The content of soluble forms of galectins -1, -3, -4, -7, -9 in patients with renal cell cancer of various morphological types
- Authors: Kushlinskii N.E.1,2, Kovaleva O.V.1, Basov A.G.1, Kuzmin Y.B.1,2, Alferov A.A.1,2, Bezhanova S.D.1, Kolpashchikov A.V.2, Klimanov I.A.1, Grachev A.N.1, Zybina N.N.3, Matveev V.B.1, Yanushevich O.O.2, Stilidi I.S.1
-
Affiliations:
- N.N. Blokhin National Medical Research Center of Oncology
- Russian University of Medicine
- The Nikiforov Russian Center of Emergency and Radiation Medicine
- Issue: Vol 52, No 3 (2024)
- Pages: 107-119
- Section: ARTICLES
- URL: https://ogarev-online.ru/2072-0505/article/view/264873
- DOI: https://doi.org/10.18786/2072-0505-2024-52-005
- ID: 264873
Cite item
Full Text
Abstract
Background: Galectins are a family of β-galactoside binding proteins that regulate the vast majority of cellular functions, including proliferation, migration, adhesion, and phagocytosis in both health and disease. More and more experimental and clinical evidence indicates that galectins are involved in many stages of carcinogenesis, including patients with renal cell carcinoma (RCC).
Aim: To analyze the clinical significance of soluble forms of galectins -1, -3, -4, -7, -9 in patients with various histological RCC types.
Materials and methods: We performed a retrospective analysis of the clinical significance of galectins -1, -3, -4, -7, -9 in the serum of 140 RCC patients (84 with clear cell RCC (ccRCC), 38 with papillary (papRCC), 18 with chromophobe (chrRCC)) and in 73 healthy donors (control group), who were examined and treated from 2019 to 2023 in the N. N. Blokhin National Medical Research Center of Oncology. Galectin levels were measured in serum (obtained according to standard methods before the initiation of specific treatment) with an enzyme-linked immunosorbent assay.
Results: There was a significant increase in serum galectin -1, -3, -9 levels in the whole RCC patient group, compared to the healthy donor control group; no increase was found for galectins -4 and -7. Serum galectin-1 levels in the ccRCC and papRCC patients were significantly higher than those in the controls (p = 0.0003 and p = 0.0135, respectively). No association between the serum galectins -1 and -7 and the clinical and morphological characteristics of RCC was found; however, serum galectin-7 levels in the papRCC patients correlated with the grade of tumor differentiation (r = -0.592; p = 0.001). The area under the ROC curve (AUC) for galectin-1 in ccRCC was 0.721 (p < 0.0001), in papRCC 0.673 (p = 0.0086), and in chrRCC 0.576 (p = 0.355). For galectin-7, the ROC AUC values were 0.527 (p = 0.634) in ccRCC, 0.513 (p = 0.845) in papRCC, and 0.566 (p = 0.425) in chrRCC. In all histological types of RCC, there was a significant increase in serum galectin-3 compared to the controls (ccRCC, p = 0.0208; papRCC, p = 0.0014; chrRCC, p = 0.0041). The ROC analysis for galectin-3 in patients with RCC of various histological types showed AUC = 0.721 (p < 0.0001) for ccRCC, 0.673 (p = 0.0086) for papRCC, and 0.576 (p = 0.355) for chrRCC. Galectin-9 levels was directly and significantly associated with the tumor size, as well as with regional metastases (r = 0.251, p = 0.021; r = 0.239, p = 0.028, respectively). The AUC values for galectin-4 were 0.619 (p = 0.021) in ccRCC, 0.577 (p = 0.214) in papRCC, and 0.534 (p = 0.666) for chrRCC. For galectin-9, they were 0.649 (p = 0.0075), 0.613 (p = 0.087), and 0.539 (p = 0.637), respectively.
Conclusion: The study has demonstrated a certain association between serum galectin -1, -3, -4, -7, and -9 in the patients with RCC of various histological types. Although the results of the ROC analysis indicated average quality of the model, which does not allow for the use of the obtained data for diagnostic purposes, it is necessary to continue the research for better understanding of the mechanisms of galectin functioning, before galectin-based therapeutic agents would be introduced into clinical practice for the treatment of RCC.
Keywords
Full Text
Хроническое воспаление связано с прогрессией и лекарственной устойчивостью опухолей, поэтому воздействие на воспалительные процессы при онкологических заболеваниях может представлять альтернативную терапевтическую стратегию [1]. Опухоль-ассоциированное воспаление провоцируется многими экзогенными факторами, включая инфекции и воздействие токсических веществ, а также эндогенными факторами, такими как мутации и генетическая нестабильность, приводя к рекрутированию и активации соответствующих клеток микроокружения [2]. Гликозилирование белков клеточной поверхности опухолевых и иммунных клеток – динамический процесс, влияющий и на рост опухоли, и на воспалительные реакции [3]. Галектины – β-галактозид-связывающие белки, относятся к семейству лектинов, имеют общую аминокислотную последовательность и домен распознавания углеводов (англ. carbohydrate recognition domain, CRD), являются ключевыми участниками регуляции тканевого гомеостаза (клеточный цикл и иммунный ответ), способствуя поддержанию хронического воспаления в опухолевом микроокружении [4]. И хотя галектины распространены во многих тканях, некоторые их изоформы экспрессируются более специфично. Большинство современных исследований посвящено внеклеточным эффектам галектинов: они могут связывать белки плазматической мембраны и взаимодействовать с компонентами внеклеточного матрикса [5]. Однако галектины обладают и важными внутриклеточными функциями, выполняемыми в цитоплазме, ядре, митохондриях, экзосомах и лизосомах [6], при этом регуляция экспрессии галектинов осуществляется в зависимости от тканевой специфичности [7].
На основании доменной структуры галектины млекопитающих классифицированы на протогалектины, химерные и тандемно-повторные изоформы. Протогалектины (галектины -1, -2, -5, -7, -10, -11, -13, -14, -15) содержат один CRD-домен на полипептид и нековалентно связанные гомодимеры [7]. Тандемно-повторяющиеся галектины (галектины -4, -6, -8, -9, -12) состоят из двух CRD, соединенных неструктурированным линкерным пептидом [7]. Уникальным представителем химерных изоформ является галектин-3, состоящий из одного CRD-домена на С-конце, слитого с нелектиновым N-концом, на котором представлены два сайта фосфорилирования (Ser6, Ser12), при этом статус фосфорилирования маркера регулирует субклеточную локализацию и транслокацию белка [8].
Галектины активно вовлечены в различные механизмы регуляции. Так, галектин-1 экспрессируется различными иммунными клетками в микроокружении опухоли, а также опухолевыми и эндотелиальными клетками [9], считается негативным регулятором иммунного ответа, поскольку может ингибировать взаимодействие Т-клеток с компонентами внеклеточного матрикса (фибронектином и ламинином), тем самым подавляя продукцию провоспалительных цитокинов, выделяемых активированными Т-клетками [10].
Для галектина-3 доказано участие в противоопухолевом иммунном ответе посредством регуляции функции NK- и Т-клеток, а его повышенная экспрессия ассоциирована с утратой функций эффекторных Т-клеток [11]. Наряду с этим галектин-3 может вызывать усиленную продукцию провоспалительных цитокинов в различных иммунных клетках [12], при этом подавление галектина-3 приводит к увеличению числа функциональных CD8+ Т-клеток и, как следствие, к экспрессии провоспалительных цитокинов и элиминации опухоли у галектин-3-дефицитных животных [13].
Галектин-4 считается опухолевым супрессором, ингибирующим пролиферацию клеток колоректального рака (КРР) посредством сигнальных путей Wnt и IL-6/NF-κB/STAT3 [14]. Аналогичные результаты отмечены при раке поджелудочной железы [15]. Кроме того, галектин-4 ингибирует миграцию опухолевых клеток и метастазирование, снижает уровень цитоплазматического β-катенина и делает клетки рака поджелудочной железы чувствительными к ингибиторам Wnt [16], а его дефицит ассоциирован с ранним рецидивированием и прогрессией опухоли.
Галектин-7 является маркером эпителиальной дифференцировки [17], высокий уровень экспрессии которого обнаружен в агрессивных подтипах рака молочной железы, часто с базально-подобным фенотипом и в эстроген-негативных опухолях [18]. Повышения уровня галектина-7 оказалось достаточно для приобретения опухолевыми клетками более злокачественного фенотипа, а именно способности к метастазированию и устойчивости к апоптозу [19].
