Скрининг сердечно-сосудистых заболеваний у профессиональных спортсменов и роль лейкоцитарных индексов в прогнозировании неблагоприятных исходов тренировочного и соревновательного процессов
- Авторы: Суздалева И.А.1,2, Чернова А.А.1,2, Лукьянова Н.А.1, Кардашова О.О.2, Верещагина С.В.2, Никулина С.Ю.1
-
Учреждения:
- ФГБОУ ВО «Красноярский государственный медицинский университет имени профессора В.Ф. Войно-Ясенецкого» Минздрава России
- ФГБУ «Федеральный Сибирский научно-клинический центр Федерального медико-биологического агентства»
- Выпуск: Том 53, № 3 (2025)
- Страницы: 133-144
- Раздел: ОРИГИНАЛЬНЫЕ СТАТЬИ
- URL: https://ogarev-online.ru/2072-0505/article/view/352929
- DOI: https://doi.org/10.18786/2072-0505-2025-53-015
- ID: 352929
Цитировать
Полный текст
Аннотация
Актуальность. У профессиональных спортсменов заболеваемость со стороны сердечно-сосудистой системы зависит не только от вида спорта, но и от пола, возраста, этнических особенностей, стратегии скрининга, уровня физической нагрузки, ее частоты, длительности и интенсивности. В качестве маркеров перетренированности используют биохимические, иммунологические, гормональные и психологические показатели, однако они не обладают необходимой точностью для прогнозирования развития перетренированности. В этой связи перспективными маркерами представляются лейкоцитарные индексы, рассчитываемые на основании данных общего анализа крови.
Цель – провести скрининг сердечно-сосудистых заболеваний в группе профессиональных спортсменов с помощью стандартных кардиологических методов исследования, оценить прогностическую значимость лейкоцитарных индексов в диагностике эндогенного воспаления, перетренированности и сопоставить значения лейкоцитарных индексов с результатами соревновательной деятельности спортсменов.
Материал и методы. Проведено обсервационное поперечное выборочное одномоментное неконтролируемое исследование. В период с сентября 2021 по август 2022 г. амбулаторно обследованы 180 профессиональных спортсменов высокой спортивной квалификации, занимающихся высокодинамическими видами спорта (исключали контактные виды спорта – единоборства, хоккей на льду, футбол). Всем спортсменам проводили общий анализ крови (взятие крови осуществляли за 2–3 суток до выступления) с последующим подсчетом гематологических лейкоцитарных индексов: SIRI (индекс ответа на системное воспаление), SII (индекс системного воспаления), AISI (совокупный индекс системного воспаления), NLR (отношение нейтрофилов к лимфоцитам), PLR (отношение тромбоцитов к лимфоцитам), MLR (отношение моноцитов к лимфоцитам), ЛИИ (лейкоцитарный индекс интоксикации), ЛИ (лимфоцитарный индекс), ИСЛМ (индекс соотношения лимфоцитов и моноцитов). Выполнено инструментальное исследование сердечно-сосудистой системы, включавшее электрокардиографию (ЭКГ), суточное мониторирование ЭКГ по Холтеру, суточное мониторирование артериального давления (АД), нагрузочную велоэргометрическую пробу и эхокардиографию (ЭхоКГ). Конечными точками исследования были неблагоприятные события, произошедшие на соревнованиях: 1) спортивный травматизм во время выступления (оценка штатного врача сборной команды); 2) ухудшение спортивного результата по сравнению с тем, который спортсмен показывал во время тренировки (оценка группы тренеров).
Результаты. Когорту составили 180 профессиональных спортсменов высокой квалификации (спортивное ориентирование, горные лыжи, биатлон, легкая атлетика, плавание), средний возраст – 20,55 ± 2,69 года, из них 42,2% (n = 76) женщин и 57,8% (n = 104) мужчин. По данным суточного мониторирования АД выявлен высокий процент лиц с разной степенью артериальной гипертензии (АГ): мягкая АГ преимущественно в ночные часы зафиксирована в 18,3% (n = 33) наблюдений, тяжелая АГ в ночное время – в 7,2% (n = 13). По данным 24-часового холтеровского мониторирования ЭКГ зарегистрированы следующие нарушения сердечного ритма и проводимости: в 15% (n = 27) – неполная блокада правой ножки пучка Гиса, в 48,3% (n = 87) – синусовая аритмия, в 7,8% (n = 14) – предсердный ритм. По результатам ЭхоКГ наиболее частым изменением была верхушечная или срединная хорда левого желудочка (44,4%, n = 80). У 13 (7,2%) человек проведение велоэргометрической нагрузочной пробы было прекращено в связи с неадекватным подъемом диастолического АД.
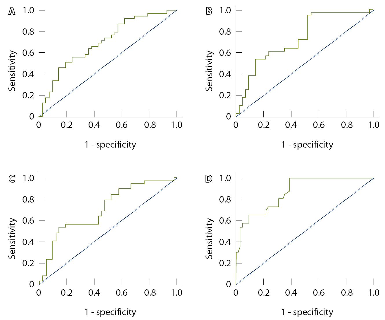
Среди 90 спортсменов, у которых получена валидная оценка развития спортивного травматизма, спортивная травма случилась у 26 (28,9%). Ухудшение спортивного результата зафиксировано в 39 (48,1%) случаях из 81 анкеты, доступной для анализа. Статистически значимыми предикторами ухудшения спортивного результата оказались повышенные значения SIRI, SII, AISI, NLR, PLR, MLR. С ухудшением спортивного результата на соревновании были ассоциированы значения SIRI ≥ 2,097 (чувствительность – 53,85%, специфичность – 85,71%; AUC = 0,713, p < 0,001), SII ≥ 616,95 (чувствительность – 56,41%, специфичность – 76,19%; AUC = 0,705, p < 0,001), AISI ≥ 180,15 (чувствительность – 97,44%, специфичность – 45,24%; AUC = 0,733, p < 0,001). ИСЛМ ≥ 4,44 показал чувствительность 100,00% и специфичность 60,94% в прогнозировании спортивного травматизма (AUC = 0,870, p < 0,001).
Заключение. При проведении углубленного медицинского обследования спортсменов необходим предварительный скрининг сердечно-сосудистых заболеваний, направленный прежде всего на выявление нарушений, ассоциированных с внезапной сердечной смертью. ИСЛМ (пороговое значение ≥ 4,44), отражающий взаимоотношение аффекторного и эффекторного звеньев иммунологического процесса, можно рассматривать как перспективный маркер риска спортивного травматизма.
