Thermo- and pH-Sensitive Behavior of Copolymers of N-Vinylcaprolactam with N-Vinylimidazole
- Authors: Vyshivannaya O.V.1, Parkhomenko E.R.2, Barabanova A.I.1, Vorozheykina A.V.1, Grinberg N.V.1, Burova T.V.1, Grinberg V.Y.1, Blagodatskikh I.V.1
-
Affiliations:
- Nesmeyanov Institute of Organoelement Compounds, Russian Academy of Sciences
- Moscow State University, Department of Physics
- Issue: Vol 65, No 3 (2023)
- Pages: 163-174
- Section: ПОЛИЭЛЕКТРОЛИТЫ
- URL: https://ogarev-online.ru/2308-1120/article/view/135315
- DOI: https://doi.org/10.31857/S2308112023700505
- EDN: https://elibrary.ru/MJWZBP
- ID: 135315
Cite item
Full Text
Abstract
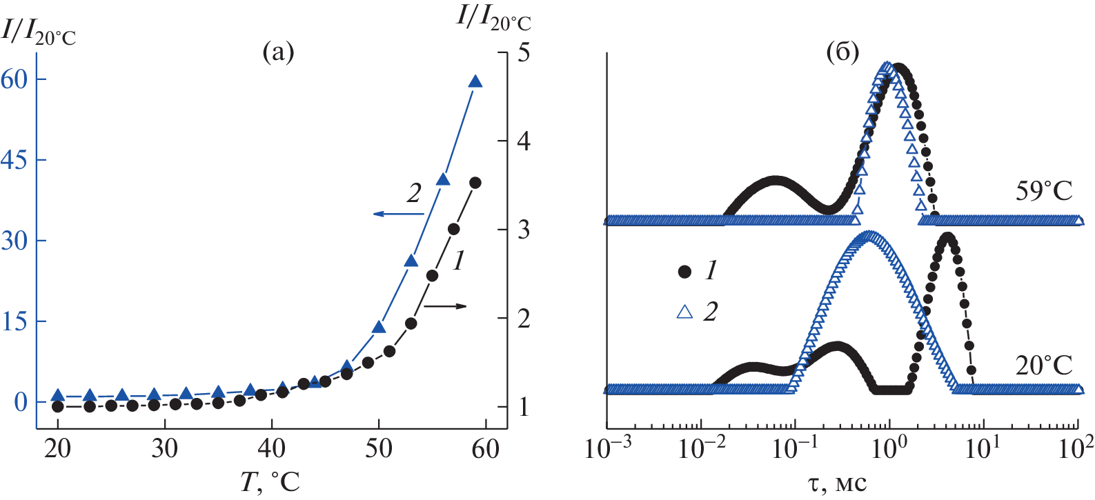
Free-radical copolymerization in bulk has afforded copolymers of N-vinylcaprolactam and N‑vinylimidazole (40–60 mol %). Thermosensitive behavior of aqueous solutions of the copolymers has been probed over wide pH range by means of dynamic and static light scattering as well as high-sensitivity differential scanning calorimetry. Three regions of thermally induced conformational behavior have been observed with the change in the medium pH from the alkaline to acidic: phase separation region (I), region of the conformational transition into the mesoglobules state (II), and region of stable molecular solution of the poly-electrolyte (III). Significant polyelectrolyte effects have been revealed for the salt-free solutions of the copolymers, reflected in the presence of fast and slow diffusion modes in the relaxation time distributions. Moderate increase in the ionic strength with the addition of the low-molecular salt has led to shielding of the polyelectrolyte effects, yet the pH-dependent regions of the conformational behavior have not been affected much. The existence of different types of the thermally induced conformational behavior depending on pH has been explained by the balance between hydrophobic interactions involving the N-vinylcaprolactam units and electrostatic interactions of the weakly basic N-vinylimidazole units.
