СВЯЗЫВАНИЕ КУРКУМИНА ЗВЕЗДООБРАЗНЫМИ ПОЛИОКСАЗОЛИНАМИ В ВОДНЫХ РАСТВОРАХ
- Авторы: Блохин А.Н.1, Козина Н.Д.1, Разина А.Б.1, Теньковцев А.В.1
-
Учреждения:
- Институт высокомолекулярных соединений Российской академии наук
- Выпуск: Том 65, № 1 (2023)
- Страницы: 27-31
- Раздел: СТРУКТУРА И СВОЙСТВА
- URL: https://ogarev-online.ru/2308-1120/article/view/135330
- DOI: https://doi.org/10.31857/S2308112023700293
- EDN: https://elibrary.ru/UYWBLS
- ID: 135330
Цитировать
Полный текст
Аннотация
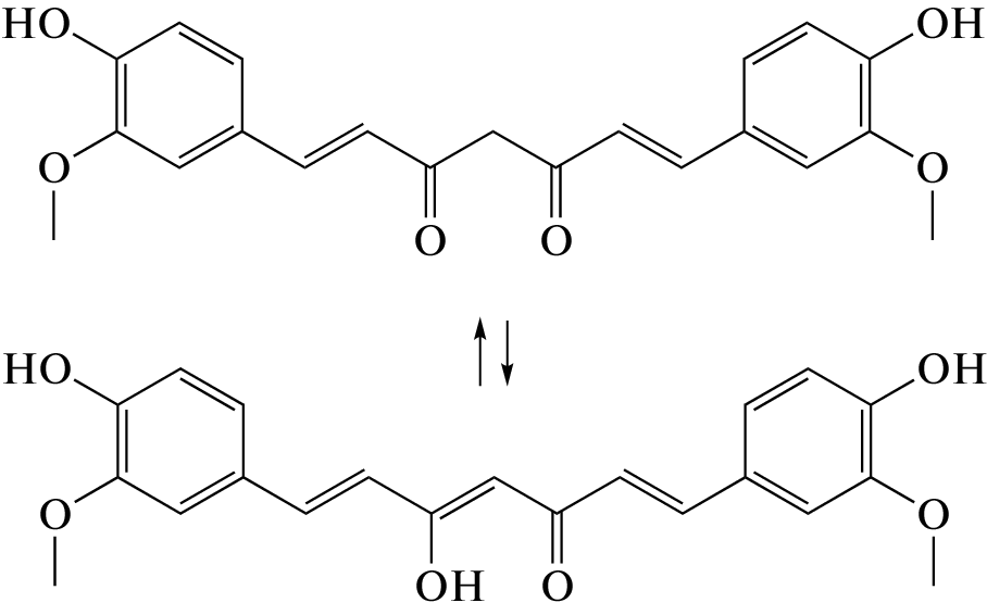
Методом спектрофотометрии в ультрафиолетовой и видимой областях исследовано связывание биологически активного природного красителя куркумина звездообразными поли-2-алкил-2-оксазолинами различной структуры в водной среде. Объектами исследования были синтезированные и описанные ранее четырех- и восьмилучевые звездообразные поли-2-алкил-2-оксазолины с каликсареновыми центрами ветвления. Методом Бенеши‒Гильдебранда определены константы связывания молекул красителя мицеллами полимера. Полученные результаты демонстрируют высокоэффективное связывание куркумина макромолекулами и мицеллами полимеров в водных растворах. Показано, что эффективность связывания куркумина звездообразными полиоксазолинами определяется в большей степени не природой полиоксазолиновых лучей, а структурой гидрофобного каликсаренового центра ветвления.
