Features of Nf-kb expression in the inner pyramidal layer of the motor cortex of rats with experimental type 1 diabetes mellitus
- Authors: Smirnov A.V.1,2, Tyurenkov I.N.1, Bisinbekova A.I.1,2, Bakulin D.A.1
-
Affiliations:
- Volgograd State Medical University
- Volgograd Medical Research Center
- Issue: Vol 21, No 4 (2024)
- Pages: 130-135
- Section: Original Researches
- URL: https://ogarev-online.ru/1994-9480/article/view/276954
- DOI: https://doi.org/10.19163/1994-9480-2024-21-4-130-135
- ID: 276954
Cite item
Full Text
Abstract
The aim of our study is to characterize the peculiarities of Nf-kb expression in the inner pyramidal layer of the motor cortex of the brain in experimental type 1 diabetes mellitus (DM 1). The study was performed on 5 groups of animals, each group included 10 female rats at 12 months of age. Immunohistochemical study of the inner pyramidal layer of the motor cortex revealed the following differences between the intact and untreated type 1 DM groups: in the untreated type 1 DM group, Nf-kb IRM expression was observed predominantly in the nuclei of damaged neurons in the form of clumps, while in the intact group – in the cytoplasm of intact perikaryons. In the intact group, IRM expression was detected in vertically located axons of neurons, while in the untreated type 1 DM group, no Nf-kb expression was detected in vertical segments. Specific changes were also observed in the pharmacorrection group: the pattern of immunohistochemical characterization of the aminalone, succicardium group was more in line with that of the intacta group. In the group of pharmacorrection with mefargin the picture was similar to the picture of type 1 DM without treatment.
Keywords
Full Text
Сахарный диабет 1-го типа (СД1) – это хроническое заболевание, возникающее из-за разрушения B-клеток поджелудочной железы, проявляющееся абсолютной инсулиновой недостаточностью и гипергликемией [1]. Диабетическая энцефалопатия – это снижение когнитивных функций на фоне длительного течения сахарного диабета, которое морфологически проявляется нейродегенеративными изменениями в ЦНС [2].
Когнитивная дисфункция при сахарном диабете обусловлена рядом факторов: плохим контролем гликемии, избыточным весом, длительностью заболевания, наличием сопутствующей патологии. Все эти факторы оказывают прямое токсическое воздействие на нейроны головного мозга за счет хронической гипергликемии, окислительного стресса, нейровоспаления, образования конечных продуктов гликирования [3]. Дислипидемия, стресс эндоплазматического ретикулума, окислительный стресс являются предрасполагающими факторами развития инсулинорезистетности и нейровоспаления за счет активации микроглии. Многие провоспалительные цитокины усиливают экспрессию Nf-kb. И, наоборот, ядерный фактор Nf-kb является мощным транскрипционным фактором, активирующим многие провоспалительные механизмы [4].
Nf-kb – это димер, который состоит из пяти субъединиц семейства Rel / Nf-kb: Rel A (p65), c-Rel, Rel B, p50 и p52. Данные субъединицы экспрессируются в различных типах клеток головного мозга. Неактивированные димеры Nf-kb за счет связывания с белками «ингибиторами kb» (I-kb) находятся в латентном состоянии в цитоплазме клеток. В фосфоинозитид-3-киназном (РI3) пути, при условии неповрежденного МАР-киназного пути, за счет инсулинорезистентности происходит активация ингибитора kb и ядерного фактора Nf-kb, что приводит к транслокации Nf-kb в клеточное ядро [5].
Данные зарубежной литературы по отношению роли Nf-kb в центральной нервной системе (ЦНС) противоречивы. Согласно одним литературным данным, Nf-kb в нейронах головного мозга выполняет нейропротекторную функцию, оказывая положительное влияние на синаптическую активность. Известно, что RelA/p65 регулирует рост дендритных отростков в нейронах гиппокампа. Также доказана антиапоптотическая роль Nf-kb в нейронах головного мозга. Nf-kb регулирует антиапоптотические гены, включая ингибиторы каспазы, факторы, ассоциированные с TNF-рецептором, TRAF1 и TRAF2, а также семейство Bcl-2 (Bcl-2, Bcl-xL, Bfl-1). Благодаря этому повышается выживаемость нейронов в ответ на патологические стимулы [6, 7]. Согласно другим литературным данным, Nf-kb усиливает апоптоз нейронов в ЦНС за счет его провоспалительного действия. Действительно, длительная активация Nf-kb в глиальных клетках ЦНС вызывает процессы нейровоспаления и гибель нейрональных клеток [8].
