Моделирование поглощения примеси из ламинарного потока в системе половолоконных мембран
- Авторы: Кирш В.А.1,2
-
Учреждения:
- Институт физической химии и электрохимии им. А.Н. Фрумкина Российской академии наук
- Институт нефтехимического синтеза им. А.В. Топчиева Российской академии наук
- Выпуск: Том 13, № 6 (2023)
- Страницы: 475-485
- Раздел: Статьи
- URL: https://ogarev-online.ru/2218-1172/article/view/231887
- DOI: https://doi.org/10.31857/S2218117223060068
- EDN: https://elibrary.ru/HONCTM
- ID: 231887
Цитировать
Полный текст
Аннотация
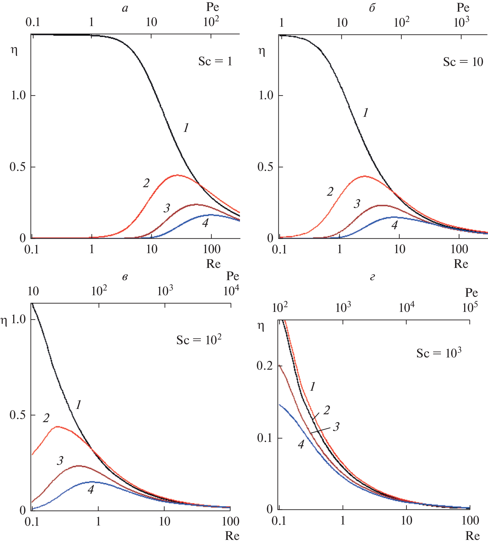
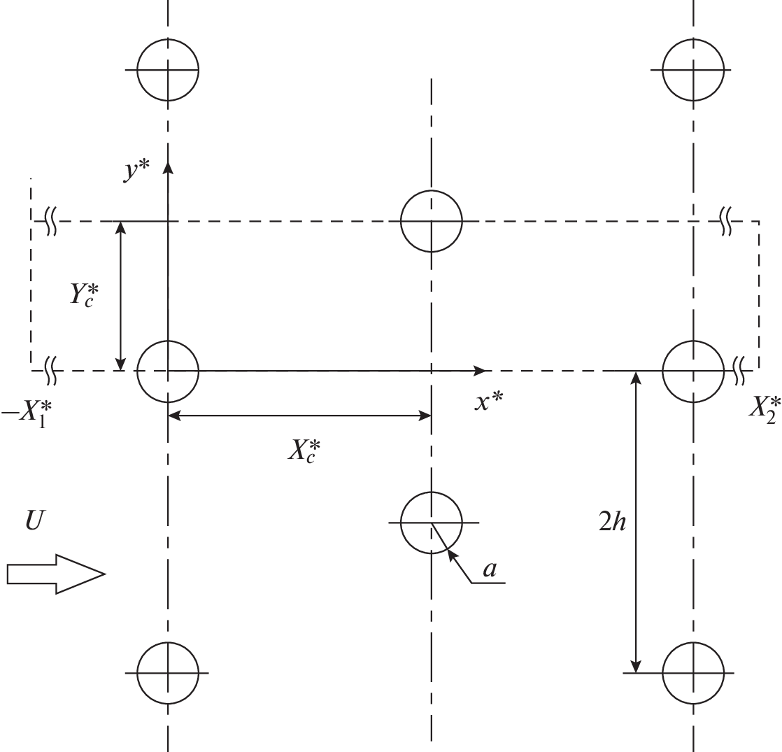
Рассчитаны внешнее стационарное течение вязкой несжимаемой жидкости и конвективно-диффузионный массоперенос растворенного вещества в упорядоченной системе параллельных половолоконных мембран, расположенных перпендикулярно потоку, в диапазонах чисел Рейнольдса \(\operatorname{Re} \) = = 0.01–100 и чисел Шмидта \({\text{Sc}}\) = 1−1000. Уравнения Навье–Стокса и уравнение конвективной диффузии решались с помощью методов вычислительной гидродинамики с граничным условием прилипания и условием постоянной концентрации примеси на внешней поверхности обтекаемого волокна. Расчеты выполнены для одного ряда волокон и для системы, состоящей из четырех и шестнадцати рядов волокон. Рассчитаны концентрации на выходе и коэффициенты поглощения примеси волокном \(\eta \) в зависимости от плотности упаковки волокон \(\alpha \) и чисел \(\operatorname{Re} \) и \({\text{Sc}}\). Показано, что коэффициент поглощения \(\eta \) волокна в изолированном ряду волокон может быть использован для расчета эффективности поглощения волокнистого слоя большой толщины.
Об авторах
В. А. Кирш
Институт физической химии и электрохимии им. А.Н. Фрумкина Российской академии наук; Институт нефтехимического синтеза им. А.В. Топчиева Российской академии наук
Автор, ответственный за переписку.
Email: va_kirsch@mail.ru
Россия, 119071, Москва, Ленинский проспект, 31; Россия, 119991, Москва, Ленинский проспект, 29
Список литературы
- Babu V.P., Kraftschik B.E., Koros W.J. Crosslinkable TEGMC asymmetric hollow fiber membranes for aggressive sour gas separations // J. Membr. Sci. 2018. V. 558. P. 94–105.
- Bazhenov S.D., Bildyukevich A.V., Volkov A.V. Gas-liquid hollow fiber membrane contactors for different applications // Fibers. 2018. V. 6. № 4. P. 76. https://doi.org/10.3390/fib6040076
- Malakhov A.O., Bazhenov S.D., Vasilevsky V.P., Borisov I.L., Ovcharova A.A., Bildyukevich A.V., Volkov V.V., Giorno L., Volkov A.V. Thin-film composite hollow fiber membranes for ethylene/ethane separation in gas-liquid membrane contactor // Sep. Purif. Technol. 2019. V. 219. P. 64–73. https://doi.org/10.1016/j.seppur.2019.02.053
- Ovcharova A., Vasilevsky V., Borisov I., Bazhenov S., Volkov A., Bildyukevich A., Volkov V. Polysulfone porous hollow fiber membranes for ethylene-ethane separation in gas-liquid membrane contactor // Sep. Purif. Technol. 2017. P. 183.
