Optimal control of induction heating of steel workpieces with respect to minimal scale formation criteria

Мұқаба

Дәйексөз келтіру

Толық мәтін

Аннотация

Efficiency of heat treatment production processes of metals is measured by different characteristics, including productivity, energy consumption and quality of end product. Increasing each of them is possible through optimization with respect to corresponding integral criteria. The quality of end product, which is made of high iron alloys, after heat treatment operations depends on metal loss to scale, that is inevitably formed during high-intensity heating in induction installation. Thus, to reduce the amount of defective details it is necessary to obtain the optimal operating mode of inductor, which will minimize the mentioned losses. The paper is devoted to optimization of static induction heating of steel cylindrical billets before the subsequent plastic deformation operations. The 2D numerical mathematical model of induction heating process, developed in Altair FLUX, is considered as a control object with distributed parameters. The optimal control problems with respect to time-optimal, minimal energy consumption and minimal scale formation criteria are formulated. The solution of formulated problems after their parametrization and reduction to semi-infinite optimization problems can be carried out using alternance method of parametric optimization of objects with distributed parameters. As an example for minimal scale formation problem, the system of transcendental equations closed with respect to all unknowns of the heating process is written based on alternance method. Solving of the system is provided by automatized procedure, which is developed in program package MATLAB. The analysis of numerical results shows that solving this one-criteria optimal control problem allows to reduce the amount of scale with significant increasing of heating time in comparison with time-optimal and minimal energy consumption problems. That is why on the next stages of the investigation it is planned to solve a multi-criteria optimization problem in order to take onto account several typical goal functions simultaneously.

Толық мәтін

Введение

В настоящее время технология индукционного нагрева (ИН) активно развивается и находит применение в различных областях промышленности и энергетики. В частности, в машиностроении эта технология используется для поверхностного упрочнения и плавки деталей, а также для предварительного нагрева перед последующими операциями пластической деформации. Кроме того, ИН может заменить традиционный электронагрев при паровом риформинге в процессах производства водорода, переработки отходов и в различных других промышленных технологиях. Популярность технологии ИН обусловлена ее важными преимуществами перед другими традиционными методами термической обработки, к которым прежде всего относятся энергоэффективность, скорость, точность регулирования конечной температуры при термообработке деталей, возможность автоматизации процесса, экологичность, безопасность и многие другие существенные факторы, облегчающие использование ИН.

В условиях высокой конкуренции и постоянно повышающихся требований к эффективности производственных процессов актуальными задачами в промышленности на сегодняшний день становятся повышение качества изделий, увеличение производительности и снижение издержек. Решение этих задач применительно к процессам индукционного нагрева связано с оптимизацией конструкции применяемых установок или режимов их работы по соответствующим критериям качества. Типовыми критериями, влияющими на производительность процессов термообработки металла, являются быстродействие и минимум энергопотребления. Кроме этого, в [1, 2] показано, что при высокотемпературной обработке стальных заготовок одним из параметров, существенно влияющим на качество готового изделия, является количество образующейся в процессе нагрева окалины. Поэтому для общего повышения эффективности термической обработки стальных полуфабрикатов перед операциями пластической деформации необходимо применять режимы работы индукционного нагревателя, которые являются оптимальными по критериям максимального быстродействия, минимального потребления энергии и минимального образования окалины.

В статье формулируются задачи оптимизации процесса ИН стальных заготовок по указанным критериям качества. Показывается, как задача минимизации количества образования окалины решается с помощью альтернансного метода параметрической оптимизации систем с распределенными параметрами [3]. Этот метод позволяет после редукции исходной задачи оптимального управления к задаче математического программирования свести ее к решению системы трансцендентных уравнений, замкнутой относительно всех искомых параметров процесса ИН. Данная система уравнений решается с помощью специализированной процедуры, построенной в программном пакете MATLAB [4]. Температурные распределения для решения системы уравнений рассчитываются с помощью численной двумерной модели процесса ИН, разработанной в конечно-элементном пакете Altair FLUX.

Постановка задачи оптимального управления

Процесс ИН стальных цилиндрических заготовок, рассматриваемый в работе в качестве объекта управления с распределенными параметрами (ОРП), описывается взаимосвязанной системой нелинейных уравнений Максвелла и Фурье для электромагнитных и температурных полей [5]:

rot H ¯ =σ T E ¯ , MathType@MTEF@5@5@+= feaahGart1ev3aaatCvAUfeBSjuyZL2yd9gzLbvyNv2CaerbuLwBLn hiov2DGi1BTfMBaeXatLxBI9gBaerbd9wDYLwzYbItLDharqqtubsr 4rNCHbGeaGqiFCI8FfYhNqFD0xXdHaVhbbf9v8qqaqFr0xc9pk0xbb a9q8WqFfea0=yr0RYxir=Jbba9q8aq0=yq=He9q8qqQ8frFve9Fve9 Ff0dmeaabeqaciGacaGaaeqabaWaaeaaeaaakeaacaqGYbGaae4Bai aabshacaaMc8UabmisayaaraGaeyypa0Jaeq4Wdm3aaeWaaeaacaWG ubaacaGLOaGaayzkaaGabmyrayaaraGaaiilaaaa@4231@ (1)

rot E ¯ = B ¯ t , MathType@MTEF@5@5@+= feaahGart1ev3aaatCvAUfeBSjuyZL2yd9gzLbvyNv2CaerbuLwBLn hiov2DGi1BTfMBaeXatLxBI9gBaerbd9wDYLwzYbItLDharqqtubsr 4rNCHbGeaGqiFCI8FfYhNqFD0xXdHaVhbbf9v8qqaqFr0xc9pk0xbb a9q8WqFfea0=yr0RYxir=Jbba9q8aq0=yq=He9q8qqQ8frFve9Fve9 Ff0dmeaabeqaciGacaGaaeqabaWaaeaaeaaakeaacaqGYbGaae4Bai aabshacaaMc8UabmyrayaaraGaeyypa0JaeyOeI0YaaSaaaeaacqGH ciITceWGcbGbaebaaeaacqGHciITcaWG0baaaiaacYcaaaa@42C8@ (2)

div B ¯ =0 MathType@MTEF@5@5@+= feaahGart1ev3aaatCvAUfeBSjuyZL2yd9gzLbvyNv2CaerbuLwBLn hiov2DGi1BTfMBaeXatLxBI9gBaerbd9wDYLwzYbItLDharqqtubsr 4rNCHbGeaGqiFCI8FfYhNqFD0xXdHaVhbbf9v8qqaqFr0xc9pk0xbb a9q8WqFfea0=yr0RYxir=Jbba9q8aq0=yq=He9q8qqQ8frFve9Fve9 Ff0dmeaabeqaciGacaGaaeqabaWaaeaaeaaakeaacaqGKbGaaeyAai aabAhacaaMc8UabmOqayaaraGaeyypa0JaaGimaaaa@3D1C@ , (3)

div E ¯ =0 MathType@MTEF@5@5@+= feaahGart1ev3aaatCvAUfeBSjuyZL2yd9gzLbvyNv2CaerbuLwBLn hiov2DGi1BTfMBaeXatLxBI9gBaerbd9wDYLwzYbItLDharqqtubsr 4rNCHbGeaGqiFCI8FfYhNqFD0xXdHaVhbbf9v8qqaqFr0xc9pk0xbb a9q8WqFfea0=yr0RYxir=Jbba9q8aq0=yq=He9q8qqQ8frFve9Fve9 Ff0dmeaabeqaciGacaGaaeqabaWaaeaaeaaakeaacaqGKbGaaeyAai aabAhacaaMc8UabmyrayaaraGaeyypa0JaaGimaaaa@3D1F@ , (4)

c T γ T T r,l,t t = 1 r r λ T r T r,l,t r + + l λ T T r,l,t l + 1 σ T H r,l,t r 2 , MathType@MTEF@5@5@+= feaahGart1ev3aaatCvAUfeBSjuyZL2yd9gzLbvyNv2CaerbuLwBLn hiov2DGi1BTfMBaeXatLxBI9gBaerbd9wDYLwzYbItLDharqqtubsr 4rNCHbGeaGqiFCI8FfYhNqFD0xXdHaVhbbf9v8qqaqFr0xc9pk0xbb a9q8WqFfea0=yr0RYxir=Jbba9q8aq0=yq=He9q8qqQ8frFve9Fve9 Ff0dmeaabeqaciGacaGaaeqabaWaaeaaeaaakqaabeqaaiaadogada qadaqaaiaadsfaaiaawIcacaGLPaaacqaHZoWzdaqadaqaaiaadsfa aiaawIcacaGLPaaadaWcaaqaaiabgkGi2kaadsfadaqadaqaaiaadk hacaGGSaGaamiBaiaacYcacaWG0baacaGLOaGaayzkaaaabaGaeyOa IyRaamiDaaaacqGH9aqpdaWcaaqaaiaaigdaaeaacaWGYbaaamaala aabaGaeyOaIylabaGaeyOaIyRaamOCaaaadaqadaqaaiabeU7aSnaa bmaabaGaamivaaGaayjkaiaawMcaaiaadkhadaWcaaqaaiabgkGi2k aadsfadaqadaqaaiaadkhacaGGSaGaamiBaiaacYcacaWG0baacaGL OaGaayzkaaaabaGaeyOaIyRaamOCaaaaaiaawIcacaGLPaaacqGHRa WkaeaacqGHRaWkdaWcaaqaaiabgkGi2cqaaiabgkGi2kaadYgaaaWa aeWaaeaacqaH7oaBdaqadaqaaiaadsfaaiaawIcacaGLPaaadaWcaa qaaiabgkGi2kaadsfadaqadaqaaiaadkhacaGGSaGaamiBaiaacYca caWG0baacaGLOaGaayzkaaaabaGaeyOaIyRaamiBaaaaaiaawIcaca GLPaaacqGHRaWkdaWcaaqaaiaaigdaaeaacqaHdpWCdaqadaqaaiaa dsfaaiaawIcacaGLPaaaaaWaaeWaaeaadaWcaaqaaiabgkGi2kaadI eadaqadaqaaiaadkhacaGGSaGaamiBaiaacYcacaWG0baacaGLOaGa ayzkaaaabaGaeyOaIyRaamOCaaaaaiaawIcacaGLPaaadaahaaWcbe qaaiaaikdaaaGccaGGSaaaaaa@88A7@ (5)

с начальными и граничными условиями:

T r,l,t =T r,l,0 = T 0 r,l = T 0 =const,l 0;L ,r 0;R MathType@MTEF@5@5@+= feaahGart1ev3aaatCvAUfeBSjuyZL2yd9gzLbvyNv2CaerbuLwBLn hiov2DGi1BTfMBaeXatLxBI9gBaerbd9wDYLwzYbItLDharqqtubsr 4rNCHbGeaGqiFCI8FfYhNqFD0xXdHaVhbbf9v8qqaqFr0xc9pk0xbb a9q8WqFfea0=yr0RYxir=Jbba9q8aq0=yq=He9q8qqQ8frFve9Fve9 Ff0dmeaabeqaciGacaGaaeqabaWaaeaaeaaakeaacaWGubWaaeWaae aacaWGYbGaaiilaiaadYgacaGGSaGaamiDaaGaayjkaiaawMcaaiab g2da9iaadsfadaqadaqaaiaadkhacaGGSaGaamiBaiaacYcacaaIWa aacaGLOaGaayzkaaGaeyypa0JaamivamaaBaaaleaacaaIWaaabeaa kmaabmaabaGaamOCaiaacYcacaWGSbaacaGLOaGaayzkaaGaeyypa0 JaamivamaaBaaaleaacaaIWaaabeaakiabg2da9iaabogacaqGVbGa aeOBaiaabohacaqG0bGaaiilaiaaysW7caaMc8UaamiBaiabgIGiop aadmaabaGaaGimaiaacUdacaWGmbaacaGLBbGaayzxaaGaaiilaiaa ykW7caaMc8UaamOCaiabgIGiopaadmaabaGaaGimaiaacUdacaWGsb aacaGLBbGaayzxaaaaaa@68AA@ , (6)

H 0,l,t r =0;H R,l,t = H L ;H r,0,t = H R1 ;H r,L,t = H R2 ; MathType@MTEF@5@5@+= feaahGart1ev3aaatCvAUfeBSjuyZL2yd9gzLbvyNv2CaerbuLwBLn hiov2DGi1BTfMBaeXatLxBI9gBaerbd9wDYLwzYbItLDharqqtubsr 4rNCHbGeaGqiFCI8FfYhNqFD0xXdHaVhbbf9v8qqaqFr0xc9pk0xbb a9q8WqFfea0=yr0RYxir=Jbba9q8aq0=yq=He9q8qqQ8frFve9Fve9 Ff0dmeaabeqaciGacaGaaeqabaWaaeaaeaaakeaadaWcaaqaaiabgk Gi2kaadIeadaqadaqaaiaaicdacaGGSaGaamiBaiaacYcacaWG0baa caGLOaGaayzkaaaabaGaeyOaIyRaamOCaaaacqGH9aqpcaaIWaGaai 4oaiaaykW7caaMc8UaamisamaabmaabaGaamOuaiaacYcacaWGSbGa aiilaiaadshaaiaawIcacaGLPaaacqGH9aqpcaWGibWaaSbaaSqaai aadYeaaeqaaOGaai4oaiaaykW7caaMc8UaamisamaabmaabaGaamOC aiaacYcacaaIWaGaaiilaiaadshaaiaawIcacaGLPaaacqGH9aqpca WGibWaaSbaaSqaaiaadkfacaaIXaaabeaakiaacUdacaaMc8UaaGPa VlaadIeadaqadaqaaiaadkhacaGGSaGaamitaiaacYcacaWG0baaca GLOaGaayzkaaGaeyypa0JaamisamaaBaaaleaacaWGsbGaaGOmaaqa baGccaGG7aaaaa@6BB0@ (7)

T 0,l,t r =0;λ T T R,l,t r =α T T R,l,t T a MathType@MTEF@5@5@+= feaahGart1ev3aaatCvAUfeBSjuyZL2yd9gzLbvyNv2CaerbuLwBLn hiov2DGi1BTfMBaeXatLxBI9gBaerbd9wDYLwzYbItLDharqqtubsr 4rNCHbGeaGqiFCI8FfYhNqFD0xXdHaVhbbf9v8qqaqFr0xc9pk0xbb a9q8WqFfea0=yr0RYxir=Jbba9q8aq0=yq=He9q8qqQ8frFve9Fve9 Ff0dmeaabeqaciGacaGaaeqabaWaaeaaeaaakeaadaWcaaqaaiabgk Gi2kaadsfadaqadaqaaiaaicdacaGGSaGaamiBaiaacYcacaWG0baa caGLOaGaayzkaaaabaGaeyOaIyRaamOCaaaacqGH9aqpcaaIWaGaai 4oaiaaysW7caaMe8Uaeq4UdW2aaeWaaeaacaWGubaacaGLOaGaayzk aaWaaSaaaeaacqGHciITcaWGubWaaeWaaeaacaWGsbGaaiilaiaadY gacaGGSaGaamiDaaGaayjkaiaawMcaaaqaaiabgkGi2kaadkhaaaGa eyypa0JaeqySde2aaeWaaeaacaWGubaacaGLOaGaayzkaaWaaeWaae aacaWGubWaaeWaaeaacaWGsbGaaiilaiaadYgacaGGSaGaamiDaaGa ayjkaiaawMcaaiabgkHiTiaadsfadaWgaaWcbaGaamyyaaqabaaaki aawIcacaGLPaaaaaa@6459@ ; (8)

λ T T r,0,t l =α T T r,0,t T a ;λ T T r,L,t l =α T T r,L,t T a . MathType@MTEF@5@5@+= feaahGart1ev3aaatCvAUfeBSjuyZL2yd9gzLbvyNv2CaerbuLwBLn hiov2DGi1BTfMBaeXatLxBI9gBaerbd9wDYLwzYbItLDharqqtubsr 4rNCHbGeaGqiFCI8FfYhNqFD0xXdHaVhbbf9v8qqaqFr0xc9pk0xbb a9q8WqFfea0=yr0RYxir=Jbba9q8aq0=yq=He9q8qqQ8frFve9Fve9 Ff0dmeaabeqaciGacaGaaeqabaWaaeaaeaaakeaacqaH7oaBdaqada qaaiaadsfaaiaawIcacaGLPaaadaWcaaqaaiabgkGi2kaadsfadaqa daqaaiaadkhacaGGSaGaaGimaiaacYcacaWG0baacaGLOaGaayzkaa aabaGaeyOaIyRaamiBaaaacqGH9aqpcqaHXoqydaqadaqaaiaadsfa aiaawIcacaGLPaaadaqadaqaaiaadsfadaqadaqaaiaadkhacaGGSa GaaGimaiaacYcacaWG0baacaGLOaGaayzkaaGaeyOeI0Iaamivamaa BaaaleaacaWGHbaabeaaaOGaayjkaiaawMcaaiaacUdacaaMc8UaaG PaVlabeU7aSnaabmaabaGaamivaaGaayjkaiaawMcaamaalaaabaGa eyOaIyRaamivamaabmaabaGaamOCaiaacYcacaWGmbGaaiilaiaads haaiaawIcacaGLPaaaaeaacqGHciITcaWGSbaaaiabg2da9iabeg7a HnaabmaabaGaamivaaGaayjkaiaawMcaamaabmaabaGaamivamaabm aabaGaamOCaiaacYcacaWGmbGaaiilaiaadshaaiaawIcacaGLPaaa cqGHsislcaWGubWaaSbaaSqaaiaadggaaeqaaaGccaGLOaGaayzkaa GaaiOlaaaa@7735@ (9)

