Methods of multi-criteria optimization of technological objects: a systematic review of scientific publications for the period 2013–2023
- Authors: Zolotarev M.A.1
-
Affiliations:
- Samara State Technical University
- Issue: Vol 32, No 2 (2024)
- Pages: 25-47
- Section: Information Technology and Communications
- URL: https://ogarev-online.ru/1991-8542/article/view/265942
- DOI: https://doi.org/10.14498/tech.2024.2.2
- ID: 265942
Cite item
Full Text
Abstract
The article presents a systematic review of scientific articles devoted to applications of multi-criteria optimization methods, published in open sources in 2013-2023, conducted in accordance with the PRISMA recommendations. The main optimization methods with respect to a set of conflicting objective functions, such as energy efficiency, accuracy of achieving final states, economic feasibility, reliability of operation, compliance with environmental standards, etc. are considered. Particular attention is paid to the theoretical foundations and practical applications of these methods aimed at increasing the efficiency of technological processes and improving the quality of decisions. The main objective of the review is to analyze the current state of research in this area, to identify trends and limitations in the use of multi-criteria methods for optimization of specific technological processes and objects. The study showed that, despite significant progress in the development of the theoretical foundations of multi-criteria optimization, the number of works aimed at applying these methods to real technological problems remains limited. The article emphasizes the importance of further research and development aimed at adapting optimization methods to the specific features of technological processes. This review aims to provide a deeper understanding of current trends and issues related to the application of multi-objective optimization methods to improve technological processes, thereby contributing to the development of research in this promising area.
Full Text
Введение
Многокритериальная оптимизация (МКО) технологических объектов представляет собой актуальное междисциплинарное направление научных исследований. Разработка математических моделей, алгоритмов и методов оптимизации в этой области играет ключевую роль в успешном решении разнообразных практических задач. Интеграция методов математического моделирования, теории управления и многокритериальной оптимизации имеет существенное значение при решении конкретных прикладных задач, связанных с технологическими процессами, поскольку такой подход позволяет эффективно использовать ресурсы и стабильно поддерживать высокую эффективность функционирования объектов при снижении затрат и минимизации потерь.
В условиях возрастающих требований к эффективности и экономичности процессов, а также в связи с необходимостью поиска оптимальных решений для сложных технических систем значение данных исследований неуклонно растет. Отражением этого является заметное увеличение числа публикаций, посвященных многокритериальной оптимизации, за последние годы. На рис. 1 показана динамика роста опубликованных статей с 2013 по 2023 годы в трех наиболее авторитетных и доступных базах данных (IEEE Explore, Science Direct, Google Scholar), рассматриваемых в данном систематическом обзоре.
Рис. 1. Общее количество статей, опубликованных в 2013–2023 гг.
Для дальнейшего анализа в представленном систематическом обзоре методы многокритериальной оптимизации разделены на три основные группы (рис. 2) [1].
Рис. 2. Классификация методов многокритериальной оптимизации
Детерминированные методы оптимизации применяются для определения экстремумов целевых функций, гарантируя предсказуемость результатов, которые не подвержены случайным вариациям. Эти методы строго следуют заданным алгоритмам, что обеспечивает их воспроизводимость при повторении с идентичными входными данными. С помощью детерминированных методов особенно эффективно решаются различные задачи линейного и нелинейного программирования, в которых математические модели известны, а критерии оптимизации описываются дифференцируемыми функциями. Детерминированные методы находят широкое применение в различных сферах, включая инженерию и экономику, благодаря возможности поиска глобальных оптимальных решений с высокой точностью, в том числе в сложных и критических приложениях.
Стохастические методы многокритериальной оптимизации основаны на использовании алгоритмов, использующих случайные процессы для поиска оптимальных решений, обеспечивая более широкий охват анализируемого пространства решений. Эти методы особенно эффективны для решения широкого спектра задач, когда традиционные детерминированные методы могут быть неэффективны или неприменимы. В отличие от детерминированных методов, которые используют точные математические модели и алгоритмы для нахождения оптимального решения, стохастические методы работают с вероятностными и трудно формализуемыми моделями. К числу стохастических методов относятся эволюционные алгоритмы, роевой интеллект, алгоритмы эвристической оптимизации, методы случайного поиска и др. [2]. Стохастические методы являются мощным инструментом для решения сложных оптимизационных задач, предлагающим компромисс между точностью и вычислительной эффективностью.
