластифицированного ПВХ наблюдаются два максимума: потери массы при 270–400 °С соответствуют разложению ПВХ с выделением хлороводорода, а при 400–600 °С – деструкции образовавшейся полиацетиленовой цепи (в инертной атмосфере – до ненулевого коксового остатка). В пластифицированном ПВХ потеря пластификатора происходит в диапазоне 200–300 °С [22]. Разложение карбоната кальция (для наполненных мелом пластикатов) происходит при температурах 600–700 °С.
Из представленных на рис. 1 термограмм рассчитано, что в исследуемом пластикате доля ПВХ составляет ~60 мас.%, доля пластификатора ~25 мас.%, остальное – минеральные наполнители, преимущественно карбонат кальция, что также подтверждается ИК-спектрами (см. далее). Низкое значение потери массы пластиката в диапазоне температур деструкции наполнителя (~3%) связано с протеканием реакции между карбонатом кальция и хлороводородом (выделяющимся при термодеструкции ПВХ при температурах 270–400 °С) с образованием термостабильного хлорида кальция.
По данным термогравиметрии определено также содержание ПГМГ-ГХ в полученных образцах органоминеральных комплексов (с учетом потери массы ММТ в диапазоне температур 550−700 °С, составляющей 5.5% и обусловленной дегидроксилированием алюмосиликатных частиц). Содержание органических веществ в образце КБФД составило 25%, в образце КБФД(о) – 14%. Отсюда с учетом молекулярной массы элементарного звена ПГМГ-ГХ без противоиона (140 г/моль) несложно рассчитать, что на поверхности ММТ может быть адсорбировано по ионообменному механизму до 12 мас.% ПГМГ. Следовательно, в КФБД примерно половина полигуанидина адсорбирована без образования ионных связей с поверхностью носителя; большая часть такого “избыточного” ПГМГ-ГХ может быть удалена из образца при воздействии воды. Однако пики скорости термодеструкции органической фазы на дериватограммах подобных органоминеральных комплексов существенно смещены в сторону меньших температур по сравнению с соответствующими пиками порошкового ПГМГ-ГХ [14], т.е. “избыточный” ПГМГ-ГХ тоже взаимодействует с алюмосиликатной поверхностью (вероятно, за счет ван-дер-ваальсовых взаимодействий).
Экструзионным методом смешения в расплаве приготовлены ПВХ-пластикаты, содержащие 0, 2, 3, 4 и 5% КБФД (образцы П-0, П-2, П-3, П-4 и П-5 соответственно), а также пластикат, содержащий 5% промытой водой добавки КБФД(о) (образец П-5-о). Для сравнения использовали пластикат со стандартной биоцидной добавкой Fungitrol-11 (образец П-F). Спектры ИК-НПВО образцов пластикатов представлены на рис. 2.
Рис. 2. ИК-НПВО-спектры ПВХ-пластикатов П-5-о (1), П-F (2), П-5 (3), П-4 (4), П-3 (5), П-2 (6) и П-0 (7). Пояснения в тексте.
При анализе ИК-спектров полученных композитов содержащийся в образцах пластификатор идентифицирован как диоктилтерефталат (полосы 1718, 1270, 1120, 1100, 1020, 730 см–1) [23]. Также на спектрах наблюдаются полосы поглощения ПВХ 600–700 (νC–Cl), 1092 и 1204 (νC–C), 1255 (δCH), 1330 (δCH+τCH2), 1425 (δCH2, частично скрыта пластификатором), 2965 и 2910 см–1 (νСН, νСН2) [24]. Полосы поглощения карбонатов (при 875, 713, 1400–1500 см–1) объясняются наличием в пластикатах наполнителя – карбоната кальция. На спектрах образцов с органоминеральной добавкой КБФД также наблюдаются полосы колебаний связей Si–O в диапазоне 1030–1090 см–1 [25] (на рис. 2 показаны стрелкой), интенсивность этих полос закономерно увеличивается при повышении содержания КБФД в образце. Характерные для ПГМГ-ГХ полосы поглощения (например, полосы валентных колебаний C=N-связи 1636 и 1671 см–1) на графике не видны в связи с низким содержанием полигуанидина в композитах – не более 1.25 мас.%.
