Церамиды как потенциально новые предикторы тяжести течения острого коронарного синдрома в сочетании с инфекцией SARS-CoV-2
- Авторы: Ложкина Н.Г.1,2,3, Гущина О.И.2,3, Басов Н.В.1,4, Гайслер Е.В.1, Рогачев А.Д.1,4, Сотникова Ю.С.1,4,5, Патрушев Ю.В.1,5, Покровский А.Г.1
-
Учреждения:
- Новосибирский национальный исследовательский государственный университет
- Федеральный исследовательский центр фундаментальной и трансляционной медицины
- Городская клиническая больница № 1
- Новосибирский институт органической химии им. Н.Н. Ворожцова СО РАН
- Институт катализа СО РАН
- Выпуск: Том 16, № 2 (2024)
- Страницы: 53-60
- Раздел: Экспериментальные статьи
- URL: https://ogarev-online.ru/2075-8251/article/view/263374
- DOI: https://doi.org/10.32607/actanaturae.27400
- ID: 263374
Цитировать
Аннотация
Острые коронарные события (ОКС) в сочетании с инфекцией SARS-CoV-2 могут существенно отличаться от классических проявлений ОКС. Новые биомаркеры, такие, как церамиды, способны помочь в диагностике и лечении данного заболевания. В исследование вошли 73 пациента с диагнозом ОКС, у которых верифицирована инфекция SARS-CoV-2. Выделено две подгруппы: благоприятного и летального исхода. У всех пациентов на момент поступления были отобраны образцы плазмы для проведения метаболомного анализа. При анализе метаболитов выявлено, что в подгруппе летальных исходов уровни церамидов были существенно ниже, чем в подгруппе выживших пациентов. Таким образом, определение уровня церамидов у больных ОКС в сочетании с COVID-19 может помочь в определении прогноза таких пациентов и управлении их рисками.
Ключевые слова
Полный текст
ВВЕДЕНИЕ
Острые коронарные события (ОКС) в сочетании с SARS-CoV-2-инфекцией могут существенно отличаться от классических проявлений данного заболевания. Многие симптомы, характерные для тяжелой вирусной инфекции, маскируют проявления острого коронарного синдрома. В свою очередь, ОКС также могут скрывать признаки инфекции. Дыхательная недостаточность, высокая активность воспалительных маркеров, боли в грудной клетке, а в тяжелых клинических случаях – шок и гипотония – трудно дифференцируемы по отправной точке своего развития. Одной из главных проблем при постановке клинического диагноза является позднее развитие симптомов заболевания, включая поздний вираж маркеров некроза миокарда. Так, например, титры высокочувствительного тропонина при развитии инфаркта миокарда достигают диагностической значимости через 4 ч от момента появления симптомов [1]. Полезными для ранней диагностики и определения тактики лечения могут быть новые наборы биомаркеров. Сравнительно недавно для выявления молекулярных механизмов, вовлеченных в сердечно-сосудистые заболевания, стали использовать стратегии, основанные на метаболомном подходе.
Метаболомные технологии позволяют идентифицировать, количественно определять и характеризовать низкомолекулярные метаболиты массой менее 1500 Да [2]. Определение метаболомного профиля пациентов и нахождение возможных биомаркеров могут помочь в ранней диагностике заболеваний и применении персонифицированной терапии.
Один из перспективных классов сигнальных молекул – церамиды. Это подкласс липидных молекул составляет гидрофобную основу всех сложных сфинголипидов (например, сфингомиелина (СМ), цереброзидов, ганглиозидов), в его структуру входит ацильный заместитель с переменной длиной углеродной цепи, связанный с аминогруппой сфингоидного основания, обычно сфингозина. Церамиды являются важными компонентами всех клеточных мембран. Жирные ацильные цепи, как правило, насыщенные или мононенасыщенные, могут содержать ОН-группу, связанную с С2 или с концевым атомом углерода (α- и ω-гидроксижирные кислоты соответственно) [3]. Ценность церамидов как диагностических маркеров связана с высокой устойчивостью при различных температурах (что отражается в простоте забора, хранения и транспортировки биологического материала). Результаты изучения взаимосвязи церамидов с сердечно-сосудистой патологией противоречивы. Эти биомаркеры активно изучали во время пандемии COVID-19 у больных с разными вариантами течения инфекции, однако их роль в патогенезе, течении и прогнозе острого коронарного синдрома в сочетании с SARS-CoV-2-инфекцией остается неясной. В связи с этим оценка роли ряда ключевых метаболитов, включая церамиды, как потенциально новых предикторов тяжести течения ОКС в сочетании с SARS-CoV-2-инфекцией представляется актуальной.