Методы оптимизации с использованием искусственного интеллекта (ИИ) применяются для решения задач оптимизации, которые могут быть слишком сложными или не иметь аналитического решения с использованием традиционных методов. В последние годы наблюдается повышенный интерес к методам обучения с подкреплением (ОСП) и глубокого обучения (ГО). ОСП относится к области, связанной с обучением оптимальным стратегиям принятия решений в многокритериальных задачах, где используются такие подходы, как, например, аппроксимация функции ценности [3–5]. В свою очередь, ГО применяет нейронные сети для обучения фронта Парето в задачах МКО, особенно с входными данными высокой размерности. Алгоритмы оптимизации с использованием ИИ в отличие от детерминированных и стохастических методов способны обучаться на данных, извлекать сложные закономерности и адаптировать свои параметры для улучшения результатов оптимизации. Таким образом, методы на основе ИИ могут применяться в различных областях, таких как управление, финансы, медицина, логистика, благодаря возможности решать высокоразмерные и сложные задачи в изменяющихся условиях и при наличии неопределенности.
Методы многокритериальной оптимизации прочно закрепились в различных секторах экономики, медицине, энергетике и социальных системах. За последнее десятилетие было опубликовано значительное количество обзоров и исследований, посвященных применению МКО к широкому спектру объектов и систем. Тем не менее наблюдается явный недостаток обзоров исследований, направленных на многокритериальную оптимизацию технологических объектов и процессов.
В связи с этим цель настоящего исследования заключается в систематизации существующих знаний в области МКО, актуализации представления о текущем состоянии этого важного направления научной деятельности и выявлении наиболее эффективных методик, успешно применяемых к технологическим объектам в последние годы. Целью представленного обзора является выявление современных тенденций и проблем, связанных с применением методов многокритериальной оптимизации для совершенствования технологических объектов и процессов, что способствует развитию исследований в этой перспективной области.
Методика исследования
Систематические обзоры играют ключевую роль в синтезе научных знаний, обеспечивая всеобъемлющий анализ существующих исследований в конкретной области. Такие обзоры служат фундаментом для формирования гипотез и направлений будущих исследовательских проектов, а также способствуют решению вопросов, которые не были полностью рассмотрены в рамках единичных исследований. Для того чтобы систематический обзор обладал высокой информативностью и был востребован в научном сообществе, он должен быть строго структурирован и детализирован. Особенно важно сформулировать цели и обосновать ограничения при выборе научных источников, подробно описать методику проведения отбора и анализа публикаций, а также обобщить полученные результаты, включая классифицирующие характеристики рассмотренных исследований и выводы мета-анализа. Для структурирования и детализации систематических обзоров используют современные рекомендации по отчетности, такие как метод PRISMA (Preferred Reporting Items for Systematic Reviews and Meta-Analyses), который предоставляет исследователям руководство по созданию высококачественных систематических обзоров. Эти рекомендации помогают стандартизировать процессы составления обзоров, повышая прозрачность и повторяемость результатов, что, в свою очередь, способствует более эффективному и обоснованному использованию результатов исследований в научном сообществе.
Систематический обзор, который проводится в соответствии с рекомендациями PRISMA, должен включать 27 элементов отчетности, содержащих описание критериев включения и исключения исследований, детализацию результатов поиска источников информации, методы анализа данных, синтез результатов выбора, обобщение ключевых выводов, ограничение исследований, представление результатов в графической форме, информацию о финансировании исследований и конфликтах интересов и др. Общие положения методики PRISMA изложены в статьях [6–8].
При составлении настоящего систематического обзора применялись 15 из 27 элементов расширенного контрольного списка PRISMA: название, аннотация, обоснование, цели, критерии приемлемости, источники информации, поиск, отбор исследований, процесс сбора данных, данные, синтез результатов, характеристики исследования, результаты исследования, обсуждение, выводы. Применяемые элементы позволили сфокусировать внимание на ключевых аспектах, необходимых для формирования полноценного обзора, таких как выборка исследований, оценка их качества, анализ данных. Некоторые элементы PRISMA не использовались, поскольку они не актуальны для тематики исследования и не имеют прямого отношения к проведенному анализу.
Выбор ключевых слов
В соответствии с рекомендациями PRISMA для поиска статей в выбранных базах данных необходимо сформулировать набор ключевых слов, которые являются основополагающими при составлении выборки публикаций и определяют стратегию исследования. Ключевые слова, лежащие в основе поиска, должны быть достаточно общими, чтобы гарантировать, что ни одна статья, представляющая интерес, не будет пропущена. Однако чтобы избежать чрезмерной обобщенности и повысить точность поиска, для большинства ключевых слов использовались также их синонимы с учетом возможных альтернативных вариантов. Например, для термина «многокритериальная оптимизация» использовались ключевые слова multi-objective (многоцелевая), multi-criteria (многокритериальная) и vector (векторная) оптимизация. Для определения типа задач использовались ключевые слова: optimal control (оптимальное управление), optimal design (оптимальное проектирование), parameter optimization (параметрическая оптимизация). Для выделения объектов и систем (object (объект), system (система)), функция состояния которых зависит не только от времени, но и от пространственных координат, использовались ключевые слова distributed parameters (распределенные параметры), parameters evolving over time and space coordinates (параметры, изменяющиеся во времени и пространственных координатах).
