АНТРОПОГЕННОЕ ВЛИЯНИЕ НА МИКРОКЛИМАТ И ОЛЕДЕНЕНИЕ КУНГУРСКОЙ ЛЕДЯНОЙ ПЕЩЕРЫ В ПЕРИОД МАКСИМАЛЬНОЙ ТУРИСТИЧЕСКОЙ НАГРУЗКИ
- Авторы: Казанцева А.С.1,2, Красиков А.В.1
-
Учреждения:
- Горный институт Уральского отделения РАН
- Пермский государственный национальный исследовательский университет
- Выпуск: Том 63, № 4 (2023)
- Страницы: 612-624
- Раздел: Подземные льды и наледи
- URL: https://ogarev-online.ru/2076-6734/article/view/162338
- DOI: https://doi.org/10.31857/S2076673423040087
- EDN: https://elibrary.ru/HBXDPP
- ID: 162338
Цитировать
Полный текст
Аннотация
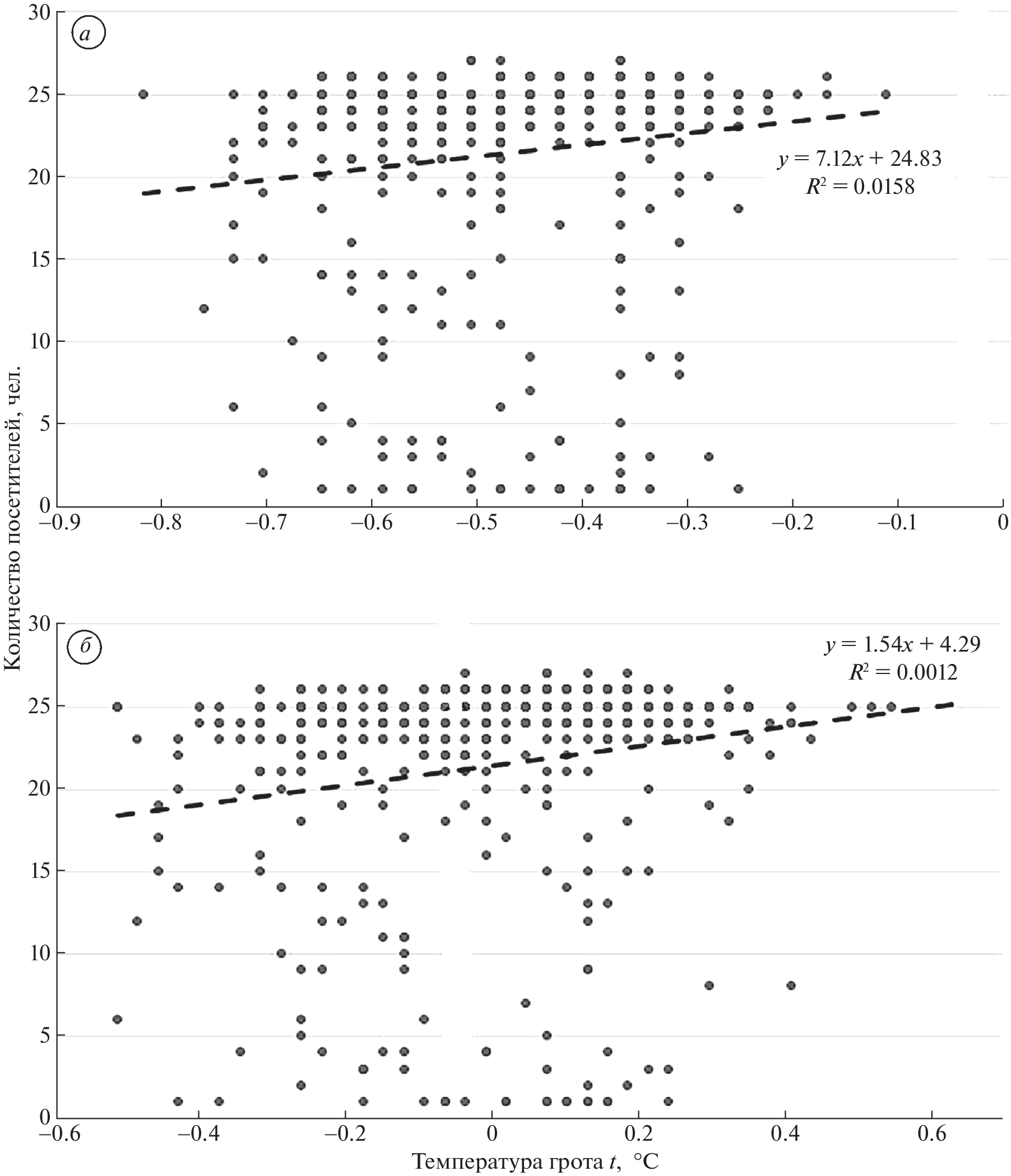
По данным проведённых в летнее время исследований в Кунгурской Ледяной пещере, во время максимальной туристической нагрузки, сделаны выводы об антропогенном влиянии на микроклимат и оледенение пещеры. Рассмотрены основные виды воздействия человека на подземную среду, особое внимание уделено тепловому воздействию на изменение температурного режима и масштаба оледенения в существующих условиях эксплуатации Кунгурской Ледяной пещеры.