Галектин-9 конститутивно экспрессируется в антигенпрезентирующих клетках, а в опухолевых клетках его экспрессия повышается под действием интерферонов [20]. Функция галектина-9 тесно связана с иммуносупрессорным фенотипом опухолевого микроокружения, маркер связывается с Tim-3 на поверхности Т-клеток, тем самым вызывая их гибель [21].
Цель данного исследования – анализ клинической значимости растворимых форм галектинов -1, -3, -4, -7, -9 у больных почечно-клеточным раком (ПКР) различных гистологических типов.
Материал и методы
В ретроспективное исследование включены данные 140 пациентов с ПКР, из них 84 – со светлоклеточным ПКР (скПКР), 38 – с папиллярным (папПКР), 18 – с хромофобным (хрПКР), и 73 здоровых донора, проходивших обследование и лечение в ФГБУ «НМИЦ онкологии им. Н. Н. Блохина» Минздрава России в период с 2019 по 2023 г. Проведение данного исследования одобрено этическим комитетом «НМИЦ онкологии им. Н. Н. Блохина» (протокол от 25.11.2021). Клинический диагноз у всех пациентов подтвержден данными морфологического исследования опухоли согласно Международной гистологической классификации опухолей почки (Всемирная организация здравоохранения, 2016). Описание исследованной выборки больных ПКР представлено в табл. 1.
Таблица 1. Клинико-морфологические характеристики больных почечно-клеточным раком
Характеристика | Число случаев, абс. (%) |
Возраст | |
≤ 60 лет | 71 (51) |
> 60 лет | 69 (49) |
Пол | |
мужской | 87 (62) |
женский | 53 (38) |
Гистология | |
скПКР | 84 (60) |
папПКР | 38 (27) |
хрПКР | 18 (13) |
Стадия | |
I | 58 (41) |
II | 27 (19) |
III | 33 (24) |
IV | 22 (16) |
Размер опухоли (Т) | |
T1–T2 | 93 (66) |
T3–T4 | 47 (34) |
Регионарные метастазы (N) | |
N0 | 124 (89) |
N+ | 16 (11) |
Отдаленные метастазы (M) | |
M0 | 120 (86) |
M+ | 20 (14) |
Дифференцировка опухоли по Фурман (G) | |
G1–G2 | 88 (63) |
G3–G4 | 52 (37) |
папПКР – папиллярный почечно-клеточный рак, скПКР – светлоклеточный почечно-клеточный рак, хрПКР – хромофобный почечно-клеточный рак
Концентрацию галектинов -1, -3, -4, -7, -9 определяли в сыворотке крови до начала лечения с помощью наборов реактивов для прямого иммуноферментного анализа Human Galectin-1, -3, -9 Quantikine ELISA (R&D Systems, США) и Galectin-4, -7 Quantikine ELISA (RayBiotech, США) в соответствии с инструкциями производителя. Измерения проводили на автоматическом иммуноферментном анализаторе BEP 2000 Advance (Siemens Healthcare Diagnostics, Германия). Содержание маркеров выражали в пикограммах (пг) или нанограммах (нг) на 1 мл сыворотки крови.
Полученные данные обрабатывали с помощью программы GraphPad Prism 10.0. При сравнении показателей и анализе их взаимосвязей использовали непараметрические критерии Манна – Уитни, Краскела – Уоллиса с последующим применением критерия Данна c поправкой Бонферрони для попарных сравнений. Анализ информативности диагностического метода путем оценки его чувствительности и специфичности проводили с помощью построения ROC-кривых и вычисления площади под ними (англ. area under the curve, AUC). Корреляционный анализ выполняли посредством определения коэффициента корреляции Спирмена. Различия и корреляции считали статистически значимыми при p < 0,05.
Результаты
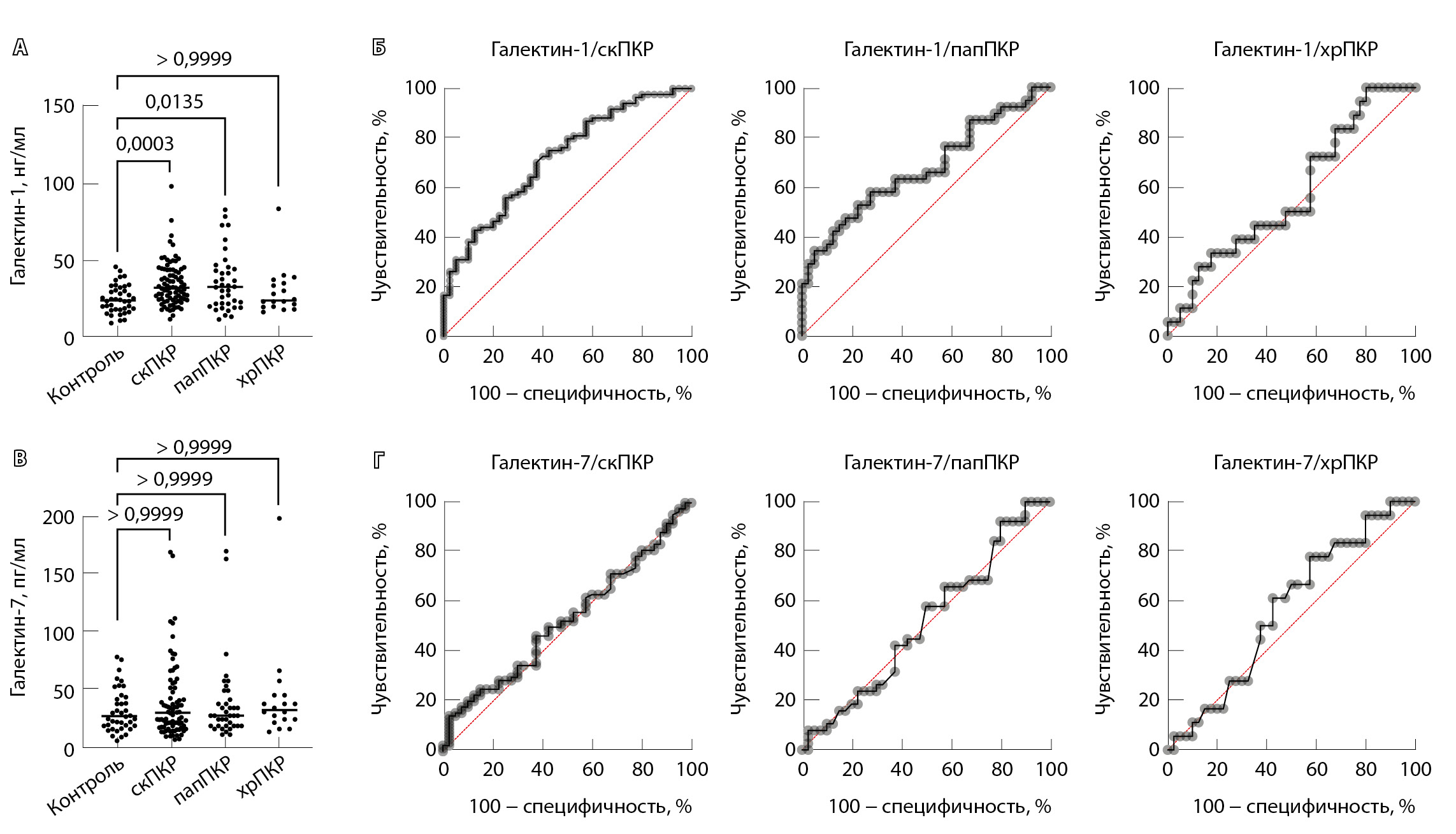
Провели анализ содержания галектинов -1 и -7 в сыворотке крови больных ПКР в сравнении со здоровыми донорами (рис. 1). Содержание галектина-1 в сыворотке крови было выше у больных скПКР и папПКР по сравнению со здоровыми донорами, однако площадь под ROC-кривой, равная 0,721 для скПКР и 0,673 для папПКР, свидетельствует о среднем качестве модели, что не позволяет использовать полученные данные в диагностических целях. Для галектина-7 не выявлено различий в содержании данного белка между группами контроля и больных ПКР.
Рис. 1. Сравнительный анализ содержания в сыворотке крови больных почечно-клеточным раком (ПКР) и здоровых доноров галектина-1 (А) и -7 (В). ROC-анализ для галектина-1 (Б) и -7 (Г) у больных ПКР различных гистологических типов: для галектина-1 AUC = 0,721 (p < 0,0001) для светлоклеточного ПКР (скПКР), 0,673 (p = 0,0086) – для папиллярного ПКР (папПКР) и 0,576 (p = 0,355) – для хромофобного ПКР (хрПКР); для галектина-7 AUC = 0,527 (p = 0,634) для скПКР; 0,513 (p = 0,845) – для папПКР и 0,566 (p = 0,425) – для хрПКР
Как видно из данных табл. 2, значимых ассоциаций между содержанием в сыворотке крови галектинов -1 и -7 и клинико-морфологическими характеристиками заболевания не выявлено.
