Transport Properties and Structure of Anisotropic Composites Based on Cation Exchange Membranes and Polyaniline
- Авторлар: Loza N.V.1, Kutenko N.A.1, Kononenko N.A.1, Volfkovich Y.M.2, Sosenkin V.E.2
-
Мекемелер:
- Kuban State University
- Frumkin Institute of Physical Chemistry and Electrochemistry, RAS
- Шығарылым: Том 13, № 3 (2023)
- Беттер: 221-237
- Бөлім: Articles
- URL: https://ogarev-online.ru/2218-1172/article/view/138008
- DOI: https://doi.org/10.31857/S2218117223030057
- EDN: https://elibrary.ru/EPUCOD
- ID: 138008
Дәйексөз келтіру
Толық мәтін
Аннотация
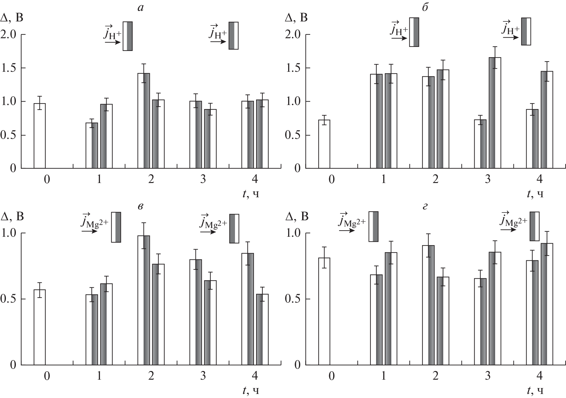
A comprehensive characterization of basic heterogeneous cation-exchange MK-40 and Ralex CMH membranes and composite membranes with polyaniline based on them was performed, including the determination of conductivity and diffusion permeability, measurement of current–voltage curves in solutions of sodium, calcium, magnesium chlorides and hydrochloric acid, distribution curves of water binding energy and effective pore radii, as well as an assessment of the transport-structural parameters of microheterogeneous model. The time of polyaniline synthesis on the surface of cation-exchange membranes by successive diffusion of an oxidizing agent and monomer solution through the membrane into water was determined. Samples with an anisotropic structure and asymmetric electrotransport properties were obtained. Based on the analysis of the electrotransport properties, structure characteristics and model transport-structural parameters of membranes in solutions of singly and doubly charged ions, the obtained materials were defined as promising for use in the processes of electrodialysis desalination of multicomponent solutions.
Авторлар туралы
N. Loza
Kuban State University
Хат алмасуға жауапты Автор.
Email: Nata_Loza@mail.ru
Russia, 350040, Krasnodar, Stavropolskaya st., 149
N. Kutenko
Kuban State University
Email: Nata_Loza@mail.ru
Russia, 350040, Krasnodar, Stavropolskaya st., 149
N. Kononenko
Kuban State University
Email: Nata_Loza@mail.ru
Russia, 350040, Krasnodar, Stavropolskaya st., 149
Yu. Volfkovich
Frumkin Institute of Physical Chemistry and Electrochemistry, RAS
Email: Nata_Loza@mail.ru
Russia, 119071, Moscow, Leninsky Ave., 31
V. Sosenkin
Frumkin Institute of Physical Chemistry and Electrochemistry, RAS
Email: Nata_Loza@mail.ru
Russia, 119071, Moscow, Leninsky Ave., 31
Әдебиет тізімі
- Merino-Garciaa I., Velizarov S. // Sep. Pur. Tech. 2021. V. 277. 119445.
- Al-Amshawee S., Yunus M.Y.B.M., Azoddein A.A.M., Hassell D.G., Dakhil I.H., Hasan H.A. // Chemical Engineering J. 2020. V. 380. 122 231.
- Gurreri L., Tamburini A., Cipollina A., Micale G. // Membranes. 2020. V. 10. № 7. P. 146.
- Jiang S., Sun H., Wang H., Ladewig B.P., Yao Z. // Chemosphere. 2021. V. 282. 130817.
- Stenina I., Golubenko D., Nikonenko V., Yaroslavtsev A. // Int. J. Mol. Sci. 2020. V. 21. № 15. P. 5517.
- Luo T., Abdu S., Wessling M. // J. Membr. Sci. 2018. V. 555. P. 429.
- Thakur A.K., Malmali M. // J. Environ. Chem. Eng. 2022. V. 10. Issue 5. 108295.
- Butylskii D.Yu., Troitskiy V.A., Sharafan M.V., Pismenskaya N.D., Nikonenko V.V. // Desalination. 2022. V. 537. 115821.
- Falina I., Loza N., Loza S., Titskaya E., Romanyuk N. // Membranes. 2021. V. 11. № 3. P. 227.
- Sata T., Sata T., Yang W. // J. Memb. Sci. 2002. V. 206. P. 31.
- Kumar M., Khan M.A., AlOthman Z.A., Siddiqui M.R. // Desalination. 2013. V. 325. P. 95.
- Протасов К.В., Шкирская С.А., Березина Н.П., Заболоцкий В.И. // Электрохимия. 2010. Т. 46. № 10. С. 1209. [англоязычная версия: Protasov K.V., Shkirskaya S.A., Berezina N.P., Zabolotskii V.I. // Rus. J. Electrochem. 2010. V. 46. № 10. P. 1131.]
