Полимерные мембраны для парофазного концентрирования летучих органических продуктов переработки биомассы
- Авторы: Шалыгин М.Г.1, Козлова А.А.1, Heider J.2, Сапегин Д.А.3, Нетрусов А.А.1,4, Тепляков В.В.1
-
Учреждения:
- Федеральное государственное бюджетное учреждение науки Ордена Трудового Красного Знамени Институт нефтехимического синтеза им. А.В. Топчиева РАН
- Microbiology Department, Philipps-University Marburg
- OOO “Эс энд Ар Системы” (S&R Systems LLC)
- Кафедра микробиологии, биологический факультет Московского государственного университета им. М.В. Ломоносова
- Выпуск: Том 13, № 1 (2023)
- Страницы: 65-80
- Раздел: Статьи
- URL: https://ogarev-online.ru/2218-1172/article/view/137995
- DOI: https://doi.org/10.31857/S2218117223010054
- EDN: https://elibrary.ru/HIHKTI
- ID: 137995
Цитировать
Полный текст
Аннотация
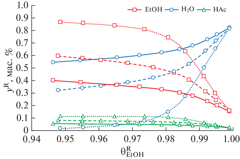
Одной из востребованных перспективных технологий является переработка биомассы с получением различных органических веществ, в том числе энергоносителей и ценных химических реагентов. Развиваемые процессы биопереработки лигнина предлагают использование синтетической биологической системы, позволяющнй получать низшие алифатические спирты через стадию образования карбоновых кислот. Вследствие получения спиртов в виде разбавленных водных растворов, их выделение и концентрирование являются крайне энергозатратными стадиями. В настоящей работе рассмотрен парофазный мембранный метод разделения в применении к водным растворам, содержащим спирты и органические кислоты. Исследован перенос паров воды, С1–С4 спиртов через коммерческие первапорационные и газоразделительные мембраны, которые ранее не были исследованы для этой цели, а также через лабораторную мембрану. Наиболее высокие показатели разделения водно-спиртовых смесей продемонстрировала мембрана RomakonTM -102 PM, которая была также исследована в разделении смесей с уксусной кислотой. На основе полученных экспериментальных данных проведено математическое моделирование процесса выделения этанола их тройной смеси “вода/этанол/уксусная кислота” парофазным мембранным методом.
Об авторах
М. Г. Шалыгин
Федеральное государственное бюджетное учреждение науки Ордена Трудового Красного ЗнамениИнститут нефтехимического синтеза им. А.В. Топчиева РАН
Автор, ответственный за переписку.
Email: mshalygin@ips.ac.ru
Россия, 119991, Москва, Ленинский проспект, 29
А. А. Козлова
Федеральное государственное бюджетное учреждение науки Ордена Трудового Красного ЗнамениИнститут нефтехимического синтеза им. А.В. Топчиева РАН
Email: mshalygin@ips.ac.ru
Россия, 119991, Москва, Ленинский проспект, 29
J. Heider
Microbiology Department, Philipps-University Marburg
Email: mshalygin@ips.ac.ru
FRG, 35032, Marburg, Biegenstraße, 10
Д. А. Сапегин
OOO “Эс энд Ар Системы” (S&R Systems LLC)
Email: mshalygin@ips.ac.ru
Россия, 191123, Санкт-Петербург, пр-т Чернышевского, 18
А. А. Нетрусов
Федеральное государственное бюджетное учреждение науки Ордена Трудового Красного ЗнамениИнститут нефтехимического синтеза им. А.В. Топчиева РАН; Кафедра микробиологии, биологический факультет Московского государственного университета
им. М.В. Ломоносова
Email: mshalygin@ips.ac.ru
Россия, 119991, Москва, Ленинский проспект, 29; Россия, 119992, Москва, Ленинские горы, 1/12
В. В. Тепляков
Федеральное государственное бюджетное учреждение науки Ордена Трудового Красного ЗнамениИнститут нефтехимического синтеза им. А.В. Топчиева РАН
Email: mshalygin@ips.ac.ru
Россия, 119991, Москва, Ленинский проспект, 29
Список литературы
- Angelici C., Weckhuysen В.М., Bruijnincx P.C.A. Chemocatalytic conversion of ethanol into butadiene and other bulk chemicals // Chem. Sus. Chem. 2013. V. 6. № 9. P. 1595–1614.
- Wu L., Moteki T., Gokhale A.A., Flaherty D.W., Toste F.D. Production of fuels and chemicals from biomass: condensation reactions and beyond // Chem. 2016. V. 1. № 1. P. 32–58.
- Yang Y., Tian Z., Lan Y., Wang S., Chen H. An overview of biofuel power generation on policies and finance environment, applied biofuels, device and performance // J. Traf. Transport. Engineer. (English Edition). 2021. V. 8. № 4. P. 534–553.
