Система магнитной фокусировки для сопровождения мощного релятивистского электронного потока
- Авторы: Кравченко В.Ф.1,2, Кураев А.А.3, Матвеенко В.В.3, Синицын А.К.3
-
Учреждения:
- Институт радиотехники и электроники им. В. А. Котельникова РАН
- МГТУ им. Н. Э. Баумана
- Белорусский государственный университет информатики и радиоэлектроники
- Выпуск: Том 13, № 3 (2024)
- Страницы: 7-21
- Раздел: ПРИБОРЫ И МЕТОДЫ ФИЗИКИ И ТЕХНИКИ СВЧ ДИАПАЗОНА
- URL: https://ogarev-online.ru/2225-4293/article/view/294124
- DOI: https://doi.org/10.25210/jfop‑2403-RQNCRH
- EDN: https://elibrary.ru/RQNCRH
- ID: 294124
Цитировать
Полный текст
Аннотация
Настоящая статья посвящена поиску оптимальных параметров системы магнитной фокусировки для сопровождения мощного релятивистского электронного потока с ускоряющим напряжением 200-600 кВ, током 1-5 кА для генератора СВЧ диапазона 5 ГГц. Для достижения поставленной цели использовался метод конечных элементов для решения двумерных уравнений Пуассона и методы Рунге-Кутта для решения системы обыкновенных дифференциальных уравнений. Получена математическая модель для анализа и оптимизации параметров системы магнитной фокусировки электронного потока, инжектируемого с лезвийного цилиндрического катода в направлении цилиндрического анода. Найдены геометрические и физические параметры такой системы, при которых обеспечивается формирование и сопровождение электронного потока с требуемыми параметрами в цилиндрической электродинамической системе заданного диаметра вблизи ее периодической структуры. В перспективе созданная модель может быть состыкована с моделями и методами расчета генераторов СВЧ сверхвысокой мощности на гофрированных электродинамических структурах.
Полный текст
Введение
Одним из основных элементов источника СВЧ-излучения сверхвысокой мощности ( ГВт) является импульсный ускоритель электронов с параметрами: энергия электронов 200–600 кэВ, ток электронов 0.5–5 кА. Для получения электронных пучков с указанными параметрами используются пушки с взрывоэмиссионными катодами, использующие различные схемы импульсных генераторов высоковольтного импульсного напряжения [1, 2]. При этом формирование и транспортировка вдоль электродинамической системы генератора СВЧ сильноточных релятивистских электронных пучков (РЭП) — одна из важных проблем мощной СВЧ электроники, поскольку требования к разбросу поперечных и продольных скоростей, стабильности толщины пучка довольно жесткие. Решение этой проблемы наталкивается на серьезные трудности, поскольку электроны пучка в вакууме расталкиваются, и приходится прибегать к различным способам для их удержания [3, 4]. Обычно с этой целью при формировании и транспортировке РЭП используется достаточно сильное внешнее продольное магнитное поле и компенсирующее действие положительных ионов. Однако компенсация сил расталкивания электронов с помощью сопровождающего магнитного поля еще не означает обязательного обеспечения требований к пучку.
Безусловно, при заведомо больших значениях магнитного сопровождающего поля пучок будет иметь незначительный поперечный разброс электронов, однако при этом, возможно, потребуются специальные системы охлаждения. Поэтому важным является выбор наименьшего значения магнитного поля, обеспечивающего требуемые характеристики РЭП. Задача экспериментального поиска таких приемлемых условий магнитной фокусировки слишком затратна, а часто вообще неосуществима. Поэтому в настоящей работе поставлена задача нахождения параметров магнитной системы, обеспечивающей необходимые требования к электронному пучку на основе вычислительного эксперимента.