- Титова Т.С., Юрова П.А., Кулешова В.А., Паршина А.В., Стенина И.А., Бобрешова О.В., Ярославцев А.Б. // Мембраны и мембранные технологии. 2021. Т. 11. № 6. С. 460. [англоязычная версия: Titova T.S., Yurova P.A., Stenina I.A., Yaroslavtsev A.B., Kuleshova V.A., Parshina A.V., Bobreshova O.V. // Membr. Membr. Technol. 2021. V. 3. № 6. P. 411.]
- Ben Jadi S., El Guerraf A., Kiss A., El Azrak A., Bazzaoui E.A., Wang R., Martins J.I., Bazzaoui M. // J. Solid State Electrochem. 2020. V. 24. P. 1551.
- Kononenko N.A., Loza N.V., Shkirskaya S.A., Falina I.V., Khanukaeva D.Y. // J. Solid State Electrochem. 2015. V. 19. P. 2623.
- Andreeva M.A., Loza N.V., Pis’menskaya N.D., Dammak L., Larchet C. // Membranes. 2020. V. 10. № 7. 145.
- Volfkovich Yu.M., Filippov A.N., Bagotsky V.S. Structural Properties of Porous Materials and Powders Used in Different Fields of Science and Technology. London: Springer, 2014.
- Березина Н.П., Кубайси А.А.Р. // Электрохимия. 2006. Т. 42. С. 91. [англоязычная версия: Berezina N.P., Kubaisi A.A.R. // Rus. J. Electrochem. 2006. V. 42. P. 81.]
- Карпенко Л.В., Демина О.А., Дворкина Г.А., Паршиков С.Б., Ларше К., Оклер Б., Березина Н.П. // Электрохимия. 2001. Т. 37. № 3. С. 328. [англоязычная версия: Karpenko L.V., Demina O.A., Dvorkina G.A., Parshikov S.B., Berezina N.P., Larchet C., Auclair B. // Rus. J. Electrochem. 2001. V. 37. № 3. P. 287.]
- Berezina N.P., Kononenko N.A., Dyomina O.A., Gnusin N.P. // Adv. Colloid Interface Sci. 2008. V. 139. P. 3.
- Akberova E.M., Vasil’eva V.I., Zabolotsky V.I., Novak L. // J. Membr. Sci. 2018. V. 566. P. 317.
- Демина О.А., Кононенко Н.А., Фалина И.В., Демин А.В. // Коллоидный журн. 2017. Т. 79. № 3. С. 259. [англоязычная версия: Demina O.A., Kononenko N.A., Falina I.V., Demin A.V. // Colloid J. 2017. V. 79. P. 317.]
- Березина Н.П., Кононенко Н.А., Филиппов А.Н., Шкирская С.А., Фалина И.В., Сычева А.А.-Р. // Электрохимия. 2010. Т. 46. № 5. С. 515. [англоязычная версия: Berezina N.P., Kononenko N.A., Shkirskaya S.A., Falina I.V., Filippov A.N., Sycheva A.A.-R. // Rus. J. Electrochem. 2010. V. 46. P. 485.]
- Березина Н.П., Шкирская С.А., Колечко М.В., Попова О.В., Сенчихин И.Н., Ролдугин В.И. // Электрохимия. 2011. Т. 47. № 9. С. 1066. [англоязычная версия: Berezina N.P., Shkirskaya S.A., Kolechko M.V., Popova O.V., Senchikhin I.N., Roldugin V.I. // Rus. J. Electroch. 2011. V. 47. P. 995.]
- Gnusin N.P., Berezina N.P., Kononenko N.A., Dyomina O.A. // J. Memb. Sci. 2004. V. 243. P. 301.
- Сухотин А.М. Справочник по электрохимии / А.М. Сухотин. Л.: Химия, 1981. 488 с.
- Stockmeier F., Michael Schatz M., Habermann M., Linkhorst J., Ali Mani A., Wessling M. // J. Membr. Sci. 2021. V. 640. 119846.
- Krol J.J., Wessling M., Strathmann H. // J. Membr. Sci. 1999. V. 162. Issues 1–2. 1999. P. 145.
- Belloň T., Slouka Z. // J. Membr. Sci. 2020. V. 610. 118291.
- Заболоцкий В.И., Шельдешов Н.В., Гнусин, Н.П. // Успехи химии. 1988. Т. LVII. С. 1403. [англоязычная версия: Zabolotskii V.I., Shel’deshov N.V., Gnusin N.P. // Russ. Chem. Rev. 1988. V. 57. P. 801.]
- Никоненко В.В., Мареев С.А., Письменская Н.Д., Узденова А.М., Коваленко А.В., Уртенов М.Х., Пурсели Ж.Э. // Электрохимия. 2017. Т. 53. С. 1266. [англоязычная версия: Nikonenko V.V., Mareev S.A., Pis’menskaya N.D., Kovalenko A.V., Urtenov M.K., Uzdenova A.M., Pourcelly G. // Russ. J. Electrochem. 2017. V. 53. P. 1122.]
- Zyryanova S., Mareev S., Gil V., Pismenskaya N., Sarapulova V., Rybalkina O., Boyko E., Nikonenko V., Korzhova E., Larchet C., Dammak L. // Int. J. Mol. Sci. 2020. V. 21. P. 973.
- Rubinstein I., Staude E., Kedem O. // Desalination. 1988. V. 69. Issue 2. P. 101.
- Ibanez R., Stamatialis D.F., Wessling M. // J. Membr. Sci. 2004. V. 239. P. 119.
- Akberova E.M., Vasil’eva V.I. // Electrochem. Commun. 2020. V. 111. 106659.
Қосымша файлдар