About the authors
O. V. Vyshivannaya
Nesmeyanov Institute of Organoelement Compounds, Russian Academy of Sciences
Email: vyshivannaya@polly.phys.msu.ru
119334, Moscow, Russia
E. R. Parkhomenko
Moscow State University, Department of Physics
Email: vyshivannaya@polly.phys.msu.ru
119991, Moscow, Russia
A. I. Barabanova
Nesmeyanov Institute of Organoelement Compounds, Russian Academy of Sciences
Email: vyshivannaya@polly.phys.msu.ru
119334, Moscow, Russia
A. V. Vorozheykina
Nesmeyanov Institute of Organoelement Compounds, Russian Academy of Sciences
Email: vyshivannaya@polly.phys.msu.ru
119334, Moscow, Russia
N. V. Grinberg
Nesmeyanov Institute of Organoelement Compounds, Russian Academy of Sciences
Email: vyshivannaya@polly.phys.msu.ru
119334, Moscow, Russia
T. V. Burova
Nesmeyanov Institute of Organoelement Compounds, Russian Academy of Sciences
Email: vyshivannaya@polly.phys.msu.ru
119334, Moscow, Russia
V. Ya. Grinberg
Nesmeyanov Institute of Organoelement Compounds, Russian Academy of Sciences
Email: vyshivannaya@polly.phys.msu.ru
119334, Moscow, Russia
I. V. Blagodatskikh
Nesmeyanov Institute of Organoelement Compounds, Russian Academy of Sciences
Author for correspondence.
Email: vyshivannaya@polly.phys.msu.ru
119334, Moscow, Russia
References
- Gore S.A., Gholve S.B., Savalsure S.M., Ghodake K.B., Bhusnure O.G., Thakare V.M. // Int. J. Curr. Pharm. Rev. Res. 2017. V. 8. № 3. P. 298.
- Smart Polymers and their Applications / Ed. by M.R. Aguilar, J.S. Román Woodhead Publ., 2014.
- Chatterjee S., Hui P.C. // Molecules. 2019. V. 24. № 14. P. 2547.
- Kyritsis A., Laschewsky A., Papadakis C.M. // Thermodynamics and Biophysics of Biomedical Nanosystems / Ed. by C. Demetzos, N. Pippa Singapore: Springer, 2019. P. 397.
- Schild H.G. // Prog. Polym. Sci. 1992. V. 17. P. 163.
- Lanzalaco S., Armelin E. // Gels. 2017. V. 3. № 4. P. 36.
- Lau A.C.W., Wu Ch. // Macromolecules. 1999. V. 32. № 3. P. 581.
- Makhaeva E.E., Tenhu H., Khokhlov A.R. // Macromolecules. 1998. V. 31. № 9. P. 6112.
- Kozlovskaya V., Kharlampieva E. // ACS Appl. Polym. Mater. 2020. V. 2. P. 26.
- Vihola H., Laukkanen A., Valtola L., Tenhu H., Hirvonen J. // Biomaterials. 2005. V. 26. P. 3055.
- Maeda Y., Yamamoto H., Ikeda I. // Langmuir. 2001. V. 17. P. 6855.
- Wang B., Liu H.J., Jiang T.T., Li Q.H., Chen Y. // Polymer. 2014. V. 55. P. 6036.
- Okhapkin I.M., Bronstein L.M., Makhaeva E.E., Matveeva V.G., Sulman E.M., Sulman M.G., Khokhlov A.R. // Macromolecules. 2004. V. 37. P. 7879.
- Okhapkin I.M., Makhaeva E.E., Khokhlov A.R. // Adv. Polym. Sci. 2006. V. 195. P. 177.
- Ge Z.S., Xie D., Chen D.Y., Jiang X.Z., Zhang Y.F., Liu H.W., Liu S.Y. // Macromolecules. V. 40. P. 3538.
- Barabanova A.I., Blagodatskikh I.V., Vyshivannaya O.V., Muranov A.V., Peregudov A.S., Khokhlov A.R. // Polymer Science A. 2021. V 63. № 4. P. 382.