ЦЕЛЬ РАБОТЫ
Характеристика особенностей экспрессии Nf-kb во внутреннем пирамидном слое моторной коры головного мозга при экспериментальном сахарном диабете 1-го типа.
МЕТОДИКА ИССЛЕДОВАНИЯ
Эксперименатальное исследование было произведено на 50 белых беспородных крысах-самок, которые достигли 12-месячного возраста. Животные содержались в стандартных условиях вивария с естественным 12-часовым циклом дня и ночи при температуре воздуха (20 ± 2) ºС, влажности 60 %, свободным доступом к воде и пище. Для изучения отдаленных последствий влияния СД1 на кору головного мозга, моделирование СД1 проводили в течение 6 мес. Было произведено однократное введение растворенного в цитратном буфере (0,1 М, рН 4,5) стрептозотоцина («Sigma», США) в дозе 60 мг/кг после 48-часовой пищевой депривации внутрибрюшинно.
В исследование были включены животные с уровнем тощаковой (отсутствие корма в течение 4 ч до измерения) гликемии ≥11,1 ммоль/л. Контроль гликемии был произведен через 3 дня и 6 мес. после инъекции стрептозотоцина. Для измерения уровня гликемии был использован глюкометр Contour TS и тест-полоски (Bayer). Забор крови для контроля гликемии производили из подъязычной вены. В эксперимент были включены 5 групп животных: группа № 1 – группа интакта (крысы без СД), группа № 2 – СД1 (СД1 + физраствор), группа № 3 фармакокоррекции аминалоном (СД1 + аминалон), группа № 4 фармакокоррекции мефаргином (СД1 + мефаргин), группа № 5 фармакокоррекции сукцикардом (СД1 + сукцикард). Через 6 мес. после моделирования патологии в течение 30 дней перорально в виде водных растворов вводили исследуемые производные ГАМК: мефаргин (20 мг/кг), сукцикард (50 мг/кг), а также аминалон (1000 мг/кг). Группе СД1 без лечения вводили раствор натрия хлорида 0,9%-й. В качестве позитивного контроля использовали крыс без СД (интактных) той же партии животных. После курсового лечения исследуемыми соединениями у наркотизированных хлоргидратом животных был произведен забор образцов тканей коры головного мозга. Головной мозг был фиксирован в течение 24 ч в 10%-м растворе нейтрального забуференного формалина (pH 7,4). После чего образцы тканей головного мозга обезвоживали и заливали в парафин по общепринятой гистологической методике. На роторном микротоме изготавливали срезы толщиной 4–5 мкм.
Гистологические срезы фотографировали цифровой камерой AxioCam 305 color (Carl Zeiss Microscopy GmbH, Германия) на базе микроскопа AxioImager A2 (Carl Zeiss Microscopy GmbH, Германия) с использованием объективов ×40.
Статистическую обработку полученных результатов проводили методами описательной и аналитической статистики с применением программного обеспечения Prism 6 (GraphPad Software Inc., США). Для каждого показателя определяли значения медианы (Ме) и интерквартильного диапазона (IQR). Результаты представлены в виде Me (LQ; UQ), где Me – медиана, LQ – значение нижнего квартиля; UQ – значение верхнего квартиля. Распределение количественных показателей оценивали с использованием критерия Шапиро – Уилка. Распределение количественных показателей было оценено с использованием критерия Шапиро – Уилка. Межгрупповые различия оценивали с помощью критерия Краскела – Уоллиса и апостериорного критерия Данна. Различия признавали значимыми при p < 0,05.
