Molecular Dynamics Simulation of High-Field Effects in the Mobility of Protonated Poly(ethylene oxide)s in a Gas
- Авторлар: Dubrovskii S.A.1, Balabaev N.K.2
-
Мекемелер:
- N.N. Semenov Federal Research Center for Chemical Physics, Russian Academy of Sciences
- Institute of Mathematical Problems of Biology—the Branch of Keldysh Institute of Applied Mathematics, Russian Academy of Sciences
- Шығарылым: Том 65, № 2 (2023)
- Беттер: 138-149
- Бөлім: ТЕОРИЯ И МОДЕЛИРОВАНИЕ
- URL: https://ogarev-online.ru/2308-1120/article/view/135343
- DOI: https://doi.org/10.31857/S2308112023700414
- EDN: https://elibrary.ru/ZFSNKG
- ID: 135343
Дәйексөз келтіру
Толық мәтін
Аннотация
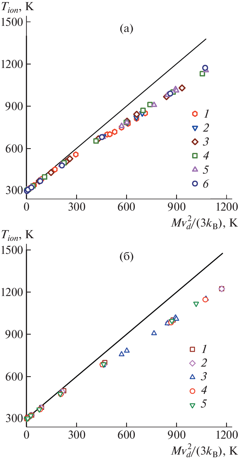
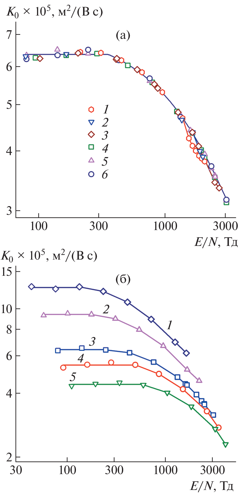
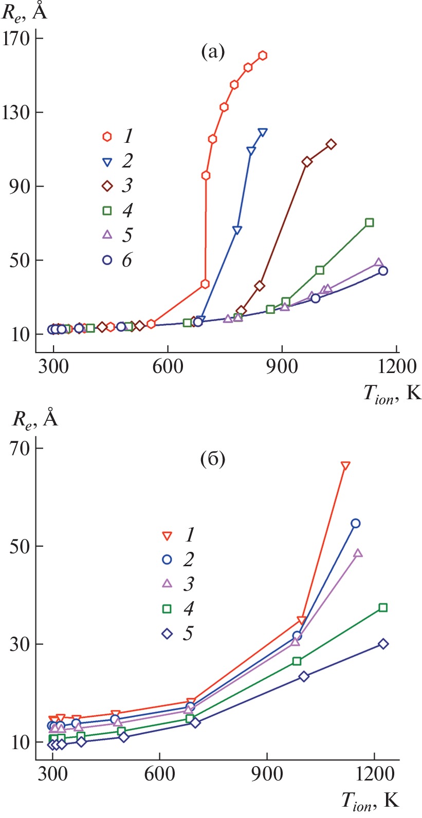
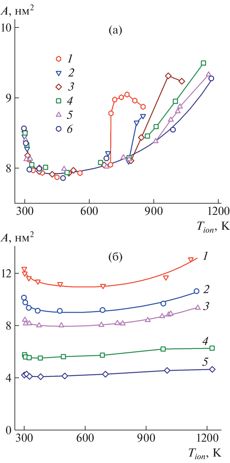
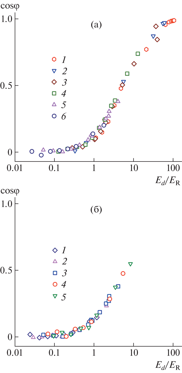
Molecular dynamics simulations are used to study the drift of singly protonated poly(ethylene oxide) chains in helium in strong electrostatic fields. The behavior of the temperature, mobility and size of these ions is analyzed at various gas pressures and different lengths of the polymer chain. The internal temperature of the ion increases with increasing field strength in accordance with the increase in the random kinetic energy received by the ion from the field. This affects the mobility of the ion directly and through a change in the collision cross section associated with the unfolding of the polymer chain. At low gas pressures (from 384 to 1538 Torr), the reduced mobility is determined by the ratio of the field strength E to the gas density N and does not depend on the gas pressure. At higher gas pressures, it depends on the gas pressure at high E/N. This is due to the fact that under these conditions, the gas flow creates a significant tension in the polymer chain, which increases the size of the chain and the collision cross section. In strong fields, the ion ceases to rotate freely, since the field tends to align the dipole moment of the ion with the field. This reduces the collision cross section and partially compensates for changes in the collision cross section and ion mobility caused by the unfolding of the polymer chain.
Авторлар туралы
S. Dubrovskii
N.N. Semenov Federal Research Center for Chemical Physics, Russian Academy of Sciences
Email: sd@chph.ras.ru
119991, Moscow, Russia
N. Balabaev
Institute of Mathematical Problems of Biology—the Branch of Keldysh Institute of Applied Mathematics, Russian Academy of Sciences
Хат алмасуға жауапты Автор.
