Modification of Nafion Membrane by Polycation in the Presemce of Lower Alyphatic Alcohols and Salt
- Authors: Zakharova J.A.1, Sergeyev V.G.1
-
Affiliations:
- Lomonosov Moscow State University, Chemical department
- Issue: Vol 13, No 3 (2023)
- Pages: 194-204
- Section: Articles
- URL: https://ogarev-online.ru/2218-1172/article/view/138003
- DOI: https://doi.org/10.31857/S2218117223030094
- EDN: https://elibrary.ru/ETRQJI
- ID: 138003
Cite item
Full Text
Abstract
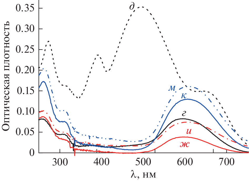
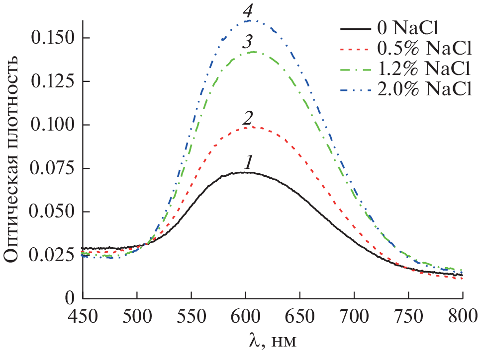
Significant increase of ion selectivity was observed for Nafion membranes modified by poly(diallyldimethylammonium chloride), PDADMAC, in the presence of lower aliphatic alcohols and NaCl. It was found that addition of the salt into the alcohol-containing modification solutions resulted not only in decrease of diffusional permeability towards vanadyl ions, P, but also in simultaneous two- to threefold growth of proton conductivity, σ, in comparison with the membranes modified in the alcohol-water solutions in the absence of a salt. As a result, ion selectivity of the membranes calculated as σ/P ratio was increased in ∼4 orders of magnitude as compared with pristine Nafion 112 membrane. Conceivable mechanism of the ion selectivity increasing is proposed for the membranes modified by PDADMAC in the presence of lower aliphatic alcohols and NaCl.
About the authors
Ju. A. Zakharova
Lomonosov Moscow State University, Chemical department
Author for correspondence.
Email: zakh@belozersky.msu.ru
Russia, 119899, Moscow
V. G. Sergeyev
Lomonosov Moscow State University, Chemical department
Author for correspondence.
Email: sergeyevvg@belozersky.msu.ru
Russia, 119899, Moscow
References
- Alent’ev A.Yu., Volkov A.V., Vorotyntsev I.V., Maksimov A.L., Yaroslavtsev A.B. // Membranes and Membrane Technologies. 2021. V. 3. P. 255.
- Wu J., Dai Q., Zhang H., Li X. // ChemSusChem. 2020.V. 13. P. 3805.
- Machado C.A., Brown G.O., Yang R., Hopkins T.E., Pribyl J.G., Epps T.H. // ACS Energy Lett. 2021. V. 6. P. 158.
- Mauritz K.A., Moore R.B. // Chem. Rev. // 2004. V. 104. P. 4535.
- Gierke T.D., Munn G.E., Wilson F.C. // J Polym. Sci. Polym. Phys. 1981, V. 19. P. 1687.
- Shi C., Liu T., Chen W., Cui F., Liu L., Cai Y., Li Y. // Polymer. 2021. V. 213. P. 123224.
- Stenina I.A., Yaroslavtsev A.B. // Membranes 2021. V. 11. P. 198.
- Апель П.Ю., Бобрешова О.В., Волков А. В., Волков В.В., Никоненко В.В., Стенина И.А., Филиппов А.Н., Ямпольский Ю.П., Ярославцев А.Б. // Мембраны и мембранные технологии, 2019. Т. 9. С. 59.
- Yaroslavtsev A.B., Stenina I.A. // Mendeleev Commun. 2021. V. 31. P. 423.
- Xiong P., Zhang L., Chen Y., Peng S., Yu G. // Angew. Chem. Int. Ed. 2021. V. 60. P. 2.
- Thiam B.G., Vaudreuil S.J. // Electrochem Soc. 2021. V. 168. P. 070553.
- Khoiruddin, Ariono D., Subagjo, Wenten I.G. // J. Appl. Polym. Sci. 2017. V. 134. P. 45540.
- Amiri H., Khosravi M., Ejeian M., Razmjou A. // Adv. Mater. Technol. 2021. V. 6. P. 2001308.