Полный текст
Регулярный высокий объем тренировочных нагрузок у профессиональных спортсменов сопряжен с сердечно-сосудистым риском, включая внезапную сердечную смерть [1, 2]. Неблагоприятные постнагрузочные процессы в левом желудочке связаны прежде всего с острыми реакциями на высокоинтенсивную физическую активность, cледствием которых становится фиброз миокарда, его структурная перестройка и отек. Длительные чрезмерные физические нагрузки приводят к расширению камер сердца, гипертрофии миокарда с развитием необратимых изменений по типу ремоделирования различного уровня и, как следствие, снижению спортивных результатов и качества жизни спортсменов [3]. Раннее выявление возможных нарушений сердечно-сосудистой системы у спортсменов позволит снизить заболеваемость и смертность.
На фоне интенсивных физических нагрузок происходят изменения со стороны иммунной системы, воспалительные процессы в скелетных мышцах и другие компенсаторно-приспособительные реакции. Любое физическое упражнение связано с микротравмами скелетных мышц, в ответ на которые запускается каскад клеточных реакций, направленных на восстановление поврежденных тканей. При интенсивной физической нагрузке у всех спортсменов возникает острое или хроническое утомление, что приводит к угнетению врожденного иммунитета [4], развитию синдрома перетренированности, обусловленного системным воспалением [5], а также к эндогенной интоксикации, представляющей собой патофизиологическое накопление токсических веществ в процессе метаболизма в собственных тканях. Субстратом данных реакций может быть вполне инертное с биологической точки зрения вещество, при синтезе которого образуются токсические продукты, значимо нарушающие гомеостаз организма. Причин эндогенной интоксикации множество, например, повышенное содержание продуктов метаболизма, повреждение белковых и липидных структур в ответ на нагрузку.
Гематологические и биохимические показатели крови отражают как степень адаптации организма спортсменов к спортивным нагрузкам, так и срыв адаптационных возможностей организма к предъявляемым нагрузкам [6, 7]. В качестве ответа на сверхпороговые нагрузки у спортсменов высоких достижений часто в клиническом анализе крови регистрируют изменение лейкоцитарной формулы, а именно увеличение числа нейтрофилов и лимфоцитов [8]. Формой представления результатов таких изменений может быть расчет интегральных индексов. Известно, что значение лейкоцитарных индексов напрямую зависит от уровня эндогенной интоксикации. Различные индексы в той или иной степени отражают характер физиологического ответа иммунной системы. В этой связи они представляют интерес с точки зрения детального анализа нормальных и патологических реакций организма на стресс, обусловленный значительными физическими нагрузками.
Показатели заболеваемости со стороны сердечно-сосудистой системы у спортсменов зависят не только от вида спорта, но и от пола, возраста, этнических особенностей, стратегии скрининга. В спортивной медицине маркеры воспаления часто используются для измерения нагрузки при физических упражнениях и процессов восстановления. Маркеры воспаления, отражающие индивидуальную кинетику восстановления, оцениваются для улучшения программы тренировок путем корректировки их характеристик в зависимости от индивидуального состояния восстановления [9]. Вместе с тем значимость лейкоцитарных индексов в оценке адекватности физических упражнений биологическим резервам организма спортсмена не определена.
На сегодня не разработана единая система диагностики перетренированности с использованием группы клинико-лабораторных показателей. Выявлено небольшое количество ранних маркеров перетренированности спортсмена, в основном это биохимические, иммунологические, гормональные и психологические показатели, отмечается несистематическое их использование в клинической практике. В свою очередь, выявление прогностически значимых референсных значений для таких критериев поможет более рационально планировать физическую подготовку спортсменов и выстраивать индивидуальный график тренировочного процесса с учетом частоты, длительности и интенсивности нагрузок. И хотя в литературе нет четких критериев термина «перетренированность», не возникает сомнения в том, что истощение резервных возможностей организма в результате сверхпороговых нагрузок является значимым фактором ухудшения результата, травматизма, субъективного ощущения утомления.
Цель настоящего исследования – провести скрининг сердечно-сосудистых заболеваний в группе профессиональных спортсменов с помощью стандартных кардиологических методов исследования, оценить прогностическую значимость лейкоцитарных индексов в диагностике эндогенного воспаления, перетренированности и сопоставить значения лейкоцитарных индексов с результатами соревновательной деятельности спортсменов.
Материал и методы
В обсервационное поперечное выборочное одномоментное неконтролируемое исследование включено 180 профессиональных спортсменов высокой спортивной квалификации, прошедших в период с сентября 2021 по август 2022 г. обследование на базе поликлиники ФГБУ «Федеральный Сибирский научно-клинический центр Федерального медико-биологического агентства» (ФГБУ ФСНКЦ ФМБА России). Дизайн исследования представлен на рис. 1.
Рис. 1. Схема обсервационного поперечного выборочного неконтролируемого исследования. MaxO2 – максимальное потребление кислорода, ОРВИ – острые респираторные вирусные инфекции, СМАД – суточное мониторирование артериального давления, ХолтерЭКГ – 24-часовое холтеровское мониторирование электрокардиограммы, ЭКГ – электрокардиография
В исследование включали профессиональных спортсменов обоих полов, занимающихся высокодинамическими видами спорта (по классификации J.H. Mitchell и соавт. [10]: > 70% MaxO2 – максимального потребления кислорода) и находящихся в активной фазе подготовки к соревнованиям. Критерии исключения: контактные виды спорта с высоким уровнем травматизма (единоборства, футбол, хоккей на льду); перенесенные за последние 6 месяцев острые респираторные вирусные инфекции; серьезные травмы, полученные за последний год (переломы, вывихи); перенесенные за последний год операции на опорно-двигательном аппарате (пластика крестообразной связки, артроскопические вмешательства, остеосинтез).
В Медицинском центре Сибирского федерального университета врачами ФГБУ ФСНКЦ ФМБА России группе профессиональных спортсменов, после подписания информированного согласия на обследование, был проведен терапевтический и кардиологический осмотр и инструментальное обследование сердечно-сосудистой системы с целью выявления факторов риска сердечно-сосудистых заболеваний и сердечно-сосудистой патологии.
