Деасфальтизация нефти с использованием ультрафильтрационных ПАН мембран
- Авторы: Юшкин А.А.1, Балынин А.В.1, Небесская А.П.1, Ефимов М.Н.1, Муратов Д.Г.1, Карпачева Г.П.1
-
Учреждения:
- Институт нефтехимического синтеза имени А.В. Топчиева
- Выпуск: Том 13, № 6 (2023)
- Страницы: 521-534
- Раздел: Статьи
- URL: https://ogarev-online.ru/2218-1172/article/view/231916
- DOI: https://doi.org/10.31857/S2218117223060093
- EDN: https://elibrary.ru/GKYDLV
- ID: 231916
Цитировать
Полный текст
Аннотация
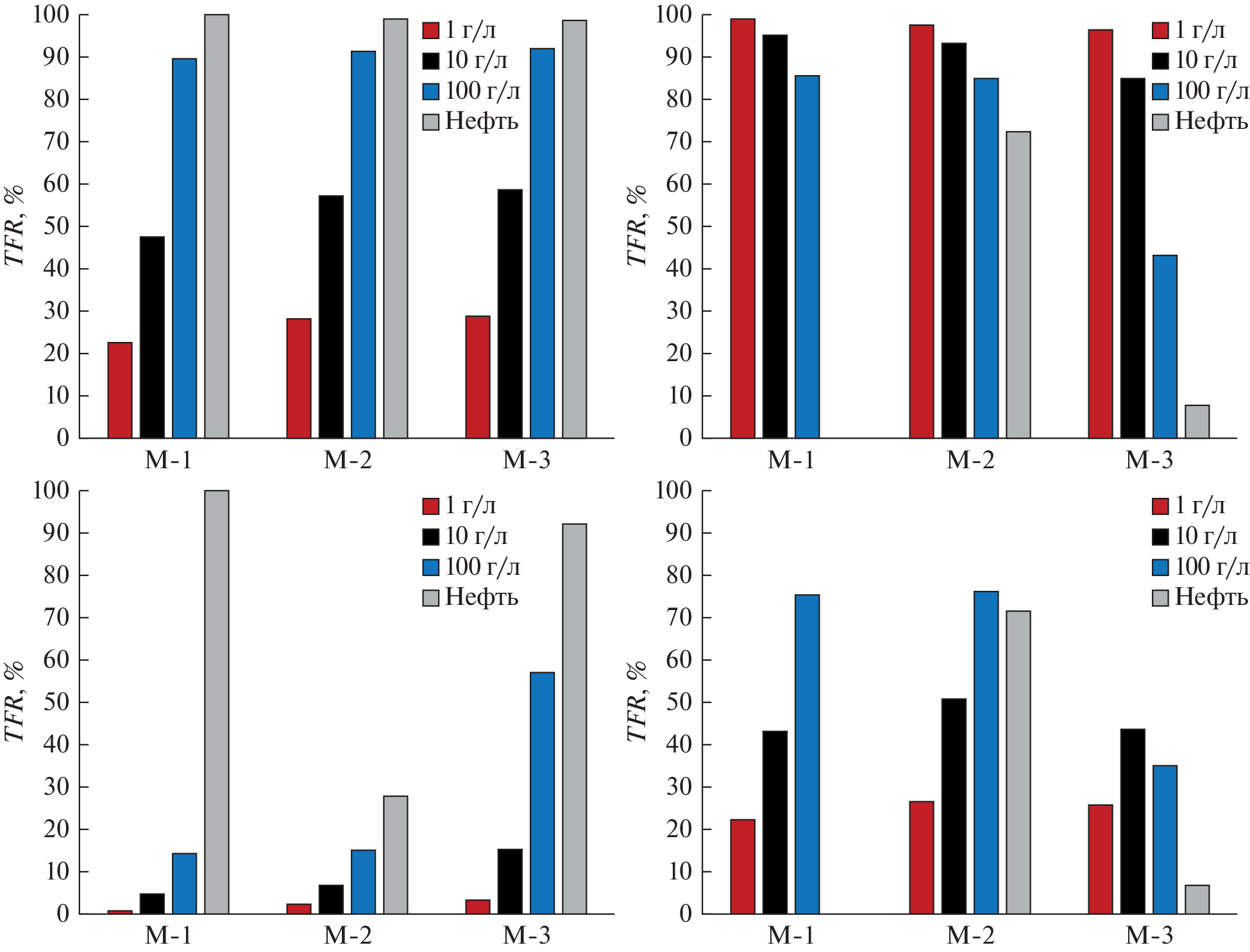
По мере разработки месторождений нефти в составе добываемого сырья повышается доля наиболее высокомолекулярных компонентов – асфальтенов. Склонность асфальтенов к агрегированию вызывает ряд проблем, что делает актуальной задачу деасфальтизации нефти. В данной работе были проведены исследования по выделению асфальтеновой фракции из нефти с использованием ПАН мембран. С целью снижения размера пор мембран, получаемых по методу инверсии фаз, в формовочный раствор вводили дополнительный компонент – ацетон. Проницаемость полученных мембран по воде составляла 37.6 ± 1.7 л/(м2 ч атм), а по толуолу – 25.3 ± 1.8 л/(м2 ч атм), а размер пор – 4.6 ± 0.5 нм. При фильтрации разбавленных толуолом растворов нефти (1 г/л) задерживающая способность мембран по асфальтенам составила 73 ± 4% и более 95%, если содержание нефти в растворе было более 10 г/л. Проведено исследование параметров засорения мембран при фильтрации растворов нефти в толуоле. Отмечается, что при переходе от толуола к растворам нефти проницаемость мембран снижается в 10 раз. В то же время, снижение проницаемости носит обратимый характер, и при замене раствора нефти чистым растворителем мембрана восстанавливала до 99% от исходной проницаемости.