Здесь H ¯ MathType@MTEF@5@5@+= feaahGart1ev3aaatCvAUfeBSjuyZL2yd9gzLbvyNv2CaerbuLwBLn hiov2DGi1BTfMBaeXatLxBI9gBaerbd9wDYLwzYbItLDharqqtubsr 4rNCHbGeaGqiFCI8FfYhNqFD0xXdHaVhbbf9v8qqaqFr0xc9pk0xbb a9q8WqFfea0=yr0RYxir=Jbba9q8aq0=yq=He9q8qqQ8frFve9Fve9 Ff0dmeqabeqaciGacaGaaeqabaWaaeaaeaaakeaaceWGibGbaebaaa a@370C@   MathType@MTEF@5@5@+= feaahGart1ev3aqatCvAUfeBSjuyZL2yd9gzLbvyNv2Caerbov2D09 MBdbqedmvETj2BSbqeduuDJXwAKbYu51MyVXgarqqr1ngBPrgifHhD YfgasaacH8srps0lbbf9q8WrFfeuY=Hhbbf9v8qqaqFr0xc9pk0xbb a9q8WqFfea0=yr0RYxir=Jbba9q8aq0=yq=He9q8qqQ8frFve9Fve9 Ff0dmeaabaqaciaacaWaaeqabaqabeGaeaaakeaaruWqHXwAIjxAaG qbaKqzGfaeaaaaaaaaa8qacaWFtacaaa@3A45@  вектор напряженности магнитного поля; B ¯ MathType@MTEF@5@5@+= feaahGart1ev3aaatCvAUfeBSjuyZL2yd9gzLbvyNv2CaerbuLwBLn hiov2DGi1BTfMBaeXatLxBI9gBaerbd9wDYLwzYbItLDharqqtubsr 4rNCHbGeaGqiFCI8FfYhNqFD0xXdHaVhbbf9v8qqaqFr0xc9pk0xbb a9q8WqFfea0=yr0RYxir=Jbba9q8aq0=yq=He9q8qqQ8frFve9Fve9 Ff0dmeqabeqaciGacaGaaeqabaWaaeaaeaaakeaaceWGcbGbaebaaa a@3706@   MathType@MTEF@5@5@+= feaahGart1ev3aqatCvAUfeBSjuyZL2yd9gzLbvyNv2Caerbov2D09 MBdbqedmvETj2BSbqeduuDJXwAKbYu51MyVXgarqqr1ngBPrgifHhD YfgasaacH8srps0lbbf9q8WrFfeuY=Hhbbf9v8qqaqFr0xc9pk0xbb a9q8WqFfea0=yr0RYxir=Jbba9q8aq0=yq=He9q8qqQ8frFve9Fve9 Ff0dmeaabaqaciaacaWaaeqabaqabeGaeaaakeaaruWqHXwAIjxAaG qbaKqzGfaeaaaaaaaaa8qacaWFtacaaa@3A45@  вектор магнитной индукции; E ¯ MathType@MTEF@5@5@+= feaahGart1ev3aaatCvAUfeBSjuyZL2yd9gzLbvyNv2CaerbuLwBLn hiov2DGi1BTfMBaeXatLxBI9gBaerbd9wDYLwzYbItLDharqqtubsr 4rNCHbGeaGqiFCI8FfYhNqFD0xXdHaVhbbf9v8qqaqFr0xc9pk0xbb a9q8WqFfea0=yr0RYxir=Jbba9q8aq0=yq=He9q8qqQ8frFve9Fve9 Ff0dmeqabeqaciGacaGaaeqabaWaaeaaeaaakeaaceWGfbGbaebaaa a@3709@   MathType@MTEF@5@5@+= feaahGart1ev3aqatCvAUfeBSjuyZL2yd9gzLbvyNv2Caerbov2D09 MBdbqedmvETj2BSbqeduuDJXwAKbYu51MyVXgarqqr1ngBPrgifHhD YfgasaacH8srps0lbbf9q8WrFfeuY=Hhbbf9v8qqaqFr0xc9pk0xbb a9q8WqFfea0=yr0RYxir=Jbba9q8aq0=yq=He9q8qqQ8frFve9Fve9 Ff0dmeaabaqaciaacaWaaeqabaqabeGaeaaakeaaruWqHXwAIjxAaG qbaKqzGfaeaaaaaaaaa8qacaWFtacaaa@3A45@  вектор напряженности электрического поля; σ T MathType@MTEF@5@5@+= feaahGart1ev3aaatCvAUfeBSjuyZL2yd9gzLbvyNv2CaerbuLwBLn hiov2DGi1BTfMBaeXatLxBI9gBaerbd9wDYLwzYbItLDharqqtubsr 4rNCHbGeaGqiFCI8FfYhNqFD0xXdHaVhbbf9v8qqaqFr0xc9pk0xbb a9q8WqFfea0=yr0RYxir=Jbba9q8aq0=yq=He9q8qqQ8frFve9Fve9 Ff0dmeqabeqaciGacaGaaeqabaWaaeaaeaaakeaacqaHdpWCdaqada qaaiaadsfaaiaawIcacaGLPaaaaaa@3A4C@   MathType@MTEF@5@5@+= feaahGart1ev3aqatCvAUfeBSjuyZL2yd9gzLbvyNv2Caerbov2D09 MBdbqedmvETj2BSbqeduuDJXwAKbYu51MyVXgarqqr1ngBPrgifHhD YfgasaacH8srps0lbbf9q8WrFfeuY=Hhbbf9v8qqaqFr0xc9pk0xbb a9q8WqFfea0=yr0RYxir=Jbba9q8aq0=yq=He9q8qqQ8frFve9Fve9 Ff0dmeaabaqaciaacaWaaeqabaqabeGaeaaakeaaruWqHXwAIjxAaG qbaKqzGfaeaaaaaaaaa8qacaWFtacaaa@3A45@  электрическая проводимость; T MathType@MTEF@5@5@+= feaahGart1ev3aqatCvAUfeBSjuyZL2yd9gzLbvyNv2CaerbuLwBLn hiov2DGi1BTfMBaeXatLxBI9gBaerbd9wDYLwzYbItLDharqqtubsr 4rNCHbGeaGqiFy0xe9sqqrpepC0xbbL8F4rqqrFfpeea0xe9Lq=Jc9 vqaqpepm0xbba9pwe9Q8fs0=yqaqpepae9pg0FirpepeKkFr0xfr=x fr=xb9adbaqabeGaciGaaiaabeqaamaabaabaaGcbaGaamivaaaa@3693@   MathType@MTEF@5@5@+= feaahGart1ev3aqatCvAUfeBSjuyZL2yd9gzLbvyNv2Caerbov2D09 MBdbqedmvETj2BSbqeduuDJXwAKbYu51MyVXgarqqr1ngBPrgifHhD YfgasaacH8srps0lbbf9q8WrFfeuY=Hhbbf9v8qqaqFr0xc9pk0xbb a9q8WqFfea0=yr0RYxir=Jbba9q8aq0=yq=He9q8qqQ8frFve9Fve9 Ff0dmeaabaqaciaacaWaaeqabaqabeGaeaaakeaaruWqHXwAIjxAaG qbaKqzGfaeaaaaaaaaa8qacaWFtacaaa@3A45@  температура; c T MathType@MTEF@5@5@+= feaahGart1ev3aaatCvAUfeBSjuyZL2yd9gzLbvyNv2CaerbuLwBLn hiov2DGi1BTfMBaeXatLxBI9gBaerbd9wDYLwzYbItLDharqqtubsr 4rNCHbGeaGqiFCI8FfYhNqFD0xXdHaVhbbf9v8qqaqFr0xc9pk0xbb a9q8WqFfea0=yr0RYxir=Jbba9q8aq0=yq=He9q8qqQ8frFve9Fve9 Ff0dmeqabeqaciGacaGaaeqabaWaaeaaeaaakeaacaWGJbWaaeWaae aacaWGubaacaGLOaGaayzkaaaaaa@3971@ , γ T MathType@MTEF@5@5@+= feaahGart1ev3aaatCvAUfeBSjuyZL2yd9gzLbvyNv2CaerbuLwBLn hiov2DGi1BTfMBaeXatLxBI9gBaerbd9wDYLwzYbItLDharqqtubsr 4rNCHbGeaGqiFCI8FfYhNqFD0xXdHaVhbbf9v8qqaqFr0xc9pk0xbb a9q8WqFfea0=yr0RYxir=Jbba9q8aq0=yq=He9q8qqQ8frFve9Fve9 Ff0dmeqabeqaciGacaGaaeqabaWaaeaaeaaakeaacqaHZoWzdaqada qaaiaadsfaaiaawIcacaGLPaaaaaa@3A30@ , λ T MathType@MTEF@5@5@+= feaahGart1ev3aaatCvAUfeBSjuyZL2yd9gzLbvyNv2CaerbuLwBLn hiov2DGi1BTfMBaeXatLxBI9gBaerbd9wDYLwzYbItLDharqqtubsr 4rNCHbGeaGqiFCI8FfYhNqFD0xXdHaVhbbf9v8qqaqFr0xc9pk0xbb a9q8WqFfea0=yr0RYxir=Jbba9q8aq0=yq=He9q8qqQ8frFve9Fve9 Ff0dmeqabeqaciGacaGaaeqabaWaaeaaeaaakeaacqaH7oaBdaqada qaaiaadsfaaiaawIcacaGLPaaaaaa@3A3D@   MathType@MTEF@5@5@+= feaahGart1ev3aqatCvAUfeBSjuyZL2yd9gzLbvyNv2Caerbov2D09 MBdbqedmvETj2BSbqeduuDJXwAKbYu51MyVXgarqqr1ngBPrgifHhD YfgasaacH8srps0lbbf9q8WrFfeuY=Hhbbf9v8qqaqFr0xc9pk0xbb a9q8WqFfea0=yr0RYxir=Jbba9q8aq0=yq=He9q8qqQ8frFve9Fve9 Ff0dmeaabaqaciaacaWaaeqabaqabeGaeaaakeaaruWqHXwAIjxAaG qbaKqzGfaeaaaaaaaaa8qacaWFtacaaa@3A45@  удельная теплоемкость, плотность и коэффициент теплопроводности нагреваемого металла соответственно; t MathType@MTEF@5@5@+= feaahGart1ev3aqatCvAUfeBSjuyZL2yd9gzLbvyNv2CaerbuLwBLn hiov2DGi1BTfMBaeXatLxBI9gBaerbd9wDYLwzYbItLDharqqtubsr 4rNCHbGeaGqiFy0xe9sqqrpepC0xbbL8F4rqqrFfpeea0xe9Lq=Jc9 vqaqpepm0xbba9pwe9Q8fs0=yqaqpepae9pg0FirpepeKkFr0xfr=x fr=xb9adbaqabeGaciGaaiaabeqaamaabaabaaGcbaGaamiDaaaa@36B3@   MathType@MTEF@5@5@+= feaahGart1ev3aqatCvAUfeBSjuyZL2yd9gzLbvyNv2Caerbov2D09 MBdbqedmvETj2BSbqeduuDJXwAKbYu51MyVXgarqqr1ngBPrgifHhD YfgasaacH8srps0lbbf9q8WrFfeuY=Hhbbf9v8qqaqFr0xc9pk0xbb a9q8WqFfea0=yr0RYxir=Jbba9q8aq0=yq=He9q8qqQ8frFve9Fve9 Ff0dmeaabaqaciaacaWaaeqabaqabeGaeaaakeaaruWqHXwAIjxAaG qbaKqzGfaeaaaaaaaaa8qacaWFtacaaa@3A45@  время; r 0;R MathType@MTEF@5@5@+= feaahGart1ev3aaatCvAUfeBSjuyZL2yd9gzLbvyNv2CaerbuLwBLn hiov2DGi1BTfMBaeXatLxBI9gBaerbd9wDYLwzYbItLDharqqtubsr 4rNCHbGeaGqiFCI8FfYhNqFD0xXdHaVhbbf9v8qqaqFr0xc9pk0xbb a9q8WqFfea0=yr0RYxir=Jbba9q8aq0=yq=He9q8qqQ8frFve9Fve9 Ff0dmeaabeqaciGacaGaaeqabaWaaeaaeaaakeaacaWGYbGaeyicI4 8aamWaaeaacaaIWaGaai4oaiaadkfaaiaawUfacaGLDbaaaaa@3CE3@ , l 0;L MathType@MTEF@5@5@+= feaahGart1ev3aaatCvAUfeBSjuyZL2yd9gzLbvyNv2CaerbuLwBLn hiov2DGi1BTfMBaeXatLxBI9gBaerbd9wDYLwzYbItLDharqqtubsr 4rNCHbGeaGqiFCI8FfYhNqFD0xXdHaVhbbf9v8qqaqFr0xc9pk0xbb a9q8WqFfea0=yr0RYxir=Jbba9q8aq0=yq=He9q8qqQ8frFve9Fve9 Ff0dmeaabeqaciGacaGaaeqabaWaaeaaeaaakeaacaWGSbGaeyicI4 8aamWaaeaacaaIWaGaai4oaiaadYeaaiaawUfacaGLDbaaaaa@3CD7@   MathType@MTEF@5@5@+= feaahGart1ev3aqatCvAUfeBSjuyZL2yd9gzLbvyNv2Caerbov2D09 MBdbqedmvETj2BSbqeduuDJXwAKbYu51MyVXgarqqr1ngBPrgifHhD YfgasaacH8srps0lbbf9q8WrFfeuY=Hhbbf9v8qqaqFr0xc9pk0xbb a9q8WqFfea0=yr0RYxir=Jbba9q8aq0=yq=He9q8qqQ8frFve9Fve9 Ff0dmeaabaqaciaacaWaaeqabaqabeGaeaaakeaaruWqHXwAIjxAaG qbaKqzGfaeaaaaaaaaa8qacaWFtacaaa@3A45@  соответственно радиальная и продольная пространственная координаты; T a MathType@MTEF@5@5@+= feaahGart1ev3aaatCvAUfeBSjuyZL2yd9gzLbvyNv2CaerbuLwBLn hiov2DGi1BTfMBaeXatLxBI9gBaerbd9wDYLwzYbItLDharqqtubsr 4rNCHbGeaGqiVCI8FfYlNqFD0xXdHaVhbbf9v8qqaqFr0xc9pk0xbb a9q8WqFfea0=yr0RYxir=Jbba9q8aq0=yq=He9q8qqQ8frFve9Fve9 Ff0dmeaabeqaciGacaGaaeqabaWaaeaaeaaakeaacaWGubWaaSbaaS qaaiaadggaaeqaaaaa@3831@   MathType@MTEF@5@5@+= feaahGart1ev3aqatCvAUfeBSjuyZL2yd9gzLbvyNv2Caerbov2D09 MBdbqedmvETj2BSbqeduuDJXwAKbYu51MyVXgarqqr1ngBPrgifHhD YfgasaacH8srps0lbbf9q8WrFfeuY=Hhbbf9v8qqaqFr0xc9pk0xbb a9q8WqFfea0=yr0RYxir=Jbba9q8aq0=yq=He9q8qqQ8frFve9Fve9 Ff0dmeaabaqaciaacaWaaeqabaqabeGaeaaakeaaruWqHXwAIjxAaG qbaKqzGfaeaaaaaaaaa8qacaWFtacaaa@3A45@  температура окружающей среды; α T MathType@MTEF@5@5@+= feaahGart1ev3aaatCvAUfeBSjuyZL2yd9gzLbvyNv2CaerbuLwBLn hiov2DGi1BTfMBaeXatLxBI9gBaerbd9wDYLwzYbItLDharqqtubsr 4rNCHbGeaGqiVCI8FfYlNqFD0xXdHaVhbbf9v8qqaqFr0xc9pk0xbb a9q8WqFfea0=yr0RYxir=Jbba9q8aq0=yq=He9q8qqQ8frFve9Fve9 Ff0dmeaabeqaciGacaGaaeqabaWaaeaaeaaakeaacqaHXoqydaqada qaaiaadsfaaiaawIcacaGLPaaaaaa@3A47@   MathType@MTEF@5@5@+= feaahGart1ev3aqatCvAUfeBSjuyZL2yd9gzLbvyNv2Caerbov2D09 MBdbqedmvETj2BSbqeduuDJXwAKbYu51MyVXgarqqr1ngBPrgifHhD YfgasaacH8srps0lbbf9q8WrFfeuY=Hhbbf9v8qqaqFr0xc9pk0xbb a9q8WqFfea0=yr0RYxir=Jbba9q8aq0=yq=He9q8qqQ8frFve9Fve9 Ff0dmeaabaqaciaacaWaaeqabaqabeGaeaaakeaaruWqHXwAIjxAaG qbaKqzGfaeaaaaaaaaa8qacaWFtacaaa@3A45@  коэффициент теплоотдачи в окружающую среду; R MathType@MTEF@5@5@+= feaahGart1ev3aqatCvAUfeBSjuyZL2yd9gzLbvyNv2Caerbov2D09 MBdbqedmvETj2BSbqeduuDJXwAKbYu51MyVXgarqqr1ngBPrgifHhD YfgasaacH8srps0lbbf9q8WrFfeuY=Hhbbf9v8qqaqFr0xc9pk0xbb a9q8WqFfea0=yr0RYxir=Jbba9q8aq0=yq=He9q8qqQ8frFve9Fve9 Ff0dmeaabaqaciaacaWaaeqabaqabeGaeaaakeaaruWqHXwAIjxAaG qbaKqzGfaeaaaaaaaaa8qacaWFtacaaa@3A45@  радиус и L MathType@MTEF@5@5@+= feaahGart1ev3aqatCvAUfeBSjuyZL2yd9gzLbvyNv2Caerbov2D09 MBdbqedmvETj2BSbqeduuDJXwAKbYu51MyVXgarqqr1ngBPrgifHhD YfgasaacH8srps0lbbf9q8WrFfeuY=Hhbbf9v8qqaqFr0xc9pk0xbb a9q8WqFfea0=yr0RYxir=Jbba9q8aq0=yq=He9q8qqQ8frFve9Fve9 Ff0dmeaabaqaciaacaWaaeqabaqabeGaeaaakeaaruWqHXwAIjxAaG qbaKqzGfaeaaaaaaaaa8qacaWFtacaaa@3A45@  длина заготовки.