Таблица 2. Ассоциация содержания галектинов-1 и -7 в сыворотке крови с клинико-морфологическими характеристиками больных почечно-клеточным раком
Характеристика | Галектин-1, нг/мл | Галектин-7, пг/мл | |||||
медиана | 25%; 75% | значение p | медиана | 25%; 75% | значение p | ||
Возраст, годы | |||||||
≤ 60 | 31,45 | 23,99; 40,46 | 0,779 | 29,56 | 20,05; 50,55 | 0,918 | |
> 60 | 32,60 | 21,99; 44,50 | 31,76 | 19,58; 51,07 | |||
Пол | |||||||
мужской | 30,86 | 23,56; 40,56 | 0,358 | 32,13 | 22,78; 56,79 | 0,079 | |
женский | 33,75 | 22,91; 45,86 | 27,44 | 17,41; 40,91 | |||
Гистология | |||||||
1. скПКР | 32,60 | 25,01; 44,20 | 1 vs 2 > 0,999 | 31,39 | 19,11; 55,83 | 1 vs 2 > 0,999 | |
2. папПКР | 33,01 | 21,70; 44,90 | 1 vs 3 = 0,194 | 28,88 | 20,05; 44,70 | 1 vs 3 > 0,999 | |
3. хрПКР | 24,33 | 20,25; 36,03 | 2 vs 3 = 0,492 | 33,83 | 25,05; 46,58 | 2 vs 3 > 0,999 | |
Стадия | |||||||
I–II | 30,81 | 22,80; 41,88 | 0,376 | 32,13 | 22,47; 53,80 | 0,297 | |
III–IV | 32,60 | 23,65; 44,23 | 26,06 | 19,11; 42,13 | |||
Размер опухоли | |||||||
T1–T2 | 30,81 | 22,80; 41,20 | 0,296 | 32,13 | 20,18; 52,93 | 0,595 | |
T3–T4 | 32,87 | 23,65; 45,70 | 28,88 | 20,05; 46,58 | |||
Регионарные метастазы | |||||||
N0 | 30,88 | 23,28; 42,97 | 0,339 | 32,13 | 20,11; 49,56 | 0,487 | |
N+ | 33,01 | 27,15; 44,37 | 25,83 | 17,69; 50,21 | |||
Отдаленные метастазы | |||||||
M0 | 32,03 | 23,02; 43,49 | 0,540 | 31,95 | 20,05; 52,34 | 0,890 | |
M+ | 31,47 | 25,17; 41,88 | 27,47 | 20,05; 46,67 | |||
Степень дифференцировки опухоли | |||||||
G1–G2 | 32,60 | 23,93; 44,90 | 0,6291 | 35,52 | 20,30; 58,91 | 0,097 | |
G3–G4 | 32,86 | 23,58; 43,29 | 25,59 | 19,35; 39,83 | |||
папПКР – папиллярный почечно-клеточный рак, скПКР – светлоклеточный почечно-клеточный рак, хрПКР – хромофобный почечно-клеточный рак
Корреляционный анализ показал отсутствие корреляции содержания галектина-1 с клинико-морфологическими характеристиками различных гистологических типов ПКР (табл. 3). При этом содержание галектина-7 в сыворотке крови больных скПКР значимо коррелировало с полом пациентов, а в группе папПКР – со степенью дифференцировки опухоли (табл. 4).
Таблица 3. Корреляционный анализ содержания галектина-1 с клинико-морфологическими характеристиками почечно-клеточного рака различных гистологических типов
Параметр | скПКР | папПКР | хрПКР |
Галектин-1 vs возраст | r = -0,194; p = 0,078 | r = -0,216; p = 0,194 | r = -0,216; p = 0,388 |
Галектин-1 vs пол | r = 0,165; p = 0,134 | r = -0,017; p = 0,917 | r = -0,065; p = 0,799 |
Галектин-1 vs стадия | r = 0,161; p = 0,143 | r = 0,048; p = 0,774 | r = -0,132; p = 0,602 |
Галектин-1 vs Т | r = 0,175; p = 0,112 | r = 0,052; p = 0,755 | r = -0,055; p = 0,827 |
Галектин-1 vs N | r = 0,054; p = 0,623 | r = 0,045; p = 0,788 | r = 0,171; p = 0,499 |
Галектин-1 vs M | r = 0,076; p = 0,490 | r = -0,051; p = 0,762 | r = -0,023; p = 0,927 |
Галектин-1 vs G | r = -0,026; p = 0,813 | r = -0,096; p = 0,632 | r = 0,169; p > 0,999 |
G – степень дифференцировки опухоли, M – отдаленные метастазы, N – регионарные метастазы, T – размер опухоли, папПКР – папиллярный почечно-клеточный рак,
скПКР – светлоклеточный почечно-клеточный рак, хрПКР – хромофобный почечно-клеточный рак
Таблица 4. Корреляционный анализ содержания галектина-7 с клинико-морфологическими характеристиками почечно-клеточного рака различных гистологических типов
Параметр | скПКР | папПКР | хрПКР |
Галектин-7 vs возраст | r = 0,004; p = 0,975 | r = -0,108; p = 0,519 | r = 0,139; p = 0,582 |
Галектин-7 vs пол | r = -0,264; p = 0,015* | r = 0,032; p = 0,846 | r = 0,043; p = 0,860 |
Галектин-7 vs стадия | r = -0,081; p = 0,464 | r = -0,219; p = 0,185 | r = -0,181; p = 0,472 |
Галектин-7 vs Т | r = -0,050; p = 0,649 | r = -0,207; p = 0,212 | r = -0,104; p = 0,681 |
Галектин-7 vs N | r = 0,030; p = 0,786 | r = -0,168; p = 0,314 | r = -0,205; p = 0,414 |
Галектин-7 vs M | r = 0,016; p = 0,885 | r = -0,109; p = 0,511 | r = 0,117; p = 0,643 |
Галектин-7 vs G | r = -0,027; p = 0,807 | r = -0,592; p = 0,001* | r = -0,4287; p = 0,533 |
G – степень дифференцировки опухоли, M – отдаленные метастазы, N – регионарные метастазы, T – размер опухоли, папПКР – папиллярный почечно-клеточный рак, скПКР – светлоклеточный почечно-клеточный рак, хрПКР – хромофобный почечно-клеточный рак
* Корреляция статистически значима
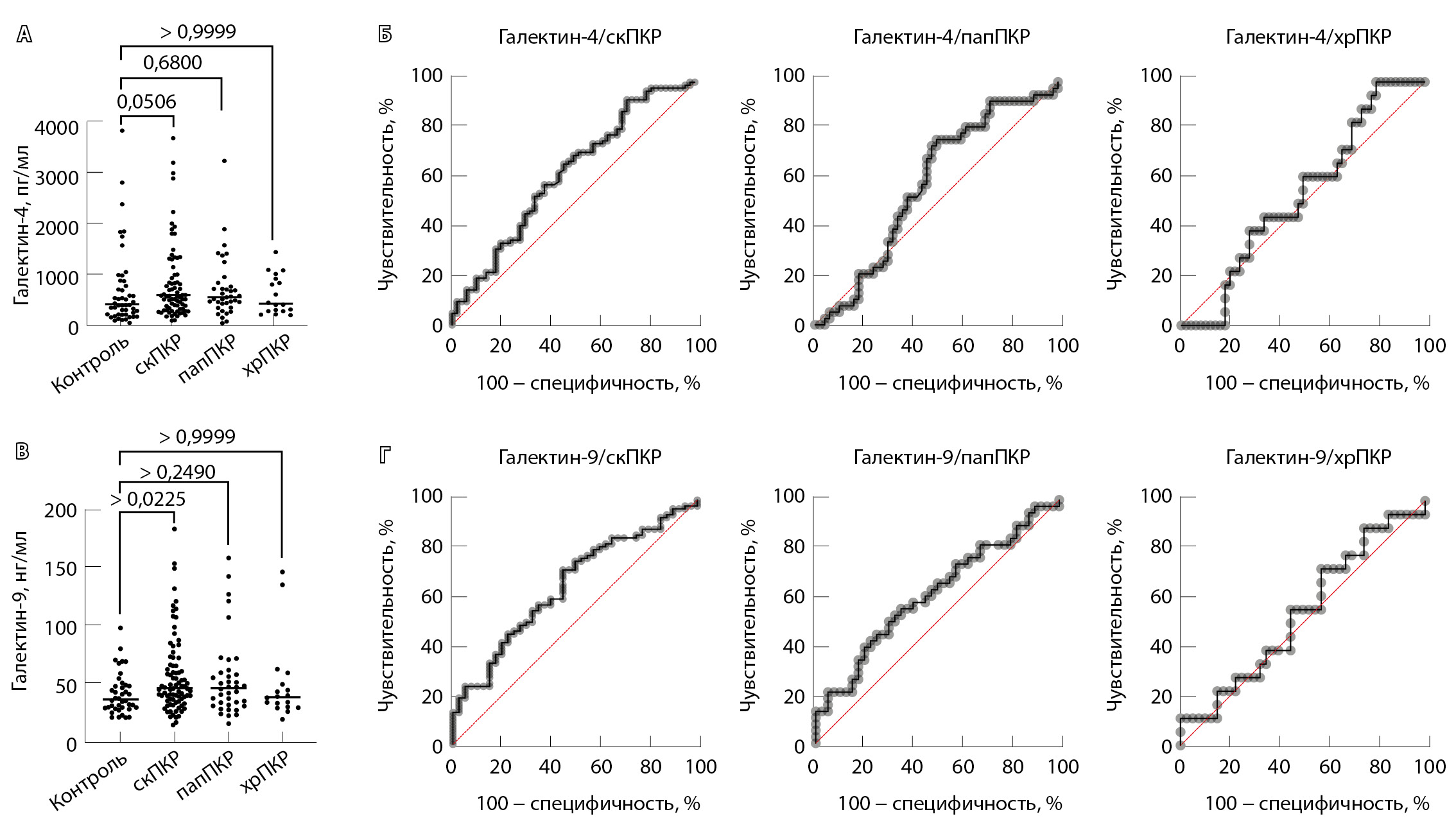
По данным ROC-анализа, содержание галектина-3 в сыворотке крови значимо возрастало при развитии всех типов ПКР, но наибольшее содержание данного белка наблюдалось в случае хромофобного ПКР (рис. 2). При этом содержание галектина-3 в сыворотке крови у женщин с ПКР было значимо выше по сравнению с мужчинами (табл. 5). Вместе с тем корреляционная связь с полом пациентов установлена только в группе скПКР. Для данной группы характерна значимая прямая корреляция содержания галектина-3 с возрастом пациентов (табл. 6).