ЭКСПЕРИМЕНТАЛЬНАЯ ЧАСТЬ
Характеристика больных и методы исследования
В исследование включено 73 больных, последовательно поступивших в региональный сосудистый центр № 1 ГБУЗ НСО ГКБ № 1 г. Новосибирска с диагнозом острый коронарный синдром (подтвержденным согласно российским и европейским клиническим рекомендациям), у которых верифицирована SARS-CоV-2-инфекция (не более чем за 28 дней до или в течение 14 дней после наступления ОКС). Всем пациентам выполнен полный спектр исследований согласно действующим клиническим рекомендациям по обеим патологиям: общий и биохимический анализ крови, коагулограмма с определением Д-димера, ПЦР-диагностика COVID-19, электрокардиография (ЭКГ), эхокардиография (ЭхоКГ) в момент поступления, компьютерная томография органов грудной клетки (КТ ОГК), коронароангиография (КАГ) с выполнением чрескожной транслюминальной баллонной ангиопластики (ЧТКА) и стентированием инфаркт-связанной артерии с использованием современного сертифицированного медицинского оборудования [4, 5]. Помимо стандартного обследования у всех больных на момент поступления были забраны и заморожены при температуре –70оС образцы плазмы для проведения метаболомного анализа, который был выполнен на базе Новосибирского государственного университета. Протокол исследования одобрен на заседании локального этического комитета.
Критерии включения
Мужчины и женщины 18–90 лет, поступившие в клинику с диагнозом острый коронарный синдромом (с элевацией и без элевации сегмента ST), подтвержденным типичной клинической картиной, ЭКГ, селективной коронарографией, количественным определением тропонина I; имеющие верифицированный диагноз инфекции SARS-CoV-2 (не более чем за 28 дней до или в течение 14 дней после наступления острого коронарного события); наличие подписанного добровольного информированного согласия.
Критерии исключения
Отсутствие подписанного добровольного информированного согласия. В исследование не включали больных со злокачественными новообразованиями, тяжелыми аутоиммунными заболеваниями, терминальной соматической патологией (цирроз печени любой степени тяжести, хроническая болезнь почек выше ХБП С4, пациентов на программном гемодиализе), имеющимися исходно психическими расстройствами.
Дизайн исследования
Открытое сплошное проспективное нерандомизированное методом параллельных групп исследование, включающее больных острым коронарным синдромом с выявленной новой коронавирусной инфекцией, которые последовательно поступали в отделение неотложной кардиологии ГКБ № 1 в 2021–2023 годах. Диагноз ОКС устанавливали по совокупности критериев, разработанных европейским и российским обществом кардиологов (2020), включающих: а) клинические признаки или симптомы ишемии миокарда; б) изменения ЭКГ в двух и более последовательных отведениях для ОКСпST (высокоамплитудный Т, отрицательный Т, подъем сегмента ST, патологический Q, депрессия сегмента ST, наличие QR). Диагноз новой коронавирусной инфекции ставили согласно временным рекомендациям по профилактике, диагностике и лечению новой коронавирусной инфекции (версия 13 от 14.10.2021), включающим: а) положительный результат лабораторного исследования на наличие РНК SARS-CoV-2 с применением методов амплификации нуклеиновых кислот (МАНК) или антигена SARS-CoV-2 c применением иммунохроматографического анализа; б) высокую клиническую вероятность (данные компьютерной томографии легких (КТ), клинической картины, соответствующего эпидемиологического анамнеза) [4, 5].
Отбор, пробоподготовка и анализ образцов
Образцы крови были взяты у пациентов в день поступления в стационар. Венозную кровь отбирали в вакуумные пробирки, содержащие антикоагулянт K-EDТА. Плазма получена путем центрифугирования, затем перенесена в чистую пробирку и заморожена при –80°С до проведения пробоподготовки. Пробоподготовку проводили согласно [6]. К 100 мкл плазмы крови прибавляли 400 мкл охлажденной смеси метанола и ацетонитрила (1:1). Образцы встряхивали на шейкере, затем центрифугировали в течение 15 мин при +4°С и 16 000 об/мин. Супернатант переносили в стеклянную вставку для виалы и анализировали. Для контроля качества использовали образцы, полученные путем смешивания равных объемов образцов плазмы крови от пациентов.
Метаболомный анализ проводили согласно [7]. ВЭЖХ-МС/МС-анализ проводили на хроматографе Shimadzu LC-20AD Prominence, оснащенном градиентным насосом, автодозатором SIL-20AC (Shimadzu, Япония), термостатируемым при +10°С, и термостатом для колонок CTO-10ASvp с температурой +35°С. Хроматографическое разделение проводили на монолитной колонке с сорбентом на основе 1-винил-1,2,4-триазола, приготовленной по методике, описанной в работе [8]. В качестве подвижной фазы А использовали водный раствор (NH4)2CO3 (20 мМ), доведенный 25% раствором аммиака до рН 9.8 и содержащий 5 об. % ацетонитрила; подвижной фазой Б был чистый ацетонитрил. Градиент обращенно-фазовой хроматографии: 0 мин – 0% Б, 1 мин – 0% Б, 6 мин – 98% Б, 16 мин – 98% Б, после чего колонку уравновешивали в течение 3 мин. Градиент гидрофильной (HILIC) хроматографии: 0 мин – 98% Б, 2 мин – 98% Б, 6 мин – 0% Б, 10 мин – 0% Б, после чего колонку уравновешивали в течение 4 мин. Скорость потока – 300 мкл/мин, объем пробы 2 мкл.