Состояние объекта управления с распределенными параметрами, описываемого уравнениями (1) MathType@MTEF@5@5@+= feaahGart1ev3aqatCvAUfeBSjuyZL2yd9gzLbvyNv2Caerbov2D09 MBdbqedmvETj2BSbqeduuDJXwAKbYu51MyVXgarqqr1ngBPrgifHhD YfgasaacH8srps0lbbf9q8WrFfeuY=Hhbbf9v8qqaqFr0xc9pk0xbb a9q8WqFfea0=yr0RYxir=Jbba9q8aq0=yq=He9q8qqQ8frFve9Fve9 Ff0dmeaabaqaciaacaWaaeqabaqabeGaeaaakeaaruWqHXwAIjxAaG qbaKqzGfaeaaaaaaaaa8qacaWFtacaaa@3A45@  (5) с краевыми условиями (6) MathType@MTEF@5@5@+= feaahGart1ev3aqatCvAUfeBSjuyZL2yd9gzLbvyNv2Caerbov2D09 MBdbqedmvETj2BSbqeduuDJXwAKbYu51MyVXgarqqr1ngBPrgifHhD YfgasaacH8srps0lbbf9q8WrFfeuY=Hhbbf9v8qqaqFr0xc9pk0xbb a9q8WqFfea0=yr0RYxir=Jbba9q8aq0=yq=He9q8qqQ8frFve9Fve9 Ff0dmeaabaqaciaacaWaaeqabaqabeGaeaaakeaaruWqHXwAIjxAaG qbaKqzGfaeaaaaaaaaa8qacaWFtacaaa@3A45@  (9), характеризуется пространственно-временным распределением температуры T r,l,t MathType@MTEF@5@5@+= feaahGart1ev3aaatCvAUfeBSjuyZL2yd9gzLbvyNv2CaerbuLwBLn hiov2DGi1BTfMBaeXatLxBI9gBaerbd9wDYLwzYbItLDharqqtubsr 4rNCHbGeaGqiFCI8FfYhNqFD0xXdHaVhbbf9v8qqaqFr0xc9pk0xbb a9q8WqFfea0=yr0RYxir=Jbba9q8aq0=yq=He9q8qqQ8frFve9Fve9 Ff0dmeaabeqaciGacaGaaeqabaWaaeaaeaaakeaacaWGubWaaeWaae aacaWGYbGaaiilaiaadYgacaGGSaGaamiDaaGaayjkaiaawMcaaaaa @3CC9@  по объему нагреваемой детали. В качестве управляющего воздействия выбирается напряжение источника питания индукционной нагревательной установки u t MathType@MTEF@5@5@+= feaahGart1ev3aaatCvAUfeBSjuyZL2yd9gzLbvyNv2CaerbuLwBLn hiov2DGi1BTfMBaeXatLxBI9gBaerbd9wDYLwzYbItLDharqqtubsr 4rNCHbGeaGqiFCI8FfYhNqFD0xXdHaVhbbf9v8qqaqFr0xc9pk0xbb a9q8WqFfea0=yr0RYxir=Jbba9q8aq0=yq=He9q8qqQ8frFve9Fve9 Ff0dmeaabiqaciaacaGaaeqabaWaaeaaeaaakeaacaWG1bWaaeWaae aacaWG0baacaGLOaGaayzkaaaaaa@39A1@ , на которое накладывается ограничение:

0u t u max MathType@MTEF@5@5@+= feaahGart1ev3aaatCvAUfeBSjuyZL2yd9gzLbvyNv2CaerbuLwBLn hiov2DGi1BTfMBaeXatLxBI9gBaerbd9wDYLwzYbItLDharqqtubsr 4rNCHbGeaGqiFCI8FfYhNqFD0xXdHaVhbbf9v8qqaqFr0xc9pk0xbb a9q8WqFfea0=yr0RYxir=Jbba9q8aq0=yq=He9q8qqQ8frFve9Fve9 Ff0dmeaabiqaciaacaGaaeqabaWaaeaaeaaakeaacaaIWaGaeyizIm QaamyDamaabmaabaGaamiDaaGaayjkaiaawMcaaiabgsMiJkaadwha daWgaaWcbaGaciyBaiaacggacaGG4baabeaaaaa@41BF@ ; t 0; t 0 MathType@MTEF@5@5@+= feaahGart1ev3aaatCvAUfeBSjuyZL2yd9gzLbvyNv2CaerbuLwBLn hiov2DGi1BTfMBaeXatLxBI9gBaerbd9wDYLwzYbItLDharqqtubsr 4rNCHbGeaGqiFCI8FfYhNqFD0xXdHaVhbbf9v8qqaqFr0xc9pk0xbb a9q8WqFfea0=yr0RYxir=Jbba9q8aq0=yq=He9q8qqQ8frFve9Fve9 Ff0dmeaabiqaciaacaGaaeqabaWaaeaaeaaakeaacaWG0bGaeyicI4 8aamWaaeaacaaIWaGaai4oaiaadshadaahaaWcbeqaaiaaicdaaaaa kiaawUfacaGLDbaaaaa@3DF7@ . (10)

Требования к конечному состоянию объекта управления формулируются с помощью задания максимальной абсолютной величины ε 0 MathType@MTEF@5@5@+= feaahGart1ev3aaatCvAUfeBSjuyZL2yd9gzLbvyNv2CaerbuLwBLn hiov2DGi1BTfMBaeXatLxBI9gBaerbd9wDYLwzYbItLDharqqtubsr 4rNCHbGeaGqiFCI8FfYhNqFD0xXdHaVhbbf9v8qqaqFr0xc9pk0xbb a9q8WqFfea0=yr0RYxir=Jbba9q8aq0=yq=He9q8qqQ8frFve9Fve9 Ff0dmeaabiqaciaacaGaaeqabaWaaeaaeaaakeaacqaH1oqzdaWgaa WcbaGaaGimaaqabaaaaa@38B2@  отклонения температуры T r,l, t 0 MathType@MTEF@5@5@+= feaahGart1ev3aaatCvAUfeBSjuyZL2yd9gzLbvyNv2CaerbuLwBLn hiov2DGi1BTfMBaeXatLxBI9gBaerbd9wDYLwzYbItLDharqqtubsr 4rNCHbGeaGqiFCI8FfYhNqFD0xXdHaVhbbf9v8qqaqFr0xc9pk0xbb a9q8WqFfea0=yr0RYxir=Jbba9q8aq0=yq=He9q8qqQ8frFve9Fve9 Ff0dmeaabeqaciGacaGaaeqabaWaaeaaeaaakeaacaWGubWaaeWaae aacaWGYbGaaiilaiaadYgacaGGSaGaamiDamaaCaaaleqabaGaaGim aaaaaOGaayjkaiaawMcaaaaa@3DBA@  в конце процесса нагрева при t= t 0 MathType@MTEF@5@5@+= feaahGart1ev3aqatCvAUfeBSjuyZL2yd9gzLbvyNv2CaerbuLwBLn hiov2DGi1BTfMBaeXatLxBI9gBaerbd9wDYLwzYbItLDharqqtubsr 4rNCHbGeaGqiFCI8FfYhNqFD0xXdHaVhbbf9v8qqaqFr0xc9pk0xbb a9q8WqFfea0=yr0RYxir=Jbba9q8aq0=yq=He9q8qqQ8frFve9Fve9 Ff0dmeaabeqaciGacaGaaeqabaWaaeaaeaaakeaacaWG0bGaeyypa0 JaamiDamaaCaaaleqabaGaaGimaaaaaaa@3A06@  от требуемого значения T * MathType@MTEF@5@5@+= feaahGart1ev3aaatCvAUfeBSjuyZL2yd9gzLbvyNv2CaerbuLwBLn hiov2DGi1BTfMBaeXatLxBI9gBaerbd9wDYLwzYbItLDharqqtubsr 4rNCHbGeaGqiFCI8FfYhNqFD0xXdHaVhbbf9v8qqaqFr0xc9pk0xbb a9q8WqFfea0=yr0RYxir=Jbba9q8aq0=yq=He9q8qqQ8frFve9Fve9 Ff0dmeaabiqaciaacaGaaeqabaWaaeaaeaaakeaacaWGubWaaWbaaS qabeaacaGGQaaaaaaa@37D9@ :

max r[0,R] l[0,L] T r,l, t 0 T * ε 0 . MathType@MTEF@5@5@+= feaahGart1ev3aaatCvAUfeBSjuyZL2yd9gzLbvyNv2CaerbuLwBLn hiov2DGi1BTfMBaeXatLxBI9gBaerbd9wDYLwzYbItLDharqqtubsr 4rNCHbGeaGqiFCI8FfYhNqFD0xXdHaVhbbf9v8qqaqFr0xc9pk0xbb a9q8WqFfea0=yr0RYxir=Jbba9q8aq0=yq=He9q8qqQ8frFve9Fve9 Ff0dmeqabiqaciaacaGaaeqabaWaaeaaeaaakeaadaWfqaqaaiaab2 gacaqGHbGaaeiEaaWceaqabeaacaWGYbGaeyicI4Saae4waiaabcda caqGSaGaaGzaVlaaygW7caaMc8UaamOuaiaab2faaeaacaWGSbGaey icI4Saae4waiaabcdacaqGSaGaaGzaVlaaygW7caaMc8Uaamitaiaa b2faaaqabaGcdaabdaqaaiaadsfadaqadaqaaiaadkhacaGGSaGaam iBaiaacYcacaWG0bWaaWbaaSqabeaacaaIWaaaaaGccaGLOaGaayzk aaGaeyOeI0IaamivamaaCaaaleqabaGaaiOkaaaaaOGaay5bSlaawI a7aiabgsMiJkabew7aLnaaBaaaleaacaaIWaaabeaakiaac6caaaa@61B4@ (11)

В качестве критериев оптимальности рассматриваются интегральные функционалы:

I 1 = 0 t 0 dt = t 0 min, MathType@MTEF@5@5@+= feaahGart1ev3aaatCvAUfeBSjuyZL2yd9gzLbvyNv2CaerbuLwBLn hiov2DGi1BTfMBaeXatLxBI9gBaerbd9wDYLwzYbItLDharqqtubsr 4rNCHbGeaGqiFCI8FfYhNqFD0xXdHaVhbbf9v8qqaqFr0xc9pk0xbb a9q8WqFfea0=yr0RYxir=Jbba9q8aq0=yq=He9q8qqQ8frFve9Fve9 Ff0dmeqabiqaciaacaGaaeqabaWaaeaaeaaakeaacaWGjbWaaSbaaS qaaiaaigdaaeqaaOGaeyypa0Zaa8qCaeaacaWGKbGaamiDaaWcbaGa aGimaaqaaiaadshadaahaaadbeqaaiaaicdaaaaaniabgUIiYdGccq GH9aqpcaWG0bWaaWbaaSqabeaacaaIWaaaaOGaeyOKH4QaaeyBaiaa bMgacaqGUbGaaeilaaaa@4834@ (12)

I 2 = 0 t 0 u t dt min. MathType@MTEF@5@5@+= feaahGart1ev3aaatCvAUfeBSjuyZL2yd9gzLbvyNv2CaerbuLwBLn hiov2DGi1BTfMBaeXatLxBI9gBaerbd9wDYLwzYbItLDharqqtubsr 4rNCHbGeaGqiFCI8FfYhNqFD0xXdHaVhbbf9v8qqaqFr0xc9pk0xbb a9q8WqFfea0=yr0RYxir=Jbba9q8aq0=yq=He9q8qqQ8frFve9Fve9 Ff0dmeqabiqaciaacaGaaeqabaWaaeaaeaaakeaacaWGjbWaaSbaaS qaaiaaikdaaeqaaOGaeyypa0Zaa8qCaeaacaWG1bWaaeWaaeaacaWG 0baacaGLOaGaayzkaaGaamizaiaadshaaSqaaiaaicdaaeaacaWG0b WaaWbaaWqabeaacaaIWaaaaaqdcqGHRiI8aOGaeyOKH4QaaeyBaiaa bMgacaqGUbGaaeOlaaaa@48C3@ (13)

Выражения (12) и (13) соответствует критериям максимального быстродействия и минимального потребления энергии соответственно.

