Уровень мРНК MMP-9 и прогрессирование мостовидного фиброза при токсическом поражении печени
- Авторы: Лебедева Е.И.1, Бабенко А.С.2, Щастный А.Т.1
-
Учреждения:
- Витебский государственный медицинский университет
- Белорусский государственный медицинский университет
- Выпуск: Том 15, № 2 (2023)
- Страницы: 50-58
- Раздел: Экспериментальные статьи
- URL: https://ogarev-online.ru/2075-8251/article/view/253800
- DOI: https://doi.org/10.32607/actanaturae.17856
- ID: 253800
Цитировать
Аннотация
Методы лечения заболеваний печени, при которых фиброз является ключевым патогенетическим звеном, до сих пор остаются актуальной проблемой гепатологии. Проведен анализ уровня мРНК MMP-9, количества FAP+-, α-SMA+-, CD45+-клеток в девяти временных точках фиброза и цирроза. Установлено, что в случае фиброза печени выбор оптимального референсного гена зависит от стадии фиброгенеза. При детальном изучении конкретных стадий, а не всего процесса в длительном эксперименте следует использовать дополнительный выбор оптимального референсного гена. Уровень экспрессии мРНК MMP-9 стоит рассматривать как маркер инициации и развития фиброза печени, но не прогрессирования цирроза. В печени одновременно выявлены две морфологически неоднородные популяции миофибробластов, которые синтезировали различные типы иммуногистохимических маркеров. Показано, что FAP+-клетки вносят основной вклад в развитие портального и начального этапа мостовидного фиброза. В выбранной экспериментальной модели инициация и развитие фиброза до начала перестройки паренхимы протекают с низким уровнем воспаления.
Ключевые слова
Полный текст
СПИСОК СОКРАЩЕНИЙ
ВВЕДЕНИЕ
Белок ММР-9, также известный как коллагеназа IV типа (желатиназа В), принадлежит к крупному семейству матриксных цинкзависимых протеиназ (MMP). Практически все члены этого семейства играют важную роль в регенерации печени, контроле количества белков внеклеточного матрикса, участвуют в фиброзе и циррозе, канцерогенезе и других процессах [1]. Благодаря многолетнему изучению молекулярных механизмов развития фиброза печени стало известно, что белки ММР-2 и ММР-9 вовлекаются в этот патологический процесс практически на всех стадиях и выполняют ключевую функцию в его прогрессировании [2, 3]. Наряду с этим, уровень ряда ММР в плазме крови является маркером фиброза, а некоторые терапевтические подходы направлены на ММР-9 как на специфическую мишень [4–7].
В ряде работ отмечено увеличение экспрессии белка ММР-9 и соответствующей мРНК на фоне прогрессирования фиброза печени. При этом этиологические факторы, вызывающие фиброз, не имеют большого значения. Показано, что рост экспрессии ММР-9 наблюдается при токсических поражениях печени, равно как и на фоне вирусного гепатита [8, 9]. По мере развития фиброза происходит увеличение удельного объема соединительной ткани и в ряде случаев сообщают о корреляции этого процесса с ростом уровня мРНК MMP-9. Металлопротеиназа в норме отвечает за деградацию соединительной ткани, обновление коллагена и поддержание оптимального уровня белков внеклеточного матрикса [10, 11].
Однако связь между ростом уровня мРНК MMP-9 и прогрессированием фиброза печени до сих пор не изучена [1–3]. Кроме этого, на существующих экспериментальных моделях животных изучают конкретные, далеко отстоящие друг от друга, ключевые позиции, – норма, фиброз и цирроз, либо фиброгенез не на всем протяжении времени. Эти ограничения могут скрывать важные детали динамики уровня ММР-9 [8–11].
Стеллатные клетки (HSC) принято считать основной клеточной популяцией, синтезирующей межклеточное вещество при патологиях печени. В научной литературе стеллатные клетки имеют разные названия: жиронакапливающие клетки, липоциты, перисинусоидные клетки, звездчатые клетки печени, клетки Ито и перициты [12–15]. В условиях физиологической нормы HSC локализуются в перисинусоидном пространстве, регулируют кровоток в синусоидах, функционируя как перициты, обладают низкой пролиферативной активностью и способностью к секреции коллагенов [13, 15]. Поражения печени преимущественно вирусной и токсической этиологии стимулируют активацию и трансдифференцировку HSC в миофибробластический фенотип с избыточной экспрессией α-SMA [12, 14–16]. Процессы активации, трансдифференцировки HSCs в настоящее время до конца не изучены и эффективная антифибротическая терапия не разработана. Источник покоящихся и активированных HSC не установлен. Предполагают, что их пул пополняется за счет клеток костного мозга, но нельзя исключать и то, что это самоподдерживающаяся популяция клеток [12, 16–18].
При холестатических заболеваниях печени источником миофибробластов считают резидентные портальные фибробласты (PF) [13]. Окончательная роль PF в развитии холестатического фиброза до сих пор остается дискуссионной. В исследованиях с использованием Col-GFP и Mdr2-/--мышей на начальных стадиях холестатического фиброгенеза источником миофибробластов выступали PF. Дальнейшее прогрессирование фиброза приводило к трансдифференцировке HSC в фиброгенный фенотип [16]. В других работах отмечено, что холестатический фиброз сопровождается одновременной активацией PF и HSC [16–18].
