Исследование специфической адсорбции ионов кальция на поверхности гетерогенных и гомогенных катионообменных мембран для повышения их селективности к однозарядным ионам
- Авторы: Гиль В.В.1, Рулева В.Д.1, Порожный М.В.1, Шарафан М.В.1
-
Учреждения:
- ФГБОУ ВО Кубанский государственный университет
- Выпуск: Том 13, № 3 (2023)
- Страницы: 181-193
- Раздел: Статьи
- URL: https://ogarev-online.ru/2218-1172/article/view/138000
- DOI: https://doi.org/10.31857/S2218117223030045
- EDN: https://elibrary.ru/DUEXDW
- ID: 138000
Цитировать
Полный текст
Аннотация
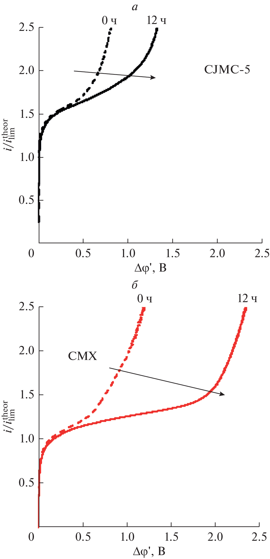
Ионообменные мембраны с высокой специфической селективностью к однозарядным ионам востребованы в различных отраслях промышленности. Одним из способов увеличения специфической селективности может быть формирование на поверхности мембраны тонкого слоя с зарядом, противоположным заряду ее фиксированных групп. Проведено исследование возможности формирования такого слоя за счет специфического взаимодействия ионов кальция с сульфонатными группами мембраны при проработке электрическим током высокой напряженности в растворе CaCl2. Изучена способность гетерогенных (МК-40, Ralex CMH) и гомогенных (CMX, CJMC-5) сульфокатионитовых мембран к специфической адсорбции ионов кальция на их поверхности. Показано, что в наибольшей степени такую способность проявляет мембрана CMX, что обусловлено большей плотностью групп \(--{\text{SO}}_{3}^{ - }\) на ее поверхности по сравнению с другими исследованными мембранами. Установлено, что формирование на поверхности мембраны CMX тонкого положительно заряженного слоя повышает значение коэффициента специфической селективной проницаемости мембраны, \({{P}_{{{{{\text{N}}{{{\text{a}}}^{{\text{ + }}}}} \mathord{\left/
{\vphantom {{{\text{N}}{{{\text{a}}}^{{\text{ + }}}}} {{\text{C}}{{{\text{a}}}^{{{\text{2 + }}}}}}}} \right.} {{\text{C}}{{{\text{a}}}^{{{\text{2 + }}}}}}}}}},\) на 69%. При этом наличие такого слоя не приводит к усилению нежелательной генерации ионов H+ и OH–, которое возникает при использовании широко применяемых в качестве модификаторов полиэлектролитов с аминогруппами.
Об авторах
В. В. Гиль
ФГБОУ ВО Кубанский государственный университет
Автор, ответственный за переписку.
Email: violetta_gil@mail.ru
Россия, 350040, Краснодар
В. Д. Рулева
ФГБОУ ВО Кубанский государственный университет
Email: violetta_gil@mail.ru
Россия, 350040, Краснодар
М. В. Порожный
ФГБОУ ВО Кубанский государственный университет
Email: violetta_gil@mail.ru
Россия, 350040, Краснодар
М. В. Шарафан
ФГБОУ ВО Кубанский государственный университет
Email: violetta_gil@mail.ru
Россия, 350040, Краснодар
Список литературы
- Luo T., Abdu S., Wessling M. // J. Membr. Sci. 2018. V. 555. P. 429–454.
- Pang X., Tao Y., Xu Y., Pan J., Shen J., Gao C. // J. Membr. Sci. 2020. V. 595. P. 117544.
- Ge L., Wu B., Yu D., Mondal A.N., Hou L., Afsar N.U., Li Q., Xu T., Miao J., Xu T. // Chin. J. Chem. Eng. 2017. V. 25. № 11. P. 1606–1615.
- Besha A.T., Tsehaye M.T., Aili D., Zhang W., Tufa R.A. // Membranes. 2019. V. 10. № 1. P. 7.
- Zhang Y., Paepen S., Pinoy L., Meesschaert B., Van der Bruggen B. // Sep. Purif. Technol. 2012. V. 88. P. 191–201.
- Tran A.T.K., Zhang Y., Lin J., Mondal P., Ye W., Meesschaert B., Pinoy L., Van der Bruggen B. // Sep. Purif. Technol. 2015. V. 141. P. 38–47.
- Liu R., Wang Y., Wu G., Luo J., Wang S. // Chem. Eng. J. 2017. V. 322. P. 224–233.
- Guo Z.-Y., Ji Z.-Y., Chen Q.-B., Liu J., Zhao Y.-Y., Li F., Liu Z.-Y., Yuan J.-S. // J. Clean. Prod. 2018. V. 193. P. 338–350.
- Sata T., Izuo R. // J. Membr. Sci. 1989. V. 45. № 3. P. 209–224.