- Прихно И.А., Сафронова Е.Ю., Стенина И.А., Юрова П.А, Ярославцев А.Б. // Мембраны и мембранные технологии. 2020. Т. 10. С. 273.
- Yang X.-B., Zhao L., Goh K., Sui X.-L., Meng L.-H., Wang Z.-B. // J. Energy Chem. 2020. V. 41. P. 177.
- Hu L., Gao L., Yan X., Zheng W., Dai Y., Hao C., He G. // J. Mater. Chem. A. 2019. V. 7. P. 15 137.
- Jeon C., Choi C., Kim H.-T., Seo M. // ACS Appl. Energy Mat. 2020. V. 3. P. 5874.
- Xi J., Wu Z., Teng X., Zhao Y., Chen L., Qiu X. // J. Mater. Chem. 2008. V. 18. P. 1232.
- Deligoz H., Yilmazturk S., Karaca T., Ozdemir H., Naci Koc S., Oksuzomer F., Durmus A., Gurkaynak M.A. // J. Membr. Sci. 2009. V. 326. P. 643.
- Jiang S. P., Liu Z., Tian Z.Q. // Adv. Mater. 2006. V. 18. P. 1068.
- Elliotta J.A., Hannaa S., Elliott A.M.S., Cooley G.E. // Polymer. 2001 V. 42. P. 2251.
- Pyshkina O.A., Novoscoltseva O.A., Zakharova J.A. // Colloid Polym. Sci. 2019. V. 297. P. 423.
- Zakharova J.A., Zansokhova M.F., Karpushkin E.A., Sergeyev V.G. // Mend. Commun. 2021. V. 31. P. 839.
- Kasaikin V.A., Litmanovich E.A., Zezin A.B., Kaba-nov V.A. // Doklady Akademii Nauk SSSR. 1999. V. 367. P. 359.
- Campbell R.A., Arteta M.Y., Angus-Smyth A., Nylander T., Varga I. // J. Phys. Chem. B. 2011. V. 115. P. 15202.
- Pang F.-M., Seng C.-E., Teng T.-T., Ibrahim M.H. // J. Mol. Liq. 2007. V. 136. P. 71.
- Zakharova J.A., Novoskoltseva O.A., Pyshkina O.A., Karpushkin E.A., Sergeyev V.G. // Coll. Polym. Sci. 2018. V. 296. P. 835.
- Kondratenko M.S., Karpushkin E.A., Gvozdik N.A., Gallyamov M.O., Stevenson K.J., Sergeyev V.G. // J. Power Sources. 2017. V. 340. P. 32.
- Bradford M.M. // Anal. Biochem. 1976. V. 72. P. 248.
- Katzenberg A., Angulo A., Kusoglu A., Modestino M.A. // Macromolecules. 2021. V. 54. P. 5187.
- Saito M., Tsuzuki S., Hayamizu K., Okada T. // J. Phys. Chem. B, V. 110. P. 24410.
- Megriche A., Belhadj A., Mgaidi A. // Mediterr. J. Chem. 2012. V. 1. P. 200.
- Rabinovich V.A., Chavin Z.Ya. // Short chemical guide, Leningrad, 1978 (in Russian).
- Park J.-G., Lee S.-H., Hong Ju-K., Kim T.-G., Busnaina A.A. // J. Electrochem. Soc. 2006. V. 153. P. G811.
- Randova A., Hovorka S., Izaґk P., Bartovska L. // J. Electroanal. Chem. 2008. V. 616. P. 117.
- Pham T.D., Bui T.T., Nguen V.T., Bui T.K.V., Tran T.T., Pham Q.C., Hoang T.H. // Polymers. 2018. V. 10. P. 220.
- Luo Q., Zhang H., Chen J., Qian P., Zhai Y. // J. Memb. Sci. 2008. V. 311. P. 98.
- Claesson P. M., Poptoshev E., Blomberg E., Dedinaite A. // Adv. Coll. Interface Sci. 2005. V. 114–115. P. 173.
- Shyichuk A., Ziolkowska D., Lamkiewich J. // Spectrosc. Spectr. Anal. 2016. V. 36. P. 583.
- Compton S.J., Jones C.G. // Anal. Biochem. 1985. V. 151. P. 369.
- Clark S.L., Montague M.F., Hammond P.T. // Macromolecules. 1997. V. 30. P. 7237.
Supplementary files