Для формирования расширенного поискового запроса использовались булевы операторы. Оператор OR применялся для объединения синонимов и альтернативных написаний, обеспечивая охват различных вариантов ключевых терминов. Дополнительно применялся оператор AND для уточнения запроса путем соединения основных ключевых слов, гарантируя релевантность полученных результатов.
Выбор баз данных
Поиск опубликованных журнальных статей и докладов на конференциях проводился в следующих базах данных: ScienceDirect, Google Scholar и IEEE Xplore. В процессе поиска использовались ключевые слова, которые вводились в соответствующие поисковые интерфейсы указанных баз данных. Количество используемых ключевых слов было ограничено внутренними правилами и условиями каждой из этих баз данных.
Критерии включения публикаций в обзор и исключения из него
В качестве основного программного обеспечения для работы с публикациями использовалось широко известное ПО Mendeley [9], позволяющее организовывать, аннотировать и извлекать статьи по заданному пользователем шаблону. С использованием широких возможностей Mendeley, включая импорт PDF-файлов, отобранные исследования были детально проанализированы, а данные из них были перенесены в универсальную программу для работы с электронными таблицами Excel для уточнения и структурирования при последующем анализе.
Расширенные функции обработки данных и вычислительные возможности Excel позволили выполнять расчеты, генерировать статистику и создавать визуальные представления. Для оптимизации процесса отбора исследований использовался специализированный веб-инструмент для систематических обзоров – Rayyan [10], который предоставляет возможность эффективно фильтровать, оценивать и просматривать статьи, ускоряя процесс принятия решения о включении исследований в систематический обзор или исключении из него.
Отбор публикаций, найденных в базах данных, по ключевым словам проводился исходя из следующих критериев:
– тематическая принадлежность (рассматривались только статьи, посвященные проблемам многокритериальной оптимизации);
– использование конкретных методов (описание применения конкретных методов многокритериальной оптимизации технологических объектов);
– качество исследования (публикация статей в рецензируемых российских и зарубежных научных журналах и конференциях, достоверность используемых методов и адекватность полученных результатов);
– год публикации (исследования, опубликованные в период с 2013 по 2023 гг.);
– отношение к технологическим объектам или процессам.
Следующие статьи исключались из обзора:
– статьи, полный текст которых недоступен;
– дублирующие статьи, сообщающие об одной и той же работе;
– обзорные статьи;
– статьи, в которых не описаны методы, используемые для многокритериальной оптимизации.
Отбор исследований
