Molecular Properties of Protonated Diallylammonium Polymers Synthesized via Reversible Addition−Fragmentation Chain-Transfer Polymerization
- Authors: Yevlampieva N.P.1, Vezo O.S.1, Slyusarenko M.A.1, Gubarev A.S.1, Simonova Y.A.2, Eremenko I.V.2, Topchiy M.A.2, Timofeeva L.M.2
-
Affiliations:
- St. Petersburg State University
- Topchiev Institute of Petrochemical Synthesis, Russian Academy of Sciences
- Issue: Vol 65, No 4 (2023)
- Pages: 239-248
- Section: РАСТВОРЫ
- URL: https://ogarev-online.ru/2308-1120/article/view/135309
- DOI: https://doi.org/10.31857/S2308112023700554
- EDN: https://elibrary.ru/PYRPZN
- ID: 135309
Cite item
Full Text
Abstract
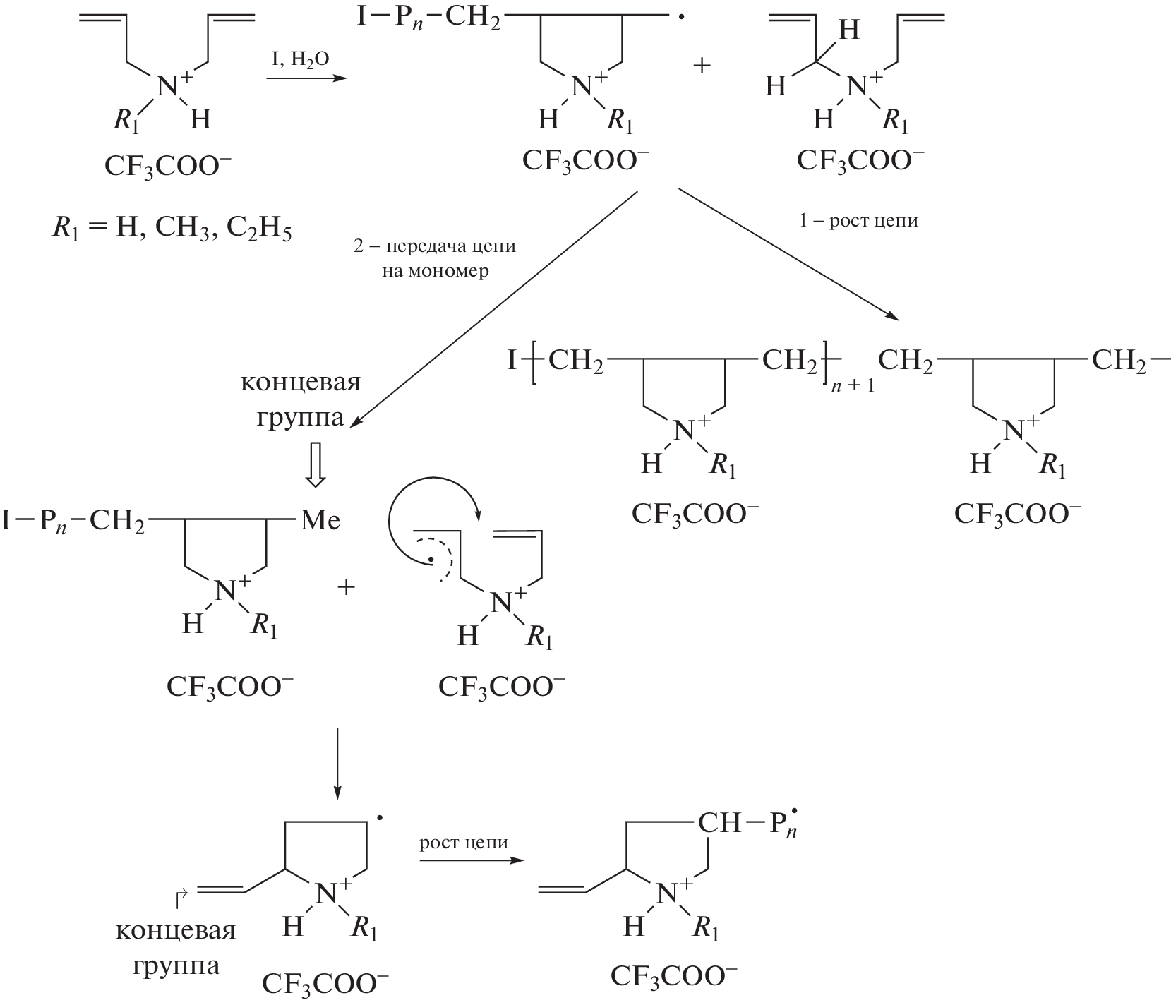
Protonated diallylammonium polymers are special among cationic polyelectrolytes, due to a series of properties including high antimicrobial activity, for example, towards Mycobacterium tuberculosis. The polymers samples should be characterized properly for their practical application. In this study, protonated secondary polydiallylamines based on diallylammonium trifluoroacetate have been synthesized via radical reversible addition−fragmentation chain-transfer polymerization in the presence of 2-[(ethoxycarbonothioyl)sulfanyl]acetic acid. The NMR spectroscopy data have shown that the macromolecules contain the dithiocarbonyl terminal groups enhancing the polymer solubility in nonaqueous media, for instance, in methanol. The obtained polymers have been investigated by means of hydrodynamics and dynamic light scattering methods; molecular mass and hydrodynamic parameters of the macromolecules have been determined. Comparison of the polymers with similar ones synthesized via conventional radical polymerization and bearing terminal vinyl groups has revealed the independence of their hydrodynamic properties in 1.0 mol/L NaCl on the synthesis method and the terminal groups structure at М > 8 × 103, thus allowing the application of the scaling relationships for the diallylammonium polymers to determine the molecular mass, irrespectively on the preparation methods.