Для оценки целесообразности применения исследуемых добавок для защиты ПВХ-пластиката от биообрастания и от фотоокислительного старения (при сохранении необходимых эксплуатационных характеристик материала) проведен ряд экспериментальных исследований.
Биообрастание образцов ПВХ-пластикатов
Микробиологические испытания образцов ПВХ-пластикатов (в виде пластин 25 × 3 × 0.5 мм) при биообрастании культурой аскомицетовых дрожжевых грибов Y. lipolytica 367-3 проведены по методике работы [21]. Для испытаний выбраны пять составов пластиката: исходный пластикат без биоцидных добавок (П-0); пластикат со стандартным биоцидом Fungitrol-11 (П-F); пластикаты с КБФД в концентрации 2 и 5 мас.% (П-2, П-5); пластикат с 5 мас.% добавки КБФД(о), промытой избытком дистиллированной воды для удаления избытка ПГМГ-ГХ (П-5-о).
После двух суток культивирования Y. lipoly tica 367-3 в питательной среде с погруженными в нее образцами ПВХ-пластикатов образцы промывали и выросшие на поверхности пластин биопленки окрашивали метаболизируемым красителем МТТ, после чего проводили экстракцию формазана из биопленок на поверхности пластин ДМСО (Общество с ограниченной ответственностью “Компонент-Реактив”). По увеличению оптической плотности экстрактов OD590 можно судить о количестве жизнеспособных (метаболически активных) клеток на поверхности исследуемого образца, т.е. количественно оценить степень биообрастания материала.
Результаты МТТ-теста формирования биопленок Y. lipolytica 367-3 на поверхности ПВХ-пластикатов приведены ниже. Оптическая плотность экстракта OD590 составляет 0.40 ± 0.07, 0.38 ± 0.10, 0.05 ± 0.03, 0.05 ± 0.03 и 0.29 ± 0.08 для образцов пластиката П-0, П-F, П-2, П-5 и П-5-o соответственно. На образце ПВХ-пластиката без биоцида (П-0) наблюдался выраженный рост биопленки Y. lipolytica 367-3. Для образцов, содержащих КБФД в количестве 2 и 5 мас.% (образцы П-2 и П-5) роста биопленки не зафиксировано – значения OD590 близки к нулю. Следует отметить, что по визуальным наблюдениям в присутствии этих образцов также подавляется и рост планктонной культуры Y. lipolytica 367-3 – по-видимому, ПГМГ-ГХ частично высвобождается в объем жидкой питательной среды при культивировании микроорганизмов в присутствии образцов пластикатов. Эффективность биоцидного действия у добавки КБФД(о), промытой для удаления избыточного ПГМГ-ГХ, значительно ниже, чем у исходной добавки (рост биопленки на композите П-5-о с добавкой КБФД(о) значительно выше, чем на композите П-5 с добавкой КБФД в аналогичной концентрации), поэтому в дальнейших экспериментах пластикат с добавкой КБФД(о) не использовали. Биообрастание образцов ПВХ-пластиката со стандартным биоцидом (образец П-F) близко к биообрастанию исходного пластиката без биоцидных добавок, т.е. эффективность данного продукта в условиях проведенного эксперимента ниже, чем эффективность исследуемой органоминеральной добавки КБФД (здесь следует отметить, что условия испытаний при культивировании аскомицетов в богатой питательной водной среде являются значительно более благоприятными для роста культур микроорганизмов по сравнению с условиями эксплуатации большинства пластиковых изделий). Выбранный пластикат предназначен для оболочек кабелей, прокладываемых внутри помещений, и штатно эксплуатируется без контакта с водными средами, поэтому частичный переход биоцида в водную среду можно считать допустимым. Однако для оценки применимости добавок КБФД для изделий из ПВХ, эксплуатируемых в условиях постоянного или периодического контакта с водной средой (например, оконных рам), необходимы дополнительные исследования. При непродолжительном воздействии водных сред вымывание ПГМГ-ГХ из композитов незначительно: так, после статического воздействия 10 мл воды на 0.2 г пластиката П-5 в течение 2 суток при 20 °С концентрация экстрагированного ПГМГ-ГХ в воде была менее 10 мг/л.