Детекцию метаболитов проводили на масс-спектрометре API 6500 QTRAP (AB SCIEX, США), оснащенном источником электрораспылительной ионизации, работающем в режимах положительной и отрицательной ионизации. Метаболиты детектировали в режиме мониторинга множественных реакций (multiple reaction monitoring, MRM). Основные масс-спектрометрические параметры были следующими: напряжение ионного распыления (IS) 5500 В для положительной и -4500 В для отрицательной ионизации. Температура газа-осушителя – 475°C, газ в ячейке соударений (CAD) – «высокий», давление газа 1, газа 2 и газовой завесы – 33, 33 и 30 фунт/дюйм2 (227.5, 227.5 и 206.8 кПа соответственно). Потенциал декластеризации (DP) ±91 В, потенциал входа (EP) ±10 В, а потенциал выхода из ячейки соударений (CXP) ±9 В. Управление прибором и сбор информации осуществлены с помощью программного обеспечения Analyst 1.6.3 (AB SCIEX, США). Хроматограммы обрабатывали с помощью программы MultiQuant 2.1 (AB SCIEX, США).
Полученные образцы были разделены на две группы: с благоприятным исходом (выздоровление) и с внутрибольничным летальным исходом. Произведен метаболомный анализ образцов этих групп и установлены ключевые метаболиты. Для оценки различия двух подгрупп «летальная» и «выжившие больные» использовали критерий Манна–Уитни. Критическое значение для размерности подгрупп MW crit = 32.
РЕЗУЛЬТАТЫ
Выделенные группы достоверно различались по возрасту: средний возраст в первой группе составил 63.6 ± 9.6 лет, во второй (группа неблагоприятного исхода) – 73 ± 8.2 г. (p = 0.003). В группу 1 вошли 37 мужчин и 24 женщины, в группе 2 было 5 мужчин и 6 женщин. У всех умерших пациентов имел место ОКС с подъемом ST, в группе благоприятного исхода подъем ST диагностирован у 56 пациентов, у 5 – ОКС без подъема ST.
Течение SARS-CoV-2-инфекции по степени тяжести распределилось следующим образом: в группе благоприятного исхода легкое и бессимптомное течение отмечено в 22 случаях, у 26 человек инфекция имела среднетяжелое течение, у 12 тяжелое. В группе летального исхода бессимптомного течения SARS-CoV-2-инфекции не отмечено, легкая форма выявлена у одного пациента, у одного отмечена средняя степень тяжести, у 9 зарегистрировано крайне тяжелое течение соответственно.
При анализе клинико-лабораторных показателей выявлены достоверные различия между изучаемыми подгруппами пациентов: наличие любой формы фибрилляции предсердий чаще встречалось в группе летального исхода, чем в группе выживших (p < 0.5); уровень сывороточного железа был ниже в группе неблагоприятного исхода (p < 0.001), альбумин достоверно был ниже в группе неблагоприятного госпитального исхода в сравнении с группой выживших (p < 0.001). Уровень Д-димера, напротив, был выше в группе 2 (р < 0.0001). Средняя концентрация С-реактивного белка при поступлении в 1-й группе было значимо ниже, чем во 2-й (р = 0.0243). Показатели сократимости миокарда как левого, так и правого желудочков были значимо хуже в группе летального исхода (р < 0.0001). Не обнаружено значимых различий в степени поражения коронарных артерий, параметрах липидного спектра. Таким образом, по значениям клинико-лабораторных, инструментальных показателей, использующихся в рутинной клинической практике, полученные нами результаты согласуются с данными других исследователей [9, 10].
На следующем этапе определили ключевые метаболиты в плазме крови подгрупп больных. Сравнение средних величин показателей обнаружило «насыщение» выделенных метаболитов группой церамидов (19 соединений, табл. 1), а также пять метаболитов класса сфингомиелинов (SM) и четыре метаболита, относящихся к классу гликозилцерамидов (GC).