Всем участникам исследования проведены сбор жалоб и анамнеза, выполнены электрокардиография (ЭКГ), 24-часовое холтеровское мониторирование ЭКГ, суточное мониторирование артериального давления (АД), нагрузочная велоэргометрическая проба и эхокардиография (ЭхоКГ). По данным ЭКГ определяли частоту сердечных сокращений, наличие или отсутствие нарушений сердечного ритма и проводимости, отклонения электрической оси сердца, ишемических изменений, признаков гипертрофии миокарда предсердий и желудочков. Анализ 24-часового холтеровского мониторирования ЭКГ был направлен на верификацию синусовой аритмии, предсердного ритма, миграции водителя ритма по предсердиям, атриовентрикулярных блокад разной степени, нарушений проведения по правой и левой ножке пучка Гиса, пароксизмальных нарушений сердечного ритма, клинически значимых наджелудочковых и вентрикулярных эктопий. По данным суточного мониторирования АД проведена оценка среднего дневного и ночного показателя систолического и диастолического АД (САД и ДАД), на основании которого было сделано заключение о наличии степени повышения АД (мягкая, умеренная, тяжелая артериальная гипертензия (АГ)). Анализировали также показатели индекса времени гипертензии в дневные и ночные часы, максимальные цифры САД и ДАД ночью и днем, вариабельность АД в различное время суток, индекс Карио. По данным нагрузочной велоэргометрической пробы выявляли признаки гипертензионного синдрома. При анализе ЭхоКГ определяли наличие структурных аномалий, признаков ремоделирования, гипертрофии желудочков или предсердий, наличие либо отсутствие зон снижения региональной или глобальной сократимости, патологии клапанного аппарата.
Всем включенным в исследование спортсменам проведено клинико-лабораторное обследование, предусмотренное методическими рекомендациями «Оценка и интерпретация биохимических показателей высококвалифицированных спортсменов в ходе тренировочно-спортивной деятельности» 2018 г.1, общий анализ крови выполняли на гематологическом анализаторе МЕК 7222 (Nihon Kohden, Япония).
Взятие крови на анализ осуществляли в период максимально интенсивной подготовки к соревнованиям – во время спортивных сборов за 2–3 суток до выступления. Медиана времени от сбора клинического анализа крови до выступления на соревнованиях составила 48 [18; 55, 6] часов.
На основании данных клинического анализа крови рассчитывали следующие лейкоцитарные индексы:
- SIRI (англ. system inflammation response index – индекс ответа на системное воспаление) = количество нейтрофилов × количество моноцитов ÷ количество лимфоцитов;
- SII (англ. systemic immune inflammation index – индекс системного воспаления) = количество нейтрофилов × количество тромбоцитов ÷ количество лимфоцитов;
- AISI (англ. aggregate index of systemic inflammation – совокупный индекс системного воспаления) = количество нейтрофилов × количество моноцитов × количество тромбоцитов ÷ количество лимфоцитов;
- NLR (англ. neutrophil-to-lymphocyte ratio – отношение нейтрофилов к лимфоцитам) = количество нейтрофилов ÷ количество лимфоцитов;
- PLR (англ. platelet-to-lymphocyte ratio – отношение тромбоцитов к лимфоцитам) = количество тромбоцитов ÷ количество лимфоцитов;
- MLR (англ. monocyte-to-lymphocyte ratio – отношение моноцитов к лимфоцитам) = количество моноцитов ÷ количество лимфоцитов.
Кроме того, вычисляли ряд дополнительных гематологических интегральных показателей:
- лейкоцитарный индекс интоксикации (ЛИИ) как показатель процессов тканевой деградации и уровня эндогенной интоксикации. Определяли по формуле: ЛИИ = NE (М + Пл. кл. + Ю + П + С) / (LY + Eo + Ba + MO). Здесь и далее в формулах относительное содержание клеток в общем анализе крови: NЕ – нейтрофилы, М – миелоциты, Пл. кл. – плазматические клетки, Ю – юные, П – палочкоядерные, С – сегментоядерные, LY – лимфоциты, Ео – эозинофилы, Ва – базофилы, MO – моноциты;
- лимфоцитарный индекс (ЛИ). Рассчитывали как отношение содержания лимфоцитов к нейтрофилам: ЛИ = LY / NE;
- индекс соотношения лимфоцитов и моноцитов (ИСЛМ), отражающий взаимоотношение аффекторного и эффекторного звеньев иммунологического процесса. Рассчитывали как отношение содержания лимфоцитов к моноцитам: ИСЛМ = LY / MO.
Для прогнозирования результатов тренировочной и соревновательной деятельности по лейкоцитарным индексам использовали следующие конечные точки:
- спортивный травматизм во время выступления (оценивал штатный врач сборной команды);
- ухудшение спортивного результата по сравнению с тем, который показывал спортсмен во время тренировки (оценивали три тренера путем сравнения результатов, которые демонстрировал спортсмен на этапе интенсивной подготовки к соревнованиям, непосредственно с результатами выступлений).
Этическая экспертиза. Исследование одобрено локальным этическим комитетом ФГБУ ФСНКЦ ФМБА России (протокол № 56/2022 от 05.10.2022), заключившим, что оно не противоречит нормам деонтологии.
Статистический анализ. Размер выборки предварительно не рассчитывали. Для описания количественных данных использовали медианные значения («центр тяжести») с указанием интерквартильного размаха в виде Me (Р25; Р75), так как распределение было отличным от нормального (при тесте Колмогорова – Смирнова). Для описания возраста применяли среднее арифметическое (М) и стандартное отклонение (± SD), поскольку распределение было нормальным. Проверку наличия статистически значимых различий в независимых группах выполняли с помощью непараметрического критерия Манна – Уитни. Для оценки диагностической значимости признаков (лейкоцитарные индексы) при прогнозировании конечных точек применяли анализ ROC-кривых, результат которого представлен как площадь под кривой (англ. area under the curve, AUC), уровень статистической значимости (p) и 95% доверительные интервалы (ДИ). Оптимальную точку отсечения определяли по наибольшему индексу Юдена, для нее оценивали индексы чувствительности (Se) и специфичности (Sp). Статистически значимым различием считали p < 0,05. Статистический анализ проводили на языке программирования Python (версия 3.10.12) в среде Google Colaboratory.
Результаты
В исследовании приняли участие 180 спортсменов высокой спортивной квалификации, профессионально занимающихся высокодинамическими видами спорта: спортивным ориентированием, горными лыжами, биатлоном, легкой атлетикой, плаванием. Средний возраст – 20,55 ± 2,69 года. В целях анализа участников разделили на две подгруппы по половому признаку: женщины составили 42,2% (n = 76), мужчины – 57,8% (n = 104). На момент проведения исследования у спортсменов не зафиксировано инфекционной и/или острой соматической патологии.