Ключевые слова
Об авторах
А. А. Юшкин
Институт нефтехимического синтеза имени А.В. Топчиева
Автор, ответственный за переписку.
Email: Halex@ips.ac.ru
Россия, Москва
А. В. Балынин
Институт нефтехимического синтеза имени А.В. Топчиева
Email: Halex@ips.ac.ru
Россия, Москва
А. П. Небесская
Институт нефтехимического синтеза имени А.В. Топчиева
Email: Halex@ips.ac.ru
Россия, Москва
М. Н. Ефимов
Институт нефтехимического синтеза имени А.В. Топчиева
Email: Halex@ips.ac.ru
Россия, Москва
Д. Г. Муратов
Институт нефтехимического синтеза имени А.В. Топчиева
Email: Halex@ips.ac.ru
Россия, Москва
Г. П. Карпачева
Институт нефтехимического синтеза имени А.В. Топчиева
Email: Halex@ips.ac.ru
Россия, Москва
Список литературы
- Ганеева Ю.М., Юсупова Т.Н., Романов Г.В. // Успехи химии. 2011. Т. 80. № 10. С. 1034.
- Rogel E., Roye M., Vien J., Miao T. // Energy & Fuels. 2015. V. 29. № 4. P. 2143.
- Zuo P., Qu S., Shen W. // J. Energy Chemistry. 2019. V. 34. P. 186.
- Dechaine G.P., Gray M.R. // Energy & Fuels. 2010. V. 24. № 5. P. 2795.
- Farooq U., Patil A., Panjwani B., Simonsen G. // Energy & Fuels. 2021. V. 35. № 23. P. 19191.
- Alimohammadi S., Zendehboudi S., James L.A. // Fuel. 2019. V. 252. P. 753.
- Magomedov R.N., Pripakhaylo A.V., Maryutina T.A., Shamsullin A.I., Ainullov T.S. // Russian J. Applied Chemistry. 2019. V. 92. P. 1634.
- Хайрудинов И.Р., Ахметов М.М., Теляшев Э.Г. // Российский химический журн. 2006. Т. 50. № 1. С. 25.
- Mullins O.C., Seifert D.J., Zuo J.Y., Zeybek M. // Energy Fuels. 2012. V. 27. P. 1752.