Таблица 1. Значения ключевых метаболитов в исследуемых группах
Метаболит | MW* | Кратность летальн. /нелетальн. |
Церамид (d18:1/22:0) | 4 | 0.503 |
Церамид (d18:1/24:0) | 9 | 0.531 |
Церамид (d18:1/24:0 OH) | 11 | 0.579 |
Церамид (d18:1/22:2 OH) | 12 | 0.564 |
Церамид (d18:1/23:0) или церамид (d18:1/22:1 OH) | 12 | 0.529 |
Церамид (d18:1/25:0) | 13 | 0.524 |
Гликосфинголипид (18:1/22:0) | 13 | 0.486 |
Гликосфинголипид (18:1/24:1) | 15 | 0.356 |
Церамид (d18:1/20:1 OH) | 18 | 0.621 |
Церамид (d18:1/22:0 OH) | 18 | 0.685 |
Церамид (d18:1/24:1) | 19 | 0.450 |
Церамид (d18:1/20:0) | 21 | 0.658 |
Церамид (d18:1/18:0) | 23 | 0.695 |
Церамид (d18:1/26:1) | 23 | 0.702 |
Сфингомиелин (d18:1/22:0 OH) | 23 | 0.663 |
Церамид (d18:1/16:0 OH) | 24 | 0.712 |
Церамид (d18:1/26:2) | 24 | 0.653 |
Церамид (d18:1/16:1 OH) | 25 | 0.731 |
Церамид (d18:1/24:2 OH) | 27 | 0.641 |
Сфингомиелин (d18:1/22:2) | 27 | 0.683 |
3-Фосфоглицериновая кислота | 28 | 0.456 |
Церамид (d18:1/18:0 OH) | 28 | 0.680 |
Сфингомиелин (d18:1/24:0) | 28 | 0.569 |
Церамид (d18:1/18:1 OH) | 29 | 0.719 |
Церамид (d18:1/18:1) | 29 | 0.738 |
Кортикостерон | 29 | 0.594 |
Гликосфинголипид (18:1/20:0) | 29 | 0.648 |
Сфингомиелин (d18:1/16:2 OH) | 29 | 0.750 |
Сфингомиелин (d18:1/18:2 OH) | 30 | 0.686 |
Плазмалоген (p18:0/22:6) | 31 | 0.655 |
5-Гидроксииндолуксусная кислота | 32 | 1.788 |
Гликосфинголипид (18:1/16:0) | 32 | 0.561 |
*MW – значение U-статистики Манна–Уитни.
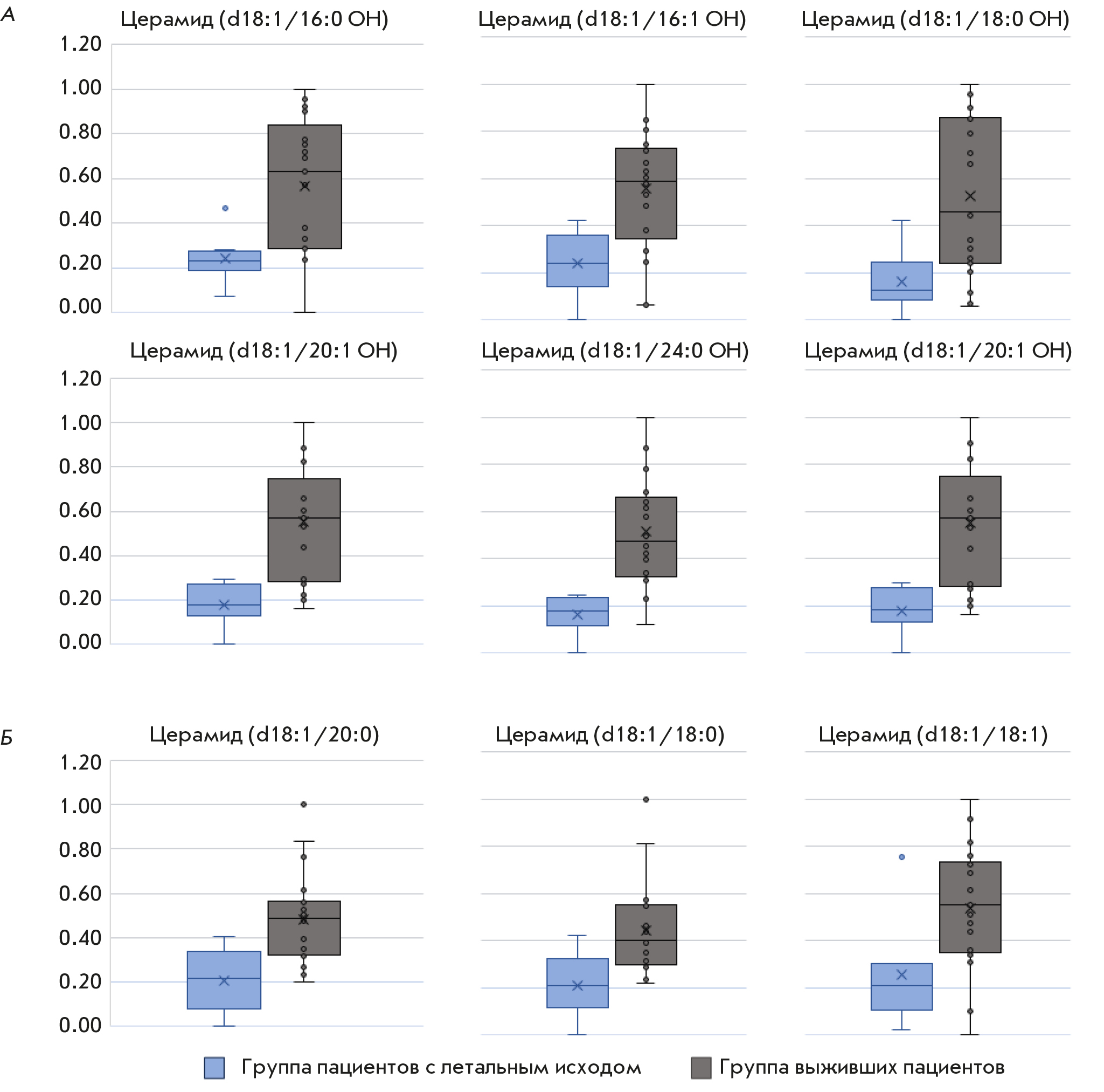
Сравнительный анализ содержания выявленных метаболитов в образцах групп пациентов показал, что уровни всех метаболитов в плазме пациентов с летальным исходом были заметно ниже, чем у выживших пациентов. Исключение составила только 5-гидроксииндолуксусная кислота, уровень которой увеличился более чем в 1.5 раза. На рис. 1 представлены нормализованные значения площадей пиков ряда церамидов в двух группах.