В настоящей работе мы предположили, что рост уровня мРНК MMP-9 может быть связан со скоростью образования соединительной ткани в ходе фиброгенеза. В соответствии с этим, целью настоящей работы было получение новых данных об уровне экспрессии мРНК MMP-9 и фиброгенной популяции клеток на разных стадиях токсического фиброза печени.
ЭКСПЕРИМЕНТАЛЬНАЯ ЧАСТЬ
Дизайн эксперимента был одобрен на заседании Комиссии по биоэтике и гуманному обращению с лабораторными животными при учреждении образования «Витебский государственный ордена Дружбы народов медицинский университет» (протокол № 6 от 03.01.2019). В работе использовали половозрелых крыс-самцов Wistar весом от 190–210 г. Фиброз и цирроз печени моделировали путем хронической интоксикации тиоацетамидом (ТАА; Acros Organics). Свежеприготовленный раствор ТАА вводили интрагастрально через зонд в дозе 200 мг/кг массы тела 2 раза в неделю в течение 17 нед. Крысы контрольной группы (n = 12) получали воду без ТАА в аналогичном объеме. Животных рандомизировали на 8 групп (n = 12 в каждой) в зависимости от длительности воздействия ТАА: 3 нед. (1-я группа), 5 нед. (2-я группа), 7 нед. (3-я группа), 9 нед. (4-я группа), 11 нед. (5-я группа), 13 нед. (6-я группа), 15 нед. (7-я группа), 17 нед. (8-я группа).
Гистологические и морфометрические методы исследования
После декапитации под кратковременным эфирным наркозом с применением гильотины из большой левой доли печени крыс забирали образцы диаметром 5–10 мм, которые помещали в 10% раствор нейтрального формалина («Биовитрум»,) на фосфатном буфере и фиксировали в течение 24 ч. Затем проводили обработку фиксированного материала с последующей заливкой в парафин с использованием автомата для гистологической обработки ткани STP-120 (Thermo Fisher Scientific, Германия) и станции для заливки ткани парафином EC350 (Thermo Fisher Scientific). От каждого животного получали по одному блоку для каждого метода окрашивания и с помощью ротационного микротома НМ340Е (MICROM, Laborgerate GmbH, Германия) готовили в среднем по 3–4 среза толщиной 4 мкМ и помещали их на предметные стекла. Для получения обзорных гистологических препаратов срезы печени окрашивали гематоксилином и эозином, а для выявления соединительной ткани – по Маллори с помощью автомата для окраски HMS70 (Thermo Fisher Scientific) [19].
Иммуногистохимическое исследование проводили на парафиновых срезах [20]. В качестве маркера активированных PF применяли поликлональные антитела кролика FAP (FAP-alpha, пролилэндопептидаза FAP, разведение 1 : 100), активированных HSC – моноклональные антитела мыши к α-SMA (alpha-SMA, АСТА2, разведение 1 : 1000), гемопоэтических стволовых клеток – поликлональные антитела кролика (CD45, разведение 1 : 200). Антитела производства Wuman Elabscience Biotechnology Incorporated Company, каталожный номер Е-АВ-32870 (FAP), Е-АВ-22155 (α-SMA), Е-АВ-16319 (CD45). В работе также использовали набор 2-step plus Poly-HRP Anti Rabbit/Mouse IgG Detection System/with DAB Solution; Retrieve-All Antigen (Unmasking System Basic), буфер для разведения антител (BioLegend), Твин-20 (Glentham Life Sciences), PBS (Melford). Для лучшей ориентации в препарате и правильной идентификации клеток, содержащих искомый антиген, срезы докрашивали гематоксилином Майера в течение 1 мин. Для объективной интерпретации результатов каждой исследуемой серии (группы животных) использовали положительный и отрицательный контроли. Иммуногистохимическую окраску оценивали как положительную только при отсутствии окрашивания в отрицательном контроле и, наоборот, как отрицательную при окрашивании в положительном контроле.
Морфометрический анализ
Гистологические препараты исследовали с использованием компьютерных программ ImageScope Color и cellSens Standard. Площадь соединительной ткани определяли в процентах к общей площади среза [21]. Измерения осуществляли, используя микрофотосъемку случайных полей зрения (не менее 3 в каждом гистологическом срезе) препаратов печени цифровой камерой OLYMPUS XC30 (Япония) на базе микроскопа OLYMPUS BX51 (Япония) при увеличении объектива 20×. Количество FAP-позитивных клеток (FAP+-клетки), α-SMA-позитивных клеток (α-SMA+-клетки) и CD45-позитивных клеток (CD45+-клетки) подсчитывали в трех полях зрения каждого гистологического среза при увеличении объектива 40×. Степень фиброза оценивали с использованием полуколичественной шкалы Ishak K.G. (табл. 1) [22, 23].