Как показано в [1, 2, 6], интенсивность процесса окисления металла при высокотемпературном нагреве существенно зависит от температуры поверхности нагреваемой детали. При этом наибольшая активность образования окалины при обработке стальных заготовок наблюдается при превышении некоторой характерной температуры T q MathType@MTEF@5@5@+= feaahGart1ev3aaatCvAUfeBSjuyZL2yd9gzLbvyNv2CaerbuLwBLn hiov2DGi1BTfMBaeXatLxBI9gBaerbd9wDYLwzYbItLDharqqtubsr 4rNCHbGeaGqiFCI8FfYhNqFD0xXdHaVhbbf9v8qqaqFr0xc9pk0xbb a9q8WqFfea0=yr0RYxir=Jbba9q8aq0=yq=He9q8qqQ8frFve9Fve9 Ff0dmeqabiqaciaacaGaaeqabaWaaeaaeaaakeaacaWGubWaaSbaaS qaaiaadghaaeqaaaaa@3821@ , которая зависит от марки стали и приводится в справочной литературе. Таким образом, критерий минимума образования окалины может быть записан следующим образом:

I 1 = 0 φ 0 f θ пов dφ min, MathType@MTEF@5@5@+= feaahGart1ev3aaatCvAUfeBSjuyZL2yd9gzLbvyNv2CaerbuLwBLn hiov2DGi1BTfMBaeXatLxBI9gBaerbd9wDYLwzYbItLDharqqtubsr 4rNCHbGeaGqiFCI8FfYhNqFD0xXdHaVhbbf9v8qqaqFr0xc9pk0xbb a9q8WqFfea0=yr0RYxir=Jbba9q8aq0=yq=He9q8qqQ8frFve9Fve9 Ff0dmeqabiqaciaacaGaaeqabaWaaeaaeaaakeaacaWGjbWaaSbaaS qaaiaaigdaaeqaaOGaeyypa0Zaa8qCaeaacaWGMbWaaeWaaeaacqaH 4oqCdaWgaaWcbaGaam4peiaad6dbcaWGYqaabeaaaOGaayjkaiaawM caaiaadsgacqaHgpGAaSqaaiaaicdaaeaacqaHgpGAdaahaaadbeqa aiaaicdaaaaaniabgUIiYdGccqGHsgIRcaqGTbGaaeyAaiaab6gaca qGSaaaaa@4D76@ (14)

где кусочно-непрерывная функция f θ пов MathType@MTEF@5@5@+= feaahGart1ev3aaatCvAUfeBSjuyZL2yd9gzLbvyNv2CaerbuLwBLn hiov2DGi1BTfMBaeXatLxBI9gBaerbd9wDYLwzYbItLDharqqtubsr 4rNCHbGeaGqiFCI8FfYhNqFD0xXdHaVhbbf9v8qqaqFr0xc9pk0xbb a9q8WqFfea0=yr0RYxir=Jbba9q8aq0=yq=He9q8qqQ8frFve9Fve9 Ff0dmeqabiqaciaacaGaaeqabaWaaeaaeaaakeaacaWGMbWaaeWaae aacqaH4oqCdaWgaaWcbaGaam4peiaad6dbcaWGYqaabeaaaOGaayjk aiaawMcaaaaa@3CD0@  имеет следующий вид:

f θ пов = 0,если θ пов < θ q θ пов θ q s+1 ,если θ пов θ q . MathType@MTEF@5@5@+= feaahGart1ev3aaatCvAUfeBSjuyZL2yd9gzLbvyNv2CaerbuLwBLn hiov2DGi1BTfMBaeXatLxBI9gBaerbd9wDYLwzYbItLDharqqtubsr 4rNCHbGeaGqiFCI8FfYhNqFD0xXdHaVhbbf9v8qqaqFr0xc9pk0xbb a9q8WqFfea0=yr0RYxir=Jbba9q8aq0=yq=He9q8qqQ8frFve9Fve9 Ff0dmeaabiqaciaacaGaaeqabaWaaeaaeaaakeaacaWGMbWaaeWaae aacqaH4oqCdaWgaaWcbaGaam4peiaad6dbcaWGYqaabeaaaOGaayjk aiaawMcaaiabg2da9maaceaaeaqabeaacaaIWaGaaiilaiaaysW7ca qG1qGaaeyqeiaabUdbcaqG4qGaaGjbVlabeI7aXnaaBaaaleaacaqG =qGaaeOpeiaabkdbaeqaaOGaeyipaWJaeqiUde3aaSbaaSqaaiaadg haaeqaaaGcbaWaaeWaaeaacqaH4oqCdaWgaaWcbaGaam4peiaad6db caWGYqaabeaakiabgkHiTiabeI7aXnaaBaaaleaacaWGXbaabeaaaO GaayjkaiaawMcaamaaCaaaleqabaGaam4CaiabgUcaRiaaigdaaaGc caGGSaGaaGjbVlaabwdbcaqGbrGaae4oeiaabIdbcaaMe8UaeqiUde 3aaSbaaSqaaiaab+dbcaqG+qGaaeOmeaqabaGccqGHLjYScqaH4oqC daWgaaWcbaGaamyCaaqabaGccaGGUaaaaiaawUhaaaaa@6B48@ (15)

Следует отметить, что выражения (14) и (15) записаны для безразмерных значений температуры поверхности θ пов MathType@MTEF@5@5@+= feaahGart1ev3aaatCvAUfeBSjuyZL2yd9gzLbvyNv2CaerbuLwBLn hiov2DGi1BTfMBaeXatLxBI9gBaerbd9wDYLwzYbItLDharqqtubsr 4rNCHbGeaGqiFCI8FfYhNqFD0xXdHaVhbbf9v8qqaqFr0xc9pk0xbb a9q8WqFfea0=yr0RYxir=Jbba9q8aq0=yq=He9q8qqQ8frFve9Fve9 Ff0dmeaabiqaciaacaGaaeqabaWaaeaaeaaakeaacqaH4oqCdaWgaa WcbaGaae4peiaab6dbcaqGYqaabeaaaaa@3A4B@ , температуры начала процесса интенсивного окалинообразования θ q MathType@MTEF@5@5@+= feaahGart1ev3aaatCvAUfeBSjuyZL2yd9gzLbvyNv2CaerbuLwBLn hiov2DGi1BTfMBaeXatLxBI9gBaerbd9wDYLwzYbItLDharqqtubsr 4rNCHbGeaGqiFCI8FfYhNqFD0xXdHaVhbbf9v8qqaqFr0xc9pk0xbb a9q8WqFfea0=yr0RYxir=Jbba9q8aq0=yq=He9q8qqQ8frFve9Fve9 Ff0dmeqabiqaciaacaGaaeqabaWaaeaaeaaakeaacqaH4oqCdaWgaa WcbaGaamyCaaqabaaaaa@38FE@ , а также времени процесса φ MathType@MTEF@5@5@+= feaahGart1ev3aaatCvAUfeBSjuyZL2yd9gzLbvyNv2CaerbuLwBLn hiov2DGi1BTfMBaeXatLxBI9gBaerbd9wDYLwzYbItLDharqqtubsr 4rNCHbGeaGqiFCI8FfYhNqFD0xXdHaVhbbf9v8qqaqFr0xc9pk0xbb a9q8WqFfea0=yr0RYxir=Jbba9q8aq0=yq=He9q8qqQ8frFve9Fve9 Ff0dmeqabiqaciaacaGaaeqabaWaaeaaeaaakeaacqaHgpGAaaa@37E3@ , переход к которым от абсолютных значений осуществляется с помощью следующих соотношений:

θ x,y,φ = T r,l,t T 0 P max R 2 λ, MathType@MTEF@5@5@+= feaahGart1ev3aaatCvAUfeBSjuyZL2yd9gzLbvyNv2CaerbuLwBLn hiov2DGi1BTfMBaeXatLxBI9gBaerbd9wDYLwzYbItLDharqqtubsr 4rNCHbGeaGqiFCI8FfYhNqFD0xXdHaVhbbf9v8qqaqFr0xc9pk0xbb a9q8WqFfea0=yr0RYxir=Jbba9q8aq0=yq=He9q8qqQ8frFve9Fve9 Ff0dmeqabiqaciaacaGaaeqabaWaaeaaeaaakeaacqaH4oqCdaqada qaaiaadIhacaGGSaGaamyEaiaacYcacqaHgpGAaiaawIcacaGLPaaa cqGH9aqpdaWcaaqaaiaadsfadaqadaqaaiaadkhacaGGSaGaamiBai aacYcacaWG0baacaGLOaGaayzkaaGaeyOeI0IaamivamaaBaaaleaa caaIWaaabeaaaOqaaiaadcfadaWgaaWcbaGaciyBaiaacggacaGG4b aabeaakiaadkfadaahaaWcbeqaaiaaikdaaaaaaOGaeq4UdWMaaiil aaaa@50F9@ (16)

φ= at R 2 , MathType@MTEF@5@5@+= feaahGart1ev3aaatCvAUfeBSjuyZL2yd9gzLbvyNv2CaerbuLwBLn hiov2DGi1BTfMBaeXatLxBI9gBaerbd9wDYLwzYbItLDharqqtubsr 4rNCHbGeaGqiFCI8FfYhNqFD0xXdHaVhbbf9v8qqaqFr0xc9pk0xbb a9q8WqFfea0=yr0RYxir=Jbba9q8aq0=yq=He9q8qqQ8frFve9Fve9 Ff0dmeqabiqaciaacaGaaeqabaWaaeaaeaaakeaacqaHgpGAcqGH9a qpdaWcaaqaaiaadggacaWG0baabaGaamOuamaaCaaaleqabaGaaGOm aaaaaaGccaGGSaaaaa@3D52@ (17)

где a MathType@MTEF@5@5@+= feaahGart1ev3aqatCvAUfeBSjuyZL2yd9gzLbvyNv2Caerbov2D09 MBdbqedmvETj2BSbqeduuDJXwAKbYu51MyVXgarqqr1ngBPrgifHhD YfgasaacH8srps0lbbf9q8WrFfeuY=Hhbbf9v8qqaqFr0xc9pk0xbb a9q8WqFfea0=yr0RYxir=Jbba9q8aq0=yq=He9q8qqQ8frFve9Fve9 Ff0dmeaabaqaciaacaWaaeqabaqabeGaeaaakeaaruWqHXwAIjxAaG qbaKqzGfaeaaaaaaaaa8qacaWFtacaaa@3A45@  коэффициент температуропроводности нагреваемого металла; P max MathType@MTEF@5@5@+= feaahGart1ev3aaatCvAUfeBSjuyZL2yd9gzLbvyNv2CaerbuLwBLn hiov2DGi1BTfMBaeXatLxBI9gBaerbd9wDYLwzYbItLDharqqtubsr 4rNCHbGeaGqiFCI8FfYhNqFD0xXdHaVhbbf9v8qqaqFr0xc9pk0xbb a9q8WqFfea0=yr0RYxir=Jbba9q8aq0=yq=He9q8qqQ8frFve9Fve9 Ff0dmeqabiqaciaacaGaaeqabaWaaeaaeaaakeaacaWGqbWaaSbaaS qaaiGac2gacaGGHbGaaiiEaaqabaaaaa@39FB@   MathType@MTEF@5@5@+= feaahGart1ev3aqatCvAUfeBSjuyZL2yd9gzLbvyNv2Caerbov2D09 MBdbqedmvETj2BSbqeduuDJXwAKbYu51MyVXgarqqr1ngBPrgifHhD YfgasaacH8srps0lbbf9q8WrFfeuY=Hhbbf9v8qqaqFr0xc9pk0xbb a9q8WqFfea0=yr0RYxir=Jbba9q8aq0=yq=He9q8qqQ8frFve9Fve9 Ff0dmeaabaqaciaacaWaaeqabaqabeGaeaaakeaaruWqHXwAIjxAaG qbaKqzGfaeaaaaaaaaa8qacaWFtacaaa@3A45@  максимальная удельная мощность внутреннего тепловыделения на единицу объема нагреваемой детали.

Таким образом, в общем случае задача оптимального управления процессом ИН сводится к поиску такого закона изменения сосредоточенного управляющего воздействия u * t MathType@MTEF@5@5@+= feaahGart1ev3aaatCvAUfeBSjuyZL2yd9gzLbvyNv2CaerbuLwBLn hiov2DGi1BTfMBaeXatLxBI9gBaerbd9wDYLwzYbItLDharqqtubsr 4rNCHbGeaGqiFCI8FfYhNqFD0xXdHaVhbbf9v8qqaqFr0xc9pk0xbb a9q8WqFfea0=yr0RYxir=Jbba9q8aq0=yq=He9q8qqQ8frFve9Fve9 Ff0dmeaabiqaciaacaGaaeqabaWaaeaaeaaakeaacaWG1bWaaWbaaS qabeaacaGGQaaaaOWaaeWaaeaacaWG0baacaGLOaGaayzkaaaaaa@3A86@ , стесненного ограничением (10), который переводит ОРП, описываемый уравнениями (1) MathType@MTEF@5@5@+= feaahGart1ev3aqatCvAUfeBSjuyZL2yd9gzLbvyNv2Caerbov2D09 MBdbqedmvETj2BSbqeduuDJXwAKbYu51MyVXgarqqr1ngBPrgifHhD YfgasaacH8srps0lbbf9q8WrFfeuY=Hhbbf9v8qqaqFr0xc9pk0xbb a9q8WqFfea0=yr0RYxir=Jbba9q8aq0=yq=He9q8qqQ8frFve9Fve9 Ff0dmeaabaqaciaacaWaaeqabaqabeGaeaaakeaaruWqHXwAIjxAaG qbaKqzahaeaaaaaaaaa8qacaWFtacaaa@3AA5@  (5) с краевыми условиями (6) MathType@MTEF@5@5@+= feaahGart1ev3aqatCvAUfeBSjuyZL2yd9gzLbvyNv2Caerbov2D09 MBdbqedmvETj2BSbqeduuDJXwAKbYu51MyVXgarqqr1ngBPrgifHhD YfgasaacH8srps0lbbf9q8WrFfeuY=Hhbbf9v8qqaqFr0xc9pk0xbb a9q8WqFfea0=yr0RYxir=Jbba9q8aq0=yq=He9q8qqQ8frFve9Fve9 Ff0dmeaabaqaciaacaWaaeqabaqabeGaeaaakeaaruWqHXwAIjxAaG qbaKqzahaeaaaaaaaaa8qacaWFtacaaa@3AA5@  (9), из заданного начального (6) в требуемое конечное состояние (11) с минимальным значением критерия оптимальности (12) в случае решения задачи оптимального быстродействия, (13) MathType@MTEF@5@5@+= feaahGart1ev3aqatCvAUfeBSjuyZL2yd9gzLbvyNv2Caerbov2D09 MBdbqedmvETj2BSbqeduuDJXwAKbYu51MyVXgarqqr1ngBPrgifHhD YfgasaacH8srps0lbbf9q8WrFfeuY=Hhbbf9v8qqaqFr0xc9pk0xbb a9q8WqFfea0=yr0RYxir=Jbba9q8aq0=yq=He9q8qqQ8frFve9Fve9 Ff0dmeaabaqaciaacaWaaeqabaqabeGaeaaakeaaruWqHXwAIjxAaG qbaKqzGfaeaaaaaaaaa8qacaWFtacaaa@3A45@  для задачи минимального энергопотребления и (14) MathType@MTEF@5@5@+= feaahGart1ev3aqatCvAUfeBSjuyZL2yd9gzLbvyNv2Caerbov2D09 MBdbqedmvETj2BSbqeduuDJXwAKbYu51MyVXgarqqr1ngBPrgifHhD YfgasaacH8srps0lbbf9q8WrFfeuY=Hhbbf9v8qqaqFr0xc9pk0xbb a9q8WqFfea0=yr0RYxir=Jbba9q8aq0=yq=He9q8qqQ8frFve9Fve9 Ff0dmeaabaqaciaacaWaaeqabaqabeGaeaaakeaaruWqHXwAIjxAaG qbaKqzGfaeaaaaaaaaa8qacaWFtacaaa@3A45@  для задачи на минимум потерь металла в окалину.

Сформулированные задачи могут быть решены с помощью альтернансного метода параметрической оптимизации систем с распределенными параметрами.

Решение задачи оптимального по критерию минимума образования окалины управления на основе альтернансного метода

Поскольку в [5, 7, 8] подробно описана методика решения задач оптимального управления по критериям быстродействия и минимума энергопотребления на базе альтернансного метода, далее будет подробно рассмотрено решение задачи оптимального по критерию минимума окалинообразования управления. Ограничимся заданием требуемых температурных кондиций (11) только для поперечного сечения заготовки при l= L 2 MathType@MTEF@5@5@+= feaahGart1ev3aaatCvAUfeBSjuyZL2yd9gzLbvyNv2CaerbuLwBLn hiov2DGi1BTfMBaeXatLxBI9gBaerbd9wDYLwzYbItLDharqqtubsr 4rNCHbGeaGqiFCI8FfYhNqFD0xXdHaVhbbf9v8qqaqFr0xc9pk0xbb a9q8WqFfea0=yr0RYxir=Jbba9q8aq0=yq=He9q8qqQ8frFve9Fve9 Ff0dmeqabiqaciaacaGaaeqabaWaaeaaeaaakeaacaWGSbGaeyypa0 ZaaSaaaeaacaWGmbaabaGaaGOmaaaaaaa@39BA@ , считая неравномерность температурного распределения по длине заготовки несущественной.