Рис. 1. Содержание церамидов в исследуемых группах. А – гидроксилированные церамиды; Б – церамиды без гидроксильных групп
ОБСУЖДЕНИЕ
Церамиды участвуют в различных клеточных процессах, включая патологические. В покоящихся клетках их уровень чрезвычайно низок, однако он может существенно увеличиваться в условиях клеточного стресса или в ответ на различные стимулы (цитокины, лиганды рецепторов апоптоза, противоопухолевые препараты). Более того, накопленные данные свидетельствуют о том, что структурные особенности различных видов церамидов могут определять их специфичность по отношению к определенным клеточным процессам [11]. Однако молекулярные механизмы, детерминирующие эту специфичность и способ действия церамидов на клетки, еще предстоит детально изучить. Предполагается, что основой этого механизма могут быть изменения биофизических свойств мембран, возникающие при образовании церамидов. Эти изменения частично связаны с уникальной молекулярной структурой церамидов, включая их очень малые функциональные группы, гидрофобность и высокую температуру плавления, что способствует снижению их смешиваемости с другими мембранными липидами. В нескольких исследованиях сообщается об увеличении проницаемости мембран при образовании церамидов под действием бактериальной сфингомиелинфосфодиэстеразы (SMase) или при добавлении церамида к предварительно сформированным мембранам. Предполагается, что образование церамидов на клеточной мембране может приводить к изменениям липид-липидных, липид-белковых и белок-белковых взаимодействий, что может значительно влиять на активность белка и, таким образом, на сигнальные процессы [12].
Роль церамидов изучали в ходе развития и течения сердечно-сосудистой патологии. Известно, что развитие атеросклеротических бляшек представляет собой сложный процесс, в значительной мере связанный с воспалением, который начинается с повреждения эндотелия и сопровождается местной инвазией иммунных клеток, накоплением липидов и ремоделированием сосудистой стенки. Изначально считалось, что индукция клеточного апоптоза является основной причиной повреждения клеток, связанного с церамидами [13], однако далее это предположение было поставлено под сомнение, поскольку оказалось, что увеличение уровня клеточных церамидов происходит только на более поздних стадиях апоптоза [14, 15]. На макрофагах, эндотелиальных клетках, гепатоцитах и линиях опухолевых клеток, таких, как линия MCF7 клеток рака молочной железы, показано, что церамиды опосредуют клеточные эффекты рецептора фактора некроза опухоли-α (TNF-α) [16]. Высокие уровни церамидов также были связаны с гибелью клеток миокарда в одной мышиной модели инфаркта миокарда. Кроме того, церамиды могут вызывать сосудистую дисфункцию за счет дезактивации эндотелиальной NO-синтазы [17].
Снижение уровня церамидов в клетках и тканях путем ингибирования ферментов, участвующих в образовании церамидов, препятствует развитию атеросклероза в животных моделях [18]. В сосудистых тканях церамиды продуцируются в ответ на гипергликемию и передачу сигналов TNF-α, участвуют в передаче сигналов NO и воспалении. Повышенный уровень церамидов в крови человека ассоциирован с сердечно-сосудистыми событиями. Кроме того, такие сердечно-сосудистые факторы риска, как ожирение и сахарный диабет, связаны с накоплением церамидов [19].