Фотоокислительное старение полимерной основы ПВХ-пластикатов
Для оценки влияния УФ-облучения на полимерную основу пластиката была проведена обработка облученных образцов пластикатов в среде циклогексанона с помощью экстрактора Сокслета, что позволило отделить минеральную составляющую композитов. После экстрагирования были приготовлены тонкие пленки полимерной основы ПВХ-пластикатов, которые исследовали спектроскопическими методами.
При фотостарении (во время эксплуатации или при ускоренных лабораторных испытаниях) ПВХ желтеет вследствие накопления хромофорных продуктов окисления, что выражается в увеличении поглощения в коротковолновой области спектра и смещении границы пропускания [26]. В связи с этим для оценки степени фотоокисления полимерной матрицы при УФ-облучении образцов были получены спектры пропускания пленок ПВХ (без минеральных наполнителей) в УФ- и видимой областях спектра, типичные зависимости представлены на рис. 3а.
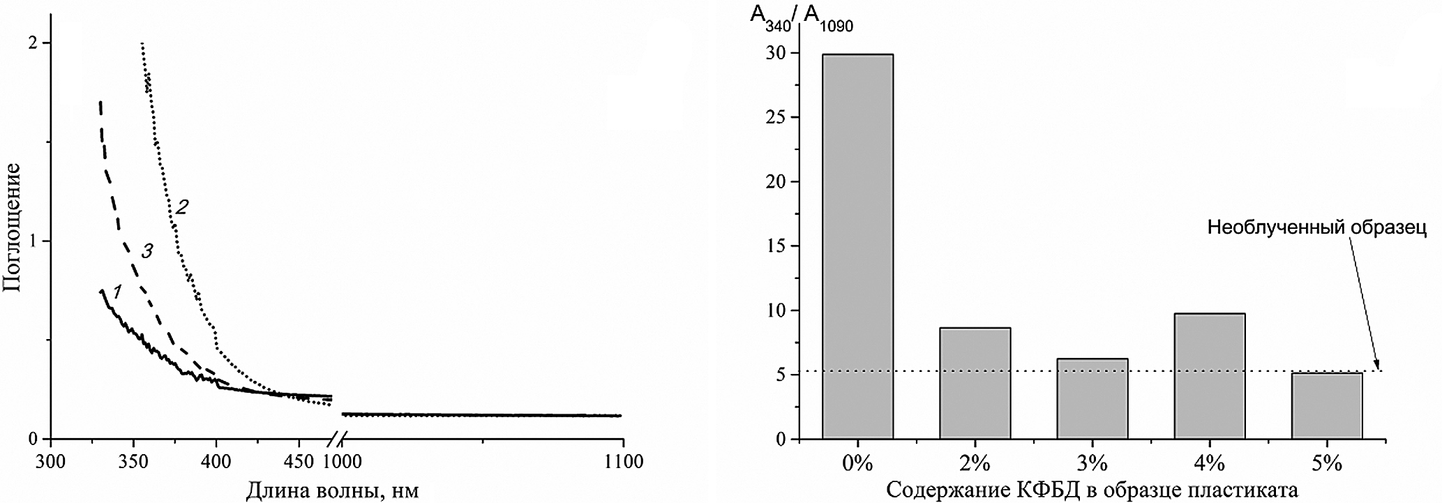
Рис. 3. Типичные УФ-спектры пленок ПВХ до облучения (1), после облучения (2) и пленок ПВХ + 4% КФБД после облучения (3) (а), а также соотношение интенсивностей поглощения A340/A1090 для облученных пленок с разным содержанием КБФД (гистограмма) и необлученного образца (б).