1. Схема и принцип действия черенковского генератора
Наибольшая СВЧ мощность в сантиметровом диапазоне на сегодняшний день была получена с помощью импульсных многоволновых черенковских генераторов на релятивистском сильноточном электронном потоке. Физические процессы, происходящие при генерации, и различные подходы к методам моделирования черенковских генераторов, нашли отражение в [5, 6]. Классическая схема черенковского генератора представлена на рис. 1. Формируемый электронной пушкой мощный РЭП проходит вдоль периодического гофра электродинамической системы в виде отрезка гофрированного волновода, в которой, взаимодействуя с замедленной до скорости движения электронов гармоникой возбуждаемого электромагнитного СВЧ поля, отдает ему часть своей кинетической энергии. Как следует из описанных в литературе данных, для получения предельных значений электронного КПД генерации предъявляются достаточно жесткие требования к РЭП, подаваемому на вход электродинамической системы — разброс по энергиям не должен превосходить 5–10%, поперечные скорости не должны превышать 4–8%, толщина — не превышать Обеспечивает требуемые параметры РЭП магнитная система формирования и сопровождения в виде соленоида.
Рис. 1. Схема черенковского генератора.
Для отражения электромагнитного поля от пушечного конца используется отрезок волновода, имеющий закритический радиус и достаточную для затухания волны длину (на рис. 1 и ). Для этого также иногда используется прозрачная для РЭП электропроводящая сетка. Именно радиус закритической трубки (которая является анодом пушки), радиус пучка и его требуемая толщина (которые определяют радиус катода и расстояние катод-анод) являются исходными данными для расчета системы магнитной фокусировки. Минимальный радиус катушки соленоида определяется диаметром кожуха вакуумной изоляции. Длина соленоида должна обеспечивать однородность магнитного поля вдоль потока электронов от катода до их оседания на стенку после отдачи энергии СВЧ полю.
2. Выбор расчетной области формирования и сопровождения РЭП
Расчет системы магнитной фокусировки предполагает:
1) расчет магнитного поля в предполагаемой области движения электронов;
2) расчет электростатического поля, создаваемого между анодом и катодом;
3) расчет движения электронного потока, инжектируемого с острийного катода.
Выбираемая расчетная область, на границах которой задаются граничные условия при расчете электрического поля, окаймлена на рис. 2 пунктирной линией. Ее размеры R, L определяются задаваемыми размерами катода, анода и диаметром вакуумного кожуха. Анод и кожух находились под нулевым потенциалом, катод — под заданным отрицательным потенциалом 200–600 кВ. Длина выбирается такой, чтобы электрическое поле было нулевым при z = L. Соленоид представляет собой намотку Nv витков в один слой, средний радиус Rv, и провода заданного диаметра Dv, равномерно распределенные на заданной длине. Для получения приближенных оценок магнитное поле задавалось постоянным (эти параметры являются входными данными).
Рис 2. Расчетная область формирования РЭП.
3. Математическая постановка задачи в размерных переменных
Для моделирования процесса формирования и сопровождения электронного потока воспользуемся методом крупных частиц. Ввиду цилиндрической симметрии введем крупную частицу в виде кольца конечного поперечного сечения с радиальной деформацией. Траектория движения такой l-й частицы описывается следующей системой уравнений движения:
. (1)
Здесь ; ; ; — скорость крупной частицы, — ее координаты; , — значения электрического и магнитного полей в точке нахождения крупной частицы.
Ввиду того, что расчет производится для установившегося электронного потока, уравнения движения записаны в «Z» системе. В этом случае нет необходимости пересчитывать времена электронов, и система (1) содержит только четыре уравнения для каждой частицы.
Начальные условия для электронных частиц задавались в виде:
При z = h: ; ; здесь h — некоторое малое расстояние от острия катода, , — минимальный и максимальный радиусы цилиндрического электронного пучка на расстоянии h от острия катода. Проблемы образования прикатодной плазмы и ее влияние на характеристики электронного пучка здесь не рассматриваются.
Электрическое поле находится из решения краевой задачи для уравнения Пуассона, которое в цилиндрической системе координат записывается в виде
. (2)
Здесь — плотность заряда, — ток пучка, — площадь поперечного сечения пучка электронов, — скорость электроных частиц в сечении z, — область, занимаемая пучком электронов.
При приближенном подходе, когда электронный пучок близок к прямолинейному, что справедливо для рассматриваемого случая, на некотором удалении от катода можно пренебречь продольной силой расталкивания электронов. Тогда из полного поля u(r, z) можно выделить поперечную составляющую поля пространственного заряда :
; (3)
. (4)
Первый член в скобках (3) отвечает за силу расталкивания одноименных зарядов, второй определяет силу сжатия параллельных токов. В пучке, заполненном положительными ионами, силы расталкивания могут быть компенсированы, и наблюдается эффект самосжатия пучка [7]. В вакууме, если напряжение пучка имеет порядок 200–600 кВ, магнитная сила сжатия достигает половины силы расталкивания.