Таблица 1. Стадии фиброза печени по шкале K.G. Ishak
Стадии фиброза по шкале Ishak K.G. | Морфологическая характеристикастепени выраженности фиброза |
F0 | Фиброз отсутствует |
F1 | Фиброзное расширение портальных зон с короткими фиброзными септами и без них |
F2 | Фиброзное расширение большинства портальных зон с короткими фиброзными септами и без них |
F3 | Фиброзное расширение большинства портальных зон с единичными мостовидными портопортальными септами |
F4 | Фиброзное расширение большинства портальных зон с выраженными мостовидными портопортальными и портоцентральными септами |
F5 | Многочисленные мостовидные септы с единичными узелками(неполный цирроз) |
F6 | Цирроз |
Оценка относительного уровня мРНК гена MMP-9
Для исследования мРНК MMP-9 образцы печени помещали в криопробирки и далее в жидкий азот для хранения до начала процедуры выделения суммарной РНК. Общую фракцию РНК выделяли согласно инструкции производителя набора АртРНК MiniSpin («АртБиоТех», Беларусь). кДНК cинтезировали с использованием олиго(dT)-праймеров и набора реагентов ArtMMLV Total («АртБиоТех») в соответствии с инструкцией производителя. В каждой реакции использовали 200 нг общей фракции РНК. Олигонуклеотидные праймеры и зонды для полимеразной цепной реакции в режиме реального времени (ПЦР-РВ) подбирали с помощью бесплатного онлайн-приложения Primer3 v. 0.4.0 (http://bioinfo.ut.ee/primer3-0.4.0/).). В качестве кандидатов в референсные гены были выбраны hes1, sdha и hprt. Последовательности олигонуклеотидов представлены в табл. 2.
Таблица 2. Олигонуклеотидные праймеры и флуоресцентно меченные зонды, использованные в работе
Название олигонуклеотида | Нуклеотидная последовательность, 5’ → 3’ | Метка, 5’ | Метка, 3’ |
mmp-9F | CTACTCGAGCCGACGTCAC | ||
mmp-9R | AGAGTACTGCTTGCCCAGGA | ||
mmp-9P | GATGTGCGTCTTCCCCTTCG | FAM | BHQ1 |
hes1F | GAAAGATAGCTCCCGGCATT | ||
hes1R | CGGAGGTGCTTCACTGTCAT | ||
hes1P | CCAAGCTGGAGAAGGCAGACA | FAM | BHQ1 |
hprtF | GGACAGGACTGAAAGACTTGCT | ||
hprtR | ACAGAGGGCCACAATGTGAT | ||
hprtP | CATGAAGGAGATGGGAGGCC | FAM | BHQ1 |
sdhaF | CCCACAGGTATCTATGGTGCT | ||
sdhaR | TTGGCTGTTGATGAGAATGC | ||
sdhaP | CATCACAGAAGGGTGCCGTG | FAM | BHQ1 |
ПЦР-РВ проводили с использованием реагентов производства «Праймтех», Беларусь. Конечный объем реакционной смеси составлял 25 мкл и содержал все необходимые компоненты в следующих концентрациях: 2 мМ хлорида магния, 0.1 мМ смеси дезоксинуклеотидтрифосфатов, 500 нМ олигонуклеотидов, включая зонд для ПЦР-РВ, 1.25 ед. термостабильной Taq-ДНК-полимеразы с соответствующим буферным раствором. Режим термоциклирования: 95оС – 2 мин, затем 40 циклов: 95оС – 5 с, 60оС – 45 с. Детекция по каналу FAM после каждого цикла. В работе использовали прибор CFX96touch (BioRad, США). Эффективность реакций определяли с помощью метода стандартной кривой и серий разведений концентрированных образцов кДНК. ПЦР-РВ каждого образца биологического материала проводили в трех повторах. В каждой экспериментальной и контрольной группах каждый из 12 образцов анализировали по отдельности для получения наибольшей достоверности и учета внутригрупповой вариации, фенотипической гетерогенности уровня экспрессии генов.
Статистический анализ
Полученные результаты обрабатывали в программе Statistica 10.0 (StatSoft, Inc.), Microsoft Office Excel (Microsoft Corp.). В каждой выборке определяли нормальность частотного распределения каждого признака. Поскольку выборки не были малыми (n = 60>50), проверку осуществляли по критерию Лиллиефорса. Данные представлены в виде средних арифметических (М) и соответствующих доверительных интервалов (95%ДИ), медианы и значения 15 и 85 процентилей (Ме (15%; 85%)). Об уровне статистической значимости различий изучаемых признаков в группах с нормальным распределением данных судили по t-критерию Стьюдента; при отличии выборок от нормального распределения использовали U-критерий Манна–Уитни. Для наглядности результаты статистической обработки данных представляли в виде графиков однофакторного и двухфакторного параметрического дисперсионного анализа. Так как во всех группах было одинаковое количество исследуемых признаков, допустимо использовать параметрический дисперсионный анализ [24].
РЕЗУЛЬТАТЫ
Патоморфологический анализ печени крыс
Рис. 1. Фрагменты печени крыс контрольной группы (А), через 3 нед. (Б), 7 нед. (В), 9 нед. (Г), 13 нед. (Д), 17 нед. (Е) после начала эксперимента. Окраска по методу Маллори. ×40 (А, Б), ×20 (В, Г). Окраска гематок- силином-эозином. ×20 (Д, Е). А – незначительное количество соединительной ткани в области центральной вены (стрелка); Б – соединительная ткань в портальной зоне (стрелки); В – соединительнотканные септы между портальными зонами (стрелки); Г – сформированная ложная печеночная долька (выделена овальной рамкой); Д – сформированные ложные печеночные дольки разной формы и диаметра; Е – резко выраженная деструкция органа, клетки лимфоидно-гистиоцитарного инфильтрата (стрелки)
У животных интактной группы выявили незначительное количество соединительной ткани вокруг междольковых сосудов и желчных протоков портальных зон, центральных и собирательных вен (F0, рис. 1А).