- Chistyakov A.V., Murzin V.Y., Gubanov M.A., Tsodikov M.V. Pd–Zn Containing Catalysts for Ethanol Conversion // Chemical engineering transactions. 2013. V. 32. P. 619–624.
- Chistyakov A.V., Zharova P.A., Nikolaev S.A., Tsodikov M.V. Direct Au-Ni/Al2O3 catalysed cross-condensation of ethanol with isopropanol into pentanol-2 // Catalysis Today. 2017. V. 279. P. 124–132.
- Schubert T. Production routes of advanced renewable C1 to C4 alcohols as biofuel components – a review // Biofuels. Bioprod. Bioref. 2020. V. 14. № 4. P. 845–878.
- Sun J., Wang Y. Recent advances in catalytic conversion of ethanol to chemicals // ACS Catal. 2014. V. 4. № 4. P. 1078–1090.
- Devi A., Singh A., Bajar S., Pant D., Din Z.U. Ethanol from lignocellulosic biomass: An in-depth analysis of pre-treatment methods, fermentation approaches and detoxification processes // J. Environmental Chemical Engineering. 2021. V. 9. № 5. P. 105798.
- Pinaki D., Parimal P., Kevin J., Das D. Lignocellulosic bioethanol production: prospects of emerging membrane technologies to improve the process – a critical review // Rev. Chem. Eng. 2020. V. 36. № 3. P. 333–367.
- Maktham R., Bhargava S.K., Bankupalli S., Ball A.S. A review on 1st and 2nd generation bioethanol production – Recent Progress // J. Sustainable Bioenergy Systems. 2016. V. 6. P. 72–92.
- Mupondwa E., Li X., Tabil L., Sokhansanj S., Adapa P. Status of Canada’s lignocellulosic ethanol: Part I: Pretreatment technologies. 2017. V. 72. P. 178–190.
- Mupondwa E., Li X., Tabil L., Sokhansanj S., Adapa P. Status of Canada’s lignocellulosic ethanol: Part II: Hydrolysis and fermentation // Renewable and Sustainable energy reviews. 2017. V. 79. P. 1535–1555.
- Dashtban M., Schraft H., Qin W. Fungal bioconversion of lignocellulosic residues; Opportunities and Perspectives // International J. Biological Sciences. 2009. V. 5. № 6. P. 578–595.
- Arndt F., Schmitt G., Winiarska A., Saft M., Seubert A., Kahnt J., Heider J. Characterization of an aldehyde oxidoreductase from the mesophilic bacterium Aromatoleum aromaticum EbN1, a member of a new subfamily of tungsten-containing enzymes. // Front. Microbiol. 2019. V. 10:71.
- Seyhan D., Friedrich P., Szaleniec M., Hilberg M., Buckel W., Golding B.T., Heider J. Elucidating the stereochemistry of enzymatic benzylsuccinate synthesis with chirally labeled toluene // Chem. Int. Ed. Engl. 2016. V. 55. № 38. P. 11664–11667.
- Fadeev A.G., Selinskaya Y.A., S.SKelley, Meagher M.M., Litvinova E.G., Khotimsky V.S., Volkov V.V. Extraction of butanol from aqueous solutions by pervaporation through poly(1-trimethylsilyl-1-propyne) // J. Membrane Science. 2001. V. 186. № 2. P. 205–217.
- Yakovlev A.V., Shalygin M.G., Matson S.M., Khotimskiy V.S., Teplyakov V.V. Separation of diluted butanol–water solutions via vapor phase by organophilic membranes based on high permeable polyacetylenes // J. Membrane Science. 2013. V. 434. P. 99–105.
- Kumar R., Ghosh A.K., Pal P. Fermentative ethanol production from Madhuca indica flowers using immobilized yeast cells coupled with solar driven direct contact membrane distillation with commercial hydrophobic membranes // Energy Conversion and Management. 2019. V. 181. P. 593–607.
- Ishola M.M., Jahandideh A., Haidarian B., Brandberg T., Taherzadeh M.J. Simultaneous saccharification, filtration and fermentation (SSFF): A novel method for bioethanol production from lignocellulosic biomass // Bioresource Technology. 2013. V. 133. P. 68–73.
- Ishola M.M., Brandberg T., Taherzadeh M.J. Simultaneous glucose and xylose utilization for improved ethanol production from lignocellulosic biomass through SSFF with encapsulated yeast // Biomass and Bioenergy. 2015. V. 77. P. 192–199.
- Vane L.M. A review of pervaporation for product recovery from biomass fermentation processes // J. Chem. Tech. Biotech. 2005. V. 80. № 6. P. 603–629.