По результатам клинико-инструментального исследования выявлены следующие изменения со стороны сердечно-сосудистой системы. По данным ЭКГ у 53 (29,4%) из 180 спортсменов в покое зарегистрированы нарушения сердечного ритма и проводимости: в 13 (7,2%) случаях – синусовая брадикардия, в 27 (15%) – неполная блокада правой ножки пучка Гиса, в 7 (3,9%) – синдром преждевременной реполяризации желудочков, в 6 (3,3%) – сочетание синусовой брадикардии и полной блокады правой ножки пучка Гиса.
Результаты 24-часового холтеровского мониторирования ЭКГ показали наличие синусовой аритмии у 87 (48,3%) спортсменов, атриовентрикулярной блокады 1-й степени – у 13 (7,2%), миграции водителя ритма по предсердиям – у 12 (6,7%), предсердного ритма – у 14 (7,8%), эпизодов наджелудочковой тахикардии длительностью до 30 секунд – у 7 (3,9%). Ускоренного идиовентрикулярного ритма не зарегистрировано.
При проведении суточного мониторирования АД у 33 (18,3%) спортсменов выявлена мягкая АГ, преимущественно в ночные часы, у 13 (7,2%) – тяжелая АГ в ночное время, у 27 (15%) отмечены пограничные значения САД и ДАД.
У 13 (7,2%) человек проведение велоэргометрической нагрузочной пробы было прекращено в связи с неадекватным подъемом ДАД; у 15 (8,3%) в период отдыха фиксировались единичные желудочковые или наджелудочковые экстрасистолы.
У 100 (55,6%) обследуемых верифицированы следующие структурные изменения при проведении ЭхоКГ: у 80 (44,4%) – верхушечная или срединная хорда левого желудочка, у 20 (11,1%) – пролапс митрального клапана 1-й или 2-й степени, у 3,7% – гипертрофия левого желудочка на основании индекса массы миокарда левого желудочка, у 3,7% – дилатация левого предсердия.
Результаты клинического анализа крови и рассчитанные на его основании показатели индексов системного воспаления приведены в табл. 1. При анализе значений индексов SIRI, SII, AISI, NLR, PLR, MLR, ИСЛМ и ИСЛЭ не выявлено гендерных различий, в отличие от ЛИИ и ЛИ (табл. 2), которые были исключены из дальнейшего анализа, так как их показатели могли повлиять на прогнозирование неблагоприятных событий.
Таблица 1. Результаты клинического анализа крови и вычисленные на их основе интегральные показатели
Показатель | Значение, Me [Р25; Р75] |
Клинический анализ крови | |
Гемоглобин, г/л | |
Гематокрит, % | |
Лейкоциты, 109/л | |
Нейтрофилы, 109/л | |
Нейтрофилы, % | |
Моноциты, 109/л | |
Моноциты, % | |
Лимфоциты, 109/л | |
Лимфоциты, % | |
Тромбоциты, 109/л | |
Гематологические лейкоцитарные индексы | |
SIRI | |
SII | |
AISI | |
NLR | |
PLR | |
MLR | |
ИСЛМ | |
ЛИ | |
ЛИИ |
AISI (aggregate index of systemic inflammation) – совокупный индекс системного воспаления, MLR (monocyte-to-lymphocyte ratio) – отношение моноцитов к лимфоцитам, NLR (neutrophil-to-lymphocyte ratio) – отношение нейтрофилов к лимфоцитам, PLR (platelet-to-lymphocyte ratio) – отношение тромбоцитов к лимфоцитам, SII (systemic immune inflammation index) – индекс системного воспаления, SIRI (system inflammation response index) – индекс ответа на системное воспаление, ИСЛМ – индекс соотношения лимфоцитов и моноцитов, ЛИ – лимфоцитарный индекс, ЛИИ – лейкоцитарный индекс интоксикации
Таблица 2. Гендерные различия в показателях лейкоцитарных индексов
Параметр, Ме [Р25; Р75] | Группа женщин (n = 76) | Группа мужчин (n = 104) | Значение p (критерий Манна – Уитни) |
SIRI | 0,35 | ||
SII | 0,2523 | ||
AISI | 0,252 | ||
NLR | 0,6 | ||
PLR | 0,25 | ||
MLR | 0,568 | ||
ИСЛМ | 0,35 | ||
ЛИ | 0,003 | ||
ЛИИ | 0,002 |
AISI (aggregate index of systemic inflammation) – совокупный индекс системного воспаления, MLR (monocyte-to-lymphocyte ratio) – отношение моноцитов к лимфоцитам, NLR (neutrophil-to-lymphocyte ratio) – отношение нейтрофилов к лимфоцитам, PLR (platelet-to-lymphocyte ratio) – отношение тромбоцитов к лимфоцитам, SII (systemic immune inflammation index) – индекс системного воспаления, SIRI (system inflammation response index) – индекс ответа на системное воспаление, ИСЛМ – индекс соотношения лимфоцитов и моноцитов, ЛИ – лимфоцитарный индекс, ЛИИ – лейкоцитарный индекс интоксикации
При оценке конечных точек часть спортсменов была исключена ввиду невалидной оценки тренерским составом.
Частота встречаемости конечных точек составила:
- спортивный травматизм во время выступления – 26 (28,9%) случаев из 90 валидных наблюдений;
- ухудшение спортивного результата по сравнению с тем, который показывал спортсмен во время тренировки, – 39 (48,1%) случаев из 81 наблюдения, доступного к анализу и оценке.
Статистически значимые гендерные различия во встречаемости неблагоприятных событий отмечены только для ухудшения спортивного результата, которое регистрировали чаще у мужчин – в 60% случаев против 33% у женщин (p < 0,05). Маркеры системного воспаления были диагностически значимыми только для прогнозирования ухудшения спортивного результата (табл. 3, рис. 2). При этом значимыми предикторами при прогнозировании ухудшения спортивного результата на соревнованиях были значения SIRI ≥ 2,097 (чувствительность – 53,85%, специфичность – 85,71%), SII ≥ 616,95 (чувствительность – 56,41%, специфичность – 76,19%), AISI ≥ 180,15 (чувствительность – 97,44%, специфичность – 45,24%), NLR ≥ 2,589 (чувствительность – 58,97%, специфичность – 69,05%), PLR ≥ 105,99 (чувствительность – 76,92%, специфичность – 52,38%), MLR ≥ 0,299 (чувствительность – 82,05%, специфичность – 45,24%). Из дополнительных рассмотренных нами индексов пороговое значение ИСЛМ ≥ 4,44 с чувствительностью 100,00% и специфичностью 60,94% (p < 0,001) позволяло прогнозировать спортивный травматизм.