Важно отметить, что по мере прогрессирования фиброза печени скорость разрастания соединительной ткани была неодинаковой (рис. 2).
К 3 нед. эксперимента отмечали умеренное формирование фиброзной соединительной ткани в портальных зонах (F1, рис. 1Б). На 5 нед. процесс образования фиброзной ткани замедлился, но при этом она одновременно определялась как в портальных зонах, так и в паренхиме (мостовидный фиброз, F2/F3). К 7 нед. эксперимента интенсивность синтеза соединительной ткани сохранилась практически на том же уровне, как и на 5 нед. (F3/F4, рис. 1В). На этапе перехода от фиброза к циррозу снова наблюдали усиленное формирование соединительной ткани, аналогичное началу эксперимента (3 нед.). Через 9 нед. у портальных зон происходило образование ложных печеночных долек, что было морфологическим критерием начальной трансформации фиброза в цирроз (F4/F5, рис. 1Г). В период с 11 по 17 нед. разрастание соединительной ткани достигало максимально значения (F6, рис. 1Д,Е).
В печени интактных животных клетки лимфоидно-гистиоцитарного инфильтрата практически отсутствовали. Это указывает на чрезвычайно низкую выраженность воспаления или его полное отсутствие. Вопреки распространенному мнению о росте уровня воспаления при развитии фиброза, на 3 нед. и далее на 5 и 7 нед. не выявили морфологически значимых очагов воспаления, что свидетельствовало о том, что инициация и развитие фиброза до начала перестройки паренхимы протекали в данной токсической модели с низким уровнем воспаления. Начиная с 9 нед. эксперимента, на этапе активной трансформации фиброза в цирроз наблюдали диффузные очаги воспаления в соединительнотканных септах и портальных зонах. К 11 нед. (стадия неполного цирроза) уровень воспаления оценивали как умеренный. Количество клеток лимфоидно-гистиоцитарного ряда увеличилось. С 13 по 17 нед. на стадии развитого цирроза уровень воспаления стремительно нарастал и расценивался нами как высокий (рис. 1Д,Е).
Рис. 2. Изменение площади соединительной ткани на разных этапах исследования
Изменение количества клеток, экспрессирующих маркеры FAP, α-SMA и CD45
Клетки, синтезирующие маркер FAP+, в печени интактных животных отсутствовали (рис. 3А). В синусоидах α-SMA+-клетки не отмечены (рис. 3Б), но в отдельных случаях их выявляли в стенках междольковых артерий, междольковых и поддольковых вен. CD45+-клетки крайне редко локализовались в просветах сосудов и синусоидах, вместе с тем в паренхиме не визуализировались (рис. 3В).
Рис. 3. Фрагменты печени крыс контрольной группы (А, Б, В), через 15 нед. (Г, Д), через 17 нед. (Е) после на- чала эксперимента. Иммуногистохимическое окрашивание: на FAP – (А, Д); на α-SMA – (Б, Г); на CD45 – (В, Е). Докраска гематоксилином Майера. Увеличение ×40. А – FAP+-клетки отсутствуют; Б – α-SMA+-клетки в сину- соидах не выявлены; В – CD45+-клетки в паренхиме отсутствуют; Г – α-SMA+-клетки (стрелки); Д – FAP+-клетки (стрелки); Е – CD45+-клетки в соединительнотканной септе (стрелки)
Начиная с 3 нед., наблюдали рост количества всех клеток, несущих указанные маркеры, однако число α-SMA+-, CD45+-клеток превышало число FAP+-клеток (рис. 4).
Рис. 4. Изменение количества FAP+-, α-SMA+-, CD45+- клеток на различных этапах исследования
На 5 нед. количество клеток, несущих целевые маркеры, увеличилось, при этом разрыв между FAP+-клетками и α-SMA+-клетками сократился. В то же время прирост CD45+-клеток был минимальным. Далее на 7 и 9 нед. ситуация с FAP+- и α-SMA+-клетками повторяется. На 7 нед. прирост числа α-SMA+-клеток более выражен (в % отношении), на 9 нед. разрыв между количеством FAP+- и α-SMA+-клеток снова сокращается. Наблюдали также рост CD45+-клеток, однако по мере прогрессирования фиброза его темпы замедляются, что переводит данный параметр в разряд минорных по критерию темпов роста. С 11 по 13 нед. эксперимента при переходе фиброза в цирроз снова наблюдали увеличение разрыва в темпах роста FAP+- и α-SMA+-клеток, на фоне которого зафиксировали некоторое снижение числа CD45+-клеток. Их доля на 15 и 17 нед. оставалась самой низкой на фоне FAP+- и α-SMA+-клеток при зафиксированном росте. В то же время количество α-SMA+-клеток быстро нарастало. На всех сроках выявлена статистически значимая сильная корреляция между площадью соединительной ткани и количеством FAP+-, α-SMA+-, CD45+-клеток.