- Golubev G.S., Borisov I.L., Volkov V.V. Thermopervaporative removal of isopropanol and butanol from aqueous media using membranes based on hydrophobic polysiloxanes // Pet. Chem. 2018. V. 58. P. 975–982.
- Li J., Zhou W., Fan S., Xiao Z., Liu Y., Liu J. Bioethanol production in vacuum membrane distillation bioreactor by permeate fractional condensation and mechanical vapor compression with polytetrafluoroethylene (PTFE) membrane // Bioresour. Technol. 2018. V. 268. P. 708–714.
- Vane L.M., Alvarez F.R. Effect of membrane and process characteristics on cost and energy usage for separating alcohol–water mixtures using a hybrid vapor stripping–vapor permeation process // Chem. Techol. Biotechol. 2015. V. 90. № 8. P. 1380–1390.
- Netrusov A.I., Teplyakov V.V., Tsodikov M.V., Chistjakov A.V., Zharova P.A., Shalygin M.G. Laboratory-scale production of hydrocarbon motor fuel components from lignocellulose: combination of new developments of membrane science and catalysis // Biomass & Bioenergy. 2020. V. 125. P. 105506.
- Teplyakov V.V., Shalygin M.G., Kozlova A.A., Chistjakov A.V., Tsodikov M.V., Netrusov A.I. Membrane technology in bioconversion of lignocellulose to motor fuel components // Pet. Chem. 2017. V. 57. P. 747–762.
- Teplyakov V.V., Shalygin M.G. Chapter 7 – Integrated systems involving membrane vapor permeation and applications // In: Pervaporation, Vapour Permeation and Membrane Distillation. 2015. P. 177–201.
- Vane L.M., Alvarez F.R. Membrane-assisted vapor stripping: energy efficient hybrid distillation–vapor permeation process for alcohol–water separation // J. Chemical Technology and Biotechnology. 2008. V. 83. № 9. P. 1275–1287.
- Xue C., Liu F., Xu M., Zhao J., Chen L., Ren J. A novel in situ gas stripping-pervaporation process integrated with acetone-butanol-ethanol fermentation for hyper n-butanol production // Biotechnol. Bioeng. 2015. V. 113. № 1. P. 120–129.
- Okamoto K., Tanihara N., Watanabe H. Vapor permeation and pervaporation separation of water-ethanol mixtures through polyimide membranes // J. Membr. Sci. 1992. V. 68. № 1–2. P. 53–63.
- Alkhudhiri A., Darwish N., Hilal N. Membrane distillation: A comprehensive review // Desalination. 2012. V. 287. P. 2–18.
- Shirazi M., Kargari A., Tabatabaei M. Sweeping Gas Membrane Distillation (SGMD) as an Alternative for Integration of Bioethanol Processing: Study on a Commercial Membrane and Operating Parameters // Chemical Engineering Communications. 2014. V. 202. № 4. P. 457–466.
- Shalygin M.G., Kozlova A.A., Netrusov A.I., Teplyakov V.V. Vapor-phase membrane concentration of bioethanol and biobutanol using hydrophobic membranes based on glassy polymers // Pet. Chem. 2017. V. 56. P. 977–986.
- Si Z., Shan H., Hu S., Cai D., Qi P. Recovery of ethanol via vapor phase by polydimethylsiloxane membrane with excellent performance // Chemical Engineering Research and Design. 2018. V. 136. P. 324–333.
- Shalygin M.G., Kozlova A.A., Teplyakov V.V. Vapor Phase Separation of Water–Alcohol Mixtures with Industrial Nanofiltration Membrane NaRM, Membranes and Membrane Technologies. 2022. V. 4. № 4. P. 64–72.
- Beckman I., Syrtsova D., Shalygin M., Kandasamy P., Teplyakov V. Transmembrane gas transfer: Mathematics of diffusion and experimental practice // J. Membrane Science. 2020. V. 601. P. 117737.
- Grushevenko E.A., Borisov I.L., Volkov A.V. High-selectivity polysiloxane membranes for gases and liquids separation (A review) // Pet. Chem. 2021. V. 61. P. 959–976.
- Wyk S., Ham A.G.J., Kersten S.R.A. Pervaporative separation and intensification of downstream recovery of acetone-butanol-ethanol (ABE) // Chem. Engineer. Proces. – Proces. Intensif. 2018. V. 130. P. 148–159.
- Knozowska K., Kujawska A., Li G., Kujawa J. Membrane assisted processing of acetone, butanol, and ethanol (ABE) aqueous streams // Chem. Engineeri. Proces. – Proces. Intensif. 2021. V. 166. № 108462.
- Shi G.M., Hua D., Chung T.S. Chapter 6 – Pervaporation and Vapor Separation // In: Membrane Separation Principles and Applications. 2019. P. 181–231.
- Montoya J.P. Membrane Gas Exchange: Using hollow fiber membranes to separate gases from liquid and gaseous streams // MedArray, Inc. (2010).