Из рис. 3 следует, что в результате УФ-облучения пластикатов значительно увеличивается поглощение полимера в диапазоне длины волн до 450 нм, причем поглощение для образцов, содержавших КБФД, значительно ниже. Для количественной оценки влияния добавок на фотостарение образцов (рис. 3б) рассчитано отношение A340/A1090 поглощения при 340 нм (соответствующего образующимся при старении ПВХ хромофорным группам, например полиненасыщенным системам двойных сопряженных связей) к поглощению при 1090 нм (где образцы практически прозрачны). На гистограммах видно, что после УФ-облучения образцов ПВХ без КБФД отношение A340/A1090 увеличивается примерно в 6 раз, а для образцов с КБФД — не более чем в 2 раза. Таким образом, КБФД защищает ПВХ от фотостарения при УФ-облучении в лабораторных условиях.
Для исследования фотостарения ПВХ применяется также метод ИК-спектроскопии. Согласно стандарту ISO 10640–2011, старение ПВХ оценивается по появлению в спектрах полос продуктов фотоокисления: бета-хлорокарбоновых кислот (полоса поглощения 1718 см–1) и хлорангидридов (полоса поглощения 1785 см–1). Однако на ИК-спектрах исследуемых образцов (рис. 4) данные полосы перекрываются полосой поглощения пластификатора – диоктилтерефталата. По аналогичной причине (наложение полос полимера, пластификатора и наполнителей) оказались малоинформативными спектры ИК-НПВО поверхности облученных ПВХ-пластикатов.
Рис. 4. ИК-спектры пропускания полимерной основы ПВХ-пластикатов до УФ-облучения (1) и после УФ-облучения при содержании КБФД в пластикате 0 (2), 2 (3), 3 (4), 4 (5) и 5% (6).
На всех спектрах пленок полимерной основы УФ-облученных образцов (рис. 4) наблюдается рост поглощения в области полос ассоциированной воды (~3500 см–1), что можно объяснить увеличением гидрофильности ПВХ вследствие окисления; интенсивность этой полосы максимальна для образцов без КБФД, однако различия между спектрами всех облученных образцов близки к погрешности эксперимента. Также после УФ-облучения образцов отмечено снижение интенсивности полос 1270, 1120, 1020, 730 см–1, относящихся к диоктилтерефталату, что может свидетельствовать о его деструкции или миграции из образца в процессе испытаний [5].
Кроме накопления хромофорных групп следствием фотостарения полимерных материалов может быть разрыв макромолекул с уменьшением молекулярной массы полимера. Для оценки снижения молекулярной массы при фотоокислении полимерной основы ПВХ-пластикатов проведены измерения характеристической вязкости образцов ПВХ (после удаления твердой фазы). Количественный расчет изменения молекулярной массы исследуемых образцов связан со значительными сложностями калибровки, так как различия в степени разветвленности полимерной цепи ПВХ разных коммерческих марок приводят к большим отклонениям от базовой модели Марка–Хаувинка [27]. Тем не менее, снижение характеристической вязкости ПВХ после УФ-облучения можно использовать как качественную характеристику степени изменения молекулярной массы полимера при фотоокислительном старении.
В результате измерений установлено, что приведенная вязкость раствора полимерной основы исходного композита составляет 5.35 дл/г. Для облучённого образца без КБФД приведенная вязкость раствора равна 2.75 дл/г (в 2 раза меньше, чем для исходного образца), что может указывать на существенное снижение молекулярной массы. Для облученного образца пластиката с 3 мас.% КБФД характеристическая вязкость составляет 4.24 дл/г, что сопоставимо со значением для контрольного образца.
Таким образом, данные УФ-спектроскопии и вискозиметрии подтверждают фотостабилизирующее действие КБФД на полимерную основу ПВХ-пластиката. Для облученных образцов, содержащих КБФД, установлено меньшее накопление хромофорных групп, а также меньшее снижение характеристической вязкости раствора (и, следовательно, молекулярной массы) по сравнению с контрольными образцами облученных пластикатов без КБФД.
Эксплуатационные характеристики ПВХ-пластикатов
Результаты механических испытаний образцов пластиката (сразу после изготовления образцов и после термического старения согласно нормативной документации) сведены в табл. 1.