- Barabanova A.I., Blagodatskikh I.V., Vyshivannaya O.V., Klimova T.P., Grinberg N.V., Burova T.V., Muranov A.V., Lozinskii V.I., Grinberg V.Ya., Peregudov A.S., Khokhlov A.R. // Dokl. Chem. 2015. V. 465. № 1. P. 253.
- Mitrofanov A.Yu., Murashkina A.V., Barabanova A.I., Vorozheikina A.V., Zubavichus Ya.V., Khokhlov A.R., Beletskaya I.P. // Molec. Catal. 2023. V. 541. P. 112915.
- Lozinskii V.I., Simenel I.A., Khokhlov A.R. // Dokl. Chem. 2006. V. 410. P. 170.
- Lozinskii V.I., Simenel I.A., Kurskaya E.A., Kulakova V.K., Grinberg V.Y., Dubovik A.S., Galaev I.Y., Mattiasson B., Khokhlov A.R. // Dokl. Chem. 2000. V. 375. P. 273.
- Lozinsky V.I., Simenel I.A., Kulakova V.K., Kurskaya E.A., Babushkina T.A., Klimova T.P. // Macromolecules. 2003. V. 36. P. 7308.
- Lozinsky V.I., Simenel A., Semenova M.G., Belyakova L.E., Il’in M.M., Grinberg V.Y., Dubovik A.S., Khokhlov A.R. // Polymer Science A. 2006. V. 48. № 4. P. 435.
- Odian G. Principles of Polymerization. New York: Wiley-Interscience, 2004.
- Provencher S.W. // Comput. Phys. Commun. 1982. V. 27. P. 229.
- Light Scattering from Polymer Solutions / Ed. by M.B. Huglin. London; New York: Acad. Press, 1972.
- Aseyev V., Hietala S., Laukkanen A., Nuopponen M., Confortini O., Du Prez F.E., Tenhu H. // Polymer. 2005. V. 46. P. 7118.
- Yau W.W., Kirkland J.J., Bly D.D. Modern Size-Exclusion Liquid Chromatography: Practice of Gel Permeation and Gel Filtration Chromatography. New York: Wiley, 1979. P. 46.
- Burchard W. // Adv. Polym. Sci. 1999. V. 143. P. 113.
- Bodicomb J., Hara M. // Macromolecules. 1994. V. 27. № 25. P. 7369.
- Sedlac M. // Physical Chemistry of Polyelectrolytes / Ed. by T. Radeva. Boca Raton: CRC Press, 2001.
- Dawson K.A., Gorelov A.V., Timoshenko E.G., Kuznetsov Y.A., Du Chesne A. // Physica A. 1997. V. 244. P. 68.
- Lin S.C., Lee W.I., Schurr J.M. // Biopolymers. 1978. V. 17. P. 1041.
- Bodycomb J., Hara M. // Macromolecules. 1995. V. 28. P. 8190.
- Ermi B.D., Amis E.J. // Macromolecules. 1996. V. 29. P. 2701.
- Cong R., Temyanko E., Russo P. S., Edwin N., Uppu R.M. // Macromolecules. 2006. V. 39. P. 731.
- Zhou K.J., Li J.F., Lu Y.J., Zhang G.Z., Wu C. // Macromolecules. 2009. V. 42. P. 7146.
- Li J., Ngai T., Wu Ch. // Polym. J. 2010. V. 42. P. 609.
- https://xumuk.ru/encyklopedia/732.html
- Gorjian H., Fahim H., Ghaffary Khaligh N. // Turk. J. Chem. 2021. V. 45. P. 2007.
- Feng W., Gu W., Zhang L., Tantai, Jiang B., Yang H., Zhang H. // Transactions of Tianjin University. 2019. V. 25. P. 226.
- Vorozheikina A.V., Barabanova A.I., Khokhlov A.R. // Abstrs 7 Congress of Federation of Asian Polymer Societies FAPS2021. Vladivostok–Moscow, Russia, 2021. P. 60.
Supplementary files