На гистологических препаратах α-SMA+-клетки округлой формы наблюдали в синусоидах и очагах некроза до начала процесса трансформации фиброза в цирроз (9 нед.). С 11 по 17 нед. они находились как в синусоидах, так и в соединительнотканных септах (рис. 3Г). FAP+-клетки округлой формы на первом этапе эксперимента располагались вокруг междольковых сосудов и вблизи междольковых желчных протоков портальных зон, а с 7 нед. их выявляли в соединительнотканных септах и синусоидах (рис. 3Д). С помощью метода окраски по Маллори мы наблюдали направленное разрастание волокон фиброзной соединительной ткани с FAP+-клетками от двух портальных зон через паренхиму печени навстречу друг другу, предопределяя путь для патологической ткани и формирования соединительнотканных мостов – мостовидный фиброз. CD45+-клетки локализовались диффузно среди других клеток лимфоидно-гистиоцитарного инфильтрата соединительнотканных септ и портальных зон, а также в просвете сосудов (рис. 3Е). Реже они выявлялись в синусоидах ложных печеночных долек.
Уровень экспрессии мРНК MMP-9
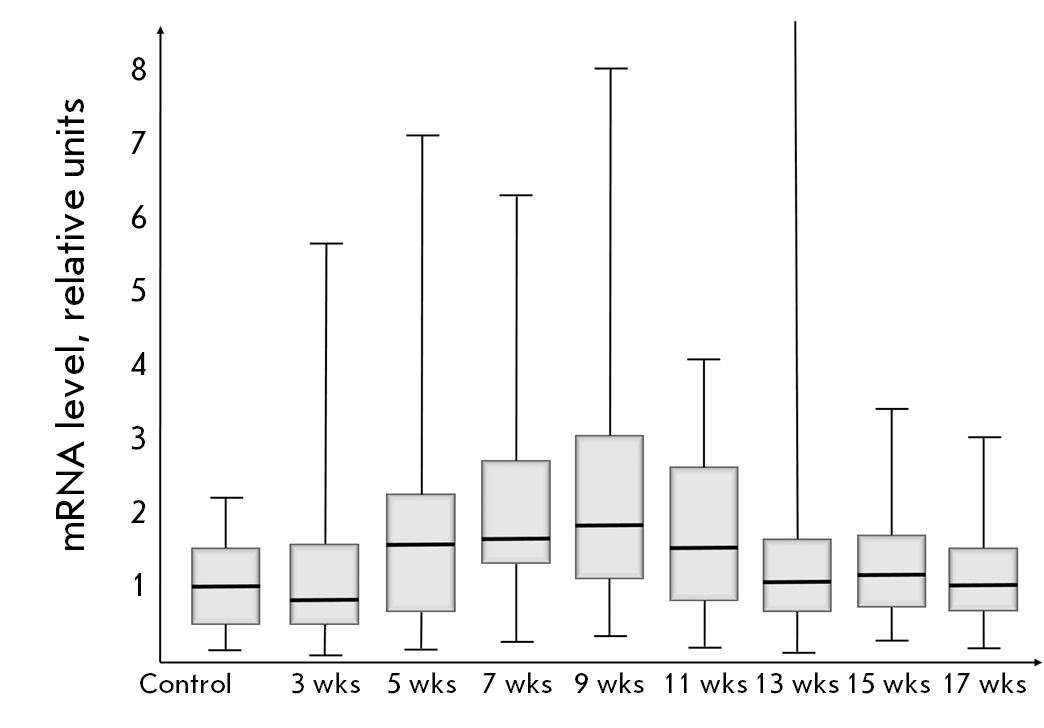
В качестве референсного гена для нормализации данных ПЦР-РВ выбрали ген hes1, поскольку уровень его экспрессии был наиболее стабильным на протяжении всего эксперимента. Использование генов hprt1 и sdha в качестве референсных признано нецелесообразным в силу высокой вариабельности уровня их мРНК. Эффективность ПЦР-РВ для мишени (MMP-9) и референсного гена (hes1) отличалась менее чем на 1% [25], поэтому относительный уровень мРНК оценивали с использованием стандартного метода K.J. Livak, T.D. Schmittgen [26]. Данные о нормализованном уровне экспрессии мРНК гена MMP-9 представлены на рис. 5.
Рис. 5. Относительный уровень мРНК гена MMP-9
В анализ включили все значения, полученные в рамках исследования, не исключая «выбросов». Невысокий уровень мРНК MMP-9 отмечен в контрольной точке (интактные крысы). Интересно отметить, что к 3 нед. эксперимента на фоне развивающегося фиброза относительный уровень MMP-9 не увеличился и даже несколько снизился по сравнению с контрольным значением. В то же время уровень ММР-9 повысился на сравнительно небольшом промежутке между 5 и 9 нед. эксперимента с последующим снижением до начального уровня. На фоне роста экспрессии мРНК MMP-9 происходил процесс трансформации фиброза в цирроз. Начиная с 11 нед., уровень мРНК MMP-9 снизился и, в итоге, уже с 13 по 17 нед. соответствовал начальному в контрольной точке.
Важно отметить, что рост уровня мРНК MMP-9 в рамках фиброгенеза отмечен во многих работах, выполненных на лабораторных животных [27, 28]. Однако исследователи часто не уделяют достаточного внимания как подробному анализу всех этапов фиброза, так и выбору подходящего референсного гена для нормализации данных ПЦР-РВ. На рис. 6 представлены результаты нормализации полученных нами данных с использованием двух других референсных генов (hprt1, sdha). Диапазон значений Ct указанных генов в рамках эксперимента был выше, чем у гена мишени – MMP-9.
