Homology Violation in a Series of Amphiphilic Comb-Like Statistical Copolymers of N-Methyl-N-vinylacetamide and N-Methyl-N-vinylamine with Moderate Density of Grafting of Side Dodecyl Groups
- Авторлар: Gosteva A.A.1, Okatova O.V.1, Gavrilova I.I.1, Panarin E.F.1, Pavlov G.M.1
-
Мекемелер:
- Institute of Macromolecular Compounds, Russian Academy of Sciences
- Шығарылым: Том 65, № 5 (2023)
- Беттер: 333-342
- Бөлім: РАСТВОРЫ
- URL: https://ogarev-online.ru/2308-1120/article/view/233618
- DOI: https://doi.org/10.31857/S2308112023600035
- EDN: https://elibrary.ru/DDPZKA
- ID: 233618
Дәйексөз келтіру
Толық мәтін
Аннотация
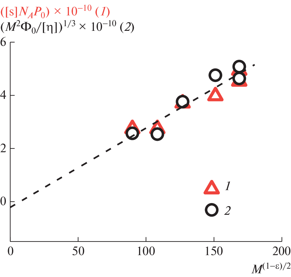
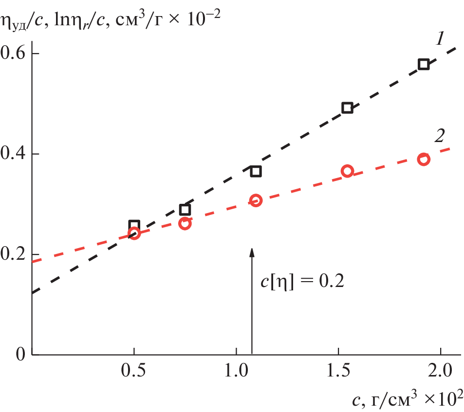
A series of water-soluble comb-like copolymers of N-methyl-N-vinylacetamide and N-methyl-N-vinylamine (MVAA‒со‒MVA) bearing hydrophobic dodecyl side groups С12Н25 has been investigated by means of molecular hydrodynamics (viscometry, translational diffusion, and analytical ultracentrifugation) in dilute solutions in 0.1 M NaCl, under conditions of suppression of the polyelectrolyte effects. The issues of homology of these amphiphilic copolymers have been considered. The viscometry data plotted as lnηr as function of c[η] have allowed to distinguish between macromolecules of the copolymers according to their hydrophobicity. Positive values of the second derivative B2 determined from the initial parts of these curves have served as a measure of hydrophobicity of the amphiphilic copolymers. The noticeable differences in the B2 values for different copolymers have shown that they do not form true homologous series. For the quasi-homologous series of the MVAA–со–MVAC12H25·HI copolymers with close values of B2, the Kuhn–Mark–Houwink–Sakurada relationships have been obtained and the equilibrium rigidity of the chains has been assessed using the modified Gray–Bloomfield–Hearst equation.
Авторлар туралы
A. Gosteva
Institute of Macromolecular Compounds, Russian Academy of Sciences
Email: georges.pavlov@mail.ru
199004, St. Petersburg, Russia
O. Okatova
Institute of Macromolecular Compounds, Russian Academy of Sciences
Email: georges.pavlov@mail.ru
199004, St. Petersburg, Russia
I. Gavrilova
Institute of Macromolecular Compounds, Russian Academy of Sciences
Email: georges.pavlov@mail.ru
199004, St. Petersburg, Russia
E. Panarin
Institute of Macromolecular Compounds, Russian Academy of Sciences
Email: georges.pavlov@mail.ru
199004, St. Petersburg, Russia
G. Pavlov
Institute of Macromolecular Compounds, Russian Academy of Sciences
Хат алмасуға жауапты Автор.
Email: georges.pavlov@mail.ru
199004, St. Petersburg, Russia
Әдебиет тізімі
- Winnik M.A., Yekta A. // Curr. Opin. Colloid Interface Sci. 1997. V. 2. № 4. P. 424.
- Rubinstein M., Dobrynin A.V. // Trends Polym. Sci. 1997. V. 5. P. 181.