Согласно теории оптимального управления системами с распределенными параметрами [9], общее время процесса нагрева t 0 MathType@MTEF@5@5@+= feaahGart1ev3aqatCvAUfeBSjuyZL2yd9gzLbvyNv2CaerbuLwBLn hiov2DGi1BTfMBaeXatLxBI9gBaerbd9wDYLwzYbItLDharqqtubsr 4rNCHbGeaGqiFCI8FfYhNqFD0xXdHaVhbbf9v8qqaqFr0xc9pk0xbb a9q8WqFfea0=yr0RYxir=Jbba9q8aq0=yq=He9q8qqQ8frFve9Fve9 Ff0dmeaabiqaciaacaGaaeqabaWaaeaaeaaakeaacaWG0bWaaWbaaS qabeaacaaIWaaaaaaa@3806@  в задаче минимизации окалины считается заранее известным. Отсюда очевидно, что для достижения минимально возможного количества окалины температура поверхности заготовки θ пов MathType@MTEF@5@5@+= feaahGart1ev3aaatCvAUfeBSjuyZL2yd9gzLbvyNv2CaerbuLwBLn hiov2DGi1BTfMBaeXatLxBI9gBaerbd9wDYLwzYbItLDharqqtubsr 4rNCHbGeaGqiFCI8FfYhNqFD0xXdHaVhbbf9v8qqaqFr0xc9pk0xbb a9q8WqFfea0=yr0RYxir=Jbba9q8aq0=yq=He9q8qqQ8frFve9Fve9 Ff0dmeaabiqaciaacaGaaeqabaWaaeaaeaaakeaacqaH4oqCdaWgaa WcbaGaae4peiaab6dbcaqGYqaabeaaaaa@3A4B@  должна, с одной стороны, как можно меньше отклоняться от температуры начала интенсивного окалинообразования θ q MathType@MTEF@5@5@+= feaahGart1ev3aaatCvAUfeBSjuyZL2yd9gzLbvyNv2CaerbuLwBLn hiov2DGi1BTfMBaeXatLxBI9gBaerbd9wDYLwzYbItLDharqqtubsr 4rNCHbGeaGqiFCI8FfYhNqFD0xXdHaVhbbf9v8qqaqFr0xc9pk0xbb a9q8WqFfea0=yr0RYxir=Jbba9q8aq0=yq=He9q8qqQ8frFve9Fve9 Ff0dmeqabiqaciaacaGaaeqabaWaaeaaeaaakeaacqaH4oqCdaWgaa WcbaGaamyCaaqabaaaaa@38FE@ , а с другой MathType@MTEF@5@5@+= feaahGart1ev3aqatCvAUfeBSjuyZL2yd9gzLbvyNv2Caerbov2D09 MBdbqedmvETj2BSbqeduuDJXwAKbYu51MyVXgarqqr1ngBPrgifHhD YfgasaacH8srps0lbbf9q8WrFfeuY=Hhbbf9v8qqaqFr0xc9pk0xbb a9q8WqFfea0=yr0RYxir=Jbba9q8aq0=yq=He9q8qqQ8frFve9Fve9 Ff0dmeaabaqaciaacaWaaeqabaqabeGaeaaakeaaruWqHXwAIjxAaG qbaKqzGfaeaaaaaaaaa8qacaWFtacaaa@3A45@  обеспечивать достижение требуемых температурных кондиций (11) в конечный момент времени. Интервалы нагрева детали с максимально допустимым значением напряжения u t = u max MathType@MTEF@5@5@+= feaahGart1ev3aaatCvAUfeBSjuyZL2yd9gzLbvyNv2CaerbuLwBLn hiov2DGi1BTfMBaeXatLxBI9gBaerbd9wDYLwzYbItLDharqqtubsr 4rNCHbGeaGqiFCI8FfYhNqFD0xXdHaVhbbf9v8qqaqFr0xc9pk0xbb a9q8WqFfea0=yr0RYxir=Jbba9q8aq0=yq=He9q8qqQ8frFve9Fve9 Ff0dmeaabiqaciaacaGaaeqabaWaaeaaeaaakeaacaWG1bWaaeWaae aacaWG0baacaGLOaGaayzkaaGaeyypa0JaamyDamaaBaaaleaacaqG TbGaaeyyaiaabIhaaeqaaaaa@3E9C@ , применяемые в оптимальных по быстродействию и энергопотреблению режимах, не удовлетворяют указанным условиям, поэтому закон изменения управляющего воздействия должен иметь отличный от типового релейного характера вид.

В [2, 5] показано, что в случае, когда требуемая температура в конце процесса индукционного нагрева θ * MathType@MTEF@5@5@+= feaahGart1ev3aqatCvAUfeBSjuyZL2yd9gzLbvyNv2CaerbuLwBLn hiov2DGi1BTfMBaeXatLxBI9gBaerbd9wDYLwzYbItLDharqqtubsr 4rNCHbGeaGqiFCI8FfYhNqFD0xXdHaVhbbf9v8qqaqFr0xc9pk0xbb a9q8WqFfea0=yr0RYxir=Jbba9q8aq0=yq=He9q8qqQ8frFve9Fve9 Ff0dmeaabiqaciaacaGaaeqabaWaaeaaeaaakeaacqaH4oqCdaahaa WcbeqaaiaacQcaaaaaaa@38B7@  превышает θ q MathType@MTEF@5@5@+= feaahGart1ev3aaatCvAUfeBSjuyZL2yd9gzLbvyNv2CaerbuLwBLn hiov2DGi1BTfMBaeXatLxBI9gBaerbd9wDYLwzYbItLDharqqtubsr 4rNCHbGeaGqiFCI8FfYhNqFD0xXdHaVhbbf9v8qqaqFr0xc9pk0xbb a9q8WqFfea0=yr0RYxir=Jbba9q8aq0=yq=He9q8qqQ8frFve9Fve9 Ff0dmeqabiqaciaacaGaaeqabaWaaeaaeaaakeaacqaH4oqCdaWgaa WcbaGaamyCaaqabaaaaa@38FE@ , минимальные потери металла в окалину достигаются при изменении температуры поверхности по экспоненциальному закону:

θ пов φ =A e Bφ + θ q , MathType@MTEF@5@5@+= feaahGart1ev3aaatCvAUfeBSjuyZL2yd9gzLbvyNv2CaerbuLwBLn hiov2DGi1BTfMBaeXatLxBI9gBaerbd9wDYLwzYbItLDharqqtubsr 4rNCHbGeaGqiFCI8FfYhNqFD0xXdHaVhbbf9v8qqaqFr0xc9pk0xbb a9q8WqFfea0=yr0RYxir=Jbba9q8aq0=yq=He9q8qqQ8frFve9Fve9 Ff0dmeqabiqaciaacaGaaeqabaWaaeaaeaaakeaacqaH4oqCdaWgaa WcbaGaam4peiaad6dbcaWGYqaabeaakmaabmaabaGaeqOXdOgacaGL OaGaayzkaaGaeyypa0JaamyqaiaadwgadaahaaWcbeqaaiaadkeacq aHgpGAaaGccqGHRaWkcqaH4oqCdaWgaaWcbaGaamyCaaqabaGccaGG Saaaaa@4787@ (18)

где A MathType@MTEF@5@5@+= feaahGart1ev3aqatCvAUfeBSjuyZL2yd9gzLbvyNv2Caerbov2D09 MBdbqedmvETj2BSbqeduuDJXwAKbYu51MyVXgarqqr1ngBPrgifHhD YfgasaacH8srps0lbbf9q8WrFfeuY=Hhbbf9v8qqaqFr0xc9pk0xbb a9q8WqFfea0=yr0RYxir=Jbba9q8aq0=yq=He9q8qqQ8frFve9Fve9 Ff0dmeaabaqaciaacaWaaeqabaqabeGaeaaakeaaruWqHXwAIjxAaG qbaKqzahaeaaaaaaaaa8qacaWFtacaaa@3AA5@  определяемая начальной температурой константа ( A>0 MathType@MTEF@5@5@+= feaahGart1ev3aqatCvAUfeBSjuyZL2yd9gzLbvyNv2CaerbuLwBLn hiov2DGi1BTfMBaeXatLxBI9gBaerbd9wDYLwzYbItLDharqqtubsr 4rNCHbGeaGqiFCI8FfYhNqFD0xXdHaVhbbf9v8qqaqFr0xc9pk0xbb a9q8WqFfea0=yr0RYxir=Jbba9q8aq0=yq=He9q8qqQ8frFve9Fve9 Ff0dmeaabiqaciaacaGaaeqabaWaaeaaeaaakeaacaWGbbGaeyOpa4 JaaGimaaaa@38AE@ ); B MathType@MTEF@5@5@+= feaahGart1ev3aqatCvAUfeBSjuyZL2yd9gzLbvyNv2Caerbov2D09 MBdbqedmvETj2BSbqeduuDJXwAKbYu51MyVXgarqqr1ngBPrgifHhD YfgasaacH8srps0lbbf9q8WrFfeuY=Hhbbf9v8qqaqFr0xc9pk0xbb a9q8WqFfea0=yr0RYxir=Jbba9q8aq0=yq=He9q8qqQ8frFve9Fve9 Ff0dmeaabaqaciaacaWaaeqabaqabeGaeaaakeaaruWqHXwAIjxAaG qbaKqzGfaeaaaaaaaaa8qacaWFtacaaa@3A45@  определяемая известными параметрами модели константа ( B>0 MathType@MTEF@5@5@+= feaahGart1ev3aqatCvAUfeBSjuyZL2yd9gzLbvyNv2CaerbuLwBLn hiov2DGi1BTfMBaeXatLxBI9gBaerbd9wDYLwzYbItLDharqqtubsr 4rNCHbGeaGqiFCI8FfYhNqFD0xXdHaVhbbf9v8qqaqFr0xc9pk0xbb a9q8WqFfea0=yr0RYxir=Jbba9q8aq0=yq=He9q8qqQ8frFve9Fve9 Ff0dmeaabiqaciaacaGaaeqabaWaaeaaeaaakeaacaWGcbGaeyOpa4 JaaGimaaaa@38AF@ ).

Согласно теории оптимального управления системами с распределенными параметрами, оптимальное по критерию быстродействия (12) и минимума энергопотребления (13) управление u * t MathType@MTEF@5@5@+= feaahGart1ev3aaatCvAUfeBSjuyZL2yd9gzLbvyNv2CaerbuLwBLn hiov2DGi1BTfMBaeXatLxBI9gBaerbd9wDYLwzYbItLDharqqtubsr 4rNCHbGeaGqiFCI8FfYhNqFD0xXdHaVhbbf9v8qqaqFr0xc9pk0xbb a9q8WqFfea0=yr0RYxir=Jbba9q8aq0=yq=He9q8qqQ8frFve9Fve9 Ff0dmeaabiqaciaacaGaaeqabaWaaeaaeaaakeaacaWG1bWaaWbaaS qabeaacaGGQaaaaOWaaeWaaeaacaWG0baacaGLOaGaayzkaaaaaa@3A86@  процессом индукционного нагрева представляет собой релейную функцию, то есть кусочно-постоянную функцию времени, попеременно принимающую свои предельно допустимые, согласно ограничению (10), значения.

Ввиду ряда условий, подробно описанных в [5], обеспечить изменение температуры поверхности по закону (18) в течение всего процесса нагрева, используя типовые релейные алгоритмы управления, невозможно. Однако достаточно изменить управляющее воздействие не на всем интервале t 0; t 0 MathType@MTEF@5@5@+= feaahGart1ev3aaatCvAUfeBSjuyZL2yd9gzLbvyNv2CaerbuLwBLn hiov2DGi1BTfMBaeXatLxBI9gBaerbd9wDYLwzYbItLDharqqtubsr 4rNCHbGeaGqiFCI8FfYhNqFD0xXdHaVhbbf9v8qqaqFr0xc9pk0xbb a9q8WqFfea0=yr0RYxir=Jbba9q8aq0=yq=He9q8qqQ8frFve9Fve9 Ff0dmeaabiqaciaacaGaaeqabaWaaeaaeaaakeaacaWG0bGaeyicI4 8aamWaaeaacaaIWaGaai4oaiaadshadaahaaWcbeqaaiaaicdaaaaa kiaawUfacaGLDbaaaaa@3DF7@ , а лишь на так называемом особом участке, на котором температура поверхности превышает температуру интенсивного окалинообразования. При этом нагрев детали до θ пов =A+ θ q MathType@MTEF@5@5@+= feaahGart1ev3aaatCvAUfeBSjuyZL2yd9gzLbvyNv2CaerbuLwBLn hiov2DGi1BTfMBaeXatLxBI9gBaerbd9wDYLwzYbItLDharqqtubsr 4rNCHbGeaGqiFCI8FfYhNqFD0xXdHaVhbbf9v8qqaqFr0xc9pk0xbb a9q8WqFfea0=yr0RYxir=Jbba9q8aq0=yq=He9q8qqQ8frFve9Fve9 Ff0dmeqabiqaciaacaGaaeqabaWaaeaaeaaakeaacqaH4oqCdaWgaa WcbaGaam4peiaad6dbcaWGYqaabeaakiabg2da9iaadgeacqGHRaWk cqaH4oqCdaWgaaWcbaGaamyCaaqabaaaaa@3FE2@  на первом интервале управления осуществляется при максимально допустимом значении управляющего воздействия, как и в случае задачи оптимального быстродействия. Таким образом, алгоритм управления в рассматриваемой задаче при заранее известном времени t 0 MathType@MTEF@5@5@+= feaahGart1ev3aaatCvAUfeBSjuyZL2yd9gzLbvyNv2CaerbuLwBLn hiov2DGi1BTfMBaeXatLxBI9gBaerbd9wDYLwzYbItLDharqqtubsr 4rNCHbGeaGqiFCI8FfYhNqFD0xXdHaVhbbf9v8qqaqFr0xc9pk0xbb a9q8WqFfea0=yr0RYxir=Jbba9q8aq0=yq=He9q8qqQ8frFve9Fve9 Ff0dmeqabiqaciaacaGaaeqabaWaaeaaeaaakeaacaWG0bWaaWbaaS qabeaacaaIWaaaaaaa@3806@  представляет собой кусочно-непрерывную функцию следующего вида:

u * t = u max ,0t< t н ; u ос t , t н t t к ; 0, t к t t 0 , MathType@MTEF@5@5@+= feaahGart1ev3aaatCvAUfeBSjuyZL2yd9gzLbvyNv2CaerbuLwBLn hiov2DGi1BTfMBaeXatLxBI9gBaerbd9wDYLwzYbItLDharqqtubsr 4rNCHbGeaGqiFCI8FfYhNqFD0xXdHaVhbbf9v8qqaqFr0xc9pk0xbb a9q8WqFfea0=yr0RYxir=Jbba9q8aq0=yq=He9q8qqQ8frFve9Fve9 Ff0dmeaabiqaciaacaGaaeqabaWaaeaaeaaakeaacaWG1bWaaWbaaS qabeaacaGGQaaaaOWaaeWaaeaacaWG0baacaGLOaGaayzkaaGaeyyp a0ZaaiqaaqaabeqaaiaadwhadaWgaaWcbaGaaeyBaiaabggacaqG4b aabeaakiaacYcacaaMe8UaaGimaiabgsMiJkaadshacqGH8aapcaWG 0bWaaSbaaSqaaiaab2dbaeqaaOGaai4oaaqaaiaadwhadaWgaaWcba GaaeOpeiaabgebaeqaaOWaaeWaaeaacaWG0baacaGLOaGaayzkaaGa aiilaiaadshadaWgaaWcbaGaaeypeaqabaGccqGHKjYOcaWG0bGaey izImQaamiDamaaBaaaleaacaqG6qaabeaakiaacUdaaeaacaaIWaGa aiilaiaaysW7caaMe8UaamiDamaaBaaaleaacaqG6qaabeaakiabgs MiJkaadshacqGHKjYOcaWG0bWaaWbaaSqabeaacaaIWaaaaOGaaiil aaaacaGL7baaaaa@666D@ (19)

где u ос t MathType@MTEF@5@5@+= feaahGart1ev3aaatCvAUfeBSjuyZL2yd9gzLbvyNv2CaerbuLwBLn hiov2DGi1BTfMBaeXatLxBI9gBaerbd9wDYLwzYbItLDharqqtubsr 4rNCHbGeaGqiFCI8FfYhNqFD0xXdHaVhbbf9v8qqaqFr0xc9pk0xbb a9q8WqFfea0=yr0RYxir=Jbba9q8aq0=yq=He9q8qqQ8frFve9Fve9 Ff0dmeaabiqaciaacaGaaeqabaWaaeaaeaaakeaacaWG1bWaaSbaaS qaaiaab6dbcaqGbraabeaakmaabmaabaGaamiDaaGaayjkaiaawMca aaaa@3B64@   MathType@MTEF@5@5@+= feaahGart1ev3aqatCvAUfeBSjuyZL2yd9gzLbvyNv2Caerbov2D09 MBdbqedmvETj2BSbqeduuDJXwAKbYu51MyVXgarqqr1ngBPrgifHhD YfgasaacH8srps0lbbf9q8WrFfeuY=Hhbbf9v8qqaqFr0xc9pk0xbb a9q8WqFfea0=yr0RYxir=Jbba9q8aq0=yq=He9q8qqQ8frFve9Fve9 Ff0dmeaabaqaciaacaWaaeqabaqabeGaeaaakeaaruWqHXwAIjxAaG qbaKqzahaeaaaaaaaaa8qacaWFtacaaa@3AA5@  управление на особом участке t н ; t к MathType@MTEF@5@5@+= feaahGart1ev3aaatCvAUfeBSjuyZL2yd9gzLbvyNv2CaerbuLwBLn hiov2DGi1BTfMBaeXatLxBI9gBaerbd9wDYLwzYbItLDharqqtubsr 4rNCHbGeaGqiFCI8FfYhNqFD0xXdHaVhbbf9v8qqaqFr0xc9pk0xbb a9q8WqFfea0=yr0RYxir=Jbba9q8aq0=yq=He9q8qqQ8frFve9Fve9 Ff0dmeaabiqaciaacaGaaeqabaWaaeaaeaaakeaadaWadaqaaiaads hadaWgaaWcbaGaaeypeaqabaGccaGG7aGaamiDamaaBaaaleaacaqG 6qaabeaaaOGaay5waiaaw2faaaaa@3CB9@ .