Выявление ядерного фактора транскрипции (Nf-kb) проводили с помощью иммуногистохимического исследования с использованием первичных антител к белку Nf-kb (transcription factor of the nuclear factor-kappaB) в соответствии с инструкциями производителя (разведение 1:50) (Affinity Biosciences.China), и визуализирующей системы LSAB Kit (DAKO, Glostrup, Denmark). Определяли относительную площадь, занимаемую иммунопозитивным материалом во внутреннем пирамидном слое моторной коры.
РЕЗУЛЬТАТЫ ИССЛЕДОВАНИЯ И ИХ ОБСУЖДЕНИЕ
При иммуногистохимическом исследовании (моторной коры крыс группы № 1 (интакт) была отмечена от умеренной до выраженной экспрессия ИРМ Nf-kb в наружном зернистом и наружном пирамидном слоях в перикарионах звездчатых, мелких и средних пирамидных нейронов. Во внутреннем пирамидном слое экспрессия ИРМ была от слабой до умеренной. Экспрессия Nf-kb преимущественно наблюдалась в цитоплазме неповрежденных нейронов. В отдельных нейронах определялась экспрессия в ядре. В микроглии – слабовыраженная экспрессия. Также в группе интакта обращает на себя внимание наличие от умеренной до выраженной экспрессии в вертикально расположенных аксонах нейронов в наружном зернистом и наружном пирамидном слоях, слабая экспрессия в вертикально расположенных аксонах нейронов внутреннего зернистого, внутреннего пирамидного и слоя мультиформных клеток.
При иммуногистохимическом исследовании моторной коры головного мозга крыс группа № 2 (СД1 + физраствор) с применением антител против Nf-kb была отмечена слабовыраженная экспрессия во всех слоях. В отличие от группы интакта, в вертикально расположенных аксонах нейронов наружного зернистого и наружного пирамидного слоев экспрессиия ИРМ Nf-kb снижалась вплоть до исчезновения. У животных группы № 2 (с СД1 без лечения) при иммуногистохимическом исследовании обнаружен неоднородный характер экспрессии ИРМ Nf-kb в цитоплазме и в ядрах нейронов в виде гранул. Более выраженная экспрессия ИРМ Nf-kb в ядрах нейронов определялась в поврежденных нейронах (сморщенных). Цитоплазматическая экспрессия ИРМ также была обнаружена в части неповрежденных нейронов. В отдельных периваскулярно расположенных глиоцитах определялась умеренно выраженная цитоплазматическая и ядерная экспрессия Nf-kb.
Группа № 3 (СД1 + аминалон) характеризовалась наличием слабой и умеренновыраженной экспрессии ИРМ Nf-kb во всех слоях моторной коры, более выраженная экспрессия наблюдалась в наружном зернистом, наружном пирамидном слоях и в вертикально расположенных аксонах нейронов. Во внутреннем пирамидном слое также наблюдалась слабая и умеренновыраженная экспрессия ИРМ Nf-kb, в том числе в вертикально расположенных аксонах нейронов.
В группе № 4 (СД1 + мефаргин) была отмечена слабовыраженная экспрессия во всех слоях коры головного мозга, преимущественно экспрессия ИРМ Nf-kb определялась в ядрах поврежденных нейронов. Экспрессия Nf-kb в вертикальных отростках нейронов наружного зернистого и наружного пирамидного слоев отсутствовала.
В группе № 5 (СД1 + сукцикард) отмечалась слабо- и умеренновыраженная экспрессия ИРМ Nf-kb в нейронах наружного зернистого, наружного пирамидного слоев. В единичных вертикальных отростках нейронов в данных слоях была обнаружена слабовыраженная экспрессия ИРМ Nf-kb. Во внутреннем пирамидном слое наблюдалась слабая и умеренновыраженная экспрессия ИРМ Nf-kb (рис. 1).