Рис. 6. Относительный уровень мРНК гена MMP-9 при использовании различных генов для нормализации данных ПЦР-РВ
На рис. 6 приведен пример неадекватного использования референсных генов для нормализации данных ПЦР-РВ. Например, при использовании hprt1 в среднем регистрируется повышение уровня мРНК MMP-9 и также снижение на 3 нед. Однако относительные показатели варьируют в значительной степени. Мы считаем, что точность таких измерений может быть достаточной лишь при небольшом количестве контрольных точек эксперимента, но не рекомендуем использовать hprt1 при подробном анализе стадий фиброза. В случае sdha становится невозможной регистрация падения уровня MMP-9 на 3 нед. эксперимента, равно как и начало его падения на 11 нед. Стоит отметить, что выбор оптимального референсного гена зависит от стадии фиброза. При подробном изучении конкретных стадий, а не всего процесса в длительном эксперименте, следует дополнительно выбирать оптимальный референсный ген [19].
ОБСУЖДЕНИЕ
В рамках настоящей работы мы не оценивали уровень белка ММР-9 и не можем сказать, какие клетки его синтезируют. Это будет предметом дальнейших исследований. Показано, что в печени MMP-9 секретируется в основном клетками Купфера (резидентные макрофаги) [29, 30]. MMP-9 активирует латентный TGFβ (трансформирующий фактор роста бета) и способствует таким образом трансдифференцировке HSC в миофибробластический фенотип и прогрессированию фиброза печени в дальнейшем [31–33]. При этом Atta H. и соавт. отмечают, что MMP-9 может способствовать апоптозу трансформированных HSC при низком уровне TIMP1 (тканевый ингибитор матриксных металлопротеиназ), и в этом процессе важную роль выполняют клетки Купфера [29, 30, 34]. Противоречивость данных затрудняет понимание роли клеток Купфера в фиброгенезе печени, что указывает на необходимость фундаментальных исследований.
На начальных этапах инициации и развития фиброза печени наблюдалось увеличение площади соединительной ткани (3 нед. эксперимента). При этом уровень мРНК гена MMP-9 несколько снизился по сравнению со значениями в группе интактных животных. Вероятно, это снижение можно рассматривать как один из факторов относительно быстрого накопления белков внеклеточного матрикса. Снижение уровня мРНК MMP-9 может быть связано как с общим токсическим эффектом в ответ на воздействие ТАА, так и с более сложными процессами. Во-первых, развитие фиброза характеризуется дисбалансом между выработкой металлопротеиназ и соответствующих ингибиторов (белки семейства TIMP). Вероятно, TIMP индуцируется до того, как клетки начинают вырабатывать большее количество металлопротеиназ в ответ на токсические повреждения. Во-вторых, экспрессия гена MMP-9 контролируется эпигенетическими механизмами, и увеличение экспрессии может занимать какое-то время и/или ингибироваться на уровне транскрипции.
К 5 нед. эксперимента на фоне роста уровня мРНК MMP-9 ощутимо снижаются темпы образования соединительной ткани. Вероятно, повышается экспрессия соответствующего белка, что приводит к эффективному разрушению коллагена и других белков внеклеточного матрикса. Такую реакцию можно считать попыткой органа противодействовать прогрессированию фиброза за счет гиперактивации металлопротеиназ. Аналогичная ситуация наблюдается и на 7 нед. эксперимента. На фоне незначительного роста уровня мРНК MMP-9 (по сравнению с 5 нед.) скорость синтеза соединительной ткани продолжает снижаться. Так, прирост площади соединительной ткани к 3 нед. по сравнению с контрольной группой составил – 2.1 раза (201%, р<0.05), к 5 нед. – 26.6% (р<0.05) и к 7 нед. всего 5.2% (р<0.05).
На этапе начала перестройки органа и перехода от фиброза к циррозу уровень мРНК MMP-9 достигает максимума – рост в 2.07 раза (р<0.05) по сравнению с контрольной группой животных. Однако скорость разрастания соединительной ткани заметно возрастает к 9 нед. и примерно на 50% (р<0.05) превышает количество, зафиксированное к 7 нед. По-видимому, на этой стадии происходит смена ролей и уровень MMP-9 перестает быть важным фактором сдерживания развития фиброза. Возможно, на передний план выходят факторы, связанные с воспалением, поскольку его роль заметно возрастает, что выражается в росте числа диффузных очагов лимфоидно-гистиоцитарного инфильтрата.
К 11 нед. на стадии неполного цирроза уровень мРНК MMP-9 снижается и, вероятно, не играет важной роли в регуляции скорости увеличения площади соединительной ткани. Снижение ее образования происходит за счет каких-то альтернативных механизмов защиты/регенерации. Прирост мРНК MMP-9 составил всего 13% (р<0.05) по сравнению с 9 нед. При этом более выраженными становятся признаки воспаления и в септах и портальных зонах значительно повышается количество клеток лимфоидно-гистиоцитарного инфильтрата.
На стадии развитого цирроза в период 13–17 нед. уровень мРНК MMP-9 достигает значений в контрольной группе животных. При этом уровень воспаления в органе достигает максимума.
Иммуногистохимическим методом в печени крыс одновременно выявлены две морфологически неоднородные популяции миофибробластов, которые экспрессировали различные типы маркеров. При этом α-SMA+-клетки на ранних стадиях фиброза не располагались вместе с FAP+-клетками. До начала процесса трансформации фиброза печени в цирроз α-SMA+-клетки отмечали в синусоидах печени и в очагах некроза, а затем они локализовались как в синусоидах, так и в соединительнотканных септах. FAP+-клетки на стадии портального фиброза располагались около междольковых сосудов и междольковых желчных протоков портальных зон, а с 7 нед. их выявляли в соединительнотканных септах и синусоидах.
