Kinetic Transport Coefficients Through a Bilayer Ion Exchange Membrane during Electrodiffusion
- Authors: Ugrozov V.V.1, Filippov A.N.2
-
Affiliations:
- Financial University under the Government of the Russian Federation
- Gubkin University
- Issue: Vol 13, No 6 (2023)
- Pages: 486-493
- Section: Articles
- URL: https://ogarev-online.ru/2218-1172/article/view/231895
- DOI: https://doi.org/10.31857/S2218117223060081
- EDN: https://elibrary.ru/MJEYWP
- ID: 231895
Cite item
Full Text
Abstract
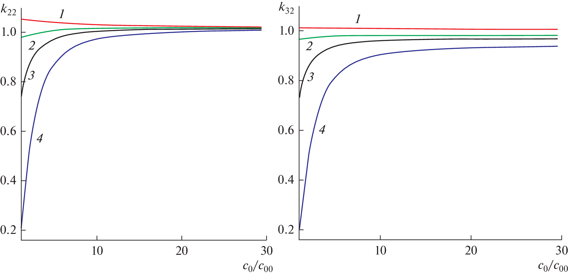
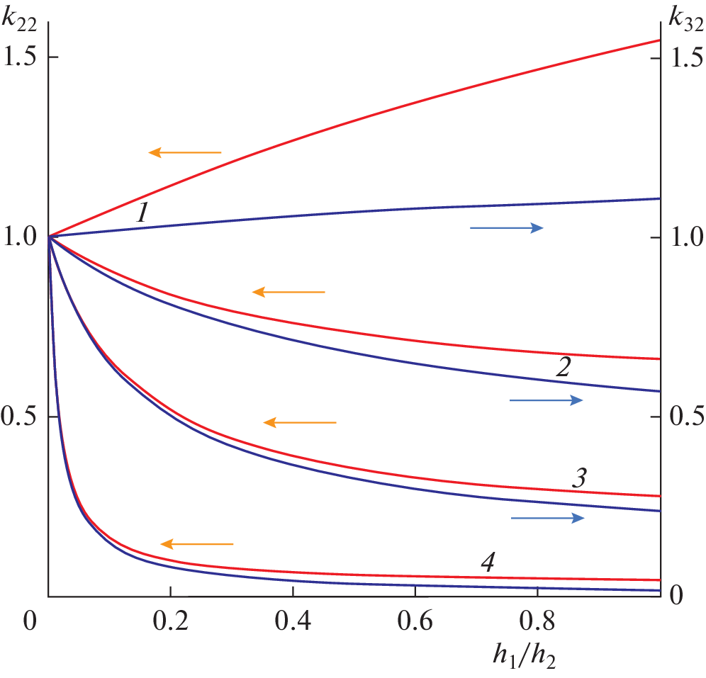
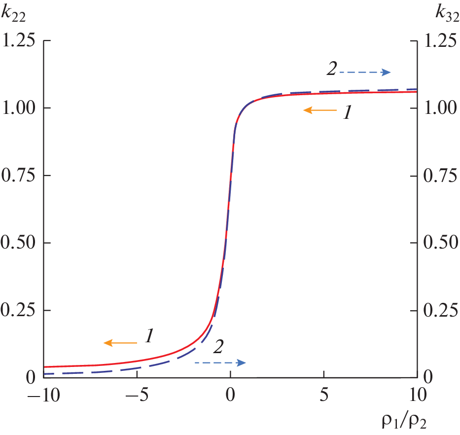
Analytical expressions for the specific coefficients of electrical conductivity and electrodiffusion through a bilayer ion exchange membrane during the electrodiffusion process are obtained within the framework of thermodynamics of irreversible processes and a homogeneous model of a fine-porous membrane. The influence of physicochemical characteristics of the modifying layer and electrolyte concentration on the values of the obtained coefficients at fixed physicochemical characteristics of the substrate has been investigated by the method of mathematical modelling. It is shown that electrical conductivity and electrodiffusion of the modified membrane at coincidence of signs of volume charges of the membrane layers increase with an increase of density of volume charge of the modifying layer and decrease at their difference or an increase of thickness of the modifying layer. With increasing electrolyte concentration, the abovementioned characteristics of the modified membrane increase regardless of the sign of the charges of the membrane layers. The obtained analytical expressions can be used in modelling electromembrane processes and predicting the parameters of new surface modified ion exchange membranes.
About the authors
V. V. Ugrozov
Financial University under the Government of the Russian Federation
Author for correspondence.
Email: vugr@rambler.ru
Russia, 125993, Moscow, Leningradsky Prospect, 49
A. N. Filippov
Gubkin University
Email: vugr@rambler.ru
Russia, 119991, Moscow, Leninsky Prospect, 65, building 1
References
- Larchet C., Zabolotsky V.I., Plisetskaya N., Nikonenko V.V., Tskhay A., Tastanov K. et al. // Desalination. 2008. V. 222. P. 489.
- Strathmann H. // Desalination. 2010. V. 264. P. 268.
- Apel P.Y., Bobreshova O.V., Volkov A.V., Volkov V.V., Nikonenko V.V., Stenina I.A., Filippov A.N., Yampolskii Y.P., Yaroslavtsev A.B. // Membr. Membr. Technol. 2019. V. 1. P. 45.