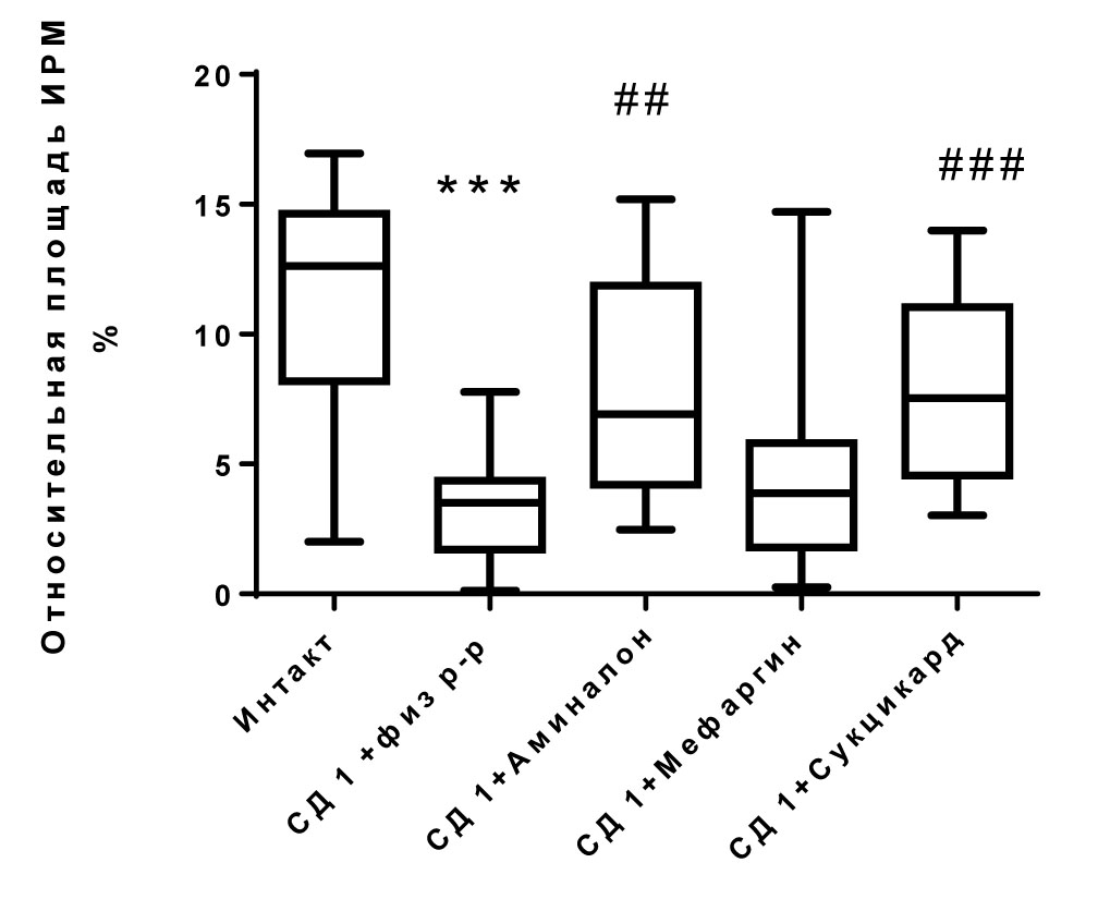
У крыс группы № 1 (интакт) во внутреннем пирамидном слое моторной коры относительная площадь ИРМ составила 12,63 % (8,18–14,63), в группе № 2 (СД1 + физраствор) – 3,5 % (1,7–4,35), что продемонстрировало достоверное снижение относительной площади ИРМ на 9,13 % в группе № 2 (СД1 + физраствор) (p < 0,001). Относительная площадь ИРМ в группе № 3 (СД1 + аминалон) составила 6,92 % (4,21–11,88). Отмечается достоверно значимое увеличение площади ИРМ Nf-kb в группе № 3 (СД1 + аминалон) в сравнении с группой № 2 (СД1 + физраствор) 3,5 % (p < 0,01). В группе № 5 (СД1 + сукцикард) относительная площадь ИРМ Nf-kb составила 7,54 % (3,02–4,55), что достоверно выше значений площади ИРМ Nf-kb группы № 2 (СД1 + физраствор) на 4,04 % (p < 0,001). В группах № 3 (СД1 + мефаргин) и группах № 2 (СД1 + физраствор) достоверно значимой разницы выявлено не было (см. рис. 2 на стр. 134).