Задача в таком приближении значительно упрощается, т. к. достаточно один раз решить задачу для уравнения Лапласа (4) и рассчитать уравнения движения электронов (1).
Граничные условия к (2), (4) задавались следующим образом:
на аноде и кожухе: u = 0;
на катоде: ;
при в области между катодом и кожухом:
; (5)
при : .
Магнитное поле , задаваемое соленоидом, в общем случае находится из решения уравнения Пуассона для векторного потенциала, которое в цилиндрической системе координат записывается в виде:
; . (6)
Здесь — плотность тока в катушке.
Решение (6) для одного витка с током радиуса a, расположенного в начале координат, имеет вид
; (7)
здесь — координата витка катушки. Полное поле соленоида получается в виде суммы полей всех Nv витков, равномерно расположенных по его длине:
4. Математическая модель в безразмерных переменных
При численном решении выше сформулированных уравнений удобно перейти к следующим безразмерным переменным:
— относительная скорость частиц ( для напряжений 200–600 кВ);
— все геометрические размеры нормируем к расстоянию между катодом и анодом (безразмерные переменные, имеющие одинаковое наименование с размерными, помечаются штрихом);
— характерная частота (величина, обратная времени распространения света от катода к аноду) [c-1];
— значение электрического поля, выбранное для нормировки [в/с];
— безразмерное электрическое поле;
— безразмерное магнитное поле;
— безразмерный ток в катушке соленоида.
В принятых переменных уравнения движения (1), с учетом цилиндрических координат и наличия у электромагнитных полей только радиальной и продольной компонент (аксиальная симметрия), запишутся в виде
(8)
Начальные условия для электронных частиц задавались в следующем виде: при :
; ,
; ; , (9)
где — радиус катода, h — расстояние от острия катода до начала впуска электронов, — угол, под которым электроны разлетаются от острия , — значение потенциала в точке влета электрона, — скорость, которую приобретает электрон, пролетев разность потенциалов между острием () и точкой впуска .
Электрическое поле описывается безразмерными уравнениями, получаемыми из (2), (3), (4):
; (10)
; (11)
. (12)
Магнитное поле описывается безразмерными уравнениями, получаемыми из (6), (7), (8):
(13) .
5. Вычисление электрического поля пространственного заряда тонкого цилиндрического электронного пучка
Приближение поля заряда выражением (11) справедливо для протяженного пучка с постоянной скоростью. Вблизи катода эти условия не выполняются, поэтому ниже получено более корректное представление сил пространственного заряда.
Запишем потенциал распределенного с объемной плотностью заряда ( — точка наблюдения, — точка интегрирования) так
. (14)
Плотность заряда тонкого цилиндрического электронного пучка с током
.
Здесь — площадь поперечного сечения пучка (), — толщина пучка, a — средний радиус, — средняя скорость электронов.
Выделим кольцо токового заряда шириной (крупная частица), — толщина кольца. Для такого кольца .
Введем погонную плотность заряда . Тогда (1) в полярной системе координат
; (15)
, , ;
; (16)
. (17)
Радиальная компонента поля отдельного кольца тока при (определяет радиальную силу расталкивания отдельной частицы):
(18)
Радиальная и продольная компоненты поля соленоида длины [0, L]:
(19)
. (20)
Нас интересует запись (19), (20) в безразмерных переменных:
; (21)
. (22)
При r = a получаем радиальную и продольную составляющие поля пространственного заряда:
; (23)
. (24)
Заметим, что для электронного пучка с постоянной скоростью выражение (23) переходит в первый член формулы (11). Поэтому формула (11) справедлива для уже сформированного пучка, находящегося в области взаимодействия.
Вблизи же катода электроны на участке [0; ] разгоняются почти с нулевой начальной скорости до некоторой заданной . Так как в (23) находится в знаменателе, величина радиальной силы вблизи катода, рассчитанная по этой формуле, стремится к бесконечности. Вырождение снимается тем, что непосредственно у катода проявляется экранирующее действие проводящей эмитирующей поверхности, а также отсутствием заряда слева от катода. Поэтому при расчете движения электронов их начальные скорости задаются на некотором удалении от катода по формуле (9).