Рис. 2. Сравнительный анализ содержания галектина-3 в сыворотке крови больных почечно-клеточным раком (ПКР) и здоровых доноров (A). ROC-анализ для галектина-3 у больных ПКР различных гистологических типов (Б): AUC = 0,721 (p < 0,0001) для светлоклеточного ПКР (скПКР); 0,673 (p = 0,0086) для папиллярного ПКР (папПКР); 0,576 (p = 0,355) для хромофобного ПКР (хрПКР)
Таблица 5. Ассоциация содержания галектина-3 в сыворотке крови с клинико-морфологическими характеристиками больных почечно-клеточным раком
Характеристика | Галектин-3, нг/мл | ||
медиана | 25%; 75% | значение p | |
Возраст, годы | |||
≤ 60 | 10,20 | 7,870; 13,53 | 0,831 |
> 60 | 10,00 | 8,305; 12,29 | |
Пол | |||
мужской | 9,140 | 7,720; 12,21 | 0,006* |
женский | 10,82 | 9,220; 15,67 | |
Гистология | |||
1. скПКР | 9,880 | 7,885; 11,79 | 1 vs 2 = 0,408 |
2. папПКР | 10,45 | 8,098; 14,91 | 1 vs 3 = 0,261 |
3. хрПКР | 12,06 | 8,595; 14,99 | 2 vs 3 > 0,999 |
Стадия | |||
I–II | 10,10 | 8,000; 12,67 | 0,585 |
III–IV | 10,17 | 8,090; 14,88 | |
Размер опухоли | |||
T1–T2 | 10,17 | 8,065; 12,67 | 0,889 |
T3–T4 | 9,950 | 8,030; 14,88 | |
Регионарные метастазы | |||
N0 | 10,09 | 7,975; 12,54 | 0,111 |
N+ | 10,81 | 9,113; 16,39 | |
Отдаленные метастазы | |||
M0 | 10,00 | 8,053; 12,54 | 0,204 |
M+ | 10,99 | 8,938; 16,12 | |
Степень дифференцировки опухоли | |||
G1–G2 | 9,660 | 7,830; 12,40 | 0,615 |
G3–G4 | 10,08 | 8,498; 11,97 | |
G – степень дифференцировки опухоли, M – отдаленные метастазы, N – регионарные метастазы, T – размер опухоли, папПКР – папиллярный почечно-клеточный рак,
скПКР – светлоклеточный почечно-клеточный рак, хрПКР – хромофобный почечно-клеточный рак
Таблица 6. Корреляционный анализ содержания галектина-3 с клинико-морфологическими характеристиками почечно-клеточного рака различных гистологических типов
Параметр | скПКР | папПКР | хрПКР |
Галектин-3 vs возраст | r = 0,364; p = 0,0007* | r = -0,197; p = 0,236 | r = 0,089; p = 0,725 |
Галектин-3 vs пол | r = 0,401; p = 0,0002* | r = -0,055; p = 0,744 | r = 0,021; p = 0,932 |
Галектин-3 vs стадия | r = 0,186; p = 0,089 | r = 0,138; p = 0,407 | r = -0,249; p = 0,319 |
Галектин-3 vs Т | r = 0,210; p = 0,055 | r = 0,062; p = 0,712 | r = -0,250; p = 0,316 |
Галектин-3 vs N | r = 0,048; p = 0,666 | r = 0,255; p = 0,123 | r = 0,170; p = 0,499 |
Галектин-3 vs M | r = 0,074; p = 0,502 | r = 0,250; p = 0,129 | r = 0,210; p = 0,402 |
Галектин-3 vs G | r = 0,075; p = 0,504 | r = -0,076; p = 0,705 | r = -0,169; p > 0,999 |
G – степень дифференцировки опухоли, M – отдаленные метастазы, N – регионарные метастазы, T – размер опухоли, папПКР – папиллярный почечно-клеточный рак,
скПКР – светлоклеточный почечно-клеточный рак, хрПКР – хромофобный почечно-клеточный рак
* Корреляция статистически значима
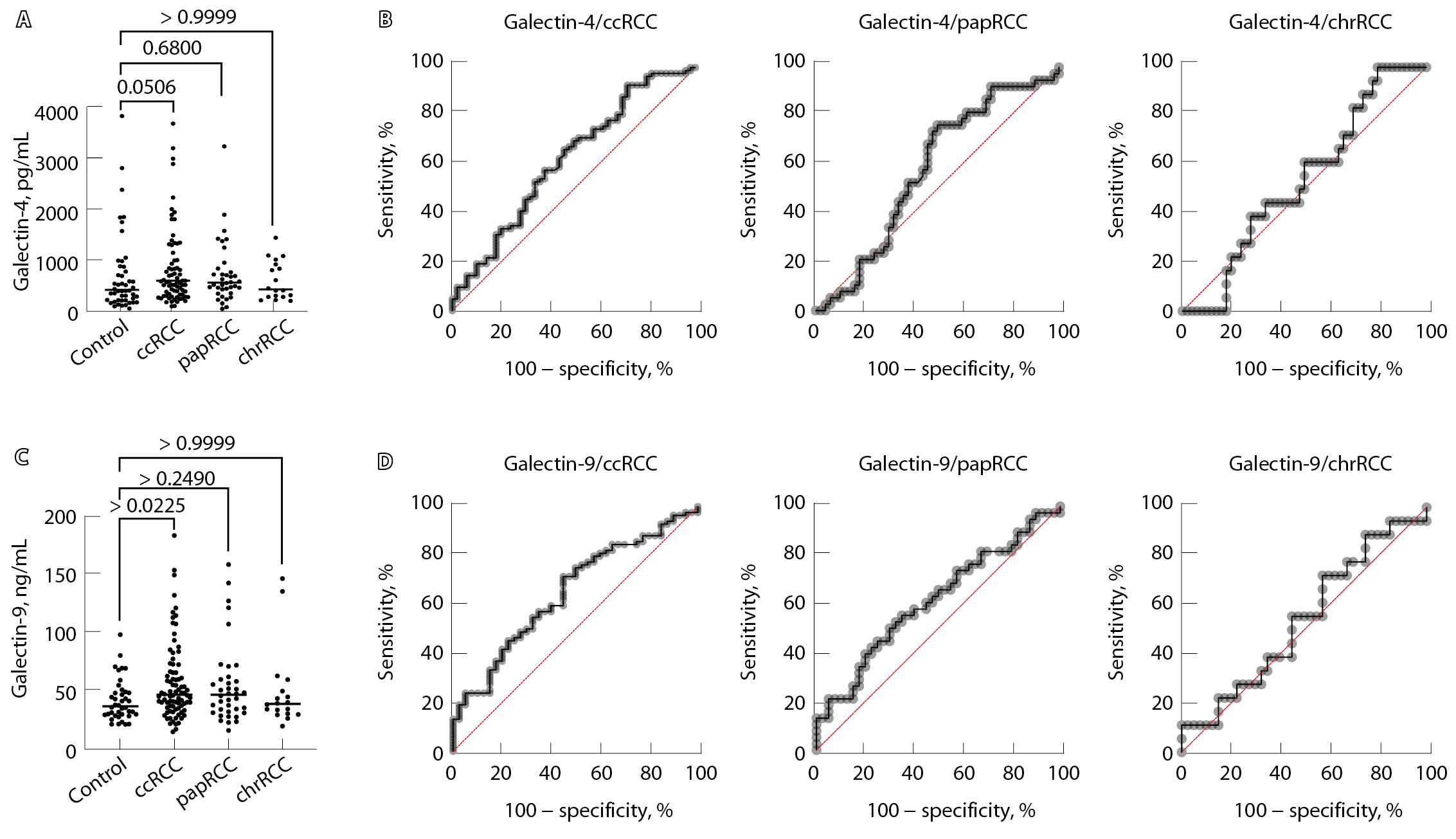
Анализ содержания галектинов -4 и -9 в сыворотке крови больных ПКР в сравнении со здоровыми донорами (рис. 3) показал: для галектина-4 отмечено незначимое повышение содержания в сыворотке крови больных ПКР относительно контроля, а для галектина-9 – статистически значимое повышение его концентрации только у больных скПКР относительно контроля.
