ТЕРМОДИНАМИКА ВЗАИМОДЕЙСТВИЯ ПОЛИПЕРФТОРСУЛЬФОНОВОЙ КИСЛОТЫ NAFION С ВОДОЙ
- Авторы: Чернюк С.Д.1,2, Сафронов А.П.1,3, Адамова Л.В.1, Бушкова О.В.2,4
-
Учреждения:
- Уральский федеральный университет им. первого Президента России Б.Н. Ельцина
- Институт химии твердого тела Уральского отделения Российской академии наук
- Институт электрофизики Уральского отделения Российской академии наук
- Институт проблем химической физики Российской академии наук
- Выпуск: Том 65, № 2 (2023)
- Страницы: 85-94
- Раздел: РАСТВОРЫ
- URL: https://ogarev-online.ru/2308-1120/article/view/135320
- DOI: https://doi.org/10.31857/S2308112023700463
- EDN: https://elibrary.ru/ZGTYUI
- ID: 135320
Цитировать
Полный текст
Аннотация
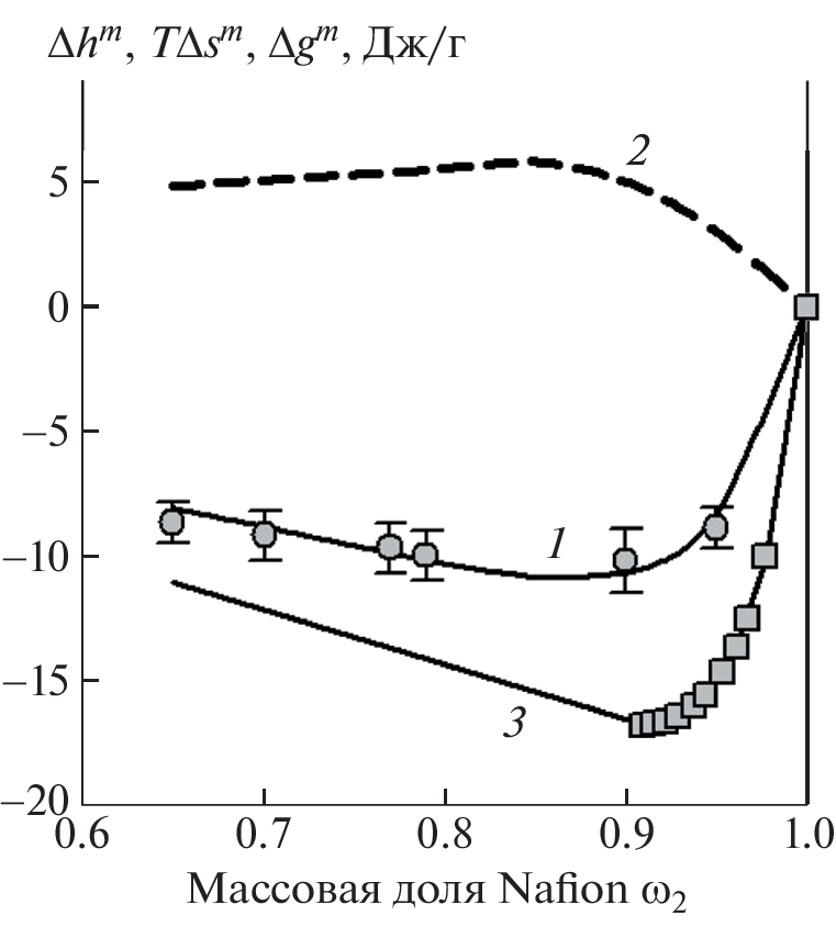
Методами изотермической сорбции и микрокалориметрии исследована термодинамика взаимодействия полиперфторсульфоновой кислоты Nafion с водой. Определены концентрационные зависимости энергетических и энтропийных параметров смешения водных растворов Nafion и показано, что энергия Гиббса и энтальпия смешения отрицательны, а энтропия смешения положительна во всем диапазоне составов раствора. Экспериментальные изотермы сорбции воды и концентрационные зависимости энтальпии разбавления водных растворов проанализированы с использованием термодинамической модели, учитывающей парные невалентные взаимодействия в растворе, неравновесную стеклообразную структуру полимера и эффекты диссоциации ионогенных сульфогрупп Nafion. Расчетное значение параметра Флори–Хаггинса составило 1.48, а значение его энтальпийной компоненты близко к нулю.
Об авторах
С. Д. Чернюк
Уральский федеральный университет им. первого Президента России Б.Н. Ельцина; Институт химии твердого тела Уральского отделения Российской академии наук
Email: univerekb@mail.ru
Россия, 620020, Екатеринбург, пр. Мира, 19; Россия, 620049, Екатеринбург, Первомайская ул., 91
А. П. Сафронов
Уральский федеральный университет им. первого Президента России Б.Н. Ельцина; Институт электрофизики Уральского отделения Российской академии наук
Email: univerekb@mail.ru
Россия, 620020, Екатеринбург, пр. Мира, 19; Россия, 620016, Екатеринбург, Амундсена ул., 106
Л. В. Адамова
Уральский федеральный университет им. первого Президента России Б.Н. Ельцина
Email: univerekb@mail.ru
Россия, 620020, Екатеринбург, пр. Мира, 19
О. В. Бушкова
Институт химии твердого тела Уральского отделения Российской академии наук; Институт проблем химической физики Российской академии наук
Автор, ответственный за переписку.