На рис. 3 представлены расчетные значения интеграла в (23)
для заданной линейной зависимости нарастания скорости электронов на интервале [0; 1]. За счет такого резкого возрастания поперечной силы расталкивания электроны на начальном участке испытывают значительные радиальные силы (на порядок больше, чем в сформированном пучке).
Рис. 3. Радиальная компонента поля пространственного заряда.
Вышеприведенная математическая модель реализована в виде компьютерной программы, возможности которой продемонстрированы в нижеприведенных результатах.
6. Характеристики магнитного поля соленоида
Область фокусировки погружена в продольное фокусирующее магнитное поле, создаваемое соленоидом (см. рис. 2). Соленоид имеет следующие параметры: число витков — 42; диаметр провода — 3.5; наружный диаметр соленоида — 120 мм; длина намотки соленоида — 180 мм.
Начало намотки соленоида пространственно находится на уровне среза катода, конец соленоида находится на расстоянии 120 мм от начала раструба резонатора. В программу могут быть введены различные значения указанных параметров соленоида.
На рис. 5 представлено характерное распределение магнитного поля (в теслах) в области фокусировки (от начала катушки до ее конца при радиусах, соответствующих области пролета электронного пучка) для катушки с вышеуказанными параметрами при токе A. Для других значений тока магнитное поле определяется простым умножением. Как хорошо видно из рис. 5в, величина Bz заметно спадает к краям соленоида (почти в два раза). В то же время в поперечном сечении области фокусировки магнитное поле остается практически постоянным (лишь незначительно меняется поперечная составляющая Br на краях соленоида).
Нижеприведенные расчеты указывают на то, что нарастание поля в области формирования пучка электронов приводит к значительному повышению доли поперечной составляющей скорости, что крайне нежелательно.
Выровнять поле вдоль соленоида возможно за счет неравномерной намотки (увеличением количества витков на концах катушки) или увеличением ее длины.
7. Характеристики электростатического поля между катодом и анодом
Разработана геометрия системы фокусировки и рассчитанные по уравнениям (4) характерные эквипотенциальные линии, и трехмерные поверхности потенциала , и компонент Ez, Er представлены на рис. 3, 4, 6. Для расчетов выбраны размеры элементов пушки, предоставленные заказчиком. Лезвийный катод имеет внутренний радиус м, его толщина 0.001 м, и на кончике он имеет заострение с радиусом 0.0002 м. Внутренний радиус выступающего анода м, его толщина равна 0.005 м. Внутренний радиус вакуумного кожуха R = 0.055 м. Сравнение с расчетом при R, удаленном практически на бесконечность (см. рис. 3), показало, что начиная с R = 0.05 м он не оказывает существенного влияния на процесс формирования пучка.
Анализируя полученные поля Ez(r, z) и Er(r, z) (рис. 6), можно сделать следующие выводы об их особенностях и влиянии на процесс формирования пучка. Вблизи анода электростатические поля практически однородны, величины Er, Ez близки к нулю, в то же время в области анода электроны уже имеют значительную скорость. Это указывает на то, что форма и расположение анода мало влияют на процесс формирования. Значительные градиенты поля наблюдаются вблизи острия. Причем здесь как Ez, так и Er компоненты достигают очень больших значений (порядка 20 кВ/мм). Уже находясь на расстоянии порядка одного миллиметра вокруг острия, электроны прошли разность потенциалов 20–40 кВ. Это приводит к «разбрызгиванию» электронов по направлениям от –до +от оси z, что и учитывается в начальных условиях для электронов (9). В расчетах выбирался максимальный угол отклонения от оси . Для удержания такого изначально «разлетающегося» потока электронов необходимо значительное магнитное поле. Как показали расчеты, оно более чем в два-пять раз превосходит то, которого достаточно, чтобы удержать уже сформированный пучок.
Исходя из структуры поля вблизи острия, можно сделать вывод о потенциальных возможностях улучшения фокусировки электронного потока за счет подбора более оптимального профиля катода, введением неких электродов, выравнивающих радиальные составляющие электрического поля.