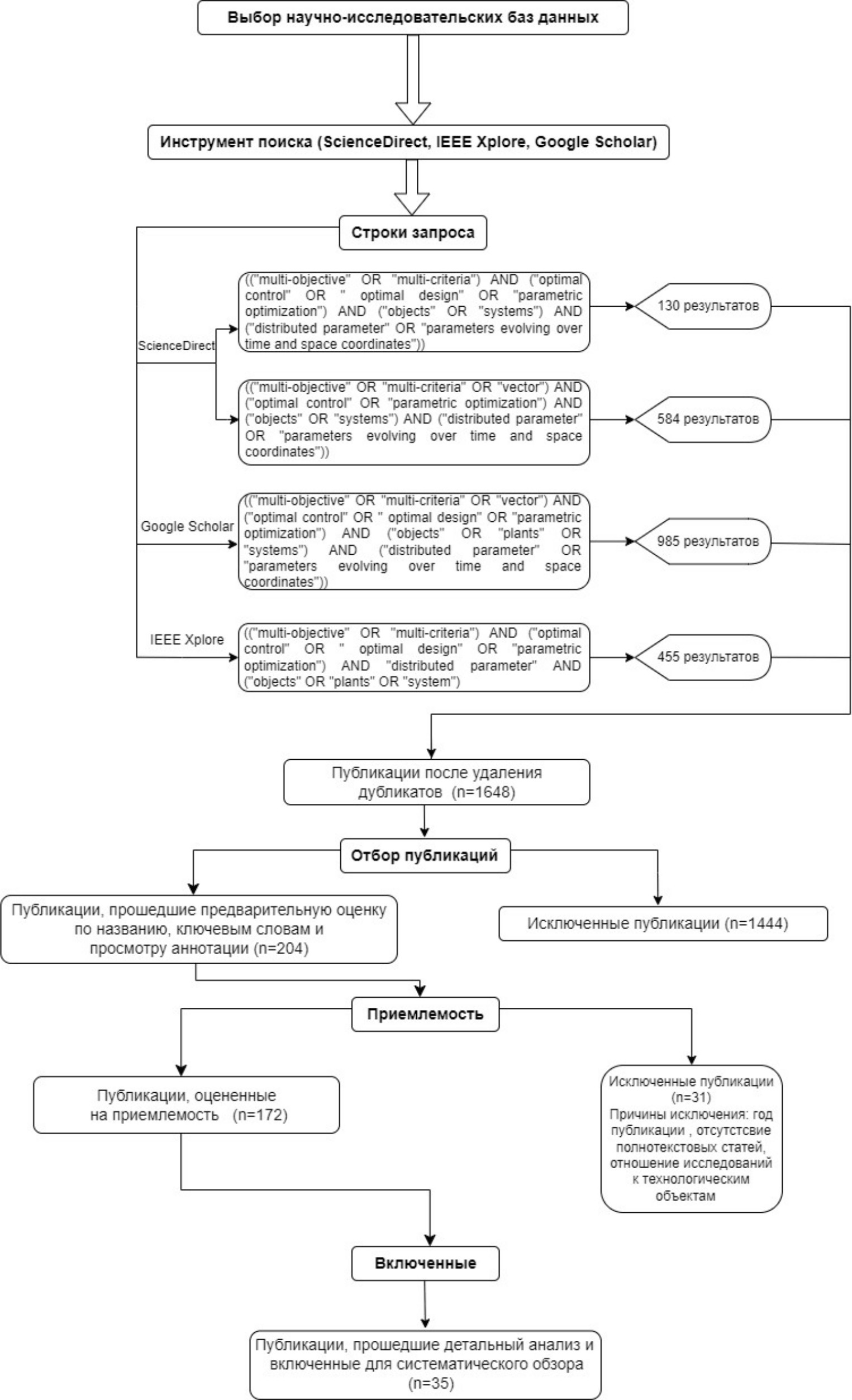
В результате поиска по ключевым словам в базах данных было найдено 714 публикаций в ScienceDirect, 455 публикаций в IEEE Xplore и 985 публикаций в Google Scholar. Процесс отбора публикаций для систематического обзора, алгоритм которого представлен на рис. 3, включает четыре этапа.
- Первый этап заключался в выявлении всех потенциально релевантных исследований из баз данных и отсеивании дублирующих публикаций. В результате на первом этапе было выделено 1648 публикаций.
- На втором этапе решение о включении публикации в обзор принималось на основе ее названия и содержания аннотации. В результате на втором этапе отбора было выделено 204 статьи.
- На третьем этапе отобранные исследования подвергались более тщательной оценке с использованием следующих критериев включения: год публикации, наличие полнотекстовых статей и отношение исследований к технологическим объектам. В результате на третьем этапе отбора было выделено 173 статьи.
- На четвертом этапе проводился детальный анализ отобранных статей, включающий оценку качества исследований. В результате для проведения систематического обзора было выделено 35 публикаций.
Данные исследования демонстрируют, что лишь незначительная доля научных работ непосредственно связана с тематикой, рассматриваемой в данном обзоре. Конкретно в систематический обзор включено только 2 % статей.
На рис. 4 представлено распределение по странам отобранных для исследования публикаций в период 2013–2023 гг. Гистограмма, позволяющая оценить географическую локализацию исследований, показывает, что наиболее активно исследования в области многокритериальной оптимизации технологических объектов проводили такие страны, как Китай, Италия, Иран и Россия.
На рис. 5 представлена круговая диаграмма, демонстрирующая распределение отобранных исследований по трем базам данных: ScienceDirect, IEEE Xplore и Google Scholar. Каждый сектор диаграммы соответствует количеству исследований, отобранных из соответствующей базы данных для проведения систематического обзора. Из рисунка видно, что распределение публикаций по базам данных можно считать практически равномерным.
Рис. 3. Блок-схема алгоритма отбора публикаций для систематического обзора
Рис. 4. Распределение отобранных исследований по странам
Рис. 5. Распределение отобранных исследований по базам данных
Обзор методов многокритериальной оптимизации
В данном разделе проводится подробный анализ и сравнение различных методов многокритериальной оптимизации, представленных в отобранных статьях. Рассматриваются основные принципы и особенности каждого метода, а также их преимущества и недостатки. Проводится сравнение эффективности применения этих методов в рассмотренных исследованиях для оптимизации технологических объектов с различными характеристиками целевых функций.