Наличие в программе управления особого участка значительно усложняет задачу поиска оптимального по окалинообразованию управления. В [5] показано, что выражение для функции u ос t MathType@MTEF@5@5@+= feaahGart1ev3aaatCvAUfeBSjuyZL2yd9gzLbvyNv2CaerbuLwBLn hiov2DGi1BTfMBaeXatLxBI9gBaerbd9wDYLwzYbItLDharqqtubsr 4rNCHbGeaGqiFCI8FfYhNqFD0xXdHaVhbbf9v8qqaqFr0xc9pk0xbb a9q8WqFfea0=yr0RYxir=Jbba9q8aq0=yq=He9q8qqQ8frFve9Fve9 Ff0dmeaabiqaciaacaGaaeqabaWaaeaaeaaakeaacaWG1bWaaSbaaS qaaiaab6dbcaqGbraabeaakmaabmaabaGaamiDaaGaayjkaiaawMca aaaa@3B64@ , которое выводится на основе закона (18), зависит от ряда коэффициентов, рассчитываемых на базе аналитической модели процесса. При этом анализ результатов решения задачи с использованием аналитической модели показывает, что экспонента на особом участке управляющего воздействия возрастает медленно и может быть аппроксимирована прямой без существенной потери точности. Поэтому с целью упрощения оптимизационной процедуры целесообразно рассмотреть алгоритм управления с заданным постоянным напряжением на особом участке u ос =const MathType@MTEF@5@5@+= feaahGart1ev3aaatCvAUfeBSjuyZL2yd9gzLbvyNv2CaerbuLwBLn hiov2DGi1BTfMBaeXatLxBI9gBaerbd9wDYLwzYbItLDharqqtubsr 4rNCHbGeaGqiFCI8FfYhNqFD0xXdHaVhbbf9v8qqaqFr0xc9pk0xbb a9q8WqFfea0=yr0RYxir=Jbba9q8aq0=yq=He9q8qqQ8frFve9Fve9 Ff0dmeaabiqaciaacaGaaeqabaWaaeaaeaaakeaacaWG1bWaaSbaaS qaaiaab6dbcaqGbraabeaakiabg2da9iaabogacaqGVbGaaeOBaiaa bohacaqG0baaaa@3E9E@ , u ос < u max MathType@MTEF@5@5@+= feaahGart1ev3aaatCvAUfeBSjuyZL2yd9gzLbvyNv2CaerbuLwBLn hiov2DGi1BTfMBaeXatLxBI9gBaerbd9wDYLwzYbItLDharqqtubsr 4rNCHbGeaGqiFCI8FfYhNqFD0xXdHaVhbbf9v8qqaqFr0xc9pk0xbb a9q8WqFfea0=yr0RYxir=Jbba9q8aq0=yq=He9q8qqQ8frFve9Fve9 Ff0dmeaabiqaciaacaGaaeqabaWaaeaaeaaakeaacaWG1bWaaSbaaS qaaiaab6dbcaqGbraabeaakiabgYda8iaadwhadaWgaaWcbaGaaeyB aiaabggacaqG4baabeaaaaa@3DDB@ . Таким образом, при известных значениях u max MathType@MTEF@5@5@+= feaahGart1ev3aaatCvAUfeBSjuyZL2yd9gzLbvyNv2CaerbuLwBLn hiov2DGi1BTfMBaeXatLxBI9gBaerbd9wDYLwzYbItLDharqqtubsr 4rNCHbGeaGqiFCI8FfYhNqFD0xXdHaVhbbf9v8qqaqFr0xc9pk0xbb a9q8WqFfea0=yr0RYxir=Jbba9q8aq0=yq=He9q8qqQ8frFve9Fve9 Ff0dmeaabiqaciaacaGaaeqabaWaaeaaeaaakeaacaWG1bWaaSbaaS qaaiaab2gacaqGHbGaaeiEaaqabaaaaa@3A1A@ , u ос MathType@MTEF@5@5@+= feaahGart1ev3aaatCvAUfeBSjuyZL2yd9gzLbvyNv2CaerbuLwBLn hiov2DGi1BTfMBaeXatLxBI9gBaerbd9wDYLwzYbItLDharqqtubsr 4rNCHbGeaGqiFCI8FfYhNqFD0xXdHaVhbbf9v8qqaqFr0xc9pk0xbb a9q8WqFfea0=yr0RYxir=Jbba9q8aq0=yq=He9q8qqQ8frFve9Fve9 Ff0dmeaabiqaciaacaGaaeqabaWaaeaaeaaakeaacaWG1bWaaSbaaS qaaiaab6dbcaqGbraabeaaaaa@38D8@ , t 0 MathType@MTEF@5@5@+= feaahGart1ev3aaatCvAUfeBSjuyZL2yd9gzLbvyNv2CaerbuLwBLn hiov2DGi1BTfMBaeXatLxBI9gBaerbd9wDYLwzYbItLDharqqtubsr 4rNCHbGeaGqiFCI8FfYhNqFD0xXdHaVhbbf9v8qqaqFr0xc9pk0xbb a9q8WqFfea0=yr0RYxir=Jbba9q8aq0=yq=He9q8qqQ8frFve9Fve9 Ff0dmeaabiqaciaacaGaaeqabaWaaeaaeaaakeaacaWG0bWaaWbaaS qabeaacaaIWaaaaaaa@3805@  управляющее воздействие u * t MathType@MTEF@5@5@+= feaahGart1ev3aaatCvAUfeBSjuyZL2yd9gzLbvyNv2CaerbuLwBLn hiov2DGi1BTfMBaeXatLxBI9gBaerbd9wDYLwzYbItLDharqqtubsr 4rNCHbGeaGqiFCI8FfYhNqFD0xXdHaVhbbf9v8qqaqFr0xc9pk0xbb a9q8WqFfea0=yr0RYxir=Jbba9q8aq0=yq=He9q8qqQ8frFve9Fve9 Ff0dmeaabiqaciaacaGaaeqabaWaaeaaeaaakeaacaWG1bWaaWbaaS qabeaacaGGQaaaaOWaaeWaaeaacaWG0baacaGLOaGaayzkaaaaaa@3A86@  оказывается параметризованным, т. е. заданным с точностью до значения параметров t н MathType@MTEF@5@5@+= feaahGart1ev3aaatCvAUfeBSjuyZL2yd9gzLbvyNv2CaerbuLwBLn hiov2DGi1BTfMBaeXatLxBI9gBaerbd9wDYLwzYbItLDharqqtubsr 4rNCHbGeaGqiFCI8FfYhNqFD0xXdHaVhbbf9v8qqaqFr0xc9pk0xbb a9q8WqFfea0=yr0RYxir=Jbba9q8aq0=yq=He9q8qqQ8frFve9Fve9 Ff0dmeaabiqaciaacaGaaeqabaWaaeaaeaaakeaacaWG0bWaaSbaaS qaaiaab2dbaeqaaaaa@380E@ , t к MathType@MTEF@5@5@+= feaahGart1ev3aaatCvAUfeBSjuyZL2yd9gzLbvyNv2CaerbuLwBLn hiov2DGi1BTfMBaeXatLxBI9gBaerbd9wDYLwzYbItLDharqqtubsr 4rNCHbGeaGqiFCI8FfYhNqFD0xXdHaVhbbf9v8qqaqFr0xc9pk0xbb a9q8WqFfea0=yr0RYxir=Jbba9q8aq0=yq=He9q8qqQ8frFve9Fve9 Ff0dmeaabiqaciaacaGaaeqabaWaaeaaeaaakeaacaWG0bWaaSbaaS qaaiaabQdbaeqaaaaa@380B@ , и тем самым исходная задача оптимального управления редуцируется к задаче математического программирования (ЗМП). Полученная ЗМП на минимум функционала качества (14) в условиях ограничений вида (11) принимает вид:

I= 0 φ 0 f θ пов t н , t к dφ min t н , t к , max r[0,R] l=L/2 T r,l, t н , t к T * ε min 2 . MathType@MTEF@5@5@+= feaahGart1ev3aaatCvAUfeBSjuyZL2yd9gzLbvyNv2CaerbuLwBLn hiov2DGi1BTfMBaeXatLxBI9gBaerbd9wDYLwzYbItLDharqqtubsr 4rNCHbGeaGqiFCI8FfYhNqFD0xXdHaVhbbf9v8qqaqFr0xc9pk0xbb a9q8WqFfea0=yr0RYxir=Jbba9q8aq0=yq=He9q8qqQ8frFve9Fve9 Ff0dmeqabiqaciaacaGaaeqabaWaaeaaeaaakeaadaGabaabaeqaba Gaamysaiabg2da9maapehabaGaamOzamaabmaabaGaeqiUde3aaSba aSqaaiaad+dbcaWG+qGaamOmeaqabaGcdaqadaqaaiaadshadaWgaa WcbaGaamypeaqabaGccaGGSaGaamiDamaaBaaaleaacaWG6qaabeaa aOGaayjkaiaawMcaaaGaayjkaiaawMcaaiaadsgacqaHgpGAaSqaai aaicdaaeaacqaHgpGAdaahaaadbeqaaiaaicdaaaaaniabgUIiYdGc cqGHsgIRdaWfqaqaaiaab2gacaqGPbGaaeOBaaWcbaGaamiDamaaBa aameaacaWG9qaabeaaliaacYcacaWG0bWaaSbaaWqaaiaadQdbaeqa aaWcbeaakiaabYcaaeaadaWfqaqaaiaab2gacaqGHbGaaeiEaaWcea qabeaacaWGYbGaeyicI4Saae4waiaabcdacaqGSaGaaGzaVlaaygW7 caaMc8UaamOuaiaab2faaeaacaWGSbGaeyypa0ZaaSGbaeaacaWGmb aabaGaaGOmaaaaaaqabaGcdaabdaqaaiaadsfadaqadaqaaiaadkha caGGSaGaamiBaiaacYcacaWG0bWaaSbaaSqaaiaad2dbaeqaaOGaai ilaiaadshadaWgaaWcbaGaamOoeaqabaaakiaawIcacaGLPaaacqGH sislcaWGubWaaWbaaSqabeaacaGGQaaaaaGccaGLhWUaayjcSdGaey izImQaeqyTdu2aa0baaSqaaiGac2gacaGGPbGaaiOBaaqaamaabmaa baGaaGOmaaGaayjkaiaawMcaaaaakiaac6caaaGaay5Eaaaaaa@83D2@ (20)

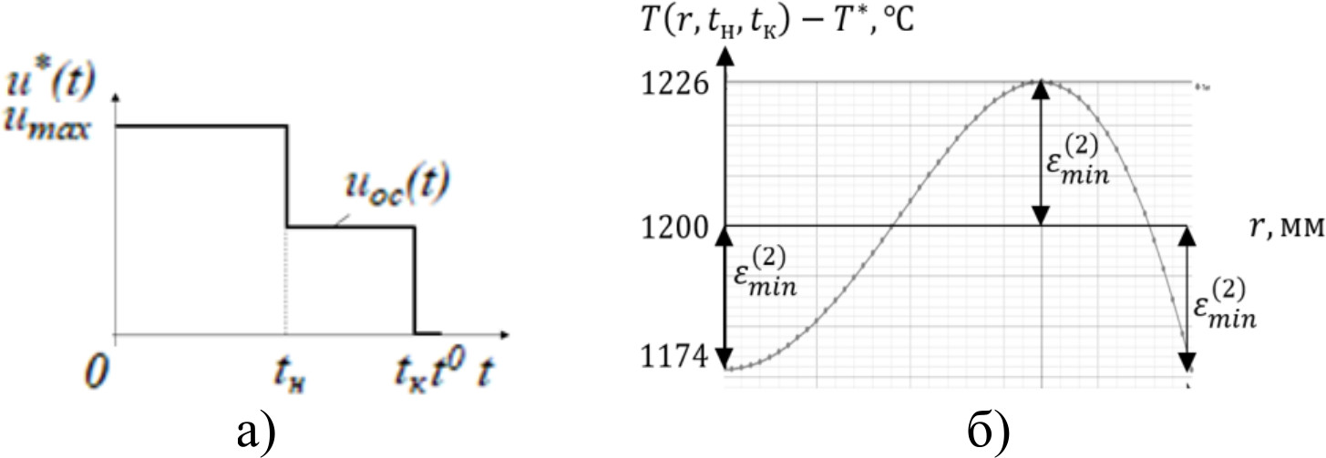
Согласно альтернансному методу, число N оптимизируемых параметров алгоритма управления в ЗМП (20) однозначным образом связано с предельно достижимым значением точности нагрева ε min (N) MathType@MTEF@5@5@+= feaahGart1ev3aaatCvAUfeBSjuyZL2yd9gzLbvyNv2CaerbuLwBLn hiov2DGi1BTfMBaeXatLxBI9gBaerbd9wDYLwzYbItLDharqqtubsr 4rNCHbGeaGqiFCI8FfYhNqFD0xXdHaVhbbf9v8qqaqFr0xc9pk0xbb a9q8WqFfea0=yr0RYxir=Jbba9q8aq0=yq=He9q8qqQ8frFve9Fve9 Ff0dmeaabeqaciGacaGaaeqabaWaaeaaeaaakeaacqaH1oqzdaqhaa WcbaGaciyBaiaacMgacaGGUbaabaGaaiikaiaad6eacaGGPaaaaaaa @3CF8@  в классе рассматриваемых управляющих воздействий. Согласно (19), оптимизируемыми параметрами являются t н MathType@MTEF@5@5@+= feaahGart1ev3aaatCvAUfeBSjuyZL2yd9gzLbvyNv2CaerbuLwBLn hiov2DGi1BTfMBaeXatLxBI9gBaerbd9wDYLwzYbItLDharqqtubsr 4rNCHbGeaGqiFCI8FfYhNqFD0xXdHaVhbbf9v8qqaqFr0xc9pk0xbb a9q8WqFfea0=yr0RYxir=Jbba9q8aq0=yq=He9q8qqQ8frFve9Fve9 Ff0dmeaabiqaciaacaGaaeqabaWaaeaaeaaakeaacaWG0bWaaSbaaS qaaiaab2dbaeqaaaaa@380E@ , t к MathType@MTEF@5@5@+= feaahGart1ev3aaatCvAUfeBSjuyZL2yd9gzLbvyNv2CaerbuLwBLn hiov2DGi1BTfMBaeXatLxBI9gBaerbd9wDYLwzYbItLDharqqtubsr 4rNCHbGeaGqiFCI8FfYhNqFD0xXdHaVhbbf9v8qqaqFr0xc9pk0xbb a9q8WqFfea0=yr0RYxir=Jbba9q8aq0=yq=He9q8qqQ8frFve9Fve9 Ff0dmeaabiqaciaacaGaaeqabaWaaeaaeaaakeaacaWG0bWaaSbaaS qaaiaabQdbaeqaaaaa@380B@ , т. е. N=2 MathType@MTEF@5@5@+= feaahGart1ev3aqatCvAUfeBSjuyZL2yd9gzLbvyNv2CaerbuLwBLn hiov2DGi1BTfMBaeXatLxBI9gBaerbd9wDYLwzYbItLDharqqtubsr 4rNCHbGeaGqiFCI8FfYhNqFD0xXdHaVhbbf9v8qqaqFr0xc9pk0xbb a9q8WqFfea0=yr0RYxir=Jbba9q8aq0=yq=He9q8qqQ8frFve9Fve9 Ff0dmeaabiqaciaacaGaaeqabaWaaeaaeaaakeaacaWGobGaeyypa0 JaaGOmaaaa@38BB@ , а точность нагрева ε min (2) MathType@MTEF@5@5@+= feaahGart1ev3aaatCvAUfeBSjuyZL2yd9gzLbvyNv2CaerbuLwBLn hiov2DGi1BTfMBaeXatLxBI9gBaerbd9wDYLwzYbItLDharqqtubsr 4rNCHbGeaGqiFCI8FfYhNqFD0xXdHaVhbbf9v8qqaqFr0xc9pk0xbb a9q8WqFfea0=yr0RYxir=Jbba9q8aq0=yq=He9q8qqQ8frFve9Fve9 Ff0dmeaabeqaciGacaGaaeqabaWaaeaaeaaakeaacqaH1oqzdaqhaa WcbaGaciyBaiaacMgacaGGUbaabaGaaiikaiaaikdacaGGPaaaaaaa @3CE1@  представляет минимально возможное, достижимое в классе двухпараметрических управлений отклонение температуры от требуемого значения, оцениваемое в равномерной метрике.