- Teplyakov V.V., Shalygin M.G., Kozlova A.A., Netrusov A.I. Composite membranes with a polyvinyltrimethylsilane skin layer for separation of water–alcohol mixtures // Pet. Chem. 2018. V. 58. P. 949–957.
- Sun W., Jia W., Xia C., Zhang W., Ren Z. Study of in situ ethanol recovery via vapor permeation from fermentation // J. Membrane Science. 2017. V. 530. P. 192–200.
- https://www.membranium.com/ru/catalog/nanofiltratsiya/product-ro-017/ (11.07.2022).
- Syrtsova D.A., Teplyakov V.V., Filistovich V.A., Savitskaya T.A., Kimlenka I.M., Makarevich S.E., Grinshpan D.D. Cellulose-Based Composite Gas Separation Membranes. // Membr. Membr. Technol. 2019. V. 1. P. 353–360.
- Li Y., Wee L.H., Martens J.A., Vankelecom I.F.J. ZIF-71 as a potential filler to prepare pervaporation membranes for bio-alcohol recovery // J. Materials Chemistry A. 2014. V. 2. P. 10034–10040.
- Zhang G., Li J., Wang H.N., Fan R., Zhang G., Zhang S.J. Enhanced flux of polydimethylsiloxane membrane for ethanol permselective pervaporation via incorporation of MIL-53 particles // J. Membrane Science. 2015. V. 492. P. 322–330.
- He X., Wang T., Huang J., Chen J., Li J. Fabrication and characterization of superhydrophobic PDMS composite membranes for efficient ethanol recovery via pervaporation // Separation and Purification Technology. 2020. V. 241. P. 116675.
- Böddeker K.W., Bengtson G., Pingel H. Pervaporation of isomeric butanols // J. Membrane Science. 1990. V. 54. № 1–2. P. 1–12.
- Rom A., Friedl A. Investigation of pervaporation performance of POMS membrane during separation of butanol from water and the effect of added acetone and ethanol // Separation and Purification Technology. 2016. V. 170. P. 40–48.
- Kujawski W. Pervaporative removal of organics from water using hydrophobic membranes. Binary mixtures // Separation Science and Technology. 2000. V. 35. № 1. P. 89–108.
- Golubev G.S., Borisov I.L., Volkov V.V., Volkov A.V. High-Performance reinforced PTMSP membranes for thermopervaporation removal of alcohols from aqueous media // Membr. Membr. Technol. 2020. V. 2. P. 45–53.
- González-Marcos J.A., López-Dehesa C., González-Velasco J.R. Effect of operation conditions in the pervaporation of ethanol–water mixtures with poly(1-trimethylsilyl-1-propyne) membranes // J. Applied Polymer Science. 2004. V. 94. № 4. P. 1395–1403.
- Volkov V.V., Fadeev A.G., Khotimsky V.S., Litvinova E.G., Selinskaya Y.A., McMillan J.D., Kelley S.S. Effects of synthesis conditions on the pervaporation properties of poly[1-(trimethylsilyl)-1-propyne] useful for membrane bioreactors // J. Applied Polymer Science. 2004. V. 91. № 4. P. 2271–2277.
- Knozowska K., Kujawska A., Kujawa J., Kujawski W., Bryjak M., Chrzanowska E., Kujawski J. Performance of commercial composite hydrophobic membranes applied for pervaporative reclamation of acetone, butanol, and ethanol from aqueous solutions: Binary mixtures // Separation and Purification Technology. 2017. V. 188. P. 512–522.
- Guan Y., Hua S., Y. W., Qin P., Karim M.N., Tan T. Separating isopropanol from its diluted solutions via a process of integrating gas stripping and vapor permeation // RSC Adv. 2015. V. 5. P. 24031–24037.
- Sapegin D.A., Gubanova G.N.K.S.V., Kruchinina E.V., Saprykina N.N., Volkov A.Y., Vylegzhanina M.E. Characterisation of Romakon™-PM pervaporation membranes for the separation of dilute aqueous alcohol mixtures // Separation and Purification Technology. 2020. V. 240. P. 116605.
- http://www.vladipor.ru/ (11.07.2022).
- Рид Р., Праусниц Д., Шервуд Т. Свойства газов и жидкостей. Справочное пособие. Л.: Химия, 1982. С. 592.
- http://vle-calc.com/phase_diagram.html (13.03.2022).
- Семенова С.И., Вдовин П.А., Тарасов А.В., Дерягина Е.Э., Масленин С.Б. Композитные мембраны для выделения тяжелых фракций углеводородов из нефтяных и попутных газов // Серия. Критические технологии. Мембраны. 2003. Т. 20. № 4.
Дополнительные файлы