- Dobrynin A.V., Rubinstein M. // Macromolecules. 1999. V. 32. № 3. P. 915.
- Senan C., Meadows J., Shone P.T., Williams P.A. // Langmuir. 1994. V. 10. № 7. P. 2471.
- Wolff C., Silberberg A., Priel Z., Layec-Raphalen M.N. // Polymer. 1979. V. 20. № 3. P. 281.
- Associative Polymers in Aqueous Media / Ed. by J.E.Glass. Washington: Am. Chem. Soc., 2000.
- Imai S., Hirai Y., Nagao C., Sawamoto M., Terashima T. // Macromolecules. 2018. V. 51. № 2. P. 398.
- Hattori G., Hirai Y., Sawamoto M., Terashima T. // Polym. Chem. 2017. V. 8. № 46. P. 7248.
- Li L., Raghupathi K., Song C., Prasad P., Thayumana-van S. // Chem. Commun. 2014. V. 50. № 88. P. 13417.
- Esquenet C., Terech P., Boué F., Buhler E. // Langmuir. 2004. V. 20. № 9. P. 3583.
- Rinaudo M. // Carbohydr. Polymers. 2011. V. 83. № 3. P. 1338.
- Lopez C.G., Colby R.H., Cabral J.T. // Macromolecules. 2018. V. 51. № 8. P. 3165.
- Ma Y., Cao T., Webber S.E. // Macromolecules. 1998. V. 31. № 6. P. 1773.
- Yusa S.-i., Sakakibara A., Yamamoto T., Morishima Y. // Macromolecules. 2002. V. 35. № 27. P. 10182.
- Ordanini S., Cellesi F. // Pharmaceutics. 2018. V. 10. № 4. P. 209.
- Wang X., Li L., He W., Wu C. // Macromolecules. 2015. V. 48. № 19. P. 7327.
- Kanno R., Tanaka K., Ikami T., Ouchi M., Terashima T. // Macromolecules. 2022. V. 55. № 12. P. 5213.
- Pabon M., Corpart J.-M., Selb J., Candau F. // J. Appl. Polym. Sci. 2002. V. 84. № 7. P. 1418.
- Kujawa P., Audibert-Hayet A., Selb J., Candau F. // Macromolecules. 2006. V. 39. № 1. P. 384.
- Abdala A.A., Wu W., Olesen K.R., Jenkins R.D., Tonelli A.E., Khan S.A. // J. Rheol. 2004. V. 48. № 5. P. 979.
- Chassenieux C., Nicolai T., Benyahia L. // Curr. Opin. Colloid Interface Sci. 2011. V. 16. № 1. P. 18.
- Jiang N., Zhang H., Tang P., Yang Y. // Macromolecules. 2020. V. 53. № 9. P. 3438.
- Neal T.J., Beattie D.L., Byard S.J., Smith G.N., Murray M.W., Williams N.S.J., Emmett S.N., Armes S.P., Spain S.G., Mykhaylyk O.O. // Macromolecules. 2018. V. 51. № 4. P. 1474.
- Kawata T., Hashidzume A., Sato T. // Macromolecules. 2007. V. 40. № 4. P. 1174.
- Ueda M., Hashidzume A., Sato T. // Macromolecules. 2011. V. 44. № 8. P. 2970.
- Macromolecular Self-Assembly / Ed. by L. Billon, O. Borisov. Hoboken: Wiley, 2016.
- Dobrynin A.V., Rubinstein M. // Macromolecules. 2000. V. 33. № 21. P. 8097.
- Limberger R.E., Potemkin I.I., Khokhlov A.R. // J. Chem. Phys. 2003. V. 119. № 22. P. 12023.
- Vasilevskaya V.V., Markov V.A., ten Brinke G., Khokhlov A.R. // Macromolecules. 2008. V. 41. № 20. P. 7722.
- Zhang Z., Huang C., Weiss R.A., Chen Q. // J. Rheol. 2017. V. 61. № 6. P. 1199.
- Zhang Z., Chen Q., Colby R.H. // Soft Matter. 2018. V. 14. № 16. P. 2961.
- Gosteva A., Gubarev A.S., Dommes O., Okatova O., Pavlov G.M. // Polymers. 2023. V. 15. № 4.