About the authors
N. P. Yevlampieva
St. Petersburg State University
Email: n.yevlampieva@spbu.ru
199034, St. Petersburg, Russia
O. S. Vezo
St. Petersburg State University
Email: timofeeva@ips.ac.ru
199034, St. Petersburg, Russia
M. A. Slyusarenko
St. Petersburg State University
Email: timofeeva@ips.ac.ru
199034, St. Petersburg, Russia
A. S. Gubarev
St. Petersburg State University
Email: timofeeva@ips.ac.ru
199034, St. Petersburg, Russia
Yu. A. Simonova
Topchiev Institute of Petrochemical Synthesis, Russian Academy of Sciences
Email: timofeeva@ips.ac.ru
119991, Moscow, Russia
I. V. Eremenko
Topchiev Institute of Petrochemical Synthesis, Russian Academy of Sciences
Email: timofeeva@ips.ac.ru
119991, Moscow, Russia
M. A. Topchiy
Topchiev Institute of Petrochemical Synthesis, Russian Academy of Sciences
Email: timofeeva@ips.ac.ru
119991, Moscow, Russia
L. M. Timofeeva
Topchiev Institute of Petrochemical Synthesis, Russian Academy of Sciences
Author for correspondence.
Email: timofeeva@ips.ac.ru
119991, Moscow, Russia
References
- Timofeeva L.M., Vasilieva Yu.A., Klescheva N.A., Gromova G.L., Timofeeva G.I., Rebrov A.I., Topchiev D.A. // Macromol. Chem. Phys. 2002. V. 203. P. 2296.
- Timofeeva L.M., Klescheva N.A., Vasilieva Yu.A., Gromova G.L., Timofeeva G.I., Filatova M.P. // Polymer Science A. 2005. V. 47. № 6. P. 551.
- Simonova Y.A., Filatova M.P., Timofeeva L.M. // Polymer Science B. 2018. V. 60. № 4. P. 445.
- Timofeeva L.M., Klescheva N.A., Moroz A.F., Didenko L.V. // Biomacromolecules. 2009. V. 10. P. 2976.
- Timofeeva L.M., Klescheva N.A., Shleeva M.O., Filatova M.P., Simonova Yu.A., Ermakov Yu.A., Kapre-lyants A.S. // Appl. Microbiol. Biotechnol. 2015. V. 99. P. 2557.