Рис. 3. Сравнительный анализ содержания в сыворотке крови больных почечно-клеточным раком (ПКР) и здоровых доноров галектина-4 (А) и галектина-9 (В). ROC-анализ для галектина-4 у больных ПКР различных гистологических типов (Б, Г): AUC = 0,619 (p = 0,021) для светлоклеточного ПКР (скПКР); 0,577 (p = 0,214) – для папиллярного ПКР (папПКР); 0,534 (p = 0,666) – для хромофобного ПКР (хрПКР) ; для галектина-9 AUC = 0,649 (p = 0,0075) для скПКР; 0,613 (p = 0,087) – для папПКР и 0,539 (p = 0,637) – для хрПКР
Результаты анализа связи содержания галектинов -4 и -9 с клинико-морфологическими характеристиками заболевания представлены в табл. 7. Более высокие уровни галектина-9 в сыворотке крови отмечены у больных ПКР старшей возрастной группы. Что касается данных корреляционного анализа (табл. 8 и 9), в группе больных скПКР помимо корреляции с возрастом выявлена статистически значимая прямая корреляция содержания галектина-9 с размером опухоли и наличием регионарных метастазов.
Таблица 7. Ассоциация содержания галектинов-4 и -9 в сыворотке крови с клинико-морфологическими характеристиками больных почечно-клеточным раком
Характеристика | Галектин-4, пг/мл | Галектин-9, нг/мл | |||||
медиана | 25%; 75% | значение p | медиана | 25%; 75% | значение p | ||
Возраст, годы | |||||||
≤ 60 | 506,1 | 286,0; 928,2 | 0,050* | 8,830 | 6,430; 12,03 | 0,365 | |
> 60 | 698,5 | 419,5; 1326 | 9,550 | 7,185; 13,87 | |||
Пол | |||||||
мужской | 540,5 | 295,2; 829,3 | 0,079 | 8,940 | 6,940; 12,03 | 0,357 | |
женский | 698,5 | 381,0; 1383 | 9,550 | 6,795; 17,40 | |||
Гистология | |||||||
1. скПКР | 589,7 | 329,3; 1329 | 1vs 2 > 0,999 | 9,455 | 7,315; 13,38 | 1 vs 2 > 0,999 | |
2. папПКР | 549,5 | 398,6; 854,4 | 1 vs 3 = 0,436 | 9,450 | 6,510; 12,18 | 1 vs 3 = 0,408 | |
3. хрПКР | 417,8 | 272,3; 928,2 | 2 vs 3 > 0,999 | 7,880 | 6,185; 10,57 | 2 vs 3 > 0,999 | |
Стадия | |||||||
I–II | 601,6 | 276,3; 1350 | 0,866 | 9,270 | 7,085; 12,06 | 0,985 | |
III–IV | 570,7 | 396,6; 836,2 | 9,090 | 6,430; 14,31 | |||
Размер опухоли | |||||||
T1–T2 | 565,1 | 276,3; 1350 | 0,867 | 9,190 | 6,965; 12,10 | 0,716 | |
T3–T4 | 576,2 | 437,4; 836,2 | 9,170 | 6,550; 13,24 | |||
Регионарные метастазы | |||||||
N0 | 559,4 | 315,7; 1299 | 0,993 | 8,895 | 6,873; 12,11 | 0,058 | |
N+ | 595,5 | 464,4; 776,3 | 11,44 | 7,355; 23,99 | |||
Отдаленные метастазы | |||||||
M0 | 589,7 | 296,3; 1281 | 0,701 | 9,230 | 6,995; 12,27 | 0,717 | |
M+ | 571,5 | 457,9; 827,0 | 9,055 | 5,665; 14,04 | |||
Степень дифференцировки опухоли | |||||||
G1–G2 | 650,7 | 338,5; 1306 | 0,744 | 8,520 | 7,010; 13,43 | 0,368 | |
G3–G4 | 574,3 | 332,8; 1303 | 9,995 | 7,095; 13,24 | |||
G – степень дифференцировки опухоли, M – отдаленные метастазы, N – регионарные метастазы, T – размер опухоли, папПКР – папиллярный почечно-клеточный рак,
скПКР – светлоклеточный почечно-клеточный рак, хрПКР – хромофобный почечно-клеточный рак
* Межгрупповые различия статистически значимы
Таблица 8. Корреляционный анализ содержания галектина-4 с клинико-морфологическими характеристиками почечно-клеточного рака различных гистологических типов
Параметр | скПКР | папПКР | хрПКР |
Галектин-4 vs возраст | r = 0,266; p = 0,015* | r = -0,125; p = 0,454 | r = 0,304; p = 0,220 |
Галектин-4 vs пол | r = 0,118; p = 0,286 | r = 0,294; p = 0,074 | r = -0,075; p = 0,766 |
Галектин-4 vs стадия | r = -0,012; p = 0,909 | r = -0,072; p = 0,668 | r = 0,032; p = 0,899 |
Галектин-4 vs Т | r = 0,009; p = 0,934 | r = -0,080; p = 0,632 | r = 0,149; p = 0,552 |
Галектин-4 vs N | r = 0,011; p = 0,921 | r = 0,004; p = 0,982 | r = -0,102; p = 0,686 |
Галектин-4 vs M | r = 0,032; p = 0,769 | r = -0,003; p = 0,981 | r = 0,023; p = 0,927 |
Галектин-4 vs G | r = 0,096; p = 0,391 | r = -0,309; p = 0,116 | r = 0,169; p > 0,999 |
G – степень дифференцировки опухоли, M – отдаленные метастазы, N – регионарные метастазы, T – размер опухоли, папПКР – папиллярный почечно-клеточный рак,
скПКР – светлоклеточный почечно-клеточный рак, хрПКР – хромофобный почечно-клеточный рак
* Корреляция статистически значима
Таблица 9. Корреляционный анализ содержания галектина-9 с клинико-морфологическими характеристиками почечно-клеточного рака различных гистологических типов
Параметр | скПКР | папПКР | хрПКР |
Галектин-9 vs возраст | r = 0,216; p = 0,048* | r = 0,012; p = 0,943 | r = -0,254; p = 0,309 |
Галектин-9 vs пол | r = 0,108; p = 0,324 | r = 0,029; p = 0,858 | r = 0,064; p = 0,798 |
Галектин-9 vs стадия | r = 0,146; p = 0,185 | r = -0,098; p = 0,554 | r = -0,199; p = 0,428 |
Галектин-9 vs Т | r = 0,251; p = 0,021* | r = -0,152; p = 0,363 | r = -0,051; p = 0,842 |
Галектин-9 vs N | r = 0,239; p = 0,028* | r = 0,063; p = 0,707 | r = 0,068; p = 0,788 |
Галектин-9 vs M | r = -0,021; p = 0,848 | r = 0,023; p = 0,888 | r = -0,397; p = 0,102 |
Галектин-9 vs G | r = 0,124; p = 0,265 | r = -0,033; p = 0,871 | r = -0,169; p > 0,999 |
G – степень дифференцировки опухоли, M – отдаленные метастазы, N – регионарные метастазы, T – размер опухоли, папПКР – папиллярный почечно-клеточный рак,
скПКР – светлоклеточный почечно-клеточный рак, хрПКР – хромофобный почечно-клеточный рак
* Корреляция статистически значима
Обсуждение
В настоящее время в прогрессии онкологических заболеваний, в том числе и ПКР, особую роль отводят галектинам, которые опосредуют взаимодействие между опухолью и ее микроокружением [4, 22]. Выбор нами нозологической формы, а именно ПКР, для исследования различных галектинов связан с тем, что этот тип опухоли относится к высокоиммуногенным новообразованиям и представляется перспективным направлением в плане разработки новых методов терапии, влияющих на иммунную систему. Галектины способны модулировать иммунный ответ, принимают активное участие в воспалительных процессах и помогают опухолевым клеткам избегать иммунного надзора – это делает их привлекательной терапевтической мишенью [4]. Настоящее исследование посвящено изучению клинической значимости содержания галектинов -1, -3, -4, -7, -9 в сыворотке крови больных ПКР с акцентом связи данных молекул с основными гистологическими типами этих опухолей.