Таблица 1. Физико-механические характеристики ПВХ пластикатов
Образец | Модуль упругости, МПа | Прочность, МПа | Удлинение при разрыве, % |
П-0 | 33 ± 5 | 25.6 ± 1.1 | 327±15 |
П-2 | 31 ± 4 | 24.7 ± 0.9 | 302±23 |
П-3 | 38 ± 3 | 24.8±1.1 | 289±11 |
П-4 | 51 ± 4 | 23.3±1.9 | 228±28 |
П-5 | 53 ± 3 | 22.5±3.5 | 188±52 |
П-F | 52 ± 3 | 27.8±0.7 | 287±20 |
Норматив | Не норми руется | Не менее 11 | Не менее 250 |
После термостарения при 100 °С в течение 7 суток | |||
П-0 | 47±7 | 27.5±0.2 | 328±15 |
П-2 | 55±5 | 26.5±1.2 | 297±23 |
П-3 | 60±6 | 26.5±0.8 | 294±23 |
П-4 | 57±3 | 25.7±1.7 | 257±22 |
П-5 | 52±4 | 24.6±2.1 | 254±18 |
П-F | 44±3 | 25.5±2.7 | 289±42 |
Норматив | Не нормируется | 80 % от исходного | 80 % от исходного |
Модуль упругости композитов, не подвергнутых термостарению, возрастает с повышением содержания КБФД. При концентрации биоцидной добавки 5 мас.% модуль упругости материала практически равен модулю упругости пластиката с Fungitrol-11. При термостарении модуль упругости пластикатов увеличивается, что может быть связано с деструкцией пластификатора или его миграцией на поверхность образца (рис. 4).
Разрывная прочность ПВХ-пластиката снижается при введении КБФД в рецептуру материала, однако для образцов П-2 и П-3 снижение прочности близко к погрешности измерения. При термостарении пластикатов с КБФД их разрывная прочность незначительно повышается, причем состаренные образцы с КБФД не уступают по прочности состаренным образцам с Fungitrol-11. Следует отметить, что все образцы (и с КБФД, и с Fungitrol-11) с большим запасом соответствуют нормативам по прочности, указанным в документации материала.
Удлинение при разрыве для пластикатов, содержащих КБФД, снижается при увеличении концентрации органоминеральной добавки. Однако образцы П-2 и П-3, содержащие соответственно 2 и 3 мас.% КБФД, не уступают по этому показателю образцам пластиката с Fungitrol-11 и удовлетворяют требованиям нормативной документации (как до, так и после термостарения).
В табл. 2 представлены результаты испытаний ряда эксплуатационных свойств ПВХ-пластикатов с различными добавками в соответствии с нормативными требованиями на кабельный пластикат марки ППО 30-35. Из представленных данных следует, что все полученные материалы удовлетворяют требованиям технической документации по показателям потери массы (при выдержке при температуре 160 °С в течение 24 ч), плотности и удельного объемного электрического сопротивления. Необходимо учитывать, что введение КБФД приводит к увеличению водопоглощения материалов (тем больше, чем выше концентрация добавки). С учетом снижения плотности образцов при введении КФБД можно предположить, что рост водопоглощения связан в том числе с увеличением объемной доли микропор в образце; эта проблема может быть разрешена варьированием условий переработки пластиката (экструзионного смешения компонентов и последующего формования изделий). При испытаниях в течение 24 ч (один из вариантов, предусмотренных стандартом ИСО 62:2008) водопоглощение образца пластиката П-2 с содержанием КБФД 2 мас.% хотя и выше, чем у исходного пластиката без добавок, но укладывается в требования технических условий на данный материал и равно водопоглощению образца пластиката П-F со стандартным фунгицидом. При этом введение КБФД в концентрации 2 мас.% достаточно для подавления биообрастания пластиката культурой Y. lipolytica 367-3 и для защиты полимерной основы ПВХ-пластиката от фотоокисления при воздействии излучения UVC-диапазона.