Большинство исследователей для изучения морфофункциональных изменений при СД1 выполняют моделирование СД1 на молодых крысах в возрасте 4–5 мес., и длительность экспериментального СД1 не превышает 3–4 мес. Для повышения достоверности нашего исследования эксперимент был проведен с участием старых крыс, которые характеризуются на момент исследования уже имеющимися морфофункциональными нарушениями структур головного мозга. Таким образом, у нас появляется возможность оценки совокупности влияния сахарного диабета 1-го типа и старения на кору головного мозга.
Рис. 1. Снижение экспрессии Nf-kb во внутреннем пирамидном слое моторной коры при экспериментальной диабетической энцефалопатии: А – интакт-экспрессия ИРМ в цитоплазме перикарионов, в вертикальных отростках нейронов; Б – СД1 без лечения – макрофаг с экспрессией ИРМ; В – аминалон – наличие ИРМ в цитоплазме перикарионов и в вертикальных отростках нейронов; Г – иефаргин – наличие ИРМ в поврежденных ядрах нейронов; Д – сукцикард – наличие ИРМ в цитоплазме неповрежденных нейронов, в ядрах поврежденных нейронов; иммуногистохимическое исследование, антитела против Nf-kb, докраска гематоксилином, увеличение ×400
Рис. 2. Динамика изменения относительной площади Nf-kb-иммунореактивного материала во внутреннем пирамидном слое моторной коры головного мозга
Результаты нашего исследования показали взаимосвязь между интенсивностью экспрессии ИРМ, ее локализации и процессами нейродегенерации. При описании группы № 1 (интакт) была обнаружена экспрессия ИРМ Nf-kb как в цитоплазме, так и в ядрах нейронов. Однако наличие Nf-kb было отмечено преимущественно в цитоплазме неповрежденных нейронов и в вертикально расположенных аксонах нейронов наружного зернистого и наружного пирамидного слоев. В группе № 2 (СД1 + физраствор) выявлено отсутствие экспрессии Nf-kb в вертикально расположенных аксонах нейронов наружного зернистого и наружного пирамидного слоев. Мы предполагаем, что Nf-kb в нормальных физиологических условиях находится в свободном состоянии в цитоплазме нейронов и микроглии в неактивированном состоянии с целью нейропротекции, а в отростках нейронов с целью улучшения синаптических связей и увеличения скорости передачи нервного импульса, что подтвержается данными литературы [7].
В группе № 2 (СД1 + физраствор) наблюдалась экспрессия ИРМ Nf-kb в ядрах поврежденных нейронов, что говорит о вероятной транслокации Nf-kb из цитоплазмы в ядро и активации процессов нейровоспаления. В периваскулярном пространстве были обнаружены крупные клетки неправильной формы, предположительно макрофаги, с выраженной экспрессией ядерного и цитоплазаматического Nf-kb. Это также согласуется с данными литературы о том, что выраженная экспрессия Nf-kb в глиоцитах является причиной нейродегнеративных повреждений [9].
В группах № 3 (СД1 + аминалон) и № 5 (СД1 + сукцикард) экспрессия Nf-kb во внутреннем пирамидном слое была более выраженной по сравнению с группой № 2 (СД1 + физраствор) и ИРМ локализовался в цитоплазме нейронов, что может являться основанием полагать, что исследуемые препараты обладают нейропротекторными свойствами. При этом наиболее выраженная экспрессия ИРМ обнаруживалась при лечении сукцикардом.
ЗАКЛЮЧЕНИЕ
Таким образом, участие Nf-kb в формировании повреждения нейронов внутреннего пирамидного слоя моторной коры у крыс с экспериментальным СД1 в возрасте 19 мес. характеризуется разнонаправленными изменениями. Уменьшение экспрессии ИРМ в группе № 2 (СД1 + физраствор) по сравнению с группой № 1 (интакт), экспрессия ИРМ именно в ядрах поврежденных нейронов и предположительно макрофагах (иммунных клетках) подтверждает данные литературы об активации нейровоспаления при патологических реакциях. Наличие Nf-kb в цитоплазме неповрежденных нейронов и их отростках предполагает нейропротективную роль Nf-kb.
Финансирование. Работа выполнена при финансовой поддержке гранта РНФ № 24-25-00247.
Funding. The study was carried out with the financial support of the RNF grant No. 24-25-00247.