Одно из первых исследований, связывающих уровни церамидов в крови с прогрессированием сердечно-сосудистых заболеваний, выполнено Meikle и соавт. [20]. С тех пор были проведены обсервационные исследования, которые ясно показали связь определенных подвидов церамидов с повышенным риском сердечно-сосудистых событий. Наиболее полные из этих исследований проведены группами Hilvo и Havulinna [21, 22]. На основании этих работ созданы две различные шкалы риска, показывающие, что, в частности, церамиды C16:0, C18:0, а также C24:1 могут быть маркерами высокого риска сердечно-сосудистых событий, независимыми от других установленных сердечно-сосудистых факторов риска у пациентов с ишемической болезнью сердца [21, 22]. Отметим, что связь повышенных уровней церамида C18:0 с серьезными сердечно-сосудистыми событиями также присутствовала у пациентов без известной ишемической болезни сердца, причем она не зависела от других сердечно-сосудистых факторов риска.
Множество исследований демонстрируют значимость церамидов в реакции воспаления. Например, церамиды участвуют в передаче провоспалительных сигналов в эндотелиальных клетках [23]. В сердечно-сосудистой системе воспалительные процессы активируются различными стимулами, например, молекулярными паттернами, связанными с патогенами или с повреждением [24]. Хотя точные механизмы, лежащие в основе этого явления, до конца не изучены, в нескольких исследованиях показана корреляция между церамидами и активацией воспалительных заболеваний. Впервые этот факт описали Koka и соавт., которые применили фармакологическое ингибирование кислой сфингомиелиназы (ASM) с помощью амитриптилина, а также РНК-интерференцию (RNAi) для изучения эндотелиальных клеток мышей ASM-/-, чтобы показать, что ASM опосредует воспалительную реакцию с участием NLRP3 (пириновый домен семейства NLR3-инфламмасом) [25]. Эти результаты подтверждены in vivo на мышах ASM-/-, а также воспроизведены в исследовании, использующем RNAi против ASM в эндотелиальных клетках [26]. Менее ясна роль церамидов в активации NLRP3 в макрофагах. Camell и соавт. [27] не обнаружили участия пути синтеза de novo, включающего серин-пальмитоилтрансферазу, в активации воспаления, однако иные пути производства церамидов не анализировались. Scheiblich и соавт. показали, что активация SPT или внешнее применение нефизиологического церамида C2 приводит к активации NLRP3 и высвобождению интерлейкина-1β (IL-1β) в клетках микроглии [28]. Введение церамида C2 приводило к активации воспаления в макрофагах костномозгового происхождения [29]. Было высказано предположение, что церамиды и активация воспаления связаны между собой [30, 31]. В частности, церамиды, полученные в реакции с ASM, по-видимому, важны для передачи сигналов воспаления [32]. Наконец, остается неясным, активируются ли церамиды напрямую при воспалительных процессах или если активация опосредуется молекулярными паттернами, связанными с патогеном, или молекулярными паттернами, связанными с повреждением. Доказательства прямой активации воспаления церамидами в настоящее время отсутствуют.
Церамиды и SARS-CoV-2
Исследования показывают, что при SARS-CoV-2 может наблюдаться как повышение, так и понижение уровней церамидов. Повышенные уровни церамидов могут быть связаны с активацией апоптоза, что приводит к гибели клеток и, возможно, способствует развитию воспалительных процессов, характерных для тяжелых форм COVID-19. С другой стороны, снижение уровней церамидов может быть связано с истощением их предшественников или нарушением их синтеза под влиянием вируса [33, 34]. Хотя механизм связывания вируса SARS-CoV-2 с его рецептором [35, 36], ангиотензин-превращающим ферментом 2 (ACE2) и протеазой TMPRSS2, которая активирует вирусную пепломеразу, хорошо изучен, изменения в клеточной мембране, происходящие в процессе инфекции, представляют собой сложный и многофакторный процесс. Во время процессинга вируса в клетке-хозяине происходят значительные изменения в липидном составе мембраны, включая изменения в уровнях церамидов и других сфинголипидов. Эти изменения могут быть вызваны не только апоптозом, но и тем, что вирус может изменять состав мембраны для оптимизации своей репликации, влияя на уровень церамидов и других липидов; нарушением нормального липидного обмена в клетке, что может приводить к изменениям в уровнях церамидов и других липидов. Эти патологические процессы участвуют в микрососудистом повреждении при SARS-CoV-2, поэтому ассоциируются с сердечно-сосудистыми осложнениями у больных SARS-CoV-2.
ЗАКЛЮЧЕНИЕ
В настоящем исследовании изучен уникальный фенотип заболевания – сочетание острого коронарного синдрома с SARS-CoV-2. При сравнении с ОКС без SARS-CoV-2 выявлен повышенный уровень церамидов в группе ОКС без SARS-CoV-2, что может указывать на их роль в патогенезе данного сочетания заболеваний. Кроме того, отмечен парадоксальный ответ метаболической системы организма на острое коронарное событие в сочетании с COVID-19: в подгруппе с летальными исходами уровни церамидов значительно ниже, чем в подгруппе выживших. Возможное объяснение низких уровней церамидов у пациентов с летальным исходом заключается в истощении предшественников этих метаболитов в терминальном состоянии, что может быть обусловлено влиянием неструктурных белков вируса SARS-CoV-2, которые активируют метаболические пути, участвующие в процессе апоптоза и воспаления. Также предполагается, что активная продукция вирусных частиц может приводить к истощению клетки и разрушению клеточной мембраны, что может объяснять необычайно высокий уровень компонентов клеточной мембраны в плазме у лиц, зараженных вирусом SARS-CoV-2, однако этот феномен требует дальнейшего изучения.