Таблица 2. Эксплуатационные характеристики ПВХ-пластикатов
Образец | Потеря массы, * % | Водопоглощение, мас.% | Плотность, г/см3 | Объемное электрическое сопротивление ρ ×10-13, Ом·см | |||
24 ч | 48 ч | 96 ч | до облучения | после облучения | |||
П-0 | 0.07 | 0.08 | 0.14 | 0.20 | 1.33 | 69 | 35 |
П-2 | 0.12 | 0.30 | 0.57 | 0.84 | 1.24 | 63 | 83 |
П-3 | 0.13 | 0.53 | 0.90 | 1.03 | 1.20 | 101 | 128 |
П-4 | 0.14 | 0.48 | 0.83 | 1.08 | 1.18 | 52 | 112 |
П-5 | 0.14 | 0.66 | 1.02 | 1.31 | 1.18 | 69 | 102 |
П-F | 0.11 | 0.30 | 0.37 | 0.46 | 1.28 | 37 | 52 |
Норматив | ≤ 2 | ≤ 0.4 | ≤ 0.4 | ≤ 0.4 | ≤ 1.61 | ≥ 0.05 | ≥ 0.05 |
* При 160 ± 2 °С в течение 24 ч.
Таким образом, результаты настоящей работы подтверждают перспективность применения органоминеральных комплексов, полученных иммобилизацией ПГМГ-ГХ на поверхности слоистого носителя (монтмориллонита), в качестве многофункциональных добавок для защиты полимерных материалов на основе поливинилхлорида от биообрастания и фотоокислительной деструкции при воздействии УФ-излучения UVC-диапазона (применяемого, в частности, при дезинфекции полимерных изделий медицинского назначения).
При введении в кабельный пластикат органоминеральной добавки в количестве 2 мас.% обеспечивается защита материала от биообрастания микромицетом Y. lipolytica и снижается степень деструкции полимерной основы пластиката при УФ-облучении. При этом сохраняются требуемые эксплуатационные характеристики материала по прочности, эластичности, термостойкости, водопоглощению и объемному электрическому сопротивлению. Повышение содержания органоминеральной добавки в материале от 2 до 5 мас.% на основании полученных данных представляется нецелесообразным, так как не обеспечивает повышения эффективности фотостабилизации, но приводит к снижению физико-механических характеристик материала и увеличению водопоглощения свыше нормативных значений.
Работа выполнена в рамках Государственного задания Института нефтехимического синтеза Российской академии наук, а также в рамках Государственного задания Федерального исследовательского центра Биотехнологии Российской академии наук (122040800164-6).
Исследования проведены на приборах Центра коллективного пользования Института нефтехимического синтеза Российской академии наук.
1 Данное соединение метаболизируется клетками микроорганизмов с образованием окрашенного соединения (формазана), появление соответствующей фиолетовой окраски свидетельствует о наличии в образце метаболически активных бактериальных клеток.
About the authors
В. А. Герасин
Институт нефтехимического синтеза им. А.В. Топчиева Российской академии наук
Author for correspondence.
Email: gerasin@ips.ac.ru
Russian Federation, 119991, Москва, Ленинский пр., 29
М. B. Журина
Федеральный исследовательский центр “Фундаментальные основы биотехнологии” Российской академии наук
Email: gerasin@ips.ac.ru
Институт микробиологии им. С.Н. Виноградского
Russian Federation, 117312, Москва, пр. 60-летия Октября, 7, корп. 2В. В. Куренков
Институт нефтехимического синтеза им. А.В. Топчиева Российской академии наук
Email: gerasin@ips.ac.ru
Russian Federation, 119991, Москва, Ленинский пр., 29
Д. И. Менделеев
Институт нефтехимического синтеза им. А.В. Топчиева Российской академии наук
Email: gerasin@ips.ac.ru
Russian Federation, 119991, Москва, Ленинский пр., 29
References
- Wang C., Liu Y., Chen W.Q., Zhu B., Qu S., Xu M. // J.Industr. Ecology. 2021. V. 25. №5. P. 1300.
- Zhang M., Han W. Hu X., Li D., Ma X., Liu H., Liu L., Lu W., Liu S. // Polym. Degrad. Stab. 2020. V. 181. P.109340.
- Zacheus O.M., Iivanainen E.K., Nissinen T.K., Le htola M.J., Martikainen P.J. // Water Res. 2000. V. 34. №1. P. 63.