Таблица 3. Результаты ROC-анализа для оценки чувствительности и специфичности лейкоцитарных индексов
Конечная точка исследования / параметр | Порог отсечения | AUC (ДИ) | Чувствительность, % | Специфичность, % | Значение p |
Спортивный травматизм | |||||
SIRI | ≥ 0,772 | 0,498 (0,366; 0,630) | 92,31 | 18,75 | 0,973 |
SII | ≥ 258,881 | 0,464 (0,333; 0,595) | 96,15 | 10,94 | 0,493 |
AISI | ≥ 164,410 | 0,469 (0,338; 0,600) | 84,62 | 23,44 | 0,560 |
NLR | ≥ 2,843 | 0,493 (0,361; 0,625) | 38,46 | 71,88 | 0,900 |
PLR | ≥ 116,839 | 0,482 (0,350; 0,614) | 61,54 | 50,00 | 0,732 |
MLR | ≥ 0,220 | 0,471 (0,340; 0,602) | 100,0 | 7,81 | 0,580 |
ИСЛМ | ≥ 4,440 | 0,870 (0,777; 0,963) | 100,0 | 60,94 | < 0,001 |
Ухудшение спортивного результата | |||||
SIRI | ≥ 2,097 | 0,713 (0,600; 0,826) | 53,85 | 85,71 | < 0,001 |
SII | ≥ 616,95 | 0,705 (0,591; 0,819) | 56,41 | 76,19 | < 0,001 |
AISI | ≥ 180,15 | 0,733 (0,623; 0,843) | 97,44 | 45,24 | < 0,001 |
NLR | ≥ 2,589 | 0,652 (0,532; 0,772) | 58,97 | 69,05 | 0,004 |
PLR | ≥ 105,99 | 0,638 (0,517; 0,759) | 76,92 | 52,38 | 0,010 |
MLR | ≥ 0,299 | 0,664 (0,545; 0,782) | 82,05 | 45,24 | 0,002 |
ИСЛМ | ≥ 4,410 | 0,476 (0,350; 0,603) | 66,67 | 40,48 | 0,668 |
AISI (aggregate index of systemic inflammation) – совокупный индекс системного воспаления, AUC (area under the curve) – площадь под кривой, MLR (monocyte-to-lymphocyte ratio) – отношение моноцитов к лимфоцитам, NLR (neutrophil-to-lymphocyte ratio) – отношение нейтрофилов к лимфоцитам, PLR (platelet-to-lymphocyte ratio) – отношение тромбоцитов к лимфоцитам, SII (systemic immune inflammation index) – индекс системного воспаления, SIRI (system inflammation response index) – индекс ответа на системное воспаление, ДИ – доверительный интервал, ИСЛМ – индекс соотношения лимфоцитов и моноцитов
Чувствительность – доля правильно идентифицированных положительных результатов от их общего числа; специфичность – доля правильно идентифицированных отрицательных результатов от их общего числа
Рис. 2. Результаты ROC-анализа для прогнозирования ухудшения спортивного результата (А – ROC-кривая для SII, AUC = 0,705; Б – ROC-кривая для AISI, AUC = 0,733; В – ROC-кривая для SIRI, AUC = 0,713) и для прогнозирования спортивного травматизма (Г – ROC-кривая для ИСЛМ, AUC = 0,870). AISI (aggregate index of systemic inflammation) – совокупный индекс системного воспаления, SII (systemic immune inflammation index) – индекс системного воспаления, SIRI (system inflammation response index) – индекс ответа на системное воспаление, ИСЛМ – индекс соотношения лимфоцитов и моноцитов
Обсуждение
Обнаруженные нами при обследовании профессиональных спортсменов нарушения сердечного ритма и проводимости – синусовая аритмия, миграция водителя ритма по предсердиям, эпизоды предсердного ритма, наличие атриовентрикулярных и внутрижелудочковых блокад сердца – указывают на необходимость динамического наблюдения и должны учитываться при индивидуальной организации тренировочного процесса. Мягкая и умеренная АГ, в том числе ночная, выявленная в когорте профессиональных спортсменов по данным суточного мониторирования АД, служит маркером перетренированности и показанием к углубленному обследованию, направленному на обнаружение факторов риска АГ, определение поражения органов-мишеней и стратификацию сердечно-сосудистого риска. Применение велоэргометрических нагрузочных проб позволило диагностировать скрытую диастолическую гипертензию, провоцируемую физической нагрузкой, что также стратифицирует этих спортсменов в группы повышенного сердечно-сосудистого риска. Наше исследование показало, что гематологические лейкоцитарные индексы, рассчитанные на основании показателей общего анализа крови, будучи недорогим и легко воспроизводимым методом, могут служить маркерами нарушения иммунного статуса и перетренированности спортсменов.
Физические упражнения усиливают вызванные стрессом изменения в иммунной и нейроэндокринной системах, а также в уровне циркулирующих метаболитов, которые напрямую влияют на функции иммунных клеток [11]. Чем сильнее интенсивность тренировки, тем больше повышаются уровни адреналина и норадреналина в крови с последующей мобилизацией белых иммунных клеток [12]. За физическими нагрузками следует зависящее от их интенсивности повышение симпатической активности (например, высвобождение катехоламинов). Интенсивные физические упражнения мобилизуют лейкоциты. Это приводит к острому и непродолжительному лейкоцитозу, вызванному увеличением количества лимфоцитов, продуцируемых костным мозгом. Стойкий лейкоцитоз зависит от нейтрофилов. Лимфоциты и моноциты демонстрируют раннее увеличение; напротив, набор нейтрофилов не зависит от адренергических механизмов. Замедленное увеличение нейтрофилов может быть опосредовано уровнем кортизола в крови и/или связанным с физической нагрузкой повреждением тканей либо повышением уровня хемокинов [13]. Эти изменения зависят от интенсивности и продолжительности нагрузки.