Низкий уровень воспаления до стадии трансформации фиброза печени в цирроз дает основания предположить, что функция клеток, продуцирующих маркер CD45, заключается в их участии в регуляции функций полиморфных клеток патологических септ. Это требует более детальных исследований.
ЗАКЛЮЧЕНИЕ
Результаты нашей работы показывают, что при изучении фиброгенеза печени выбор оптимального референсного гена зависит от стадии фиброза. При подробном изучении конкретных стадий, а не всего процесса в длительном эксперименте, следует дополнительно проводить выбор оптимального референсного гена. Уровень экспрессии мРНК MMP-9 стоит рассматривать как маркер инициации и развития фиброза печени, но не прогрессирования цирроза.
Иммуногистохимическим методом в печени выявлены одновременно две морфологически неоднородные популяции миофибробластов, которые синтезировали различные типы маркеров. FAP+-клетки вносят основной вклад в развитие портального и начального этапа мостовидного фиброза. Их можно рассматривать как одну из популяций миофибробластов при индуцированном тиоацетамидом фиброгенезе печени. В выбранной экспериментальной модели инициация и развитие фиброза до начала перестройки паренхимы протекают с низким уровнем воспаления.
***************
Конфликт интересов: Авторы заявляют об отсутствии конфликта интересов.
Работа выполнена в рамках государственной программы научных исследований «Фундаментальные и прикладные науки – медицине» Министерства здравоохранения Республики Беларусь, задание 2.89 «Изучить роль экспрессии генов NOTCH- и TWEAK-сигнальных путей, участвующих в процессах пролиферации и дифференцировки клеток печени в норме и при ее токсическом поражении» (регистрационный номер 20190107).
Об авторах
Елена Ивановна Лебедева
Витебский государственный медицинский университет
Автор, ответственный за переписку.
Email: lebedeva.ya-elenale2013@yandex.ru
ORCID iD: 0000-0003-1309-4248
доцент, доцент кафедры гистологии, цитологии и эмбриологии
Белоруссия, 210009, Витебск, пр-т Фрунзе, 27Андрей Сергеевич Бабенко
Белорусский государственный медицинский университет
Email: labmdbt@gmail.com
ORCID iD: 0000-0002-5513-970X
доцент, доцент кафедры биоорганической химии
Белоруссия, 220116, Минск, пр. Дзержинского, 83, корпус 15Анатолий Тадеушевич Щастный
Витебский государственный медицинский университет
Email: lebedeva.ya-elenale2013@yandex.ru
ORCID iD: 0000-0003-2796-4240
профессор, заведующий кафедрой хирургии ФПК и ПК
Белоруссия, 210009, Витебск, пр-т Фрунзе, 27Список литературы
- Tsomidis I., Notas G., Xidakis C., Voumvouraki A., Samonakis D.N., Koulentaki M., Kouroumalis E. // Biomedicines. 2022. V. 10. № 12. Р. 3179. https://doi: 10.3390/biomedicines10123179.
- Rezaeian A.A., Yaghobi R., Geramizadeh B. // Trop. Biomed. 2018. V. 35. № 3. Р. 839–848.
- Wanninger J., Walter R., Bauer S., Eisinger K., Schäffler A., Dorn C., Weiss T.S., Hellerbrand C., Buechler C. // Mol. Pathol. 2011. V. 91. № 2. Р. 603–607. https://doi: 10.1016/j.yexmp.2011.07.001.
- Lachowski D., Cortes E., Rice A., Pinato D., Rombouts K., Del Rio Hernandez A. // Sci. Rep. 2019. V. 9. № 1. Р. 7299. https://doi: 10.1038/s41598-019-43759-6.
- Roeb E. // Matrix. Biol. 2018. V. 68–69. Р. 463–473. https://doi: 10.1016/j.matbio.2017.12.012.
- Boeker K.H.W., Haberkorn C.I., Michels D., Flemming P., Manns M.P., Lichtinghagen R. // Clin. Chim. Acta. 2002. V. 316. № 1–2. Р. 71–81. https://doi: 10.1016/s0009-8981(01)00730-6.
- Craig V.J., Zhang L., Hagood J.S., Owen C.A. // Am. J. Respir. Cell. Mol. Biol. 2015. V. 53. № 5. Р. 585–600. https://doi: 10.1165/rcmb.2015-0020TR.
- Lu L., Zhang Q., Wu K., Chen X., Zheng Y., Zhu C., Wu J. // Cancer Lett. 2015. V. 356(2 Pt B). Р. 470–478. https://doi: 10.1016/j.canlet.2014.09.027.
- Crespo I., San-Miguel B., Fernández A., de Urbina J.O., González-Gallego J., Tuñón M.J. // Transl. Res. 2015. V. 165. № 2. Р. 346–357. https://doi: 10.1016/j.trsl.2014.10.003.
- Su F., Zhang W., Chen Y., Ma L., Zhang H., Wang F. // Exp. Ther. Med. 2014. V. 8. № 6. Р. 1677–1682. https://doi: 10.3892/etm.2014.1989.
- Gadd V.L., Melino M., Roy S., Horsfall L., O’Rourke P., Williams M.R., Irvine K.M., Sweet M.J., Jonsson J.R., Clouston A.D., Powell E.E. // Liver Int. 2013. V. 33. № 4. Р. 569–579. https://doi: 10.1111/liv.12050.
