Снежный покров как фактор роста годичных колец деревьев в контрастных природных условиях Западно-Сибирской равнины
- Авторы: Быков Н.И.1, Шигимага А.А.1, Рыгалова Н.В.1
-
Учреждения:
- Институт водных и экологических проблем СО РАН
- Выпуск: Том 63, № 2 (2023)
- Страницы: 243-256
- Раздел: Снежный покров и снежные лавины
- URL: https://ogarev-online.ru/2076-6734/article/view/137478
- DOI: https://doi.org/10.31857/S2076673423020047
- EDN: https://elibrary.ru/RTJJTL
- ID: 137478
Цитировать
Полный текст
Аннотация
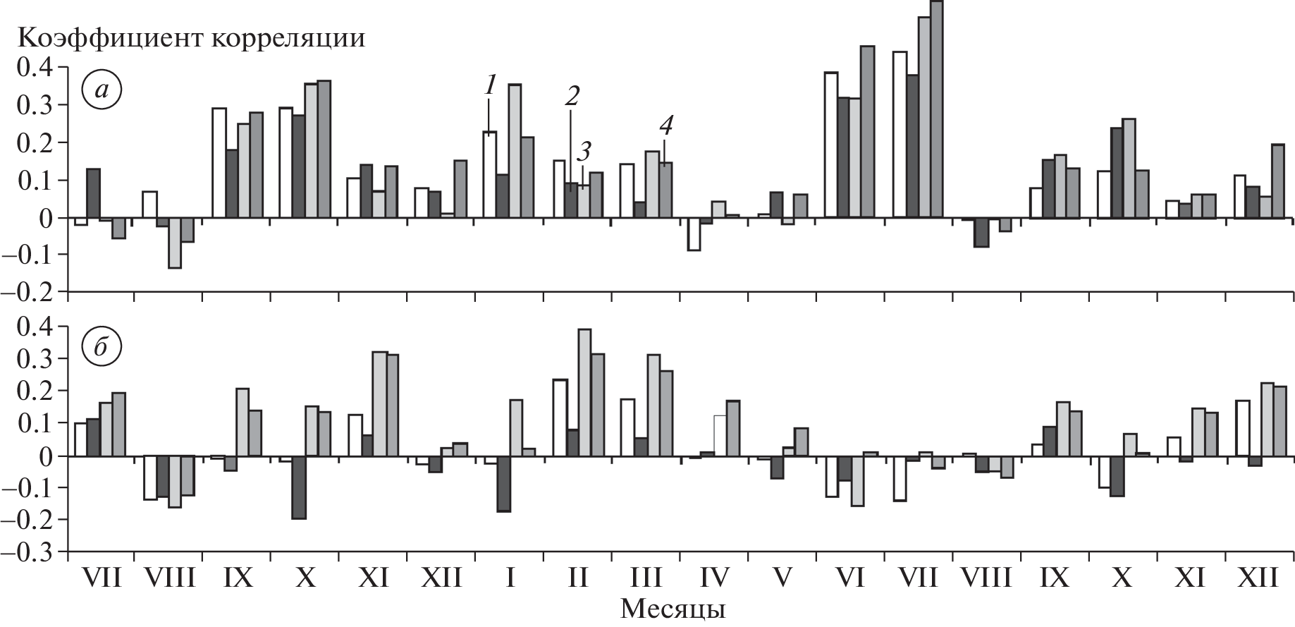
Проанализирована зависимость ширины годичных колец древесных растений зоны лесотундры и подзон северной тайги (лесная зона), южной лесостепи (лесостепная зона) и сухой степи (степная зона) от таких показателей снежного покрова, как максимальная толщина и водозапас, даты установления, разрушения и продолжительность залегания устойчивого снежного покрова. Для анализа применены данные государственных метеорологических станций Росгидромета (далее – МС) за 1966–2020 гг. (по лесотундре и северной тайге); 1966–2018 гг. (по лесостепи и сухой степи); материалы собственных дендрохронологических работ.
Ключевые слова
Об авторах
Н. И. Быков
Институт водных и экологических проблем СО РАН
Автор, ответственный за переписку.
Email: nikolai_bykov@mail.ru
Россия, Барнаул
А. А. Шигимага
Институт водных и экологических проблем СО РАН
Email: nikolai_bykov@mail.ru
Россия, Барнаул
Н. В. Рыгалова
Институт водных и экологических проблем СО РАН
Email: nikolai_bykov@mail.ru
Россия, Барнаул
Список литературы
- Быков Н.И. Дендроиндикация многолетней динамики элементов нивально-гляциального комплекса // Проблемы реконструкции климата и природной среды голоцена и плейстоцена Сибири. Новосибирск: Изд-во Института археологии и этнографии СО РАН, 1998. С. 51–55.
- Быков Н.И., Попов Е.С. Наблюдения за динамикой снежного покрова в ООПТ Алтае-Саянского экорегиона (методическое руководство) / Ред. Н.И. Быков. Красноярск, 2011. 64 с.
- Быков Н.И., Черных Д.В., Першин Д.К., Бирюков Р.Ю., Лубенец Л.Ф., Золотов Д.В. Пространственная и временная изменчивость снежного покрова в южной лесостепи Верхней Оби // Лёд и Снег. 2022. Т. 62. № 3. С. 343–359. https://doi.org/10.31857/S2076673422030136
- Быков Н.И., Шигимага А.А., Ильясов Р.М. Особенности радиального роста древесных растений в лесотундре Ямало-Ненецкого автономного округа // Научный вестник Ямало-Ненецкого автономного округа. 2022. Т. 115. № 2. С. 98–112.