При оценке перетренированности профессиональных спортсменов важно принимать во внимание уровень эндогенной интоксикации, информативным маркером которого может быть ЛИИ. Мы рассчитывали ЛИИ по формуле В.К. Островского и соавт. [14] (отношение суммы клеток миелоидного ряда в процентах к сумме остальных видов лейкоцитов), которая проще в вычислении, чем формула Я.Я. Кальф-Калифа [15]. Однако полученные нами статистически значимые различия ЛИИ, как и ЛИ, для мужчин и женщин не позволили оценить прогностическую значимость этих индексов. В качестве еще одного показателя, пригодного для описания иммунного воспаления, вызванного физическими нагрузками, мы рассматривали NLR (отношение нейтрофилов к лимфоцитам). D. Walzik и соавт. отметили, что в 9 из 11 проанализированных ими исследований в ответ на интенсивные физические нагрузки наблюдалось повышение NLR [9]. Из проанализированных нами лейкоцитарных индексов (SIRI, SII, AISI, NLR, PLR, MLR, ИСЛМ) значимыми предикторами при прогнозировании ухудшения спортивного результата на соревнованиях оказались SIRI, SII, AISI, NLR, PLR, MLR (пороговые значения: SIRI ≥ 2,097, SII ≥ 616,95, AISI ≥ 180,15, NLR ≥ 2,589, PLR ≥ 105,99, MLR ≥ 0,299). Это комплексные показатели, которые могут зависеть от степени утомления нервной системы и свидетельствовать о снижении функционального резерва. Включение этих маркеров в параметры оценки состояния здоровья может позволить получить целостное представление о воспалении, вызванном физической нагрузкой, что отражается на клеточных изменениях в кровотоке. В соревновательном спорте эти маркеры могут облегчить диагностику процессов восстановления после физических нагрузок или помочь выявить периоды повышенного риска заражения или перетренированности и тем самым оптимизировать программы тренировок [9].
Сегодня данные о потенциальной ценности лейкоцитарных индексов в качестве маркеров клеточного иммунного воспаления, вызванного физической нагрузкой, ограничены. Однако благодаря небольшим временны`м, финансовым и инфраструктурным затратам, необходимым для оценки и расчета этих индексов, применение таких маркеров в условиях физической нагрузки представляется вполне возможным и простым в реализации. Благодаря внедрению лейкоцитарных индексов в стандартную оценку состояния спортсмена тренеры и врачи получат дополнительную информацию о его потребностях в восстановлении. Мы считаем, что это приведет к пересмотру представлений об интенсивности, продолжительности и регулярности физических упражнений и что показатели активации лейкоцитов, повреждения эритроцитов, окислительного стресса и липидного профиля могут служить хорошими маркерами для определения предполагаемых защитных порогов.
Развитию интоксикации у профессиональных спортсменов на фоне высокой регулярной физической активности могут способствовать адаптивные метаболические перестройки, сопровождаемые повышением активности процессов перекисного окисления липидов и возникновением хронических воспалительных процессов в миокарде, а субстрат в виде сердечно-сосудистых заболеваний (АГ, нарушения сердечного ритма и проводимости) во время соревновательного процесса ухудшает состояние спортсмена и приводит к более высокому риску травм, ухудшению состояния здоровья вследствие декомпенсации имеющейся гипертензии и появлению жизнеугрожающих нарушений сердечного ритма.
По результатам обследования сердечно-сосудистой системы спортсменов, полученным в ходе настоящего исследования, выявлены сердечно-сосудистые заболевания, которые увеличивают риск травматизации, снижают спортивный результат и при интенсивных регулярных многократных физических нагрузках могут способствовать развитию более тяжелой степени АГ. Интенсивные занятия спортом не исключают вероятности развития АГ у спортсмена, несмотря на то что высокую физическую активность считают фактором первичной профилактики этой патологии. По данным исследования, проведенного под руководством А.В. Смоленского среди спортсменов – членов молодежной сборной России по академической гребле (средний возраст – 17,1 ± 2,1 года), АГ 1-й степени была диагностирована у 25,6% (у 12 из 47) [16]. В нашей когорте профессиональных спортсменов, занимающихся высокодинамическими видами спорта, мягкая АГ зарегистрирована у 18,3%, тяжелая АГ в ночное время – у 7,2%, а у 15% выявлены пограничные значения АД. Ночное повышение АД приводит к дезадаптивным расстройствам вегетативной нервной системы, что подтверждается повышенными уровнями гематологических лейкоцитарных индексов у обследованных нами спортсменов. Отметим также, что при проведении велоэргометрической нагрузочной пробы у 13 (7,2%) испытуемых исследование было прекращено в связи с неадекватным подъемом ДАД, у 15 (8,3%) в период отдыха фиксировались единичные желудочковые или наджелудочковые экстрасистолы. Характерно также, что проведение велоэргометрической нагрузочной пробы – теста, при котором нагрузка косвенно эквивалентна таковой во время тренировки или соревнований, – выявило латентные, скрытые маркеры гипертензионного фактора, стало провоцирующим субстратом для раннего выявления АГ у профессионального спортсмена и признаков перетренированности.
А.В. Жолинский и соавт. проанализировали данные 15 464 спортсменов сборных команд; среди заболеваний системы кровообращения нарушения сердечного ритма встречались с наибольшей частотой – 36,6% [17]. Нами получены сходные результаты: при проведении ЭКГ нарушения сердечного ритма в покое зарегистрированы у 29,4% профессиональных спортсменов. Это свидетельствует о пользе скрининговой ЭКГ для выявления потенциально опасных нарушений сердечного ритма и проводимости, что, в свою очередь, позволяет выстроить вектор индивидуального тренировочного процесса с учетом имеющихся изменений на ЭКГ. Для более точной верификации нарушений сердечного ритма и проводимости, в том числе за счет вагусных влияний, которые невозможно учесть при одномоментном снятии ЭКГ, следует использовать холтеровское мониторирование ЭКГ. Кроме этого, определение клинически незначимых, несимптомных или малосимптомных пароксизмальных нарушений ритма имеет важное значение как фактор перетренированности и дифференциальной диагностики с наличием структурных аномалий проводящей системы сердца. По данным литературы, среди нарушений ритма сердца спортсменов без структурной патологии миокарда лидируют желудочковая экстрасистолия и брадиаритмии [18], что подтверждается результатами нашего исследования, согласно которым среди нарушений ритма сердца преобладали брадиаритмии.
Аэробные тренировки, независимо от их интенсивности, способствуют усилению воспалительных реакций в плазме крови. Субклиническое повреждение мышц вызывает острую воспалительную реакцию, которая приводит к ухудшению физической формы. Наши данные, как и работы других исследователей [11, 19–22], свидетельствуют о том, что интенсивные тренировки в условиях соревнований ассоциированы с высоким и продолжительным окислительным и протеолитическим стрессом, который может стать фактором повышенного риска развития сердечно-сосудистых заболеваний. Для хронического стресса, ассоциированного со снижением резистентности организма и сдвигами гомеостаза, характерны хроническая интоксикация, изменения со стороны нейроэндокринной регуляции и иммунитета.