Об авторах
А. Н. Блохин
Институт высокомолекулярных соединений Российской академии наук
Email: blokhin_an@hq.macro.ru
Россия, 199004, Санкт-Петербург, Большой пр., 31
Н. Д. Козина
Институт высокомолекулярных соединений Российской академии наук
Email: blokhin_an@hq.macro.ru
Россия, 199004, Санкт-Петербург, Большой пр., 31
А. Б. Разина
Институт высокомолекулярных соединений Российской академии наук
Email: blokhin_an@hq.macro.ru
Россия, 199004, Санкт-Петербург, Большой пр., 31
А. В. Теньковцев
Институт высокомолекулярных соединений Российской академии наук
Автор, ответственный за переписку.
Email: blokhin_an@hq.macro.ru
Россия, 199004, Санкт-Петербург, Большой пр., 31
Список литературы
- Goel A., Kunnumakkara A.B., Aggarwal B.B. // Biochem. Pharmacol. 2008. V. 75. P. 787.
- Xu P.H., Long Y., Dai F., Liu Z.L. // Vasc. Pharmacol. 2007. V. 47. P. 25.
- Zorofchian Moghadamtousi S., Abdul Kadir H., Hassandarvish P., Tajik H., Abubakar S., Zandi K. // BioMed Res. Int. 2014. V. 2014. P. 186864.
- Jagetia G.C., Aggarwal B.B. // J. Clin. Immunol. 2007. V. 27. P. 19.
- Shin G.H., Li J., Cho J.H., Kim J.T., Park H.J. // J. Food Sci. 2016. V. 81. P. 494.
- Moussa Z., Hmadeh M., Abiad M.G., Dib O.H., Patra D. // Food Chem. 2016. V. 212. P. 485.
- Drakalska E., Momekova D., Manolova Y., Budurova D., Momekov G., Genova M., Antonov L., Lambov N., Rangelov S. // Int. J. Pharm. 2014. V. 472. P. 165–174.
- Blokhin A.N., Razina A.B., Bursian A.E., Ten’kovtsev A.V. // Polymer Science B. 2021. V. 63. № 1. P. 52.
- Blokhin A.N., Razina A.B., Tenkovtsev A.V. // Key Eng. Mater. 2021. V. 899. P. 300.
- Ahmed M., Qadir M.A., Shafiq M.I., Muddassar M., Hameed A., Arshad M.N., Asiri A.M. // Acta Pharm. 2017. V. 67. P. 385.
- Соколова Ю.Д., Челнакова П.Н., Коновалов Е.В. // Universum: химия и биология. 2016. № 12 (30).
- Amirova A., Tobolina A., Kirila T., Blokhin A., Razina A., Tenkovtsev A., Filippov A. // Int. J. Polym. Anal. Charact. 2018. V. 23. P. 278.
- Amirova A., Blokhin A., Razina A., Tenkovtsev A., Filippov A. // Mendeleev Commun. 2019. V. 29. P. 472.
- Amirova A.I., Kirila T.U., Blokhin A.N., Razina A.B., Bursian A.E., Tenkovtsev A.V., Filippov A.P. // Mendeleev Commun. 2020. V. 30. P. 502.
- Kirila T. Amirova, A., Blokhin A., Tenkovtsev A., Filippov A. // Polymers. 2021. V. 13. P. 2507.
- Lebed A.S., Yefimova S.L., Guralchuk G.Ya., Sorokin A.V., Borovoy I.A., Malyukin Yu.V. // Biophysichny Vestnik. 2010. V. 24. P. 46.
- Mareeswaran P.M., Babu E., Sathish V., Kim B., Woob S.I., Rajagopala S. // New J. Chem. 2014. V. 38. P. 1336.
- Wang R., Yu Z. // Acta Phys.-Chim. Sin. 2007. V. 23. P. 1353.
- Nafisi S., Adelzadeh M., Norouzi Z., Sarbolouki M.N. // DNA Cell Biol. 2009. V. 28. P. 201.
- Mohammadi F., Bordbar A.K., Divsalar A., Mohammadi K., Saboury A.A. // Protein J. 2009. V. 28. P. 189.
Дополнительные файлы