Согласно теории альтернансного метода, результирующее температурное распределение по центральному сечению заготовки в конце оптимального процесса имеет N+1=3 MathType@MTEF@5@5@+= feaahGart1ev3aqatCvAUfeBSjuyZL2yd9gzLbvyNv2CaerbuLwBLn hiov2DGi1BTfMBaeXatLxBI9gBaerbd9wDYLwzYbItLDharqqtubsr 4rNCHbGeaGqiFCI8FfYhNqFD0xXdHaVhbbf9v8qqaqFr0xc9pk0xbb a9q8WqFfea0=yr0RYxir=Jbba9q8aq0=yq=He9q8qqQ8frFve9Fve9 Ff0dmeaabiqaciaacaGaaeqabaWaaeaaeaaakeaacaWGobGaey4kaS IaaGymaiabg2da9iaaiodaaaa@3A59@  точки с максимальным отклонением температуры от требуемого значения, равным ε min (2) MathType@MTEF@5@5@+= feaahGart1ev3aaatCvAUfeBSjuyZL2yd9gzLbvyNv2CaerbuLwBLn hiov2DGi1BTfMBaeXatLxBI9gBaerbd9wDYLwzYbItLDharqqtubsr 4rNCHbGeaGqiFCI8FfYhNqFD0xXdHaVhbbf9v8qqaqFr0xc9pk0xbb a9q8WqFfea0=yr0RYxir=Jbba9q8aq0=yq=He9q8qqQ8frFve9Fve9 Ff0dmeaabeqaciGacaGaaeqabaWaaeaaeaaakeaacqaH1oqzdaqhaa WcbaGaciyBaiaacMgacaGGUbaabaGaaiikaiaaikdacaGGPaaaaaaa @3CE1@  (рис. 1). Очевидно, что второй экстремум по температуре достигается в некоторой внутренней точке радиального сечения, координата которой является дополнительной неизвестной, для отыскания которой можно использовать необходимые условия существования экстремума. Таким образом, зная форму температурной кривой (см. рис. 1), можно сформировать систему уравнений, которая оказывается замкнутой относительно всех неизвестных процесса, к которым относятся t н MathType@MTEF@5@5@+= feaahGart1ev3aaatCvAUfeBSjuyZL2yd9gzLbvyNv2CaerbuLwBLn hiov2DGi1BTfMBaeXatLxBI9gBaerbd9wDYLwzYbItLDharqqtubsr 4rNCHbGeaGqiFCI8FfYhNqFD0xXdHaVhbbf9v8qqaqFr0xc9pk0xbb a9q8WqFfea0=yr0RYxir=Jbba9q8aq0=yq=He9q8qqQ8frFve9Fve9 Ff0dmeaabiqaciaacaGaaeqabaWaaeaaeaaakeaacaWG0bWaaSbaaS qaaiaab2dbaeqaaaaa@380E@ , t к MathType@MTEF@5@5@+= feaahGart1ev3aaatCvAUfeBSjuyZL2yd9gzLbvyNv2CaerbuLwBLn hiov2DGi1BTfMBaeXatLxBI9gBaerbd9wDYLwzYbItLDharqqtubsr 4rNCHbGeaGqiFCI8FfYhNqFD0xXdHaVhbbf9v8qqaqFr0xc9pk0xbb a9q8WqFfea0=yr0RYxir=Jbba9q8aq0=yq=He9q8qqQ8frFve9Fve9 Ff0dmeaabiqaciaacaGaaeqabaWaaeaaeaaakeaacaWG0bWaaSbaaS qaaiaabQdbaeqaaaaa@380B@ , r 1 0 MathType@MTEF@5@5@+= feaahGart1ev3aaatCvAUfeBSjuyZL2yd9gzLbvyNv2CaerbuLwBLn hiov2DGi1BTfMBaeXatLxBI9gBaerbd9wDYLwzYbItLDharqqtubsr 4rNCHbGeaGqiFCI8FfYhNqFD0xXdHaVhbbf9v8qqaqFr0xc9pk0xbb a9q8WqFfea0=yr0RYxir=Jbba9q8aq0=yq=He9q8qqQ8frFve9Fve9 Ff0dmeqabiqaciaacaGaaeqabaWaaeaaeaaakeaacaWGYbWaa0baaS qaaiaaigdaaeaacaaIWaaaaaaa@38BF@ , ε min 2 MathType@MTEF@5@5@+= feaahGart1ev3aaatCvAUfeBSjuyZL2yd9gzLbvyNv2CaerbuLwBLn hiov2DGi1BTfMBaeXatLxBI9gBaerbd9wDYLwzYbItLDharqqtubsr 4rNCHbGeaGqiFCI8FfYhNqFD0xXdHaVhbbf9v8qqaqFr0xc9pk0xbb a9q8WqFfea0=yr0RYxir=Jbba9q8aq0=yq=He9q8qqQ8frFve9Fve9 Ff0dmeaabiqaciaacaGaaeqabaWaaeaaeaaakeaacqaH1oqzdaqhaa WcbaGaaeyBaiaabMgacaqGUbaabaWaaeWaaeaacaaIYaaacaGLOaGa ayzkaaaaaaaa@3D0B@ :

T 0, t н , t к T * = ε min 2 ; T r 1 0 , t н , t к T * = ε min 2 ; T R, t н , t к T * = ε min 2 ; T r 1 0 , t н , t к T * r =0. MathType@MTEF@5@5@+= feaahGart1ev3aaatCvAUfeBSjuyZL2yd9gzLbvyNv2CaerbuLwBLn hiov2DGi1BTfMBaeXatLxBI9gBaerbd9wDYLwzYbItLDharqqtubsr 4rNCHbGeaGqiFCI8FfYhNqFD0xXdHaVhbbf9v8qqaqFr0xc9pk0xbb a9q8WqFfea0=yr0RYxir=Jbba9q8aq0=yq=He9q8qqQ8frFve9Fve9 Ff0dmeaabiqaciaacaGaaeqabaWaaeaaeaaakeaadaGabaabaeqaba GaamivamaabmaabaGaaGimaiaacYcacaWG0bWaaSbaaSqaaiaad2db aeqaaOGaaiilaiaadshadaWgaaWcbaGaamOoeaqabaaakiaawIcaca GLPaaacqGHsislcaWGubWaaWbaaSqabeaacaGGQaaaaOGaeyypa0Ja eyOeI0IaeqyTdu2aa0baaSqaaiaab2gacaqGPbGaaeOBaaqaamaabm aabaGaaGOmaaGaayjkaiaawMcaaaaakiaacUdaaeaacaWGubWaaeWa aeaacaWGYbWaa0baaSqaaiaaigdaaeaacaaIWaaaaOGaaiilaiaads hadaWgaaWcbaGaamypeaqabaGccaGGSaGaamiDamaaBaaaleaacaWG 6qaabeaaaOGaayjkaiaawMcaaiabgkHiTiaadsfadaahaaWcbeqaai aacQcaaaGccqGH9aqpcqaH1oqzdaqhaaWcbaGaaeyBaiaabMgacaqG UbaabaWaaeWaaeaacaaIYaaacaGLOaGaayzkaaaaaOGaai4oaaqaai aadsfadaqadaqaaiaadkfacaGGSaGaamiDamaaBaaaleaacaWG9qaa beaakiaacYcacaWG0bWaaSbaaSqaaiaadQdbaeqaaaGccaGLOaGaay zkaaGaeyOeI0IaamivamaaCaaaleqabaGaaiOkaaaakiabg2da9iab gkHiTiabew7aLnaaDaaaleaacaqGTbGaaeyAaiaab6gaaeaadaqada qaaiaaikdaaiaawIcacaGLPaaaaaGccaGG7aaabaWaaSaaaeaacqGH ciITdaqadaqaaiaadsfadaqadaqaaiaadkhadaqhaaWcbaGaaGymaa qaaiaaicdaaaGccaGGSaGaamiDamaaBaaaleaacaWG9qaabeaakiaa cYcacaWG0bWaaSbaaSqaaiaadQdbaeqaaaGccaGLOaGaayzkaaGaey OeI0IaamivamaaCaaaleqabaGaaiOkaaaaaOGaayjkaiaawMcaaaqa aiabgkGi2kaadkhaaaGaeyypa0JaaGimaiaac6caaaGaay5Eaaaaaa@8B36@ (21)

При решении полученной системы уравнений (21) значения температуры T r,t MathType@MTEF@5@5@+= feaahGart1ev3aaatCvAUfeBSjuyZL2yd9gzLbvyNv2CaerbuLwBLn hiov2DGi1BTfMBaeXatLxBI9gBaerbd9wDYLwzYbItLDharqqtubsr 4rNCHbGeaGqiFCI8FfYhNqFD0xXdHaVhbbf9v8qqaqFr0xc9pk0xbb a9q8WqFfea0=yr0RYxir=Jbba9q8aq0=yq=He9q8qqQ8frFve9Fve9 Ff0dmeqabiqaciaacaGaaeqabaWaaeaaeaaakeaacaWGubWaaeWaae aacaWGYbGaaiilaiaadshaaiaawIcacaGLPaaaaaa@3B28@  рассчитываются с помощью численной модели, разработанной в программном пакете Altair FLUX. Решение подобной сложной нелинейной системы возможно только численными методами с помощью специализированных программных пакетов. В работе для этих целей используется подробно описанная в [10 MathType@MTEF@5@5@+= feaahGart1ev3aqatCvAUfeBSjuyZL2yd9gzLbvyNv2Caerbov2D09 MBdbqedmvETj2BSbqeduuDJXwAKbYu51MyVXgarqqr1ngBPrgifHhD YfgasaacH8srps0lbbf9q8WrFfeuY=Hhbbf9v8qqaqFr0xc9pk0xbb a9q8WqFfea0=yr0RYxir=Jbba9q8aq0=yq=He9q8qqQ8frFve9Fve9 Ff0dmeaabaqaciaacaWaaeqabaqabeGaeaaakeaaruWqHXwAIjxAaG qbaKqzGfaeaaaaaaaaa8qacaWFtacaaa@3A45@ 12] процедура оптимизации, разработанная в пакете MATLAB.

 

Рис. 1. Форма конечного температурного распределения по центральному сечению для предельно достижимой точности ε min (2) MathType@MTEF@5@5@+= feaahGart1ev3aaatCvAUfeBSjuyZL2yd9gzLbvyNv2CaerbuLwBLn hiov2DGi1BTfMBaeXatLxBI9gBaerbd9wDYLwzYbItLDharqqtubsr 4rNCHbGeaGqiFCI8FfYhNqFD0xXdHaVhbbf9v8qqaqFr0xc9pk0xbb a9q8WqFfea0=yr0RYxir=Jbba9q8aq0=yq=He9q8qqQ8frFve9Fve9 Ff0dmeaabeqaciGacaGaaeqabaWaaeaaeaaakeaacqaH1oqzdaqhaa WcbaGaaeyBaiaabMgacaqGUbaabaGaaiikaiaaikdacaGGPaaaaaaa @3CDC@

 

Результаты решения задачи оптимального по критерию минимума потерь металла в окалину управления

В качестве модели объекта управления в работе рассматривается численная двумерная модель индукционного нагрева, построенная в пакете Altair FLUX [13], верифицированная на основе экспериментальных данных, полученных на лабораторной нагревательной индукционной установке. Исходные данные для построения модели приведены в табл. 1.

Вид модели со сгенерированной конечно-элементной сеткой показан на рис. 2. Валидация разработанной модели путем сравнения результатов моделирования с экспериментальными данными приведена в [10].

Как было показано ранее, напряжение особого участка управляющего воздействия считается постоянным и принимается равным u ос =260 MathType@MTEF@5@5@+= feaahGart1ev3aaatCvAUfeBSjuyZL2yd9gzLbvyNv2CaerbuLwBLn hiov2DGi1BTfMBaeXatLxBI9gBaerbd9wDYLwzYbItLDharqqtubsr 4rNCHbGeaGqiFCI8FfYhNqFD0xXdHaVhbbf9v8qqaqFr0xc9pk0xbb a9q8WqFfea0=yr0RYxir=Jbba9q8aq0=yq=He9q8qqQ8frFve9Fve9 Ff0dmeaabiqaciaacaGaaeqabaWaaeaaeaaakeaacaWG1bWaaSbaaS qaaiaab6dbcaqGbraabeaakiabg2da9iaaikdacaaI2aGaaGimaaaa @3C1E@ В из условия изменения температуры поверхности по закону вида (18) при u max =300 MathType@MTEF@5@5@+= feaahGart1ev3aaatCvAUfeBSjuyZL2yd9gzLbvyNv2CaerbuLwBLn hiov2DGi1BTfMBaeXatLxBI9gBaerbd9wDYLwzYbItLDharqqtubsr 4rNCHbGeaGqiFCI8FfYhNqFD0xXdHaVhbbf9v8qqaqFr0xc9pk0xbb a9q8WqFfea0=yr0RYxir=Jbba9q8aq0=yq=He9q8qqQ8frFve9Fve9 Ff0dmeaabiqaciaacaGaaeqabaWaaeaaeaaakeaacaWG1bWaaSbaaS qaaiaab2gacaqGHbGaaeiEaaqabaGccqGH9aqpcaaIZaGaaGimaiaa icdaaaa@3D5B@ B, t 0 =451 MathType@MTEF@5@5@+= feaahGart1ev3aaatCvAUfeBSjuyZL2yd9gzLbvyNv2CaerbuLwBLn hiov2DGi1BTfMBaeXatLxBI9gBaerbd9wDYLwzYbItLDharqqtubsr 4rNCHbGeaGqiFCI8FfYhNqFD0xXdHaVhbbf9v8qqaqFr0xc9pk0xbb a9q8WqFfea0=yr0RYxir=Jbba9q8aq0=yq=He9q8qqQ8frFve9Fve9 Ff0dmeaabiqaciaacaGaaeqabaWaaeaaeaaakeaacaWG0bWaaWbaaS qabeaacaaIWaaaaOGaeyypa0JaaGinaiaaiwdacaaIXaaaaa@3B4D@  c. Разработанная модель электромагнитного и температурного полей в процессе ИН была интегрирована в автоматизированную процедуру оптимизации в пакете MATLAB, реализующую решение системы (21).

 

Таблица 1. Исходные данные для построения модели

Параметр

Значение

Частота питающего тока, Гц

125 000

Требуемая температура заготовки, °C

1 200

Температура окружающей среды, °C

25

Начальная температура заготовки, °C

25

Количество витков индуктора

5

Радиус заготовки, м

0.05

Длина заготовки, м

0.095

Расстояние между индуктором и заготовкой, м

0.005

Расстояние между витками индуктора, м

0.005

Геометрические размеры витка индуктора, м

0.006×0.012

Конвективный коэффициент теплоотдачи, Вт/м2×гр

2

Коэффициент теплообмена излучением, Вт/м2×гр

0,85

Максимальное напряжение источника питания, В

300

Материал заготовки

Сталь (С40) [14]

 

Рис. 2. Геометрия FLUX-модели со сгенерированной сеткой

 

В результате расчетов получены значения оптимальных параметров процесса, представленные в табл. 2. Оптимальный алгоритм управления, а также результирующее температурное распределение по радиальному сечению заготовки показаны на рис. 3.

Для анализа полученных результатов с помощью автоматизированной процедуры оптимизации были решены задачи оптимального по критериям быстродействия и минимума энергопотребления управления. Из теории альтернансного метода известно, что для предельной точности нагрева в классе задач с двумя оптимизируемыми параметрами алгоритмы управления оптимальные по быстродействию и энергопотреблению совпадают и формируют универсально-оптимальный алгоритм.