Заключение
Предварительный скрининг сердечно-сосудистых заболеваний, направленный прежде всего на выявление нарушений, ассоциированных с внезапной сердечной смертью, является необходимым медицинским обследованием. Даже в нашей небольшой когорте профессиональных спортсменов, занимающихся высокодинамическими видами спорта, у четверти диагностирована АГ разной степени, а почти у трети зафиксированы изменения на ЭКГ. Стратегия скрининга сердечно-сосудистых заболеваний у спортсменов должна быть комплексной, так как только комплексное обследование сердечно-сосудистой системы позволяет получить детальный результат. Кроме того, согласно клиническим рекомендациям по спортивной кардиологии, в случае наследственно обусловленных синдромов значимое место должны занимать и генетические исследования.
По данным нашего исследования, статистически значимыми предикторами ухудшения спортивного результата оказались повышенные значения SIRI, SII, AISI, NLR, PLR и MLR. Таким образом, ухудшение спортивного результата – показатель, который может зависеть от степени утомления нервной системы, свидетельствовать о снижении функционального резерва, что, безусловно, нуждается в уточнении в дальнейших исследованиях. ИСЛМ, отражающий взаимоотношение аффекторного и эффекторного звеньев иммунологического процесса, при пороговом значении ≥ 4,44 показал чувствительность 100,00% и специфичность 60,94% в прогнозировании спортивного травматизма (p < 0,001) и может рассматриваться как перспективный маркер риска спортивного травматизма.
Анализ корреляции данных кардиологического исследования спортсменов с уровнем эндогенной интоксикации представляется интересным направлением в плане выявления маркеров риска развития сердечно-сосудистой патологии у данной категории.
Дополнительная информация
Финансирование
Исследование выполнено за счет гранта Российского научного фонда № 25-25-20159 «Ассоциативная роль полиморфных аллельных вариантов генов ренин-ангиотензин-альдостероновой системы с ремоделированием левого желудочка и нагрузочной артериальной гипертензией у профессиональных спортсменов как маркерами предрасположенности к формированию «спортивного» сердца», https://rscf.ru/project/25-25-20159, гранта Красноярского краевого фонда науки, в организации: Федеральное государственное бюджетное учреждение «Федеральный Сибирский научно-клинический центр Федерального медико-биологического агентства».
Конфликт интересов
Авторы декларируют отсутствие явных и потенциальных конфликтов интересов, связанных с публикацией настоящей статьи.
Участие авторов
И.А. Суздалева – разработка дизайна клинической части исследования, сбор и обработка материалов, анализ полученных данных, написание текста; А.А. Чернова – концепция и дизайн исследования, анализ результатов, редактирование текста; Н.А. Лукьянова – анализ результатов, статистическая обработка данных, редактирование рукописи; О.О. Кардашова – формирование групп пациентов, набор клинического материала, анализ и интерпретация результатов, написание текста; С.В. Верещагина – проведение лабораторных исследований, анализ и интерпретация результатов; С.Ю. Никулина – концепция и дизайн статьи, редактирование текста, утверждение итогового варианта текста рукописи. Все авторы прочли и одобрили финальную версию статьи перед публикацией, согласны нести ответственность за все аспекты работы и гарантируют, что ими надлежащим образом были рассмотрены и решены вопросы, связанные с точностью и добросовестностью всех частей работы.
1 Самойлов А.С., Разинкин С.М., Голобородько Е.В. и др. Оценка и интерпретация биохимических показателей высококвалифицированных спортсменов в ходе тренировочно-спортивной деятельности: методические рекомендации. М.: ФГБУ ГНЦ ФМБЦ им. А.И. Бурназяна, 2018. 36 с.
Об авторах
Ирина Александровна Суздалева
ФГБОУ ВО «Красноярский государственный медицинский университет имени профессора В.Ф. Войно-Ясенецкого» Минздрава России; ФГБУ «Федеральный Сибирский научно-клинический центр Федерального медико-биологического агентства»
Автор, ответственный за переписку.
Email: irina-ler@bk.ru
ORCID iD: 0009-0008-3860-1131
Scopus Author ID: 57217996360
ResearcherId: MFI-8147-2025
аспирант кафедры факультетской терапии, зав. отделением медицинской профилактики Медицинского центра Сибирского федерального университета
Россия, 660022, г. Красноярск, ул. Партизана Железняка, 1; 660037, г. Красноярск, ул. Коломенская, 26Анна Александровна Чернова
ФГБОУ ВО «Красноярский государственный медицинский университет имени профессора В.Ф. Войно-Ясенецкого» Минздрава России; ФГБУ «Федеральный Сибирский научно-клинический центр Федерального медико-биологического агентства»
Email: anechkachernova@yandex.ru
ORCID iD: 0000-0003-2977-1792
д-р мед. наук, профессор кафедры факультетской терапии; руководитель отдела науки и инноваций
Россия, 660022, г. Красноярск, ул. Партизана Железняка, 1; 660037, г. Красноярск, ул. Коломенская, 26Наталья Александровна Лукьянова
ФГБОУ ВО «Красноярский государственный медицинский университет имени профессора В.Ф. Войно-Ясенецкого» Минздрава России
Email: nalukyanovakrsk@gmail.com
ORCID iD: 0000-0002-0477-3938
канд. физ.-мат. наук, доцент кафедры медицинской кибернетики и информатики
Россия, 660022, г. Красноярск, ул. Партизана Железняка, 1Оксана Олеговна Кардашова
ФГБУ «Федеральный Сибирский научно-клинический центр Федерального медико-биологического агентства»
Email: kardashova.oks@yandex.ru
ORCID iD: 0009-0003-5453-8535
зав. терапевтическим отделением Медицинского центра Сибирского федерального университета
Россия, 660037, г. Красноярск, ул. Коломенская, 26Светлана Викторовна Верещагина
ФГБУ «Федеральный Сибирский научно-клинический центр Федерального медико-биологического агентства»
Email: vereschagina_sv@skc-fmba.ru
ORCID iD: 0000-0003-4460-8838
канд.мед.наук., заведующая отделом лабораторной диагностики
Россия, 660037, г. Красноярск, ул. Коломенская, 26Светлана Юрьевна Никулина
ФГБОУ ВО «Красноярский государственный медицинский университет имени профессора В.Ф. Войно-Ясенецкого» Минздрава России
Email: nicoulina@mail.ru
ORCID iD: 0000-0002-6968-7627
д-р мед. наук, профессор, зав. кафедрой факультетской терапии
Россия, 660022, г. Красноярск, ул. Партизана Железняка, 1Список литературы
- Petek BJ, Churchill TW, Moulson N, Kliethermes SA, Baggish AL, Drezner JA, Patel MR, Ackerman MJ, Kucera KL, Siebert DM, Salerno L, Zigman Suchsland M, Asif IM, Maleszewski JJ, Harmon KG. Sudden cardiac death in national collegiate athletic association athletes: A 20-year study. Circulation. 2024;149(2):80–90. doi: 10.1161/CIRCULATIONAHA.123.065908.