- Maqbool T., Srikiratiwong P., Fogler H.S. // Energy & fuels. 2011. V. 25. № 2. P. 694.
- Jarrell T.M., Jin C., Riedeman J.S., Owen B.C., Tan X., Scherer A., Tykwinski R.R., Gray M.R., Slater P., Kenttämaa H.I. // Fuel. 2014. V. 133. P. 106.
- Tanaka R., Hunt J.E., Winans R.E., Thiyagarajan P., Sato S., Takanohashi T. // Energy & fuels. 2003. V. 17. № 1. P. 127.
- Rueda-Velasquez R.I., Freund H., Qian K., Olmstead W.N., Gray M.R. // Energy & fuels. 2013. V. 27. № 4. P. 1817.
- Han L., Zhang R., Bi J., Cheng L. // J. Analytical and Applied Pyrolysis. 2011. V. 91. № 2. P. 281.
- Султанов Ф.М., Хайрутдинов И.Р. // Мир нефтепродуктов. 2006. № 2. С. 15.
- Karambeigi M.A., Kharrat R. // Petroleum science and technology. 2014. V. 32. P. 1213.
- Behbahani T.J., Miranbeigi A.A., Sharifi K. // Heфтexимия. 2017. T. 57. № 5. C. 551.
- Marczewski A.W., Szymula M. // Colloids and Surfaces A: Physicochemical and Engineering Aspects. 2002. V. 208. P. 259.
- Abdallah W.A., Taylor S.D. // Nuclear Instruments and Methods in Physics Research Section B. 2007. V. 258. P. 213.
- Franco C., Patiño E., Benjumea P., Ruiz M.A., Cortés F.B. // Fuel. 2013. V. 105. P. 408.
- Ramirez-Corredores M.M. The science and technology of unconventional oils: finding refining opportunities. Academic press, 2017. P. 41.
- Duong A., Chattopadhyaya G., Kwok W., Smith K. // Fuel. 1997. V. 76. № 9. P. 821.
- Ashtari M., Ashrafizadeh S.N., Bayat M. // J. Petroleum Science and Engineering. 2012. V. 82. P. 44.
- Ashtari M., Bayat M., Sattarin M. // Energy Fuels. 2011. V. 25. № 1. P. 300.
- Chisca S. Musteata V.E., Zhang W., Vasylevskyi S., Falca G., Abou-Hamad E., Emwas A.-H., Altunkaya M., Nunes S.P. // Science. 2022. V. 376. № 6597. P. 1105.
- Barbier J., Marques J., Caumette G., Merdrignac I., Bouyssiere B., Lobinski R., Lienemann C.P. // Fuel Processing Technology. 2014. V. 119. P. 185.
- Marques J., Merdrignac I., Baudot A., Barré L., Guillaume D., Espinat D., Brunet S. // Oil & Gas Science and Technology-Revue de l’IFP. 2008. V. 63. № 1. P. 139.
- Ching M.J.T.M., Pomerantz A.E., Andrews A.B., Dryden P., Schroeder R., Mullins O.C., Harrison C. // Energy & Fuels. 2010. V. 24. № 9. P. 5028.
- Юшкин А.А., Балынин А.В., Нехаев А.И., Волков А.В. // Мембраны и мембранные технологии. 2021. Т. 11. № 2. С. 155.
- Yushkin A., Basko A., Balynin A., Efimov M., Lebedeva T., Ilyasova A., Pochivalov K., Volkov A. // Polymers. 2022. V. 14. P. 4603.
- Юшкин А.А., Балынин А.В., Ефимов М.Н., Муратов Д.Г., Карпачева Г.П., Волков А.В. // Мембраны и мембранные технологии. 2022. Т. 12. № 4. С. 286.
- Юшкин А.А., Балынин А.В., Небесская А.П., Ефимов М.Н., Бахтин Д.С., Баскаков С.А., Канатьева А.Ю. // Мембраны и мембранные технологии. 2023. Т. 13. № 4. С. 331.
Дополнительные файлы