- Левич В.Г. Физико-химическая гидродинамика. М.: ГИФМЛ, 1959.
- Головин А.М., Лопатин В.А. Течение вязкой жидкости в двоякопериодических рядах цилиндров // ПМТФ. 1968. Т. 9. № 2. С. 99–105.
- Launder B.E., Massey T.H. The Numerical Prediction of Viscous Flow and Heat Transfer in Tube Banks // ASME J. Heat Transf. 1978. V. 100. P. 565–571.
- Martin A., Saltiel C., Shyy W. Frictional losses and convective heat transfer in sparse, periodic cylinder arrays in cross flow // Int. J. Heat Mass Transf. 1998. V. 41. P. 2383–2397.
- Kirsch V.A., Roldugin V.I., Bildyukevich A.V., Volkov V.V. Simulation of convective-diffusional processes in hollow fiber membrane contactors // Sep. Purif. Technol. 2016. V. 167. P. 63–69.
- Kirsch V.A., Bildyukevich A.V., Bazhenov S.D. Simulation of Convection–Diffusion Transport in a Laminar Flow Past a Row of Parallel Absorbing Fibers // Fibers. 2018. V. 6. № 4. https://doi.org/10.3390/fib6040090
- Kirsch V.A., Bazhenov S.D. Numerical simulation of solute removal from a cross-flow past a row of parallel hollow-fiber membranes // Sep. Purif. Technol. 2020. V. 242. P. 116834.
- Samarskii A.A., Vabishchevich P.N. Computational Heat Transfer, Volume 2: The Finite Difference Methodology, 2-nd ed.; John Wiley & Sons: Chichester, UK, 1995.
- Кирш В.А. Осаждение аэрозольных наночастиц в волокнистых фильтрах // Коллоидный журн. 2003. Т. 65. № 6. С. 795−801.
- Weinan E., Liu J.G. Vorticity Boundary Condition and Related Issues for Finite Difference Schemes // J. Comput. Phys. 1996, V. 124. № 2. P. 368–382.
- Berkovskii B.M., Polevikov V.K. Effect of the Prandtl number on the convection field and the heat transfer during natural convection (English transl.) // J. Eng. Phys. 1973. V. 24. P. 598–603.
- Emi H., Okuyama K., Adachi M. The effect of neighbouring fibers on the single fiber inertia-interception efficiency of aerosols // J. Chem. Engng. Japan. 1977. V. 10. № 3. P. 148–153.
- Kirsch A.A., Stechkina I.B. // Fundamentals of Aerosol Science / Ed. by Shaw D.T. N.Y.: Wiley-Interscience, 1978. Ch. 5. P. 165.
- Ландау Л.Д., Лифшиц И.М. Теоретическая физика. Т. 6. Гидродинамика. Издание 4-е. М.: Наука, 1988.
- Chernyakov A.L., Kirsh A.A., Roldugin V.I., Stechkina I.B. Diffusion deposition of aerosol particles on fibrous filters at small Peclet numbers // Colloid J. 2000. V. 62. P. 490–494.
- Kirsh V.A. Sedimentation of nanoparticles in a model fibrous filter at low Reynolds numbers // Russian J. Phys. Chem. Ser. A. 2005. V. 79. P. 2049–2052.
- Natanson G.L. Diffusional precipitation of aerosols on a streamlined cylinder with a small capture coefficient (English transl., Dokl. Akad. Nauk SSSR) // Proc. Acad. Sci. USSR Phys. Chem. Sec. 1957. V. 112. P. 21–25.
- Polyanin A.D., Kutepov A.M., Kazenin D.A., Vyazmin A.V. Hydrodynamics, Mass and Heat Transfer in Chemical Engineering. Series: Topics in Chemical Engineering (Book 14), 1st Ed.; CRC Press: Boca Raton, FL, USA, 2001; ISBN-10: 0415272378.
- Чечуев П.В., Кирш А.А. Диффузионное осаждение аэрозолей в модельном фильтре при малых числах Пекле // Журн. физ. хим. 1982. Т. 56. № 5. С. 1304–1305. WOS:A1982NR32200069.
- Clift R., Grace J.R., Weber M.E. Bubbles, Drops, and Particles. N.Y.: Academic Press, 1978.
- Lamb H. Hydrodynamics. Cambridge Univ. Press. London/N.Y., 1932.
- Фукс Н.А., Кирш А.А., Стечкина И.Б. Технический отчет № 264/72 “Повышение эффективности улавливания компрессорного масляного тумана”. М.: НИФХИ им. Л.Я. Карпова, 1972.
- Tomotika S., Aoi T. The steady flow of viscous fluid past a sphere and cylinder at small Reynolds number // Quart. J. Mech. Appl. Math. 1950. V. 3. P. 140–161.
- Dobry R., Finn R.K. Mass Transfer to a Cylinder at Low Reynolds Numbers // Ind. Engng. Chem. 1956. V. 48. P. 1540–1543.
- Miyagi T. Viscous flow at low Reynolds numbers past an infinite row of equal circular cylinders // J. Phys. Soc. Jpn. 1958. V. 13. P. 493–496.
- Keller J.B. Viscous flow through a grating or lattice of cylinders // J. Fluid Mech. 1964. V. 18. P. 94–96.
Дополнительные файлы