- Luo N., Li J., Wei Y., Lu J., Dong R. // Physiol. Res. 2021. V. 70. № 6. Р. 821–829. https://doi: 10.33549/physiolres.934755.
- Baglieri J., Brenner D.A., Kisseleva T. // Int. J. Mol. Sci. 2019. V. 20. № 7. Р. 1723. 10.3390/ijms20071723' target='_blank'>https://doi: 10.3390/ijms20071723.
- Lay A.J., Zhang H.E., McCaughan G.W., Gorrell M.D. // Front. Biosci. (Landmark Ed). 2019. V. 24. № 1. Р. 1–17. https://doi: 10.2741/4706.
- 15.Dhar D., Baglieri J., Kisseleva T., Brenner D.A. // Exp. Biol. Med. (Maywood). 2020. V. 245. № 2. Р. 96–108. https://doi: 10.1177/1535370219898141.
- Fuji H., Miller G., Nishio T., Koyama Y., Lam K., Zhang V., Loomba R., Brenner D., Kisseleva T. // Front. Mol. Biosci. 2021. V. 8. Р. 790032. https://doi: 10.3389/fmolb.2021.790032.
- Wells R.G. // Curr. Pathobiol. Rep. 2014. V. 2. № 4. Р. 185–190. https://doi: 10.1007/s40139-014-0054-y.
- Sun Y., Liu B., Xie J., Jiang X., Xiao B., Hu X., Xiang J. // Mol. Med. Rep. 2022. V. 25. № 5. Р. 181. 10.3892/mmr.2022.12697' target='_blank'>https://doi: 10.3892/mmr.2022.12697.
- Лебедева Е.И., Щастный А.Т., Бабенко А.С. // Молекулярная медицина. 2022. Т. 20. № 2. С. 53–62. https://doi 10.29296/24999490-2022-02-08.
- Теоретические основы и практическое применение методов иммуногистохимии: руководство / Под ред. Коржевского Д.Э. СПб.: СпецЛит, 2014. 119 с.
- Zheng C., Luo J., Yang Y., Dong R., Yu F.X., Zheng S. // 2021. V. 8. Р. 618226. https://doi: 10.3389/fped.2020.618226.
- Everhart J.E., Wright E.C., Goodman Z.D., Dienstag J.L., Hoefs J.C., Kleiner D.E., Ghany M.G., Mills A.S., Nash S.R., Govindarajan S., et al. // Hepatology. 2010. V. 51. № 2. Р. 585–594. https:// doi.org/10.1002/hep.23315.
- Лебедева Е.И., Щастный А.Т., Красочко П.А., Бабенко А.С. // Ветеринарный журнал Беларуси. 2022. № 1(16). С. 105–110.
- Жижин К.С. Медицинская статистика: Учебное пособие. Ростов н/Д: Феникс, 2007. 160 с.
- .A-Z of Quantitative PCR / Ed. Bustin S. La Jolla: International University Line, 2004. 882 p.
- Livak K.J., Schmittgen T.D. // Methods. 2001. V. 4. Р. 402–408. https://doi: 10.1006/meth.2001.1262.
- Mirzavand S., Rafiei A., Teimoori A., Khorsandi L., Bahreini A., Motamedfar A., Beiromvand M. // Parasitol. Res. 2020. V. 119. Р. 2177–2187. https://doi: 10.1007/s00436-020-06700-9.
- Ebrahim H.A., Kamar S.S., Haidara M.A., Abdel Latif N.S., Abd Ellatif M., ShamsEldeen A.M., Al-Ani B., Dawood A.F. // Naunyn Schmiedebergs Arch. Pharmacol. 2022. V. 395. № 9. Р. 1087–1095. https://doi: 10.1007/s00210-022-02264-w.
- Tacke F., Trautwein C. // J. Hepatol. 2015. V. 63. № 4. Р. 1038–1039. https://doi: 10.1016/j.jhep.2015.03.039.
- Murphy F.R., Issa R., Zhou X., Ratnarajah S., Nagase H., Arthur M.J.P., Benyon C., Iredale J.P. // J. Biol. Chem. 2002. V. 277. № 13. Р. 11069–11076. https://doi: 10.1074/jbc.M111490200.
- Wang Q., Liu X., Zhang J., Lu L., Feng M., Wang J. // Mol. Med. Rep. 2019. V. 20. № 6. Р. 5239–5248. https://doi: 10.3892/mmr.2019.10740.
- Kobayashi T., Kim H., Liu X., Sugiura H., Kohyama T., Fang Q., Wen F., Abe S., Wang X. // Am J. Physiol. Lung. Cell. Mol. Physiol. 2014. V. 306. № 11. Р. L1006–10015. https://doi: 10.1152/ajplung.00015.2014.
- Lo R.C., Kim H. // Clin. Mol. Hepatol. 2017. V. 23. № 4. Р. 302–307. https://doi: 10.3350/cmh.2017.0078.
- Atta H., El-Rehany M., Hammam O., Abdel-Ghany H., Ramzy M., Roderfeld M., Roeb E., Al-Hendy A., Abdel Raheim S., Allam H., Marey H. // PLoS One. 2014. V. 9. № 11. Р. e112384. https://doi: 10.1371/journal.pone.0112384.
Дополнительные файлы