- Pavlov G.M., Gosteva A.A. // Polymer Science A. 2022. V. 64. № 6. P. 586.
- Pavlov G.M., Gosteva A.A., Okatova O.V., Dommes O.A., Gavrilova I.I., Panarin E.F. // Polym. Chem. 2021. V. 12. № 15. P. 2325.
- Pavlov G.M., Okatova O.V., Mikhailova A.V., Ulyanova N.N., Gavrilova I.I., Panarin E.F. // Macromol. Biosci. 2010. V. 10. № 7. P. 790.
- Панарин Е.Ф., Гаврилова И.И. // Высокомолек. соед. Б. 1977. V. 19. № 4. P. 251.
- Schuck P. // Biophys. J. 2000. V. 78. № 3. P. 1606.
- Tsvetkov V.N. // Rigid–Chain Polymers: Hydrodyna-mic and Optical Properties in Solution. New York: Plenum Press, 1989.
- Лавренко П.Н., Окатова O.В. // Высокомолек. соед. А. 1977. V. 19. № 11. P. 2640.
- Lavrenko V.P., Gubarev A.S., Lavrenko P.N., Okatova O.V., Pavlov G.M., Panarin E.F. // Ind. Lab. Materials Diagnostics. 2013. V. 79. P. 33.
- Pavlov G.M., Okatova O.V., Gubarev A.S., Gavrilova I.I., Panarin E.F. // Macromolecules. 2014. V. 47. № 8. P. 2748.
- Pavlov G.M., Perevyazko I.Y., Okatova O.V., Schubert U.S. // Methods. 2011. V. 54. № 1. P. 124.
- Pavlov G.M. Different Levels of Self-Sufficiency of the Velocity Sedimentation Method in the Study of Linear Macromolecules Analytical Ultracentrifugation Instrumentation, Software, and Applications/ Ed. by S. Uchiyama, F. Arisaka, W.F. Stafford, T. Laue. Tokyo: Springer 2016.
- Huggins M.L. // J. Am. Chem. Soc. 1942. V. 64. № 11. P. 2716.
- Kraemer E.O. // Industr. Eng. Chem. 1938. V. 30. № 10. P. 1200.
- Concentration Dependence of the Viscosity of Dilute Polymer Solutions: Huggins and Schulz-Blaschke Constants. In The Wiley Database of Polymer Properties / Ed. by C. Schoff. Hoboken: Wiley, 2003.
- Perevyazko I., Gubarev A.S., Pavlov G.M. // Molecular Characterization of Polymers. A Fundamental Guide / Ed. by M.I. Malik, J. Mays, M.R. Shah. Amsterdam: Elsevier, 2021. Ch. 6.
- Dommes O.A., Okatova O.V., Kostina A.A., Gavrilova I.I., Panarin E.F., Pavlov G.M. // Polymer Science C. 2017. V. 59. № 1. P. 125.
- Gray H.B., Bloomfield V.A., Hearst J.E. // J. Chem. Phys. 1947. V. 46. P. 1493.
- Pavlov G.M. // Eur. Phys. J. E. 2007. V. 22. № 2. P. 171.
- Hearst J.E., Stockmayer W.H. // J. Chem. Phys. 1962. V. 37. № 7. P. 1425.
- Yamakawa H., Fujii M. // Macromolecules. 1973. V. 6. № 3. P. 407.
- Yamakawa H., Fujii M. // Macromolecules. 1974. V. 7. № 1. P. 128.
- Tsvetkov V.N., Eskin V.E., Frenkel S.Y. // Structure of Macromolecules in Solution. Boston: The National Lending Library for Science and Technology, 1971.
- Zimm B.H. // Macromolecules. 1980. V. 13. № 3. P. 592.
- Garcia de la Torre J.G., Jimenez A., Freire J.J. // Macromolecules. 1982. V. 15. № 1. P. 148.
- Garcia de la Torre J.G., Martínez L.M., Tirado M., Freire J. // Macromolecules. 1984. V. 17. № P. 2715.
- Oono Y. // Adv Chem Phys. 1985. V. 61. № P. 301.
Қосымша файлдар