 

Таблица 2. Результаты решения задачи на минимум потерь металла в окалину

Параметр

t н MathType@MTEF@5@5@+= feaahGart1ev3aaatCvAUfeBSjuyZL2yd9gzLbvyNv2CaerbuLwBLn hiov2DGi1BTfMBaeXatLxBI9gBaerbd9wDYLwzYbItLDharqqtubsr 4rNCHbGeaGqiFCI8FfYhNqFD0xXdHaVhbbf9v8qqaqFr0xc9pk0xbb a9q8WqFfea0=yr0RYxir=Jbba9q8aq0=yq=He9q8qqQ8frFve9Fve9 Ff0dmeqabiqaciaacaGaaeqabaWaaeaaeaaakeaacaWG0bWaaSbaaS qaaiaad2dbaeqaaaaa@3811@ , с

t к MathType@MTEF@5@5@+= feaahGart1ev3aaatCvAUfeBSjuyZL2yd9gzLbvyNv2CaerbuLwBLn hiov2DGi1BTfMBaeXatLxBI9gBaerbd9wDYLwzYbItLDharqqtubsr 4rNCHbGeaGqiFCI8FfYhNqFD0xXdHaVhbbf9v8qqaqFr0xc9pk0xbb a9q8WqFfea0=yr0RYxir=Jbba9q8aq0=yq=He9q8qqQ8frFve9Fve9 Ff0dmeqabiqaciaacaGaaeqabaWaaeaaeaaakeaacaWG0bWaaSbaaS qaaiaadQdbaeqaaaaa@380E@ , с

ε min (2) MathType@MTEF@5@5@+= feaahGart1ev3aaatCvAUfeBSjuyZL2yd9gzLbvyNv2CaerbuLwBLn hiov2DGi1BTfMBaeXatLxBI9gBaerbd9wDYLwzYbItLDharqqtubsr 4rNCHbGeaGqiFCI8FfYhNqFD0xXdHaVhbbf9v8qqaqFr0xc9pk0xbb a9q8WqFfea0=yr0RYxir=Jbba9q8aq0=yq=He9q8qqQ8frFve9Fve9 Ff0dmeaabeqaciGacaGaaeqabaWaaeaaeaaakeaacqaH1oqzdaqhaa WcbaGaciyBaiaacMgacaGGUbaabaGaaiikaiaaikdacaGGPaaaaaaa @3CE1@ , °С

I MathType@MTEF@5@5@+= feaahGart1ev3aaatCvAUfeBSjuyZL2yd9gzLbvyNv2CaerbuLwBLn hiov2DGi1BTfMBaeXatLxBI9gBaerbd9wDYLwzYbItLDharqqtubsr 4rNCHbGeaGqiFCI8FfYhNqFD0xXdHaVhbbf9v8qqaqFr0xc9pk0xbb a9q8WqFfea0=yr0RYxir=Jbba9q8aq0=yq=He9q8qqQ8frFve9Fve9 Ff0dmeaabeqaciGacaGaaeqabaWaaeaaeaaakeaacaWGjbaaaa@36F4@

Значение

70

432

26

8.3·10-6

 

Рис. 3. Результаты решения задачи минимизации окалинообразования: а - алгоритм управления; б - радиальное температурное распределение

 

В табл. 3 представлены результаты решения задачи оптимального управления по критериям быстродействия и минимального потребления энергии при u max =300 MathType@MTEF@5@5@+= feaahGart1ev3aaatCvAUfeBSjuyZL2yd9gzLbvyNv2CaerbuLwBLn hiov2DGi1BTfMBaeXatLxBI9gBaerbd9wDYLwzYbItLDharqqtubsr 4rNCHbGeaGqiFCI8FfYhNqFD0xXdHaVhbbf9v8qqaqFr0xc9pk0xbb a9q8WqFfea0=yr0RYxir=Jbba9q8aq0=yq=He9q8qqQ8frFve9Fve9 Ff0dmeaabiqaciaacaGaaeqabaWaaeaaeaaakeaacaWG1bWaaSbaaS qaaiaab2gacaqGHbGaaeiEaaqabaGccqGH9aqpcaaIZaGaaGimaiaa icdaaaa@3D5B@ B. В данном случае, как показано в [5], оптимизируемыми параметрами являются длительности интервала нагрева и выравнивания температуры Δ1 и Δ2. Оптимальный алгоритм управления, а также результирующее температурное распределение по радиальному сечению заготовки показаны на рис. 4.

 

Таблица 3. Результаты решения задач оптимального быстродействия и энергопотребления

Параметр

Δ 1 MathType@MTEF@5@5@+= feaahGart1ev3aaatCvAUfeBSjuyZL2yd9gzLbvyNv2CaerbuLwBLn hiov2DGi1BTfMBaeXatLxBI9gBaerbd9wDYLwzYbItLDharqqtubsr 4rNCHbGeaGqiFCI8FfYhNqFD0xXdHaVhbbf9v8qqaqFr0xc9pk0xbb a9q8WqFfea0=yr0RYxir=Jbba9q8aq0=yq=He9q8qqQ8frFve9Fve9 Ff0dmeqabiqaciaacaGaaeqabaWaaeaaeaaakeaacqqHuoardaWgaa WcbaGaaGymaaqabaaaaa@3873@ , с

Δ 2 MathType@MTEF@5@5@+= feaahGart1ev3aaatCvAUfeBSjuyZL2yd9gzLbvyNv2CaerbuLwBLn hiov2DGi1BTfMBaeXatLxBI9gBaerbd9wDYLwzYbItLDharqqtubsr 4rNCHbGeaGqiFCI8FfYhNqFD0xXdHaVhbbf9v8qqaqFr0xc9pk0xbb a9q8WqFfea0=yr0RYxir=Jbba9q8aq0=yq=He9q8qqQ8frFve9Fve9 Ff0dmeqabiqaciaacaGaaeqabaWaaeaaeaaakeaacqqHuoardaWgaa WcbaGaaGOmaaqabaaaaa@3874@ , с

ε min (2) MathType@MTEF@5@5@+= feaahGart1ev3aaatCvAUfeBSjuyZL2yd9gzLbvyNv2CaerbuLwBLn hiov2DGi1BTfMBaeXatLxBI9gBaerbd9wDYLwzYbItLDharqqtubsr 4rNCHbGeaGqiFCI8FfYhNqFD0xXdHaVhbbf9v8qqaqFr0xc9pk0xbb a9q8WqFfea0=yr0RYxir=Jbba9q8aq0=yq=He9q8qqQ8frFve9Fve9 Ff0dmeaabeqaciGacaGaaeqabaWaaeaaeaaakeaacqaH1oqzdaqhaa WcbaGaciyBaiaacMgacaGGUbaabaGaaiikaiaaikdacaGGPaaaaaaa @3CE1@ ,°С

I MathType@MTEF@5@5@+= feaahGart1ev3aaatCvAUfeBSjuyZL2yd9gzLbvyNv2CaerbuLwBLn hiov2DGi1BTfMBaeXatLxBI9gBaerbd9wDYLwzYbItLDharqqtubsr 4rNCHbGeaGqiFCI8FfYhNqFD0xXdHaVhbbf9v8qqaqFr0xc9pk0xbb a9q8WqFfea0=yr0RYxir=Jbba9q8aq0=yq=He9q8qqQ8frFve9Fve9 Ff0dmeaabeqaciGacaGaaeqabaWaaeaaeaaakeaacaWGjbaaaa@36F4@

Значение

316

26

29

9.1*10-6

 

Анализ полученных результатов однозначно показывает, что использование алгоритма управления, оптимального по критерию минимума образования окалины, позволяет сократить на 10 % количество окисленного металла по сравнению с типовым универсально-оптимальным по критериям быстродействия и энергопотребления алгоритмом. При этом очевидно, что общее время, затраченное на нагрев, существенно выше, чем в задачах оптимального быстродействия и минимального энергопотребления. Максимальное отклонение от требуемого значения температуры по радиальному сечению заготовки в обоих случаях оказывается меньше 30 °С, что удовлетворяет требованиям производственных процессов термической обработки стали.

 

Рис. 4. Результаты решения задачи оптимального быстродействия и минимума энергопотребления: а - алгоритм управления; б - радиальное температурное распределение

 

Заключение

В работе сформулирована задача оптимального управления процессом периодического индукционного нагрева стальных цилиндрических заготовок перед последующими операциями пластической деформации по критериям быстродействия, минимального энергопотребления и минимума потерь металла в окалину. Подробно рассмотрена методика решения задачи минимизации окалины на базе альтернансного метода. Сформулированные задачи были решены с помощью специализированной оптимизационной процедуры, построенной в пакете MATLAB с интегрированной численной моделью процесса, разработанной в Altair FLUX. Проведено сравнение результатов решения задачи оптимального управления по критерию минимума окалинообразования с результатами решения задач быстродействия и энергопотребления. Применение алгоритма управления, оптимального по критерию минимального окисления, позволяет сократить на 10 % потери металла в окалину по сравнению с алгоритмом оптимальным по критериям быстродействия и энергопотребления. На следующем этапе исследований планируется сформулировать и решить многокритериальную задачу оптимального управления процессом ИН относительно всех рассмотренных в работе типовых критериев.

×

Авторлар туралы

Yu. Pleshivtseva

Samara State Technical University

Хат алмасуға жауапты Автор.
Email: yulia_pl@mail.ru

(Dr. Sci. (Techn.)), Professor, Dept. of Management and System Analysis of Thermal Power and Sociotechnical Complexes

Ресей, 244, Molodogvardeyskaya str., Samara, 443100

A. Popov

Samara State Technical University

Email: antonsam93@mail.ru

(Ph.D. (Techn.)), Associate Professor, Dept. of Management and System Analysis of Thermal Power and Sociotechnical Complexes

Ресей, 244, Molodogvardeyskaya str., Samara, 443100

D. Dadabaeva

Samara State Technical University

Email: vertyankinad02@gmail.com

Student, Dept. of Management and System Analysis of Thermal Power and Sociotechnical Complexes

Ресей, 244, Molodogvardeyskaya str., Samara, 443100

Әдебиет тізімі

  1. Vashchenko A.I., Zenkovskij A.G., Lifshic A.E. i dr. Okislenie i obezuglerozhivanie stali [Oxidation and decarbonization of steel]. M.: Metallurgiya, 1972. 336 p. (In Russian)
  2. Malyj S.A. Ekonomichnyj nagrev metalla [Economical metal heating]. M.: Metallurgiya, 1967. 191 p. (In Russian)
  3. Rapoport E.Ya. Alternansnyj metod v prikladnyh zadachah optimizacii [Alternance method in applied optimization problems]. M.: Nauka, 2000. 336 p. (In Russian)
  4. MATLAB Documentation [electronic source]. URL: https://www.mathworks.com/help/matlab/ (data obrashcheniya: 01.04.2025).
  5. Rapoport E.Ya., Pleshivceva Yu.E. Optimalnoe upravlenie temperaturnymi rezhimami indukcionnogo nagreva [Optimal control of induction heating processes]. M.: Nauka, 2012. 309 p. (In Russian)
  6. Severdenko V.P., Makushok E.M., Ravvin A.N. Okalina pri goryachej obrabotke metallov davleniem [Scale during hot metal pressure treatment]. M.: Metallurgiya, 1977. 208 p. (In Russian)
  7. Rapoport E.Ya. Optimizaciya processov indukcionnogo nagreva metalla [Optimization of induction heating processes]. M.: Metallurgiya, 1993. 279 p. (In Russian)
  8. Pleshivceva Yu.E., Popov A.V., Dyakonov A.I. Dvumernaya zadacha optimal'nogo po ti-povym kriteriyam kachestva upravleniya processom skvoznogo indukcionnogo nagreva [Two-dimensional problem of optimal with respect to typical quality criteria control of through induction heating processes] // Vestnik Samarskogo gosudarstvennogo tekhnicheskogo universiteta. Ser. Tekhnicheskie nauki. 2014. No. 2 (42). Pр. 148–163. (In Russian)
  9. Rapoport E.Ya. Optimalnoe upravlenie sistemami s raspredelennymi parametrami [Optimal control of systems with distributed parameters]. M.: Vysshaya shkola, 2009. 678 p. (In Russian)
  10. Popov A.V. Optimal'noe proektirovanie i upravlenie rezhimami indukcionnogo nagreva v processe poverhnostnoj zakalki [Optimal design and control of induction heating modes during surface quenching]: Avtoref. dis. ... kand. tekhn. nauk. Samara, 2020. 24 p. (In Russian)
  11. Popov A.V., Pleshivceva Yu.E. Programmnyj kompleks dlya optimizacii processa po-verhnostnoj zakalki stal'nyh zagotovok [Software package for optimizing the process of surface hardening of steel billets] // Vestnik Samarskogo gosudarstvennogo tekhnicheskogo universiteta. Ser. Tekhnicheskie nauki. 2021. V. 29. No. 2. Pр. 129–144. (In Russian)
  12. Pleshivtseva Yu., Rogachev G., Popov A. MATLAB-FLUX Coupling for numerical modeling in education // SHS Web of Conferences. 2016. Vol. 29. Pр. 02033. doi: 10.1051/shsconf/20162902033. EDN: WHEUKL
  13. Flux [electronic source]. URL: www.altair.com/flux/ (дата обращения: 01.04.2025).
  14. Kovka i shtampovka [Forging and stamping]: Spravochnik. V 4-h t. V. 1. Materialy i nagrev. Oborudovanie. Kovka. Pod red. E.I. Semenovа. M.: Mashinostroenie, 1985. 568 p. (In Russian)

Қосымша файлдар

Қосымша файлдар
Әрекет
1. JATS XML
2. Fig. 1. The shape of the final temperature distribution along the central section for the maximum achievable accuracy

Жүктеу (40KB)
3. Fig. 2. Geometry of the FLUX model with the generated mesh

Жүктеу (587KB)
4. Fig. 3. Results of solving the scale formation minimization problem: a control algorithm; b radial temperature distribution

Жүктеу (63KB)
5. Fig. 4. Results of solving the problem of optimal performance and minimum energy consumption: a - control algorithm; b - radial temperature distribution

Жүктеу (70KB)

© Pleshivtseva Y.E., Popov A.V., Dadabaeva D.А., 2025

Creative Commons License
Бұл мақала лицензия бойынша қолжетімді Creative Commons Attribution 4.0 International License.

Согласие на обработку персональных данных с помощью сервиса «Яндекс.Метрика»

1. Я (далее – «Пользователь» или «Субъект персональных данных»), осуществляя использование сайта https://journals.rcsi.science/ (далее – «Сайт»), подтверждая свою полную дееспособность даю согласие на обработку персональных данных с использованием средств автоматизации Оператору - федеральному государственному бюджетному учреждению «Российский центр научной информации» (РЦНИ), далее – «Оператор», расположенному по адресу: 119991, г. Москва, Ленинский просп., д.32А, со следующими условиями.

2. Категории обрабатываемых данных: файлы «cookies» (куки-файлы). Файлы «cookie» – это небольшой текстовый файл, который веб-сервер может хранить в браузере Пользователя. Данные файлы веб-сервер загружает на устройство Пользователя при посещении им Сайта. При каждом следующем посещении Пользователем Сайта «cookie» файлы отправляются на Сайт Оператора. Данные файлы позволяют Сайту распознавать устройство Пользователя. Содержимое такого файла может как относиться, так и не относиться к персональным данным, в зависимости от того, содержит ли такой файл персональные данные или содержит обезличенные технические данные.

3. Цель обработки персональных данных: анализ пользовательской активности с помощью сервиса «Яндекс.Метрика».

4. Категории субъектов персональных данных: все Пользователи Сайта, которые дали согласие на обработку файлов «cookie».

5. Способы обработки: сбор, запись, систематизация, накопление, хранение, уточнение (обновление, изменение), извлечение, использование, передача (доступ, предоставление), блокирование, удаление, уничтожение персональных данных.

6. Срок обработки и хранения: до получения от Субъекта персональных данных требования о прекращении обработки/отзыва согласия.

7. Способ отзыва: заявление об отзыве в письменном виде путём его направления на адрес электронной почты Оператора: info@rcsi.science или путем письменного обращения по юридическому адресу: 119991, г. Москва, Ленинский просп., д.32А

8. Субъект персональных данных вправе запретить своему оборудованию прием этих данных или ограничить прием этих данных. При отказе от получения таких данных или при ограничении приема данных некоторые функции Сайта могут работать некорректно. Субъект персональных данных обязуется сам настроить свое оборудование таким способом, чтобы оно обеспечивало адекватный его желаниям режим работы и уровень защиты данных файлов «cookie», Оператор не предоставляет технологических и правовых консультаций на темы подобного характера.

9. Порядок уничтожения персональных данных при достижении цели их обработки или при наступлении иных законных оснований определяется Оператором в соответствии с законодательством Российской Федерации.

10. Я согласен/согласна квалифицировать в качестве своей простой электронной подписи под настоящим Согласием и под Политикой обработки персональных данных выполнение мною следующего действия на сайте: https://journals.rcsi.science/ нажатие мною на интерфейсе с текстом: «Сайт использует сервис «Яндекс.Метрика» (который использует файлы «cookie») на элемент с текстом «Принять и продолжить».