Email: univerekb@mail.ru
Россия, 620049, Екатеринбург, Первомайская ул., 91; Россия,
142432, Черноголовка, пр. Академика Семёнова, 1
Список литературы
- Kusoglu A., Weber A.Z. // Chem. Rev. 2017. V. 117. № 3. P. 987.
- Kim J., Yamasaki K., Ishimoto H., Takata Y. // Polymers. 2020. V. 1. № 3. P. 1730.
- Mazzapioda L., Lo Vecchio C., Danyliv O., Baglio V., Martinelli A., Navarra M. A. // Polymers. 2020. V. 12. № 3. P. 2019.
- Haubold H.G., Vad T., Jungbluth H., Hiller P. // Electrochim. Acta. 2001. V. 46. № 10. P. 1559–1563.
- Yeager H.L., Eisenberg A. // ACS Symp. Ser. Washington: ACS, 1982. V. 180. Ch. 4. P. 41.
- Schmidt-Rohr K., Chen Q. // Nature Mater. 2008. V. 7. P. 75.
- Ivanova N.A., Spasov D.D., Grigoriev S.A., Fateev V.N. // Polymers. 2022. V. 14. № 20. P. 4395.
- Thampan T., Malhotra S., Tang H., Datta R. // J. Electrochem. Soc. 2000. V. 147. № 9. P. 3242.
- Morris D.R., Sun X. // J. Appl. Polym. Sci. 1993. V. 50. № 8. P. 1445.
- Pineri M., Volino F., Escoubes M. // J. Polym. Sci., Polym. Phys. 1985. V. 23. № 10. P. 2009.
- Zawodzinski T.A., Springer T.E., Davey J., Jestel R., Lopez C., Valerio J., Gottesfeld S. // J. Electrochem. Soc. 1993. V. 140. № 7. P. 1981.
- Laporta M., Pegoraro M., Zanderighi L. // Polym. Chem. Chem. Phys. 1999. V. 1. № 19. P. 4619.
- Zawodzinski T.A., Derouin C., Radzinski S., Sherman R.J., Smith V.T., Springer T.E., Gottesfeld S. // J. Electrochem. Soc. 1993. V. 140. № 4. P. 1041.
- James P.J., Elliott J.A., McMaster T.J., Newton J.M., Elliott A.M., Hanna S., Miles M.J. // J. Mater. Sci. 2000. V. 35. № 20. P. 5111.
- Hinatsu J.T., Mizuhata M., Takenaka H. // J. Electrochem. Soc. 1994. V. 141. № 6. P. 1493.
- Vallieres C., Winkelmann D., Roizard D., Favre E., Scharfer P., Kind M. // J. Membr. Sci. 2006. V. 278. № 1–2. P. 357.
- Choi P., Datta R. // ACS Div. Fuel Chem. Prepr. 2003. V. 48. № 1. P. 300.
- Weber A.Z., Newman J. // J. Electrochem. Soc. A 2004. V. 151. № 2. P. 311.
- Reucroft P.J., Rivin D., Schneider N.S. // Polymer. 2002. V. 43. № 19. P. 5157.
- Benoit R.L., Figeys D. // Can. J. Chem. 1991. V. 69. № 12. P. 1985.
- Noppel M. // J. Geophys. Res.: Atmospheres. 2000. V. 105. № 15. P. 19779.
- Newsham D.M.T., Mendez-Lecanda E.J. // J. Chem. Thermodyn. 1982. V. 14. № 3. P. 291.
- Ostrovskii V.E., Gostev B.V. // J. Therm. Anal. 1996. V. 46. № 2. P. 397.
- Kusoglu A., Savagatrup S., Clark K.T., Weber A.Z. // Macromolecules. 2012. V. 45. № 18. P. 7467.
- Kim M.H., Glinka C.J., Grot S.A., Grot W.G. // Macromolecules. 2006. V. 39. № 14. P. 4775.
- Shi S.W., Dursch T.J., Blake C., Mukundan R., Borup R.L., Weber A.Z., Kusoglu A. // J. Polym. Sci., Polym. Phys. 2016. V. 54. № 5. P. 570.
- Li J.S., Yang X., Tang H.L., Pan M. // J. Membr. Sci. 2010. V. 361. № 1–2. P. 38.
- Safronov A.P., Adamova L.V. // Polymer Science A. 2002. V. 44. № 4. P. 408.
- Safronov A.P., Terziyan T.V. // Polymer Science A. 2008. V. 50. № 7. P. 733.
- Yeo R.S. // Polymer. 1980. V. 21. № 4. P. 432.
- Mourey T.H., Slater L.A., Galipo R.C., Koestner R.J. // J. Chromatogr. A. 2011. V. 1218. № 34. P. 5801.
- Чалых А.Е., Герасимов В.К., Чертков В.Г. // Высокомолек. соед. Б. 1994. Т. 36. № 12. С. 2077.
- Тагер А.А. Физико-химия полимеров. М.: Рипол Классик, 1978.
- Safronov A.P., Adamova L.V., Blokhina A.S., Kamalov I.A., Shabadrov P.A. // Polymer Science A. 2015. V. 57. № 1. P. 33.
- Chu D., Tryk D., Gervasio D., Yeager E.B. // J. Electroanal. Chem. 1989. V. 272. № 1–2. P. 277.
- Choi P., Jalani N.H., Datta R. // J. Electrochem. Soc. 2005. V. 152. № 3. E123.
- Wang D., Cornelius C.J. // J. Polym. Sci., Polym. Phys. 2017. V. 55. № 5. P. 435.
- Shinoda K. // J. Phys. Chem. 1977. V. 81. № 13. P. 1300.
Дополнительные файлы