- Kotoka F., Merino-Garcia I., Velizarov S. // Membranes. 2020. V. 10. № 8. P. 160.
- Femmer R., Mani A., Wessling M. // Sci. Rep. 2015. V. 5. № 1. P. 11583.
- Abdu S., Martí-Calatayud M.-C., Wong, J.E., García-Gabaldón M., Wessling M. // ACS Appl. Mater. Interfaces. 2014. V. 6. № 3. P. 1843–1854.
- Цыгурина К.А., Кириченко Е.В., Кириченко К.А. // Мембраны и мембранные технологии. 2022. Т. 12. № 1. С. 15–28. [Tsygurina K.A., Kirichenko E.V., Kirichenko K.A. // Membranes and Membrane Technologies. 2022. V. 4. № 1. P. 11–22.]
- Mulyati S., Takagi R., Fujii A., Ohmukai Y., Matsuyama H. // J. Membr. Sci. 2013. V. 431. P. 113–120.
- Stenina I., Golubenko D., Nikonenko V., Yaroslavtsev A. // Int. J. Mol. Sci. 2020. V. 21. № 15. P. 5517.
- Vaselbehagh M., Karkhanechi H., Takagi R., Matsuyama H. // J. Membr. Sci. 2015. V. 490. P. 301–310.
- White N., Misovich M., Yaroshchuk A., Bruening M.L. // ACS Appl. Mater. Interfaces. 2015. V. 7. № 12. P. 6620–6628.
- Merino-Garcia I., Kotoka F., Portugal C.A.M., Crespo J.G., Velizarov S. // Membranes. 2020. V. 10. № 6. P. 134.
- Zhao Y., Li Y., Yuan S., Zhu J., Houtmeyers S., Li J., Dewil R., Gao C., Van der Bruggen B. J. Mater. Chem. A. 2019. V. 7. P. 6348–6356.
- Falina I., Loza N., Loza S., Titskaya E., Romanyuk N. // Membranes. 2021. V. 11. № 3. P. 227.
- Güler E., van Baak W., Saakes M., Nijmeijer K. // J. Memb. Sci. 2014. V. 455. P. 254–270.
- Lambert J., Avila-Rodriguez M., Durand G., Rakib M. // J. Memb. Sci. 2006. V. 280. № 1–2. P. 219–225.
- Pan J., Ding J., Tan R., Chen G., Zhao Y., Gao C., Van der Bruggen B., Shen J. // J. Memb. Sci. 2017. V. 539. P. 263–272.
- Zhao Y., Tang K., Liu H., Van der Bruggen B., Sotto Díaz A., Shen J., Gao C. // J. Memb. Sci. 2016. V. 520. P. 262–271.
- Khoiruddin Ariono D., Subagjo Wenten I.G. // J. Appl. Polym. Sci. 2017. V. 134. № 48. P. 45540.
- Zhao Y., Tang K., Ruan H., Xue L., Van der Bruggen B., Gao C., Shen J. // J. Memb. Sci. 2017. V. 536. P. 167–175.
- Zhao Y., Zhu J., Ding J., Van der Bruggen B., Shen J., Gao C. // J. Memb. Sci. 2018. V. 548. P. 81–90.
- Zhao Y., Gao C., Van der Bruggen B. // Nanoscale. 2019. V. 11. P. 2264–2274.
- Golubenko D.V., Yaroslavtsev A.B. // J. Membr. Sci. 2021. V. 635. P. 119466.
- Golubenko D., Yaroslavtsev A. // J. Membr. Sci. 2020. V. 612. P. 118408.
- Titorova V.D., Moroz I.A., Mareev S.A., Pismenskaya N.D., Sabbatovskii K.G., Wang Y., Xu T., Nikonenko V.V. // J. Membr. Sci. 2022. V. 644. P. 120149.
- Nie X.-Y., Sun S.-Y., Sun Z., Song X., Yu J.-G. // Desalination. 2017. V. 403. P. 128–135.
- Berezina N.P., Kononenko N.A., Dyomina O.A., Gnusin N.P. // Adv. Colloid Interface Sci. 2008. V. 139. P. 3–28.
- Newman J.S. Electrochemical systems. N.J.: Prentice Hall, 1973. 432 p.
- Nikonenko V., Nebavsky A., Mareev S., Kovalenko A., Urtenov M., Pourcelly G. // Appl. Sci. 2018. V. 9. № 1. P. 25.
- Sata T., Sata T., Yang W. // J. Membr. Sci. 2002. V. 206. № 1–2. P. 31–60.
- Pismenskaya N.D., Pokhidnia E.V., Pourcelly G., Nikonenko V.V. // J. Membr. Sci. 2018. V. 566. P. 54–68.
- Nebavskaya K.A., Sarapulova V.V., Sabbatovskiy K.G., Sobolev V.D., Pismenskaya N.D., Sistat P., Cretin M., Nikonenko V.V. // J. Membr. Sci. 2017. V. 523. P. 36–44.