Прежде всего, нами выявлено статистически значимое повышение содержания галектинов -1, -3, -9 в сыворотке крови больных ПКР по сравнению со здоровыми донорами контрольной группы, для галектинов -4 и -7 такой зависимости не обнаружено. Следует отметить, что другие авторы также выявили повышение уровня галектина-3 в крови онкологических больных, в частности, при раке молочной железы, легкого и КРР [23]. По данным литературы экспрессия галектина-3 повышена во многих типах солидных опухолей, в том числе и ПКР, и прямо связана с неблагоприятным прогнозом заболевания [24]. Повышение экспрессии галектина-3 при ПКР ассоциировано со стволовым фенотипом опухолевых клеток, которые начинают продуцировать белки Oct4, Sox2, Nanog, а снижение его уровня в опухолях данной нозологии может подавлять инвазию клеток, их способность к образованию колоний и неприкрепленному росту [25]. В целом эти результаты позволяют предположить, что галектин-3 регулирует стволовость опухолевых клеток, способствуя прогрессии опухоли. Кроме того, данные литературы указывают на то, что галектин-3 играет существенную роль в прогрессии и метастазировании опухолей [26]. Важно, что, несмотря на участие галектина-3 в различных биологических процессах, связанных с развитием и прогрессией опухоли, практически во всех случаях галектин-3 действует как промотор опухолевого роста. Таким образом, ингибиторы галектина-3 могут быть полезны в терапии различных видов онкологических заболеваний, включая ПКР, за счет подавления митогенных путей.
Для галектина-1 описаны аналогичные закономерности, а именно повышение его экспрессии при ПКР [26], что согласуется с полученными нами результатами. Показано также, что при меланоме галектин-1 вносит существенный вклад в формирование иммуносупрессорного микроокружения, индуцируя апоптоз цитотоксических Т-клеток [27]. При КРР галектин-1 может влиять на рост опухоли, регулируя активность CD8+ Treg-клеток [28]. В соответствии с этим высокая экспрессия галектина-1 у больных КРР коррелирует с повышенным уровнем CD8+ Treg и неблагоприятным прогнозом [28]. Кроме того, высокий уровень галектина-1 выявлен в эндотелии первичных опухолей легкого, толстой кишки, а также рака полости рта, что было ассоциировано с гипоксией и ангиогенезом [29]. Учитывая известную биологическую роль галектина-1 в опухолевой прогрессии, он был предложен в качестве привлекательной мишени для противоопухолевой терапии. В частности, имеются данные о том, что галектин-1, продуцируемый опухолью, способствует «ускользанию» опухоли от иммунологического надзора, поэтому ингибиторы галектина-1 могут быть использованы для противодействия этому эффекту и усиления противоопухолевого иммунитета [27].
Проведенный нами анализ данных показал, что для галектина-7, с одной стороны, не наблюдается изменения его содержания в сыворотке крови при развитии ПКР, с другой стороны, его содержание у больных скПКР значимо коррелирует с полом пациентов, а в группе больных папПКР – со степенью дифференцировки опухоли. Несмотря на то что галектин-7 может выступать как промоутер опухолевой прогрессии, в случае опухолей желудочно-кишечного тракта была показана его противоположная роль. Так, например, экспрессия галектина-7 в клетках КРР делала их более чувствительными к апоптозу [30]. Галектин-7 также снижает инвазивность клеток рака простаты, подавляя клеточную подвижность и повышая чувствительность опухолевых клеток к химиотерапевтическим препаратам [31]. Проведенное нами исследование не выявило повышения содержания галектина-7 в сыворотке крови при развитии ПКР и его связи с основными клинико-морфологическими характеристиками заболевания; это свидетельствует о том, что он не принимает активного участия в развитии и прогрессии ПКР.
При анализе галектина-9 мы показали: в группе светлоклеточных опухолей почки помимо корреляции с возрастом наблюдалась значимая прямая корреляция содержания галектина-9 с размером опухоли и наличием регионарных метастазов, что говорит о его участии в опухолевой прогрессии. В литературе описаны различные механизмы, посредством которых галектин-9 принимает участие в процессе распространения опухоли. Так, галектин-9 может взаимодействовать с CD44 на клеточной поверхности или блокировать взаимодействие VCAM1 с α4β1-интегринами, что ослабляет миграцию опухолевых клеток и метастазирование меланомы и КРР [32]. Кроме того, галектин-9 может ингибировать метастазирование меланомы, способствуя агрегации опухолевых клеток, тем самым предотвращая их распространение [33]. Галектин-9 также участвует в поляризации эпителиальных клеток [34]. Проапоптотическая функция галектина-9 описана в моделях рака яичников [35]. В целом вышеописанные исследования позволили предположить, что в зависимости от типа опухоли галектин-9 может служить диагностическим и прогностическим маркером, а также терапевтической мишенью. Согласно данным, полученным в настоящем исследовании, содержание галектина-9 в сыворотке крови больных ПКР возрастало как при развитии заболевания, так и при его дальнейшей прогрессии.
Заключение
Идентификация лигандов, опосредующих активность галектинов, имеет большое значение для выяснения их функций. Это непростая задача, поскольку галектины в большом количестве связываются с нерелевантными гликопротеинами, которые оказываются в тесном контакте с галектинами после лизиса клеток. К настоящему времени опубликованы работы, посвященные галектинам -1 и -3 у нокаутных животных моделей [36, 37]. Интерес к этим исследованиям связан с тем, что некоторые ткани одновременно экспрессируют несколько галектинов, и существует вероятность того, что у нокаутных животных может происходить функциональная компенсация за счет других галектинов. Однако выраженные фенотипы у животных, лишенных одного из этих двух галектинов, подтверждают функциональную уникальность некоторых членов данного семейства.
Ввиду того, что при развитии различных типов злокачественных опухолей наблюдается изменение содержания как тканевых, так и растворимых форм галектинов, они в перспективе могут обладать терапевтическим потенциалом. Однако прежде чем терапевтические средства на основе галектинов будут экстраполированы в клиническую практику, необходимо более глубокое понимание механизмов их функционирования. Нерешенными остаются также вопросы функционирования данных белков в зависимости от их локализации, особенно в условиях in vivo. Ответы на эти вопросы позволят определить, как именно должны функционировать ингибиторы или активаторы данных белков. Анализ связи растворимых форм галектинов, исследованных в настоящей работе, позволил оценить их ассоциации с ключевыми клинико-морфологическими факторами ПКР для дальнейшего изучения их роли в прогнозе заболевания, а также выборе возможной целенаправленной терапии их ингибиторами.
Дополнительная информация
Финансирование
Работа проведена без привлечения дополнительного финансирования со стороны третьих лиц.
Конфликт интересов
Авторы заявляют об отсутствии явных и потенциальных конфликтов интересов, связанных с публикацией настоящей статьи.
Участие авторов
Н. Е. Кушлинский, В. Б. Матвеев, О. О. Янушевич, И. С. Стилиди – концепция и дизайн исследования, лечение пациентов, редактирование текста; О. В. Ковалева, А. Г. Басов, А. Н. Грачев и Н. Н. Зыбина – анализ полученных данных, статистический анализ, написание текста; С. Д. Бежанова – гистологическое исследование опухоли; Ю. Б. Кузьмин, А. А. Алферов, А. В. Колпащиков, И. А. Климанов – сбор материала, подготовка биологических образцов, анализ полученных данных. Все авторы прочли и одобрили финальную версию статьи перед публикацией, согласны нести ответственность за все аспекты работы и гарантируют, что ими надлежащим образом были рассмотрены и решены вопросы, связанные с точностью и добросовестностью всех частей работы.