Ключевые слова
Об авторах
А. С. Казанцева
Горный институт Уральского отделения РАН; Пермский государственный национальный исследовательский университет
Автор, ответственный за переписку.
Email: kazanalena@bk.ru
Россия, Пермь; Россия, Пермь
А. В. Красиков
Горный институт Уральского отделения РАН
Email: kazanalena@bk.ru
Россия, Пермь
Список литературы
- Андрейчук В.Н., Дорофеев Е.П. Антропогенный фактор и Кунгурская пещера // Кунгурская Ледяная пещера. 1995. Вып. 1. С. 85–99.
- Анисимова Н.В. Термометрия как метод функциональной диагностики // Известия Пермского гос. пед. ун-та. Физиология и гигиена человека. 2007. № 5 (9). С. 36–38.
- Дублянский В.Н. Занимательная спелеология. Челябинск: Изд-во Урал ЛТД, 2000. 528 с.
- Дублянская Г.Н., Дублянский В.Н., Кадебская О.И., Кадебский Ю.В., Катаев В.Н., Лавров И.А., Лаврова Н.В., Мавлюдов Б.Р., Максимович Н.Г., Молоштанова Н.Е., Назарова У.В., Никифорова И.А., Паньков Н.Н., Пятунин М.С., Худенькая К.О., Шувалов В.М. Кунгурская Ледяная пещера: опыт режимных наблюдений. Екатеринбург: УрО РАН, 2005. 385 с.
- Кадебская О.И. Изменение микроклимата и загрязнение карстовых вод в Кунгурской Ледяной пещере // Проблемы комплексного мониторинга на месторождениях полезных ископаемых. Сб. докладов. Пермь: Горный институт УрО РАН, 2002. С. 2019–2022.
- Кадебская О.И. Влияние туристско-экскурсионной деятельности на тепловой баланс Кунгурской Ледяной пещеры // Стратегия и процессы освоения георесурсов: Материалы науч. сессии Горного ин-та УрО РАН по результатам НИР в 2003 г. 19–23 апр. 2004 г. Пермь: Горный институт УрО РАН, 2004. С. 56–58.
- Кадебская О.И. Экологический менеджмент в пределах особо охраняемой природной территории регионального назначения “Ледяная гора и Кунгурская Ледяная пещера” // Географич. вестник. 2008. № 2 (8). С. 214–221.
- Кадебская О.И., Дублянский В.Н. По Кунгурской Ледяной пещере. Пермь: 2004. 91 с.
- Казанцева А.С., Кадебская О.И. Динамика оледенения в Кунгурской Ледяной пещере // Географич. вестник. 2017. № 4 (43). С. 5–11.
- Казанцева А.С., Красиков А.В. Сезонные вариации газового состава воздуха в Кунгурской Ледяной пещере // Горное эхо. Пермь: Вестник Горного ин-та УрО РАН, 2017. № 2 (67). С. 33–37.
- Кошкин М.Д., Плотникова К.Р., Котилевец И.Д. О некоторых особенностях мониторинга температуры пациента // Актуальные вопросы развития современной цифровой среды. Волгоград: Изд-во “Издательский дом Сириус”, 2021. С. 105–111.
- Красиков А.В. Уточнение морфометрических показателей гротов и галерей Кунгурской ледяной пещеры по результатам топографо-геодезических работ // Изв. вузов. Горный журнал. 2022. № 4. С. 76–89.
- Красиков А.В., Казанцева А.С. Факторы, влияющие на динамику содержания CO2 в пределах подземного пространства (на примере Кунгурской Ледяной пещеры) // Сыктывкар: Вестник института геологии КомиНЦ УрО РАН, 2019. № 9. С. 3–9.
- Лобанов Ю.Е. Отрицательные температурные аномалии и морфология пещер в карбонатных массивах // Аккумуляция зимнего холода в горных породах и его использование в народном хозяйстве. Пермь: 1981. С. 28–30.
- Лукин В.С. Наблюдения за воздушным режимом закарстованных массивов на примере Кунгурской Ледяной пещеры // Свердловск: Тр. Ин-та геологии УФАН СССР, 1962. Вып. 62. С. 107–119.
- Ляхницкий Ю.С., Чуйко М.А. Комплексные исследования Каповой пещеры // Пещеры. 1999. Вып. 25–26. С. 21–37.
- Ляхницкий Ю.С., Юшко А.А., Минников О.А., Червяцова О.Я. Результаты комплексных исследований Каповой пещеры (Шульган-Таш) и проблема её сохранения // Спелеология и спелестология: сб. материалов конф. 2010. № 1. С. 13–17.
- Мавлюдов Б.Р., Кудерина Т.М., Грабенко Е.А., Медведев А.А., Экба Я.А. Климат Новоафонской Пещеры // Вопросы географии. Спелеология и карстоведение. 2018. № 147. С. 218–243.
- Цикаришвили К.Д. Изучение микроклимата Ново-Афонской пещеры // Пещеры Грузии. 1978. № 7. С. 17–25.
- Щеховский Е.А., Кустикова М.А. Характеристика Танечкиной (Староладожской) пещеры как зимовки рукокрылых // Московский экономический журнал. 2020. № 6. С. 1–24.
Дополнительные файлы