- Harmon KG, Drezner JA, Wilson MG, Sharma S. Incidence of sudden cardiac death in athletes: A state-of-the-art review. Heart. 2014;100(16):1227–1234. doi: 10.1136/heartjnl-2014-093872.rep.
- Shabana A, El-Menyar A, Gehani A. Sudden cardiac death in athletes: Where do we stand. Crit Pathw Cardiol. 2013;12(3):161–169. doi: 10.1097/HPC.0b013e318299cbfd.
- Трищенкова СН. Интегральные гематологические показатели у спортсменов с хронической патологией глотки. Российская оториноларингология. 2012;1:166–169.
- Никулина ГЮ. Современные критерии перенапряжения и гипотезы синдрома перетренированности у спортсменов. Прикладная спортивная наука. 2020;1(11):98–105.
- Delsmann MM, Stürznickel J, Amling M, Ueblacker P, Rolvien T. Muskuloskelettale Labordiagnostik im Leistungssport [Musculoskeletal laboratory diagnostics in competitive sport]. Orthopade. 2021;50(9):700–712. German. doi: 10.1007/s00132-021-04072-1.1.
- Королев ДС, Архангельская АН, Фесюн АД, Гуревич КГ. Особенности изменений гематологических и биохимических показателей у спортсменов-борцов. Физиология человека. 2021;47(5):95–101. doi: 10.31857/S0131164621040056.
- Трушина ЭН, Мустафина ОК. Об эффективности применения лейкоцитарных индексов в диагностике иммунных нарушений у спортсменов (обзор литературы). Человек. Спорт. Медицина. 2023;23(4):40–46. doi: 10.14529/hsm230405.
- Walzik D, Joisten N, Zacher J, Zimmer P. Transferring clinically established immune inflammation markers into exercise physiology: Focus on neutrophil-to-lymphocyte ratio, platelet-to-lymphocyte ratio and systemic immune-inflammation index. Eur J Appl Physiol. 2021;121(7):1803–1814. doi: 10.1007/s00421-021-04668-7.
- Mitchell JH, Haskell W, Snell P, Van Camp SP. Task Force 8: Classification of sports. J Am Coll Cardiol. 2005;45(8):1364–1367. doi: 10.1016/ j.jacc.2005.02.01515.
- Neves PRDS, Tenório TRDS, Lins TA, Muniz MTC, Pithon-Curi TC, Botero JP, Do Prado WL. Acute effects of high- and low-intensity exercise bouts on leukocyte counts. J Exerc Sci Fit. 2015;13(1):24–28. doi: 10.1016/ j.jesf.2014.11.003.
- Калинин СА, Шульгина СМ, Антропова ЕН, Рыкова МП, Садова АА, Кутько ОВ, Орлова КД, Яздовский ВВ, Кофиади ИА. Состояние системы иммунитета человека и животных при физических нагрузках различного генеза. Иммунология. 2019;40(3):72–82. doi: 10.24411/0206-4952-2019-13008.
- Risøy BA, Raastad T, Hallén J, Lappegård KT, Baeverfjord K, Kravdal A, Siebke EM, Benestad HB. Delayed leukocytosis after hard strength and endurance exercise: Aspects of regulatory mechanisms. BMC Physiol. 2003;3:14. doi: 10.1186/1472-6793-3-14.
- Островский ВК, Свитич ЮМ, Вебер ВР. Лейкоцитарный индекс интоксикации при острых гнойных и воспалительных заболеваний легких. Вестник хирургии им. И.И. Грекова. 1983;131(11):21–24.
- Кальф-Калиф ЯЯ. О лейкоцитарном индексе интоксикации и его прогностическом значении. Врачебное дело. 1941;(1):31–35.
- Смоленский АВ, Золичева СЮ, Михайлова АВ, Камаев КА, Колбая ЛИ. Морфофункциональные отличия юных гребцов с повышенным уровнем артериального давления. Физиология человека. 2010;36(4):107–110.
- Жолинский АВ, Кадыкова АИ, Гладышев НС, Терехов МВ. Ивашечкин АА, Максютина ВВ, Некрасова АИ, Митрофанов СИ, Иванов МВ, Каштанова ДА, Юдин ВС, Кескинов АА, Юдин СМ, Деев РВ, Скворцова ВИ. Структура заболеваний системы кровообращения и их генетические предикторы у спортсменов с высокой интенсивностью тренировочной и соревновательной нагрузки. Спортивная медицина: наука и практика. 2023;13(4):12–26. doi: 10.47529/2223-2524.2023.4.9.
- Гаврилова ЕА, Чурганов ОА, Брынцева ЕВ, Ларинцева ОС. Нарушения ритма сердца как проявление патологического спортивного сердца на разных этапах спортивной подготовки. Современные вопросы биомедицины. 2022;6(1):11. doi: 10.51871/2588-0500_2022_06_01_11.
- Díaz Martínez AE, Alcaide Martín MJ, González-Gross M. Basal values of biochemical and hematological parameters in elite athletes. Int J Environ Res Public Health. 2022;19(5):3059. doi: 10.3390/ijerph19053059.
- Спасский АА, Мягкова МА, Левашова АИ, Кукушкин СК, Куршев ВВ, Янова ЮВ, Веселова ЛВ. Методология комплексной оценки адаптационного потенциала спортсмена к нагрузке. Спортивная медицина: наука и практика. 2019;9(3):49–61. doi: 10.17238/ISSN2223-2524.2019.3.49.
- Матвиенко ВВ, Тулекеев ТМ, Шведский ТМ, Байгиреева ГУ. Морфология периферической крови у спортсменов высокой квалификации. Вестник физической культуры и спорта. 2018;4(23):119–124.
- Андросова ЛВ, Симонов АН, Пономарева НВ, Клюшник ТП. Кластерный анализ маркеров воспаления сыворотки крови условно здоровых людей. Медицинская иммунология. 2021;23(2):293–302. doi: 10.15789/1563-0625-CAO-2134.
Дополнительные файлы