About the authors
Nikolay E. Kushlinskii
N.N. Blokhin National Medical Research Center of Oncology; Russian University of Medicine
Email: biochimia@yandex.ru
ORCID iD: 0000-0002-3898-4127
MD, PhD, Professor, Member of Russ. Acad. Sci., Scientific Director of Clinical Diagnostic Laboratory, Consultative and Diagnostic Center; Head of Chair of Clinical Biochemistry and Laboratory Diagnostics, Faculty of Additional Professional Education
Russian Federation, Kashirskoe shosse 24, Moscow, 115522; ul. Delegatskaya 20/1, Moscow, 127473Olga V. Kovaleva
N.N. Blokhin National Medical Research Center of Oncology
Author for correspondence.
Email: ovkovaleva@gmail.com
ORCID iD: 0000-0001-6132-9924
Doctor of Biol. Sci., Senior Research Fellow, Laboratory of Regulation
of Cellular and Viral Oncogenes
Arseniy G. Basov
N.N. Blokhin National Medical Research Center of Oncology
Email: arsbasovtmn@yandex.ru
ORCID iD: 0009-0000-9351-880X
Deputy Chief Physician for Medical Affairs, Consultative and Diagnostic Center
Russian Federation, Kashirskoe shosse 24, Moscow, 115522Yurii B. Kuzmin
N.N. Blokhin National Medical Research Center of Oncology; Russian University of Medicine
Email: yriikuzmin@yandex.com
ORCID iD: 0000-0001-9684-2509
PhD (in Biol.), Medical Technologist, Clinical Diagnostic Laboratory, Consultative and Diagnostic Center; Senior Assistant, Chair of Clinical Biochemistry and Laboratory Diagnostics, Faculty of Additional Professional Education
Russian Federation, Kashirskoe shosse 24, Moscow, 115522; ul. Delegatskaya 20/1, Moscow, 127473Aleksandr A. Alferov
N.N. Blokhin National Medical Research Center of Oncology; Russian University of Medicine
Email: aleksandr.alferov@yahoo.com
ORCID iD: 0000-0003-3585-5693
MD, PhD, Clinical Laboratory Diagnostics Doctor, Clinical Diagnostic Laboratory, Consultative and Diagnostic Center; Assistant Professor, Chair of Clinical Biochemistry and Laboratory Diagnostics, Faculty of Additional Professional Education
Russian Federation, Kashirskoe shosse 24, Moscow, 115522; ul. Delegatskaya 20/1, Moscow, 127473Svetlana D. Bezhanova
N.N. Blokhin National Medical Research Center of Oncology
Email: dmitrownaja@gmail.com
ORCID iD: 0000-0001-7336-9210
Pathologist, Department of Morbid Anatomy
Russian Federation, Kashirskoe shosse 24, Moscow, 115522Aleksey V. Kolpashchikov
Russian University of Medicine
Email: kolpaschikov@mail.ru
ORCID iD: 0009-0000-8784-3059
Clinical Laboratory Diagnostics Doctor, Chair of Clinical Biochemistry and Laboratory Diagnostics, Faculty of Additional Professional Education
Russian Federation, ul. Delegatskaya 20/1, Moscow, 127473Igor A. Klimanov
N.N. Blokhin National Medical Research Center of Oncology
Email: igorklimanov@yandex.ru
ORCID iD: 0000-0001-8593-1098
MD, PhD, Head of Clinical Diagnostic Laboratory, Consultative and Diagnostic Center
Russian Federation, Kashirskoe shosse 24, Moscow, 115522Alexey N. Grachev
N.N. Blokhin National Medical Research Center of Oncology
Email: alexei.gratchev@gmail.com
ORCID iD: 0000-0003-2137-1866
Doctor of Biol. Sci., Professor, Head of Laboratory of Tumor Stromal Cell Biology
Russian Federation, Kashirskoe shosse 24, Moscow, 115522Natalia N. Zybina
The Nikiforov Russian Center of Emergency and Radiation Medicine
Email: zybinan@inbox.ru
ORCID iD: 0000-0002-5422-2878
Doctor of Biol. Sci., Professor., Head of Department of Laboratory Diagnostics
Russian Federation, ul. Akademika Lebedeva 4–2, Saint Petersburg, 194044Vsevolod B. Matveev
N.N. Blokhin National Medical Research Center of Oncology
Email: v.matveev@ronc.ru
ORCID iD: 0000-0001-7748-9527
MD, PhD, Professor, Corr. Member of Russ. Acad. Sci., Head of Department of Oncourology
Russian Federation, Kashirskoe shosse 24, Moscow, 115522Oleg O. Yanushevich
Russian University of Medicine
Email: nauch.ot@mail.ru
ORCID iD: 0000-0003-0059-4980
MD, PhD, Professor, Member of Russ. Acad. Sci., Rector
Russian Federation, ul. Delegatskaya 20/1, Moscow, 127473Ivan S. Stilidi
N.N. Blokhin National Medical Research Center of Oncology
Email: info@ronc.ru
ORCID iD: 0000-0002-0493-1166
MD, PhD, Professor, Member of Russ. Acad. Sci., Director
Russian Federation, Kashirskoe shosse 24, Moscow, 115522References
- Borsig L, Wolf MJ, Roblek M, Lorentzen A, Heikenwalder M. Inflammatory chemokines and metastasis – tracing the accessory. Oncogene. 2014;33(25):3217–3224. doi: 10.1038/onc.2013.272.
- Singh N, Baby D, Rajguru JP, Patil PB, Thakkannavar SS, Pujari VB. Inflammation and cancer. Ann Afr Med. 2019;18(3):121–126. doi: 10.4103/aam.aam_56_18.
- Radovani B, Gudelj I. N-Glycosylation and Inflammation; the Not-So-Sweet Relation. Front Immunol. 2022;13:893365. doi: 10.3389/fimmu.2022.893365.
- Girotti MR, Salatino M, Dalotto-Moreno T, Rabinovich GA. Sweetening the hallmarks of cancer: Galectins as multifunctional mediators of tumor progression. J Exp Med. 2020;217(2):e20182041. doi: 10.1084/jem.20182041.
- Elola MT, Wolfenstein-Todel C, Troncoso MF, Vasta GR, Rabinovich GA. Galectins: matricellular glycan-binding proteins linking cell adhesion, migration, and survival. Cell Mol Life Sci. 2007;64(13):1679–1700. doi: 10.1007/s00018-007-7044-8.
- Popa SJ, Stewart SE, Moreau K. Unconventional secretion of annexins and galectins. Semin Cell Dev Biol. 2018;83:42–50. doi: 10.1016/j.semcdb.2018.02.022.
- Di Lella S, Sundblad V, Cerliani JP, Guardia CM, Estrin DA, Vasta GR, Rabinovich GA. When galectins recognize glycans: from biochemistry to physiology and back again. Biochemistry. 2011;50(37):7842–7857. doi: 10.1021/bi201121m.
- Takenaka Y, Fukumori T, Yoshii T, Oka N, Inohara H, Kim HR, Bresalier RS, Raz A. Nuclear export of phosphorylated galectin-3 regulates its antiapoptotic activity in response to chemotherapeutic drugs. Mol Cell Biol. 2004;24(10):4395–4406. doi: 10.1128/MCB.24.10.4395-4406.2004.
- Sundblad V, Morosi LG, Geffner JR, Rabinovich GA. Galectin-1: A Jack-of-All-Trades in the Resolution of Acute and Chronic Inflammation. J Immunol. 2017;199(11):3721–3730. doi: 10.4049/jimmunol.1701172.
- Rabinovich GA, Ariel A, Hershkoviz R, Hirabayashi J, Kasai KI, Lider O. Specific inhibition of T-cell adhesion to extracellular matrix and proinflammatory cytokine secretion by human recombinant galectin-1. Immunology. 1999;97(1):100–106. doi: 10.1046/j.1365-2567.1999.00746.x.
- Demotte N, Stroobant V, Courtoy PJ, Van Der Smissen P, Colau D, Luescher IF, Hivroz C, Nicaise J, Squifflet JL, Mourad M, Godelaine D, Boon T, van der Bruggen P. Restoring the association of the T cell receptor with CD8 reverses anergy in human tumor-infiltrating lymphocytes. Immunity. 2008;28(3):414–424. doi: 10.1016/j.immuni.2008.01.011.