Таким образом, настоящее пилотное исследование показало, что анализ метаболомного профиля с акцентом на уровни церамидов может помочь в определении риска летального исхода у пациентов с острым коронарным синдромом в сочетании с инфекцией SARS-CoV-2. Полученные данные нуждаются в проверке на других популяциях пациентов.
Конфликт интересов. Авторы заявляют об отсутствии конфликта интересов.
Источники финансирования: нет.
Об авторах
Н. Г. Ложкина
Новосибирский национальный исследовательский государственный университет; Федеральный исследовательский центр фундаментальной и трансляционной медицины; Городская клиническая больница № 1
Email: Varalenna@yandex.ru
Россия, Новосибирск, 630090; Новосибирск, 630060; Новосибирск, 630047
О. И. Гущина
Федеральный исследовательский центр фундаментальной и трансляционной медицины; Городская клиническая больница № 1
Автор, ответственный за переписку.
Email: Varalenna@yandex.ru
Россия, Новосибирск, 630060; Новосибирск, 630047
Н. В. Басов
Новосибирский национальный исследовательский государственный университет; Новосибирский институт органической химии им. Н.Н. Ворожцова СО РАН
Email: Varalenna@yandex.ru
Россия, Новосибирск, 630090; Новосибирск, 630090
Е. В. Гайслер
Новосибирский национальный исследовательский государственный университет
Email: Varalenna@yandex.ru
Россия, Новосибирск, 630090
А. Д. Рогачев
Новосибирский национальный исследовательский государственный университет; Новосибирский институт органической химии им. Н.Н. Ворожцова СО РАН
Email: Varalenna@yandex.ru
Россия, Новосибирск, 630090; Новосибирск, 630090
Ю. С. Сотникова
Новосибирский национальный исследовательский государственный университет; Новосибирский институт органической химии им. Н.Н. Ворожцова СО РАН; Институт катализа СО РАН
Email: Varalenna@yandex.ru
Россия, Новосибирск, 630090; Новосибирск, 630090; Новосибирск, 630090
Ю. В. Патрушев
Новосибирский национальный исследовательский государственный университет; Институт катализа СО РАН
Email: Varalenna@yandex.ru
Россия, Новосибирск, 630090; Новосибирск, 630090
А. Г. Покровский
Новосибирский национальный исследовательский государственный университет
Email: Varalenna@yandex.ru
Россия, Новосибирск, 630090
Список литературы
- Westwood M., Ramaekers B., Grimm S., Worthy G., Fayter D., Armstrong N., Buksnys T., Ross J., Joore M., Kleijnen J. // Health Technol. Assess. 2021. V. 25. № 33. P. 1–276.
- Zhang A., Sun H., Wang P., Han Y., Wang X. // J. Proteomics. 2012. V. 75. № 4. P. 1079–1088.
- Colombini M. Ceramide Channels // Adv. Exp. Med. Biol. 2019. V. 1159. P. 33–48.
- Клинические рекомендации «Острый инфаркт миокарда с подъемом сегмента ST электрокардиограммы от 2020 г.» // Рос. кардиол. журн. 2020. Т. 25. № 11. С. 4103.
- Временные методические рекомендации «Профилактика, диагностика и лечение новой коронавирусной инфекции (COVID-19). Версия 17 (09.12.2022)». Министерство здравоохранения Российской Федерации. 2022. С. 1–210.
- Li K., Naviaux J.C., Bright A.T., Wang L., Naviaux R.K. // Metabolomics. 2017. V. 13 № 10. P. 122.
- Basov N.V., Rogachev A.D., Aleshkova M.A., Gaisler E.V., Sotnikova Y.S., Patrushev Y.V., Tolstikova T.G., Yarovaya O.I., Pokrovsky A.G., Salakhutdinov N.F. // Talanta. 2023. V. 267. Р. 125168.
- Patrushev Y.V., Sotnikova Y.S., Sidelnikov V.N. // Protect. Met. Phys. Chem. Surf. 2020. V. 56. № 1. P. 49–53.
- Wu Z., McGoogan J.M. // JAMA. 2020. V. 323. № 13. P. 1239–1242.
- Akhtar Z., Chowdhury F., Aleem M.A., Ghosh P.K., Rahman M., Rahman M., Hossain M.E., Sumiya M.K., Islam A.M., Uddin M.J., et al. // Open Heart. 2021. V. 8. e001617.
- Colombini M. // J. Bioenerg. Biomembr. 2017. V. 49. № 1. P. 57–64.