- Bergner D. // Chem. Ing. Tech. 1994. V. 66. P. 1026.
- Esmaeili N., Gray E.M., Webb C.J. // Chem. Phys. Chem. 2019. V. 20. P. 2016.
- Ramaswamy N., Mukerjee S. // Chem. Rev. 2019. V. 119. P. 11945.
- Kalathil A., Raghavan A., Kandasubramanian B. // Polym. Technol. Mater. 2019. V. 58. P. 465.
- De Groot S., Mazur P. // Non-Equilibrium Thermodynamics. Amsterdam: North-Holland, 1962.
- Заболоцкий В.И., Никоненко В.В. // Перенос ионов в мембранах. М.: Наука, 1996.
- Nikonenko V.V., Yaroslavtsev A.B., Pourcelly G. // Ion Transfer in and Through Charged Membranes: Structure, Properties, and Theory. In Ionic Interactions in Natural and Synthetic Macromolecules; John Wiley & Sons Inc.: Hoboken, NJ, USA, 2012. P. 267–335.
- Koter S. // J. Membr. Sci. 2002. V. 206. P. 201.
- Garcia-Morales V., Cervera J., Manzanares J.A. // J. Electroanal. Chem. 2007. V. 599. P. 203.
- Filippov A.N., Starov V.M., Kononenko N.A., Berezina N.P. // Adv. Colloid Interface Sci. 2008. V. 139. № 1–2. P. 29.
- Filippov A.N., Iksanov R.Kh., Kononenko N.A., Berezina N.P., Falina I.V. // Colloid J. 2010. V. 72. P. 243.
- Gnusin N.P., Zabolotsky V.I., Meshechkov A.I. // Russ. J. Phys. Chem. 1980. V. 54. P. 1518.
- Zabolotsky V.I., Nikonenko V.V. // J. Memb. Sci. 1993. V. 79. P. 181.
- Pourcelly G., Oikonomou An., Gavach C., Hurwitz H.D. // J. Electroanal. Chem. 1990. V. 287. P. 43.
- Devanathan R., Venkatnathan A., Rousseau R., Dupuis M., Frigato T., Gu W., Helms V. // J. Phys. Chem. B. 2010. V. 114. P. 13681.
- Pourcelly G., Oikonomou An., Gavach C., Hurwitz H.D. // J. Electroanal. Chem. 1990. V. 287. P .43.
- Nichka V.S., Mareev S.A., Porozhnyy M.V., Shkirskaya S.A., Safronova E.Y., Pismenskaya N.D., Nikonenko V.V. // Membr. Membr.Technol. 2019. V. 1. P. 190.
- Kozmai A.A., Pismenskaya N.N., Nikonenko V.V. // Int. J. Mol. Sci. 2022. V. 23. P. 2238.
- Филиппов А.Н. // Коллоид. журн. 2018. Т. 80. С. 745.
- Филиппов А.Н. // Коллоид. журн. 2018. Т. 80. С. 758.
- Filippov A.N., Philippova T.S. // Colloids Interfaces. 2022. V. 6. P. 34.
- Peters P.B., van Roij R., Bazant M.Z., Biesheuvel P.M. // Phys. Rev. 2016. E 93. P. 053108
- Ryzhkov I.I., Vyatkin A.S., Minakov A.V. // J. Siberian Federal University. Mathematics & Physics 2018. V. 11. № 2. P. 494.
- Balanneca B., Ghoufib A., Szymczyk A. // J. Membrane Sci. 2018. V. 552. № 15. P. 336.
- Falina I., Loza N., Loza E., Titskaya E., Romanyuk N. // Membranes. 2021. V. 11. P. 227.
- Andreeva M.A., Loza N.V., Pismenskaya N.D., Dammak L., Larchet C. // Membranes. 2020. V. 10. № 7. P. 145.
- Golubenko D.V., Yaroslavtsev A.B. // J. Membr. Sci. 2021. V. 635. 119466.
- Gil V.V., Andreeva M.A., Jansezian L., Han J., Pismenskaya N.D., Nikonenko V.V., Larchet C., Dammak L. // Electrochim. Acta 2018. V. 281. P. 472.
- Zhao, J. Sun L., Chen Q., Lu H., Wang J. // J. Membr. Sci. 2019. V. 582. P. 211.
- Afsar N.U., Shehzad M.A., Irfan M., Emmanuel K., Sheng F., Xu T., Ren X., Ge L., Xu T. // Desalination. 2019. V. 458. P. 25.
- Matthew Sheorn, Humayun Ahmad, Santanu Kundu // American Chemical Society. 2023. V. 1. № 2. P. 832.
- Filippov A.N. // Colloid J. 2016. V. 78. № 3. P. 397.
- Ugrozov V.V., Filippov A.N. // Colloid J. 2022. V. 84. № 6. P. 761.
- Березина Н.П., Кононенко Н.А., Филиппов А.Н., Шкирская С.А., Фалина И.В., Сычева А.А. // Электрохимия. 2010. Т. 46. С. 515.
- Długołecki P., Ogonowski P., Metz S.J., Saakes M., Nijmeijera K., Wessling M. // J. Membrane Science. 2010. V. 349. P. 369.
- Galama A.H., Hoog N.A., Yntema D.R. // Desalination. 2016. V. 380. P. 1.
Supplementary files