Email: sd@chph.ras.ru
142290, Pushchino, Moscow oblast, Russia
Әдебиет тізімі
- Eiceman G.A., Karpas Z., Hill H.H. Ion Mobility Spectrometry. CRC Press, Boca Raton, Florida, 2014.
- Lanucara F., Holman S.W., Gray C.J., Eyers C.E. // Nature Chem. 2014. V. 6. P. 281.
- Duez Q., Hoyas S., Josse T., Cornil J., Gerbaux P., De Winter J. // Mass Spectrom. Rev. 2021. e21745.
- Karas M., Bachmann D., Bahr U., Hillenkamp F. // Int. J. Mass Spectrom. Ion Processes. 1987. V. 78. P. 53.
- Hillenkamp F., Peter-Katalinic J. MALDI MS: A Practical Guide to Instrumentation, Methods and Applications. Wiley-VCH, Weinheim, 2007.
- Fenn B., Mann M., Meng C.K., Wong S.F., Whitehouse C.M. // Science. 1989. V. 246. P. 64.
- Mason E.A., McDaniel E.W. Transport Properties of Ions in Gases. Wiley, New York, 1988.
- Shvartsburg A.A. Differential Ion Mobility Spectrometry. CRC Press, Boca Raton, Florida, 2009.
- Prell J.S. // Compr. Anal. Chem. 2019. V. 83. P. 1.
- Siems W.F., Viehland L.A., Hill H.H. // Analyst. 2016. V. 141. P. 6396.
- Larriba-Andaluz C., Prell J.S. // Int. Rev. Phys. Chem. 2020. V. 39. P. 569.
- Koutselos A.D. // J. Chem. Phys. 1995. V. 102. P. 7216.
- Baranowski R., Thachuk M. // J. Chem. Phys. 1999. V. 110. P. 11383.
- Chen X., Thachuk M. // J. Chem. Phys. 2006. V. 124. P. 174501.
- Lai R., Dodds E.D., Li H. // J. Chem. Phys. 2018. V. 148. P. 064109.
- Dubrovskii S.A., Balabaev N.K. // Polym. Sci., Ser. A. 2021. V. 63. P. 891.
- Dubrovskii S.A., Balabaev N.K. // Polym. Sci., Ser. A. 2022. V. 64. P. 549.
- Ieritano C., Featherstone J., Haack A., Guna M., Campbell J.L., Hopkins W.S. // J. Am. Soc. Mass Spectrom. 2020. V. 31. P. 582.
- Andrzejewski R., Entwistle A., Giles R., Shvartsburg A.A. // Anal. Chem. 2021. V. 93. P. 12049.
- Shvartsburg A.A., Bryskiewicz T., Purves R.W., Tang K., Guevremont R., Smith R.D. // J. Phys. Chem. B. 2006. V. 110. P. 21966.
- Shvartsburg A.A., Noskov S.Y., Purves R.W., Smith R.D. // Proc. Natl. Acad. Sci. 2009. V. 106. P. 6495.
- Pathak P., Shvartsburg A.A. // Anal. Chem. 2020. V. 92. P. 13855.
- Lemak A.S., Balabaev N.K. // Mol. Simul. 1995. V. 15. P. 223.
- Lemak A.S., Balabaev N.K. // J. Comput. Chem. 1996. V. 17. P. 1685.
- Hill J.R., Sauer J. // J. Phys. Chem. 1995. V. 99. P. 9536.
- Dubrovskii S.A., Balabaev N.K. // Polym. Sci., Ser. A. 2018. V. 60. P. 404.
- Viehland L.A., Mason E.A. // Ann. Phys. 1978. V. 110. P. 287.
- Chen Y.-L., Collings B.A., Douglas D.J. // J. Am. Soc. Mass Spectrom. 1997. V. 8. P. 681.
- Kogan M.N. Rarefied Gas Dynamics. Springer Science + Business Media, New York, 1969.
- Ashley H. // J. Aeronaut. Sci. 1949. V. 16. P. 95.
- Perkins T.T., Smith D.E., Larson R.G., Chu S. // Science. 1995. V. 268. P. 83.
- Marko J.F., Siggia E.D. // Macromolecules. 1995. V. 28. P. 8759.
- Johnsen R., Tosh R., Viehland L.A. // J. Chem. Phys. 1990. V. 92. P. 7264.
- Gidden J., Wyttenbach T., Jackson A.T., Scrivens J.H., Bowers M.T. // J. Am. Chem. Soc. 2000. V. 122. P. 4692.
- Bleiholder C., Johnson N.R., Contreras S., Wyttenbach T., Bowers M.T. // Anal. Chem. 2015. V. 87. P. 7196.
Қосымша файлдар