- Chiefari J., Chong Y.K., Ercole F., Krstina J., Jeffery J., Le T.P.T., Mayadunne R.T.A., Meijs G.F., Moad C.L., Moad G., Rizzard E., Thang S.H. // Macromolecules. 1998. V. 31. P. 5559.
- Handbook of RAFT Polymerization / Ed. by C. Barner-Kowollik. Weinheim: Wiley, 2008.
- Destarac M., Bzducha W., Taton D., Gauthier-Gillaizeau I., Zard S.Z. // Macromol. Rapid. Commun. 2002. V. 23. P. 1049.
- Moad G., Chong Y.K., Postma A., Rizzardo E., Thang S.H. // Polymer. 2005. V. 46. P. 8458.
- Chernikova E.V., Sivtsov E.V. // Polymer Science B. 2017. V. 59. № 2. P. 117.
- Simonova Yu.A., Topchiy M.A., Filatova M.P., Yevlam-pieva N.P., Slyusarenko M.A., Bondarenko G.N., Asachenko A.F., Nechaev M.S., Timofeeva L.M. // Eur. Polym. J. 2020. V. 122. P. 109363.
- Michl T.D., Locock K.E.S., Stevens N.E., Hayball J.D., Vasilev K., Postma A., Qu Y., Traven A., Haeussler M., Meagher L., Griesser H.J. // Polym. Chem. 2014. V. 5. P. 5813.
- Willcock H., O’Reilly R.K. // Polym. Chem. 2010. V. 1. P. 149.
- Timofeeva L., Bondarenko G., Nikitushkin V., Simonova Yu., Topchiy M., Eremenko I., Shleeva M., Mulyukin A., Kaprelyants A. // Eur. Polym. J. 2022. V. 171C. P. 111214.
- Ito H., England W.P., Lundmark S.B. // Proc. SPIE. 1992. P. 1672.
- Bencherif S.A., Srinivasan A., Sheehan J.A., Walker L.M., Gayathri Ch., Gil R., Hollinger J.O., Matyjaszewski K., Washburn N.R. // Acta Biomater. 2009. V. 5. P. 1872.
- Wandrey C., Hernández-Barajas J., Hunkeler D. // Adv. Polym. Sci. 1999. V. 145. P. 123.
- Lezov A.V., Polushina G.E., Lezov A.A., Vlasov P.S., Domnina N.S. // Polymer Science A. 2011. V. 53. № 11. P. 93.
- Yevlampieva N., Vezo O., Simonova Yu., Timofeeva L. // Int. J. Polym. Analysis Character. 2018. V. 23. P. 403.
- Powell C.R., Foster J.C., Okyere B., Theus M.H., Matson J.B. // J. Am. Chem. Soc. 2016. V. 138. P. 13477.
- Tsvetkov V.N. Rigid-Chain Polymers. New York: Plenum Press, 1989.
- Schuck P., Gillis R.B., Besong T.M.D. // Analyst. 2014. V. 139. P. 79.
- Berne B.J., Pecora R. Dynamic Light Scattering: with Applications to Chemistry, Biology, and Physics. New York: Dover Publ., 2000.
- Dynals Software: https://www.photocor.ru/dynals
- Kulicke W.-M., Clasen C. Viscosimetry of Polymers and Polyelectrolytes. Berlin; Heidelberg: Springer, 2004.
- Chu B. Laser Light Scattering. Basic Principles and Practice. New York: Acad. Press, 1991.
- Yamakawa H., Fujii M. // Macromolecules. 1973. V. 6. P. 407.
- Tsvetkov V.N., Lavrenko P.N., Bushin S.V. // J. Polym. Sci., Polym. Chem. 1984. V. 22. P. 3447.
- Pavlov G., Frenkel S. // Analytical Ultracentrifugation. Dresden: Steinkopff-Verlag Darmstadt, 1995. V. 90. P. 101.
- Grube M., Cinar G., Schubert U.S., Nischang I. // Polymers (Basel). 2020. V. 12. P. 277.
Supplementary files