Конфликт интересов. Авторы декларируют отсутствие явных и потенциальных конфликтов интересов, связанных с публикацией настоящей статьи.
Competing interests. The authors declare that they have no competing interests.
About the authors
Alexey V. Smirnov
Volgograd State Medical University; Volgograd Medical Research Center
Email: alexeysmirnov.volggmu@gmail.com
ORCID iD: 0000-0001-5351-6105
Doctor of Medical Sciences, Professor, Head of the Department of Pathological Anatomy, Volgograd State Medical University; Head of the Laboratory of Pathomorphology
Russian Federation, Volgograd; VolgogradIvan N. Tyurenkov
Volgograd State Medical University
Email: fibfuv@mail.ru
ORCID iD: 0000-0001-7574-3923
Doctor of Medical Sciences, professor, corresponding member of the Russian Academy of Sciences, Head of the Laboratory of Pharmacology of Cardiovascular Drugs, Scientific center of innovative medicines
Russian Federation, VolgogradAislu I. Bisinbekova
Volgograd State Medical University; Volgograd Medical Research Center
Author for correspondence.
Email: aandm08@mail.ru
Assistant, Department of Pathological Anatomy, Volgograd State Medical University; Junior Researcher
Russian Federation, Volgograd; VolgogradDmitry A. Bakulin
Volgograd State Medical University
Email: mbfdoc@gmail.com
ORCID iD: 0000-0003-4694-3066
Candidate of Medical Sciences, Senior Researcher, Laboratory of Pharmacology of Cardiovascular Drugs of Scientific center of innovative medicines
Russian Federation, VolgogradReferences
- Daminova L.T., Muminova S.U. Diabetes mellitus and exocrine insufficiency of the pancreas (literature review). Mezhdunarodnyi endokrinologicheskii zhurnal = International journal of endocrinology. 2018;16(1):14–19. (In Russ.).
- Smirnov A.V., Bisinbekova A.I., Faibisovich T.I. Morphofunctional changes of the brain in diabetes mellitus. Vestnik Volgogradskogo gosudarstvennogo meditsinskogo universiteta = Journal of Volgograd State Medical University. 2022;19(3):3–8. (In Russ.) doi: 10.19163/1994-9480-2022-19-3-3-8.
- Strokov I.A., Zakharov V.V., Strokov K.I. Diabetic encephalopathy. Nevrologiya, neiropsikhiatriya, psikhosoma-tika = Neurology, Neuropsychiatry, Psychosomatics. 2012;2:8–12. (In Russ.) doi: 10.14412/2074-2711-2012-2506.
- Kaidashev I.P. NF-kB-Signaling as a basis for the development of systemic inflammation, insulin resistance, lipo-toxicity, Mezhdunarodnyi endokrinologicheskii zhurnal = International journal of endocrinology. 2011;4(3):36–38. (In Russ.).
- Park M.H., Hong J.T. Roles of NF-κB in Cancer and Inflammatory Diseases and Their Therapeutic Approaches. Cells. 2016;5(2):15. doi: 10.3390/cells5020015.
- Oikawa K., Odero G.L., Platt E. et al. NF-kappaB p50 subunit knockout impairs late LTP and alters long term memory in the mouse hippocampus. BMC Neurosci. 2012;13:45. doi: 10.1186/1471-2202-13-45.
- Boersma M.C., Dresselhaus E.C., De Biase L.M. et al. A requirement for nuclear factor-kappaB in developmental and plasticity-associated synaptogenesis. Journal of Neuroscience. 2011;31:5414–5425. doi: 10.1523/JNEUROSCI.2456-10.2011.
- Shih R.H., Wang C.Y., Yang C.M. NF-kappaB signaling pathways in neurological inflammation: a mini review. Frontiers in Molecular Neuroscience. 2015;8:77. doi: 10.3389/fnmol.2015.00077.
- Swarup V., Phaneuf D., Dupre N. et al. Deregulation of TDP-43 in amyotrophic lateral sclerosis triggers nuclear factor kappaB-mediated pathogenic pathways. Journal of Experimental Medicine. 2011;208:2429–2447. doi: 10.1084/jem.20111313.
Supplementary files