8. Характеристики процесса формирования электронного пучка
Электроны, вырываемые из острия катода, ускоряются и летят к аноду. Действие силы Лоренца в скрещенных магнитном и электрическом полях при достаточно больших значениях приводит к тому, что поперечная траектория представляет собой эпитрохоиду с большим радиусом, равным радиусу катода, и малым ларморовским радиусом. При малом ларморовском радиусе электроны лишь незначительно отклоняются от начального радиуса, равного радиусу катода . Поэтому если радиус анода больше, чем радиус катода, , электроны пролетают внутри цилиндрического катода.
Величина ларморовского радиуса и, следовательно, отклонение от начального радиуса катода определяются как начальными поперечными скоростями электронов (которые, как было показано ранее, значительны вблизи острия), так и действием поперечной силы пространственного заряда.
Задача значительно усложняется для электронных потоков большой мощности, имеющих большое значение плотности тока ( — площадь поперечного сечения электронного потока). В этом случае поле заряженных электронов (поле пространственного заряда ) по величине оказывается сопоставимым с ускоряющим электростатическим полем и приводит, с одной стороны, к необходимости увеличения магнитного фокусирующего поля, с другой стороны — к ограничению тока полем заряда.
Для предварительных расчетов действия поля пространственного заряда при движении ускоренных электронов вдали от катода (где начальные поперечные скорости электронов отсутствуют и действует только поперечная сила поля пространственного заряда) внутри цилиндрического анода использовалась упрощенная модель, учитывающая только поперечную составляющую , рассчитанную по формуле (11).
Для уточненных расчетов использовалась модель движения электронов от острия катода до анода в электрическом поле, рассчитанном методом сеток, и , рассчитанное по формуле (23) (рис. 3).
Для тестовых проверок решалась задача итерационным методом частиц в ячейке с использованием стандартного метода конечных треугольных элементов для решения самосогласованной задачи Пуассона и движения электронов (2), (5), (8), (9).
9. Результаты расчетов
Были выполнены расчеты величины постоянного магнитного поля
,
необходимой для удержания уже сформированного электронного потока от оседания на стенки цилиндра для различных напряжений и токов пучка. Магнитное поле подбиралось таким, чтобы «распушение» пучка не превосходило 0.5 см. Результаты приведены в табл. 1.
Последний вариант таблицы рассчитан методом итераций. Если ограничить «распушение» электронного пучка величиной 0.25 см, то величина магнитного поля должна быть увеличена в 1.5 раза.
Эти расчеты показали, что для удержания в заданных пределах уже сформированного ускоренного до заданной скорости электронного пучка требуются не слишком большие значения величины магнитного поля. При этом разброс скоростей электронов по энергиям и величина поперечной составляющей скорости не превосходят 2–3%.
Таблица 1. Расчеты величины постоянного магнитного поля
№ варианта | [кВ] | [к] | [Tл] |
1 | 200 | 0.5 | 0.071 |
2 | 200 | 1.0 | 0.125 |
3 | 200 | 2.0 | 0.196 |
4 | 250 | 0.5 | 0.089 |
5 | 250 | 1.0 | 0.128 |
6 | 250 | 2.0 | 0.187 |
7 | 300 | 0.5 | 0.087 |
8 | 300 | 1.0 | 0.125 |
9 | 300 | 2.0 | 0.169 |
10 | 250 | 1.5 | 0.150 |
Рис. 4. Геометрия расположения катода и анода и линии уровня: а) вблизи острийного катода; б) вблизи лезвийного катода 1 и анода 2.
Ниже приведены результаты расчетов по уточненной модели, учитывающей реальный начальный разброс скоростей как по энергиям, так и по углу разброса (). Начальный встрел электронов осуществлялся на расстоянии h = 0.0005 м от острия (). Расчет по формуле (9) показал, что начальные энергии встреливаемых электронов достигают 20–45 кВ (0.27–0.4) при рассматриваемых напряжениях 200–600 кВ. Магнитное поле соленоида рассчитывалось по формулам (13) (рис. 3) и имело реальную продольную неоднородность в области формирования в зависимости от расположения катушки соленоида относительно острия катода.
Рис. 5. Распределение магнитного поля соленоида для Nv = 42, м, Ls = 0.18 м, A; a) поверхность ; б) поверхность ; в) графики и .
Рис. 6. Распределение электрических компонент и .