- Díaz-Alvarez L, Ortega E. The Many Roles of Galectin-3, a Multifaceted Molecule, in Innate Immune Responses against Pathogens. Mediators Inflamm. 2017;2017:9247574. doi: 10.1155/2017/9247574.
- Demotte N, Wieërs G, Van Der Smissen P, Moser M, Schmidt C, Thielemans K, Squifflet JL, Weynand B, Carrasco J, Lurquin C, Courtoy PJ, van der Bruggen P. A galectin-3 ligand corrects the impaired function of human CD4 and CD8 tumor-infiltrating lymphocytes and favors tumor rejection in mice. Cancer Res. 2010;70(19):7476–7488. doi: 10.1158/0008-5472.CAN-10-0761.
- Kaur S, Singh J, Kaur M. Multifaceted role of galectin-4 in cancer: A systematic review. Eur J Clin Invest. 2023;53(7):e13987. doi: 10.1111/eci.13987.
- Maftouh M, Belo AI, Avan A, Funel N, Peters GJ, Giovannetti E, Van Die I. Galectin-4 expression is associated with reduced lymph node metastasis and modulation of Wnt/β-catenin signalling in pancreatic adenocarcinoma. Oncotarget. 2014;5(14):5335–5349. doi: 10.18632/oncotarget.2104.
- Belo AI, van der Sar AM, Tefsen B, van Die I. Galectin-4 Reduces Migration and Metastasis Formation of Pancreatic Cancer Cells. PLoS One. 2013;8(6):e65957. doi: 10.1371/journal.pone.0065957.
- Sewgobind NV, Albers S, Pieters RJ. Functions and Inhibition of Galectin-7, an Emerging Target in Cellular Pathophysiology. Biomolecules. 2021;11(11):1720. doi: 10.3390/biom11111720.
- Perou CM, Sørlie T, Eisen MB, van de Rijn M, Jeffrey SS, Rees CA, Pollack JR, Ross DT, Johnsen H, Akslen LA, Fluge O, Pergamenschikov A, Williams C, Zhu SX, Lønning PE, Børresen-Dale AL, Brown PO, Botstein D. Molecular portraits of human breast tumours. Nature. 2000;406(6797):747–752. doi: 10.1038/35021093.
- Demers M, Rose AA, Grosset AA, Biron-Pain K, Gaboury L, Siegel PM, St-Pierre Y. Overexpression of galectin-7, a myoepithelial cell marker, enhances spontaneous metastasis of breast cancer cells. Am J Pathol. 2010;176(6):3023–3031. doi: 10.2353/ajpath.2010.090876.
- Yang R, Sun L, Li CF, Wang YH, Yao J, Li H, Yan M, Chang WC, Hsu JM, Cha JH, Hsu JL, Chou CW, Sun X, Deng Y, Chou CK, Yu D, Hung MC. Galectin-9 interacts with PD-1 and TIM-3 to regulate T cell death and is a target for cancer immunotherapy. Nat Commun. 2021;12(1):832. doi: 10.1038/s41467-021-21099-2.
- Sakuishi K, Apetoh L, Sullivan JM, Blazar BR, Kuchroo VK, Anderson AC. Targeting Tim-3 and PD-1 pathways to reverse T cell exhaustion and restore anti-tumor immunity. J Exp Med. 2010;207(10):2187–2194. doi: 10.1084/jem.20100643.
- Korotkova EA, Gershtein ES, Samoilova EV, Goryacheva IO, Petrosyan AP, Zybina NN, Yanushevich OO, Stilidi IS, Kushlinskii NE. [Galectin-3 and matrix metalloproteinases 2 and 9 in peripheral blood of gastric cancer patients]. Almanac of Clinical Medicine. 2023;51(1):23–31. doi: 10.18786/2072-0505-2023-51-001.
- Blair BB, Funkhouser AT, Goodwin JL, Strigenz AM, Chaballout BH, Martin JC, Arthur CM, Funk CR, Edenfield WJ, Blenda AV. Increased Circulating Levels of Galectin Proteins in Patients with Breast, Colon, and Lung Cancer. Cancers (Basel). 2021;13(19):4819. doi: 10.3390/cancers13194819.
- Farhad M, Rolig AS, Redmond WL. The role of Galectin-3 in modulating tumor growth and immunosuppression within the tumor microenvironment. Oncoimmunology. 2018;7(6):e1434467. doi: 10.1080/2162402X.2018.1434467.
- Huang CS, Tang SJ, Lee MH, Chang Wang CC, Sun GH, Sun KH. Galectin-3 promotes CXCR2 to augment the stem-like property of renal cell carcinoma. J Cell Mol Med. 2018;22(12):5909–5918. doi: 10.1111/jcmm.13860.
- Kaneko N, Gotoh A, Okamura N, Matsuo E, Terao S, Watanabe M, Yamada Y, Hamami G, Nakamura T, Ikekita M, Okumura K, Nishimura O. Potential tumor markers of renal cell carcinoma: α-enolase for postoperative follow up, and galectin-1 and galectin-3 for primary detection. Int J Urol. 2013;20(5):530–535. doi: 10.1111/j.1442-2042.2012.03206.x.
- Rubinstein N, Alvarez M, Zwirner NW, Toscano MA, Ilarregui JM, Bravo A, Mordoh J, Fainboim L, Podhajcer OL, Rabinovich GA. Targeted inhibition of galectin-1 gene expression in tumor cells results in heightened T cell-mediated rejection; A potential mechanism of tumor-immune privilege. Cancer Cell. 2004;5(3):241–251. doi: 10.1016/s1535-6108(04)00024-8.
- Cagnoni AJ, Giribaldi ML, Blidner AG, Cutine AM, Gatto SG, Morales RM, Salatino M, Abba MC, Croci DO, Mariño KV, Rabinovich GA. Galectin-1 fosters an immunosuppressive microenvironment in colorectal cancer by reprogramming CD8+ regulatory T cells. Proc Natl Acad Sci U S A. 2021;118(21):e2102950118. doi: 10.1073/pnas.2102950118.
- Thijssen VL. Galectins in Endothelial Cell Biology and Angiogenesis: The Basics. Biomolecules. 2021;11(9):1386. doi: 10.3390/biom11091386.
- Ueda S, Kuwabara I, Liu FT. Suppression of tumor growth by galectin-7 gene transfer. Cancer Res. 2004;64(16):5672–5676. doi: 10.1158/0008-5472.CAN-04-0985.
- Advedissian T, Deshayes F, Viguier M. Galectin-7 in Epithelial Homeostasis and Carcinomas. Int J Mol Sci. 2017;18(12):2760. doi: 10.3390/ijms18122760.
- Nobumoto A, Nagahara K, Oomizu S, Katoh S, Nishi N, Takeshita K, Niki T, Tominaga A, Yamauchi A, Hirashima M. Galectin-9 suppresses tumor metastasis by blocking adhesion to endothelium and extracellular matrices. Glycobiology. 2008;18(9):735–744. doi: 10.1093/glycob/cwn062.
- Kageshita T, Kashio Y, Yamauchi A, Seki M, Abedin MJ, Nishi N, Shoji H, Nakamura T, Ono T, Hirashima M. Possible role of galectin-9 in cell aggregation and apoptosis of human melanoma cell lines and its clinical significance. Int J Cancer. 2002;99(6):809–816. doi: 10.1002/ijc.10436.
- Mishra R, Grzybek M, Niki T, Hirashima M, Simons K. Galectin-9 trafficking regulates apical-basal polarity in Madin-Darby canine kidney epithelial cells. Proc Natl Acad Sci U S A. 2010;107(41):17633–17638. doi: 10.1073/pnas.1012424107.
- Jafari SM, Nazri A, Shabani M, Balajam NZ, Aghaei M. Galectin-9 induces apoptosis in OVCAR-3 ovarian cancer cell through mitochondrial pathway. Res Pharm Sci. 2018;13(6):557–565. doi: 10.4103/1735-5362.245967.
- Bresalier RS, Mazurek N, Sternberg LR, Byrd JC, Yunker CK, Nangia-Makker P, Raz A. Metastasis of human colon cancer is altered by modifying expression of the beta-galactoside-binding protein galectin 3. Gastroenterology. 1998;115(2):287–296. doi: 10.1016/s0016-5085(98)70195-7.
- Thijssen VL, Postel R, Brandwijk RJ, Dings RP, Nesmelova I, Satijn S, Verhofstad N, Nakabeppu Y, Baum LG, Bakkers J, Mayo KH, Poirier F, Griffioen AW. Galectin-1 is essential in tumor angiogenesis and is a target for antiangiogenesis therapy. Proc Natl Acad Sci U S A. 2006;103(43):15975–15980. doi: 10.1073/pnas.0603883103.
Supplementary files