- Гиль В.В., Порожный М.В., Рыбалкина О.А., Саббатовский К.Г., Письменская Н.Д. // Мембраны и мембранные технологии. 2021. Т. 11. № 5. С. 371–381. [Gil V.V., Porozhnyy M.V., Rybalkina O.A., Sabbatovskiy K.G., Pismenskaya N.D. // Membranes and Membrane Technologies. 2021.V. 3. № 5. P. 334–343.]
- Rubinstein I., Zaltzman B. // Phys. Rev. Lett. 2015. V. 114. P. 114502.
- Mishchuk N.A. // Adv. Colloid Interface Sci. 2010. V. 160. № 1–2. P. 16–39.
- Левич В.Г. // Докл. АН СССР. 1959. Т. 124. С. 869–872.
- Dukhin S.S. // Adv. Colloid Interface Sci. 1991. V. 35. P. 173–196.
- Mishchuk N.A. // Colloids Surf. A Physicochem. Eng. Asp. 1998. V. 140. № 1–3.P. 75–89.
- Roghmans F., Evdochenko E., Stockmeier F., Schneider S., Smailji A., Tiwari R., Mikosch A., Karatay E., Kühne A., Walther A., Mani A., Wessling M. // Adv. Mater. Interfaces. 2018. V. 6. P. 1801309.
- Никоненко В.В., Мареев С.А., Письменская Н.Д., Узденова А.М., Коваленко А.В., Уртенов М.Х., Пурсели Ж. // Электрохимия. 2017. Т. 53. № 10. С. 1266–1289. [Nikonenko V.V., Mareev S.A., Pis’menskaya N.D., Uzdenova A.M., Kovalenko A.V., Urtenov M.Kh., Pourcelly G. // Russ. J. Electrochem. 2017. 53, 1122–1144.]
- Rubinstein I., Zaltzman B. // Phys. Rev. E. 2000. V. 62. P. 2238–2251.
- Rubinstein I., Zaltzman B. // Math. Models Methods Appl. Sci. 2001. V. 11. № 2. P. 263–300.
- Васильева В.И., Жильцова А.В., Акберова Э.М., Фатаева А.И. // Конденсированные среды и межфазные границы. 2014. Том 16. № 3. С. 257–261.
- Ponomar M., Krasnyuk E., Butylskii D., Nikonenko V., Wang Y., Jiang C., Xu T., Pismenskaya N. // Membranes. 2022. V. 12. № 8. P. 765.
- Sarapulova V., Shkorkina I., Mareev S., Pismenskaya N., Kononenko N., Larchet C., Dammak L., Nikonenko V. // Membranes. 2019. V. 9. № 7. P. 84.
- Güler E., Elizen R., Vermaas D.A., Saakes M., Nijmeijer K. // J. Memb. Sci. 2013. V. 446. P. 266–276.
- Simons R. // Nature. 1979. V. 280. P. 824–826.
- Заболоцкий В.И., Шельдешов Н.В., Гнусин Н.П. // Успехи химии. 1988. Т. 57. № 6. С. 1403–1414. [Zabolotskii V.I., Shel’deshov N.V., Gnusin N.P. // Russian Chemical Reviews. 1988. V. 57. № 8. P. 801–808.]
- Belloň T., Polezhaev P., Vobecká L., Svoboda M., Slouka Z. // J. Membr. Sci. 2019. V. 572. P. 607–618.
- Kang M.-S., Choi Y.-J., Moon S.-H. // Korean J. Chem. Eng. 2004. V. 21. P. 221–229.
- Zabolotskiy V.I., But A.Y., Vasil’eva V.I., Akberova E.M., Melnikov S.S. // J. Membr. Sci. 2017. V. 526. P. 60–72.
- Belloň T., Slouka Z. // J. Membr. Sci. 2020. V. 610. P. 118 291.
- Porozhnyy M.V., Shkirskaya S.A., Butylskii D.Y., Dotsenko V.V., Safronova E.Y., Yaroslavtsev A.B., Deabate S., Huguet P., Nikonenko V.V. // Electrochim. Acta. 2021. V. 370. P. 137689.
- Gil V., Porozhnyy M., Rybalkina O., Butylskii D., Pismenskaya N. // Membranes. 2020. V. 10. № 6. P. 125.
- Belashova E.D., Melnik N.A., Pismenskaya N.D., Shevtsova K.A., Nebavsky A.V., Lebedev K.A., Nikonenko V.V. // Electrochim. Acta. 2012. V. 59. P. 412–423.
- Sarapulova V., Pismenskaya N., Butylskii D., Titorova V., Wang Y., Xu T., Zhang Y., Nikonenko V., // Membranes. 2020. V. 10. № 8. P. 165.
- Chapotot A., Pourcelly G., Gavach C. // J. Membr. Sci. 1994. V. 96. P. 167–181.
- Abdu S., Martí-Calatayud M.-C., Wong J.E., García-Gabaldón M., Wessling M. // ACS Appl. Mater. Interfaces. 2014. V. 6. № 3. P. 1843–1854.
Дополнительные файлы