- Ваганов Е.А., Шиятов С.Г., Мазепа В.С. Дендроклиматические исследования в Урало-Сибирской Субарктике. Новосибирск: Наука, 1996. 246 с.
- Демина А.В., Белокопытова Л.В., Андреев С.Г., Костякова Т.В., Бабушкина Е.А. Динамика радиального прироста сосны обыкновенной (Pinus sylvestris L.) как индикатор гидротермического режима лесостепи Западного Забайкалья // Сибирский экологич. Журнал. 2017. Т. 24. № 5. С. 553–566.
- Маршрутные снегомерные съёмки // Электронный ресурс. http://meteo.ru (Дата обращения: 20.05.2022).
- Николаев А.Н., Скачков Ю.Б. Влияние динамики снежного покрова на рост и развитие лесов в Центральной Якутии // Криосфера Земли. 2011. Т. XV. № 3. С. 71–80.
- Николаев А.Н., Скачков Ю.Б. Влияние снежного покрова и температурного режима мерзлотных почв на радиальный прирост деревьев Центральной Якутии // Журнал Сибирского федерального ун-та. Сер. Биология. 2012. Т. 5. № 1. С. 43–51.
- Характеристики снежного покрова (ежедневные данные) // Электронный ресурс. http://meteo.ru (Дата обращения: 20.05.2022).
- Шиятов С.Г., Ваганов Е.А., Кирдянов А.В., Круглов В.Б., Мазепа В.С., Наурзбаев М.М., Хантемиров Р.М. Методы дендрохронологии. Ч. I. Красноярск: Изд-во КрасГУ, 2000. 80 с.
- Dolgova E.A., Solomina O.N., Matskovsky V.V., Cherenkova E.A., Semenyak N.S. Climate signal strength in tree-ring width of spruce growing in the solovetsky islands (ncina) // Dendrochronologia. 2022. V. 76. https://doi.org/10.1016/j.dendro.2022.126012
- Gedalof Z., Smith D.J. Dendroclimatic response of mountain hemlock (Tsuga mertensiana) in Pacific North America // Canadian Journ. of Forest Research. 2001. V. 31. P. 322–332.
- Falarz M. Tree-Ring Widths and Snow Cover Depth in High Tauern. IOP Conf. Series: Earth and Environmental Science. 2017. V. 95 (6). 062005 p. https://doi.org/10.1088/1755-1315/95/6/062005
- Hart S.J., Smith D.J., Clague J.J. A multi-species dendroclimatic reconstruction of Chilco River streamflow, British Columbia, Canada // Hydrological Processes. 2010. V. 24. P. 2752–2761.
- Kirdyanov A., Hughes M., Vaganov E., Schweingruber F., Silkin P. The importance of early summer temperature and date of snow melt for tree growth in the Siberian Subarctic // Trees. 2003. V. 17. P. 61–69.
- Li Qin, Yujiang Yuan, Ruibo Zhangriver, Wenshou Wei, Shulong Yu, Ziang Fan, Feng Chen, Tongwen Zhang, Huaming Shang Tree-ring response to snow cover and reconstruction of century annual maximum snow depth for Northern Tianshan mountains, China // Geochronometria. 2016. V. 43. P. 9–17.
- Owczarek P., Opała M. Dendrochronology and extreme pointer years in the tree-ring record (AD 1951–2011) of polar willow from southwestern Spitsbergen (Svalbard, Norway) // Geochronometria. 2016. V. 43. P. 84–95.
- Rygalova N.V., Bykov N.I., Shigimaga A.A. Radial Growth of Woody Plants in Extrazonal and Anthropogenic Landscapes of the Dry Steppe of the Western Siberian Plain // Arid Ecosystems. 2022. V. 12. P. 61–67. https://doi.org/10.1134/S2079096122010097
- Sanmiguel-Vallelado A., Camarero J.J, Gazol Antoni, Morán-Tejeda E., López-Moreno J.I. Detecting snow-related signals in radial growth of Pinus ncinate mountain forests. // Dendrochronologia. 2019. V. 57. 125622 p. https://doi.org/10.1016/j.dendro.2019.125622
- Schmidt N.M., Baittinger C., Forchhammer M.C. Reconstructing century-long regimes using estimates of high Arctic Salix arctica radial growth //Arctic, Antarctic and Alpine Research. 2006. V. 38 (2). P. 257–262.
- Schmidt N.M., Baittinger C., Kollmann J., Forchhammer M.C. Consistent dendrochronological response of the dioecious Salix arctica to variation in local snow precipitation across gender and vegetation types // Arctic, Antarctic and Alpine Research. 2010. V. 42. P. 471–475.
- Vaganov E.A., Kirdyanov A.V., Schweingruber F.H., Silkin P.P. Influence of snowfall and melt timing on tree growth in subarctic Eurasia // Nature. 1999. V. 400. P. 149–151. https://doi.org/10.1038/22087
- Watson E., Luckman B.H. An investigation of the snowpack signal in moisture-sensitive trees from the Southern Canadian Cordillera // Dendrochronologia. 2016. V. 38. P. 118–130.
- Woodhouse C.A. A 431-yr reconstruction of western Colorado snowpack from tree rings // Journ. of Climate. 2003. V. 16. P. 1551–1561.
Дополнительные файлы