Рассматривались два варианта расположения катушки соленоида:
- начало катушки совмещено с острием катода (); при этом магнитное поле нарастает практически вдвое от катода к аноду (рис. 7);
- начало катушки надвинуто на острие катода на 4 см (м), что обеспечивает практически постоянный уровень магнитного поля (рис. 8).
Рисунки 7–11 иллюстрируют характерные особенности формирования электронного потока при различных значениях напряжения и тока пучка, а также уровнях магнитного поля.
На всех рисунках:
а) изменение компонентов магнитного поля вдоль области формирования;
б) траектории электронов вдоль области формирования и расположение анода (острие катода при z = 0, r = 0.01);
в) изменение продольной (сплошная) и поперечной составляющих скорости электронов вдоль области формирования.
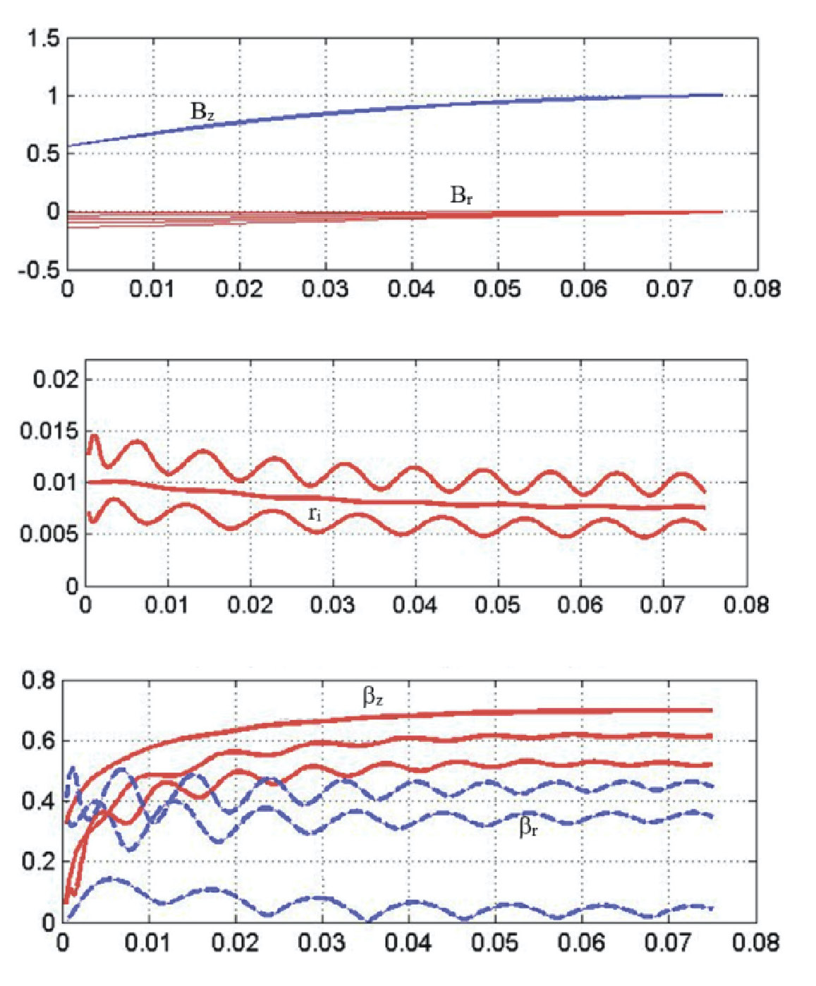
Рис. 7. Характеристики формирования пучка U = 200 кВ, А, А, , м.
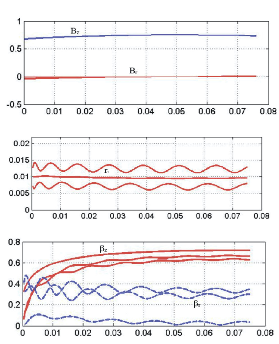
Рис. 8. Характеристики формирования пучка U = 200 кВ, А, А, м, м.
Рис. 9. Характеристики формирования пучка U = 200 кВ, А, А, м, м.
Рис. 10. Характеристики формирования пучка U = 200КВ, А, А, , м.
Рис. 11. Характеристики формирования пучка U=300 кВ, Io=1000 А, Jo=4000 А, Zs1= –0.4 м, Zs2=0.14 м.