- Webb J.S., Nixon M., Eastwood I.M., Greenhalgh M., Robson G.D., Handley P.S. // Appl. Еvironment. Мicrobiol. 2000. V. 66. №8. P. 3194.
- Gumargalieva K.Z., Ivanov V.B., Zaikov G.E., Moiseev J.V., Pokholok T.V. // Polym. Degrad. Stab. 1996. V. 52. №1. P. 73.
- Yin X., Zhang J., Zhang Z., Xu G.// Polym. Adv. Technol. 2017. V. 28. P. 1831.
- Yousif E., Hasan A. // J. Taibah Univ. for Science. 2015. V. 9. Iss. 4. P. 421.
- Wegmann A., Oertli A.G., Voigt W. //Сonf. “Compounding Polyvinyl Chloride in the 21st century”. Brookfield. 2002. Ses. 3. Paper 1. Р.295.
- Marturano V., Cerruti P., Ambrogi V. // Phys. Sci. Revs. 2017. V. 2. №6. 20160130.
- Bondarenko O., Juganson K., Ivask A., Kasemets K., Mortimer M., Kahru A. // Arch. Toxicol. 2013. V. 87. №7. P. 1181.
- Oule M.K., Azinwi R., Bernier A.M., Kablan T., Maupertuis A.M., Mauler S., Nevry R.K., Dembélé K., Forbes L., Diop L. // J. Med. Microbiol. 2008. V. 57. №12. P. 1523.
- Park D.U., Park J., Yang K.W., Park J.H., Kwon J.H., Oh H.B. // Molecules. 2020. V. 25. №14. P. 3301.
- Zhurina M.V., Bogdanov K.I., Mendeleev D.I., Tikhomirov V.A., Pleshko E.M., Gannesen A.V., Kuren kov V.V., Gerasin V.A., Plakunov V.K. // Coatings. 2023. V. 13. №6. P.987.
- Gerasin V.A., Zhurina M.V., Kurenkov V.V., Mende leev D.I., Ochenkov D.E., Myat K.H. // Polymer Science B. 2023. V. 65. №5. P. 681.
- Mendeleev D.I., Legkov S.A., Tikhomirov V.A., Kurenkov V.V., Belous’ ko M.A., Hoang Q.C., Gerasin V.A. // Polymer Science A. 2023. V. 65. №1. P. 111.
- Zhou Z.X., Wei D.F., Guan Y., Zheng A.N., Zhong J.J. // J. Appl. Microbiol. 2010. V. 108. №3. P. 898.
- Kamenieva T., Tarasyuk O., Derevianko K., Aksenov ska O., Shybyryn O., Metelytsia L., Rogalsky S. // Catal. Petrochem. 2020. V. 30. P. 73.
- Gijsman P., Hennekens J., Tummers D. // Polym. Degrad. Stab. 1993. V. 39. №2. P. 225.
- Madaleno L., Schjødt-Thomsen J., Pinto J.C. // Compos. Sci. Technol. 2010. V. 70. №5. P. 804.
- Hankett J.M., Collin W.R., Chen Z. // J. Phys. Chem. B. 2013, V. 117. №50. P. 16336.
- Plakunov V.K., Mart’yanov S.V., Teteneva N.A., Zhurina M.V. // Microbiology. 2016. V. 85. P. 509.
- Apchain E., Royaux A., Fichet O., Cantin S. // J. Cultural Heritage. 2022. V. 57. P. 79.
- Rijavec T., Ribar D., Markelj J., Strlic M., Cigic I.K. // Scientific Rep. 2022. V. 12. 5017.
- Del Fanti N.A. Infrared Spectroscopy of Polymers. Madison: Thermo Fisher Scientific, 2008. P.230.
- Xue W., He H., Zhu J., Yuan P. Spectrochim. Acta A. 2007. V. 67. №3‒4. P. 1030.
- Kuznetsov S.M., Sagitova E.A., Prokhorov K.A., Nikolaeva G.Yu., Mendeleev D.I., Donfack P., Materny A. // Spectrochim. Acta A. 2021. V. 252. P. 119494.
- Pepperl G. // J. Vinyl Additive Technol. 2000. V. 6. №2. P. 88.
Supplementary files