- Chaurasia B., Summers S.A. // Annu. Rev. Physiol. 2021. V. 10. № 83. P. 303–330.
- Hannun Y.A. // J. Biol. Chem. 1994. V. 4. № 269. № 5. P. 3125–3128.
- Watts J.D., Gu M., Patterson S.D., Aebersold R., Polverino A.J. // Cell Death Differ. 1999. V. 6. P. 105–114.
- Thomas R.L., Matsko C.M., Lotze M.T., Amoscato A.A. // J. Biol. Chem. 1999. V. 274. P. 80–88.
- Al-Rashed F., Ahmad Z., Thomas R., Melhem M., Snider A.J., Obeid L.M., Al-Mulla F., Hannun Y.A., Ahmad R. // Sci. Rep. 2020. V. 10. P. 16802.
- Lallemand T., Rouahi M., Swiader A., Grazide M.H., Geoffre N., Alayrac P., Recazens E., Coste A., Salvayre R., Nègre-Salvayre A., et al. // Arterioscler. Thromb. Vasc. Biol. 2018. V. 38. P. 1479–1492.
- Choi R.H., Tatum S.M., Symons J.D., Summers S.A., Holland W.L. // Nat. Rev. Cardiol. 2021. V. 18. № 10. P. 701–711.
- Junqueira D.L.M., Stach A., Caixeta A., Sallum J., Yasaki E., Tsutsui J., Rizatti E., Rochitte C.E., Ching-Jianhong, Kovalik J.P., et al. // Arq. Bras. Cardiol. 2022. V. 118. № 4. P. 768–777.
- Meikle P.J., Hopwood J.J., Clague A.E., Carey W.F. // JAMA. 1999. V. 281. № 3. P. 249–254.
- Hilvo M., Vasile V.C., Donato L.J., Hurme R., Laaksonen R. // Front. Endocrinol. (Lausanne). 2020. V. 11. P. 628.
- Havulinna A.S., Sysi-Aho M., Hilvo M., Kauhanen D., Hurme R., Ekroos K., Salomaa V., Laaksonen R. // Arterioscler. Thromb. Vasc. Biol. 2016. V. 36. P. 2424–2430.
- Laaksonen R., Ekroos K., Sysi-Aho M., Hilvo M., Vihervaara T., Kauhanen D., Suoniemi M., Hurme R., März W., Scharnagl H., et al. // Eur. Heart J. 2016. V. 37. № 25. P. 1967–1976.
- Takahashi M. // Cardiovasc. Res. 2022. V. 118. P. 372–385.
- Koka S., Xia M., Chen Y., Bhat O.M., Yuan X., Boini K.M., Li P.L. // Redox Biol. 2017. V. 13. P. 336–344.
- Chen Y., Yuan M., Xia M., Wang L., Zhang Y., Li P.L. // Front. Biosci. 2016. V. 21. P. 635–650.
- Camell C.D., Nguyen K.Y., Jurczak M.J., Christian B.E., Shulman G.I., Shadel G.S., Dixit V.D. // J. Biol. Chem. 2015. V. 290. P. 402–413.
- Scheiblich H., Schlütter A., Golenbock D.T., Latz E., Martinez-Martinez P., Heneka M.T. // J. Neurochem. 2017. V. 143. № 5. P. 534–550.
- Vandanmagsar B., Youm Y.H., Ravussin A., Galgani J.E., Stadler K., Mynatt R.L., Ravussin E., Stephens J.M., Dixit V.D. // Nat. Med. 2011. V. 17. P. 179–188.
- Hong J., Bhat O.M., Li G., Dempsey S.K., Zhang Q., Ritter J.K., Li W., Li P.L. // Biochim. Biophys. Acta Mol. Cell. Res. 2019. V. 1866. P. 849–860.
- Grassmé H., Carpinteiro A., Edwards M.J., Gulbins E., Becker K.A. // Cell Physiol. Biochem. 2014. V. 34. P. 45–55.
- Li C., Guo S., Pang W., Zhao Z. // Front. Cell Dev. Biol. 2019. V. 7. P. 378.
- Wang H., Liu C., Xie X., Niu M., Wang Y., Cheng X., Zhang B., Zhang D., Liu M., Sun R., et al. // Immunity. 2023. V. 56. № 6. P. 1410–1428.
- Gui Y.K., Li Q., Liu L., Zeng P., Ren R.F., Guo Z.F., Wang G.H., Song J.G., Zhang P. // Brain Res. Bull. 2020. V. 158. P. 122–127.
- Kornhuber J., Hoertel N., Gulbins E. // Mol. Psychiatry. 2022. V. 27. № 1. P. 307–314.
- Ivanisenko V.A., Gaisler E.V., Basov N.V., Rogachev A.D., Cheresiz S.V., Ivanisenko T.V., Demenkov P.S., Mishchenko E.L., Khripko O.P., Khripko Y.I., et al. // Sci. Rep. 2022. V. 12. № 1. P. 977.
Дополнительные файлы