Сравнение характеристик на рис. 7 и 8 указывает на то, что наличие подъема магнитного поля приводит, с одной стороны, к «поджатию» пучка, с другой — к увеличению поперечной составляющей скорости электронов, что крайне нежелательно. Величина и период колебаний электронных траекторий определяются ларморовским радиусом и зависят от величины магнитного поля.
Результаты расчетов для различных параметров формирования электронного потока сведены в табл. 2–4.
Таблица 2. Результаты расчетов для различных параметров формирования электронного потока. Часть 1
№ варианта | U0 [кВ] | I0 [кА] | B0z [T] | Dβz/βo | qs |
1 | 200 | 0.5 | 0.47⤫0.5 | 0.14 | 0.31 |
2 | 200 | 1.0 | 0.47⤫0.5 | 0.15 | 0.33 |
3 | 200 | 1.5 | 0.47⤫0.5 | 0.17 | 0.41 |
4 | 200 | 2.0 | 0.47⤫0.5 | 0.21 | 0.65 |
5 | 200 | 0.5 | 0.27⤫0.5 | 0.35 | 0.63 |
6 | 200 | 1.0 | 0.4⤫0.75 | 0.41 | 0.56 |
7 | 200 | 0.5 | 0.4⤫0.75 | 0.29 | 0.43 |
8 | 200 | 3.0 | 0.74⤫0.75 | 0.14 | 0.36 |
9 | 200 | 0.5 | 0.74⤫0.75 | 0.12 | 0.29 |
10 | 200 | 3.0 | 0.74⤫0.75 | 0.17 | 0.37 |
11 | 200 | 4.0 | 0.74⤫0.75 | 0.23 | 0.48 |
12 | 200 | 4.0 | 0.9⤫1.0 | 0.22 | 0.49 |
13 | 200 | 2.0 | 0.9⤫1.0 | 0.16 | 0.32 |
14 | 200 | 1.0 | 0.9⤫1.0 | 0.12 | 0.28 |
15 | 200 | 0.5 | 0.9⤫1.0 | 0.11 | 0.27 |
16 | 200 | 0.5 | 0.52⤫1.0 | 0.24 | 0.4 |
17 | 200 | 1.0 | 0.52⤫1.0 | 0.34 | 0.47 |
Здесь указаны: — параметр разброса продольных скоростей, отнесенный к средней полной скорости электронов; — усредненное по всем электронам значение питч-фактора, характеризующее наличие поперечной составляющей скорости электронов в сформированном пучке.
Таблица 3. Результаты расчетов для различных параметров формирования электронного потока. Часть 2
№ варианта | U0 [кВ] | I0 [кА] | B0z [T] | Dβz/βo | qs |
1 | 300 | 0.5 | 0.52⤫1.0 | 0.24 | 0.44 |
2 | 300 | 1.0 | 0.52⤫1.0 | 0.28 | 0.48 |
3 | 300 | 2.0 | 0.52⤫1.0 | 0.42 | 0.67 |
4 | 300 | 2.0 | 0.9⤫1.0 | 0.1 | 0.28 |
5 | 300 | 1.0 | 0.9⤫1.0 | 0.1 | 0.27 |
6 | 300 | 3.0 | 0.9⤫1.0 | 0.11 | 0.31 |
7 | 300 | 5.0 | 0.9⤫1.0 | 0.19 | 0.42 |
8 | 300 | 6.0 | 0.9⤫1.0 | 0.24 | 0.49 |
9 | 300 | 2.0 | 0.47⤫0.5 | 0.12 | 0.6 |
10 | 300 | 1.0 | 0.47⤫0.5 | 0.13 | 0.3 |
11 | 300 | 0.5 | 0.47⤫0.5 | 0.13 | 0.3 |
12 | 300 | 0.5 | 0.27⤫0.5 | 0.32 | 0.63 |
Таблица 4. Результаты расчетов для различных параметров формирования электронного потока. Часть 3
№ варианта | U0 [кВ] | I0 [кА] | B0z [T] | Dβz/βo | qs |
1 | 500 | 0.5 | 0.4⤫0.75 | 0.25 | 0.46 |
2 | 500 | 1.0 | 0.4⤫0.75 | 0.28 | 0.56 |
3 | 500 | 2.0 | 0.4⤫0.75 | 0.41 | 1.07 |
4 | 500 | 3.0 | 0.74⤫0.75 | 0.15 | 0.30 |
5 | 500 | 4.0 | 0.74⤫0.75 | 0.16 | 0.52 |
6 | 500 | 4.5 | 0.74⤫0.75 | 0.2 | 0.75 |
7 | 500 | 5.0 | 0.9⤫1.0 | 0.21 | 0.38 |
8 | 500 | 1.0 | 0.9⤫1.0 | 0.1 | 0.26 |
Заключение
Разработана математическая модель процесса формирования электронного пучка в вакуумной области между катодом и анодом, учитывающая все необходимые факторы расчета магнитного поля соленоида, электростатических полей при различной конфигурации области и электродов электронной пушки, расчет движения электронов в заданных электромагнитных полях сложной конфигурации. Выполнены расчеты системы магнитной фокусировки и сопровождения мощного релятивистского электронного потока в диапазоне параметров при ускоряющем напряжении 200–600 кВ и токе 1–5 кА. Полученные данные и метод анализа позволяют осуществлять выбор оптимальных параметров системы магнитной фокусировки и сопровождения мощного сильноточного пучка, инжектируемого с цилиндрического лезвийного взрывоэмиссионного катода, для генератора СВЧ диапазона 5 ГГц и могут стать основой при выборе конструктивных параметров электронных пушек с улучшенными параметрами.
Об авторах
В. Ф. Кравченко
Институт радиотехники и электроники им. В. А. Котельникова РАН; МГТУ им. Н. Э. Баумана
Автор, ответственный за переписку.
Email: kvf-ok@mail.ru
заслуженный деятель науки РФ, д. ф.- м. н., проф., гл. н. с., Институт радиотехники и электроники им. В. А. Котельникова РАН, проф. кафедры высшей математики ФН-1 МГТУ им. Н. Э. Баумана
Россия, Москва; МоскваА. А. Кураев
Белорусский государственный университет информатики и радиоэлектроники
Email: kurayev@bsuir.by
заслуженный деятель науки РБ, д. ф.- м. н., проф. кафедры информационных радиотехнологий
Белоруссия, МинскВ. В. Матвеенко
Белорусский государственный университет информатики и радиоэлектроники
Email: vladzimir66@bsuir.by
к. ф.- м. н., доцент кафедры вычислительных методов и программирования
Белоруссия, МинскА. К. Синицын
Email: kvf-ok@mail.ru
д. ф.- м. н., проф.
Список литературы
- Бугаев С.П., Ильин В.П., Кошелев В.И. и др. Формирование сильноточных релятивистских электронных пучков для мощных генераторов и ускорителей СВЧ // Релятивистская высокочастотная электроника. Материалы I Всесоюзного семинара. Горький, 1979. № 1. С. 5–17.
- Месяц Г.А. Импульсные ускорители для релятивистской СВЧ-электроники // Релятивистская высокочастотная электроника. Материалы IV Всесоюзного семинара. Горький, 1984. № 4. С. 192–216.
- Александров А.Ф., Галузо С.Ю., Зайцев Н.И. и др. Пространственно-временные характеристики РЭП // Релятивистская высокочастотная электроника. Материалы V Всесоюзного семинара. Горький, 1988. № 5. С. 163–182.
- Карбушев Н.И., Рухадзе А.А. Низкочастотные неустойчивости релятивистских электронных пучков, удерживаемых внешним магнитным полем // Генераторы и усилители на релятивистских электронных потоках. Под редакцией профессора В.М. Лопухина. М.: МГУ, 1987. С. 154–177.
- Бугаев С.П. и др. Физические процессы в многоволновых черенковских генераторах // Релятивистская высокочастотная электроника. Материалы V Всесоюзного семинара. Горький, 1988. № 5. С. 78–100.
- Батура М.П., Кураев А.А., Синицын А.К. Моделирование и оптимизация мощных электронных приборов СВЧ. Минск: БГУИР, 2006. 275 с.
- Меерович Э.А., Мейерович Б.Э. Методы релятивистской электродинамики в электронике и электрофизике. М.: Энергоатомиздат, 1987. 231 с.
Дополнительные файлы