6.1. Детерминированные методы
6.1.1. Метод линейного программирования
Метод линейного программирования (ЛП) применяется для решения задач оптимизации, где целью является максимизация или минимизация линейной функции переменных при условии, что эти переменные подчиняются некоторым ограничениям. Метод линейного программирования в своей стандартной форме не используется напрямую для решения задач многокритериальной оптимизации, поскольку предназначен для задач с единственным критерием. Однако существуют подходы и методы, которые адаптируют линейное программирование для многокритериальной оптимизации.
В исследовании [11] была разработана модель целочисленного линейного программирования (ЦЛП), предназначенная для оптимизации проектирования и функционирования децентрализованных электростанций (ДЭС) с учетом различных направлений энергопотребления. В качестве основных критериев рассматривались минимизация общих годовых затрат , минимизация выбросов углекислого газа (CO2) и уровня зависимости потребителей от общей энергосистемы . В процессе решения задачи учитывались ограничения на количество доступной биомассы для переработки, а также граничные условия для обеспечения периодического режима работы в системах хранения энергии. Модель была разработана с учетом временного горизонта в один год и c временным шагом 12 часов, что позволило не только адекватно отобразить суточные колебания спроса и доступности энергии, но и сократить количество оптимизационных переменных с 52 860 (при временном шаге 1 час) до 4 380 (при временном шаге 12 часов). Процесс оптимизации выполнялся в ПО MATLAB с использованием функции fmincon, предназначенной для поиска минимума ограниченной нелинейной многомерной функции, и занял около 24 часов. Результаты оптимизации позволили выявить влияние выбранных критериев на структуру и стратегию эксплуатации электростанций и получить заметное преимущество ДЭС по сравнению с централизованной энергосистемой с точки зрения выбросов и самообеспечения. В частности, показано, что можно сократить выбросы до 400 т СО2/год (по сравнению с централизованным сценарием), а зависимость потребителей от основной энергосистемы может быть снижена до уровня менее 20 %.
В целом метод линейного программирования является мощным инструментом для решения однокритериальных оптимизационных задач. Однако методы многокритериальной оптимизации позволяют применять ЛП для поиска решений, которые учитывают несколько критериев одновременно, когда есть возможность преобразования многокритериальных задач в эквивалентные задачи с единственным критерием или ранжированными критериями. Следует отметить при этом, что задачи ЛП предполагают линейное описание объектов, а это значительно сужает область их применимости. Существуют другие недостатки и ограничения использования ЛП в различных многокритериальных задачах: определение корректных весов для каждого критерия или нормализации критериев при свертке в одну целевую функцию может быть сложным и субъективным процессом; порядок оптимизации критериев может существенно повлиять на конечное решение; часто требуется определение допустимых пределов изменения дополнительных критериев.
6.1.2. Метод ε-ограничений
Метод ε-ограничений сводит задачи многокритериальной оптимизации к задаче однокритериальной оптимизации на основании выделения одного наиболее важного критерия, по которому будет производиться дальнейшая оптимизация, при ограничении всех остальных частных критериев. Метод ε-ограничений позволяет найти набор Парето-оптимальных решений, которые представляют собой компромисс между различными целями с учетом их приоритетов и ограничений.
В исследовании [12] рассматривается задача многокритериального оптимального планирования распределенной энергетической системы на твердооксидных топливных элементах с использованием солнечной энергии. В качестве критериев оптимизации в работе рассматриваются годовые эксплуатационные расходы энергетической системы и объем выбросов углерода. Авторами был применен метод Ɛ-ограничений для идентификации недоминируемых множеств оптимальных стратегий в условиях многокритериального выбора. В процессе исследования для каждого из критериев оптимальности были определены идеальная и неидеальная точки c помощью методов однокритериальной оптимизации. Затем одна из целевых функций может быть дискретизирована на отдельных интервалах и преобразована в ограничения. В результате другой критерий должен быть оптимизирован с учетом этих ограничений, заданных в виде неравенств. Результаты исследования подтвердили, что найденные оптимальные точки представляют собой глобальные оптимумы. В каждом конкретном случае результаты оптимизации могут быть получены с использованием предложенной в исследовании модели, что позволяет отобразить все возможные решения на границе Парето. В исследовании для выбора оптимального решения из Парето-оптимального множества использовались три хорошо известных подхода: метод линейного программирования для многомерного анализа предпочтений (LINMAP), техника упорядочивания предпочтений по сходству с идеальным решением (TOPSIS) и энтропия Шеннона.
Основными недостатками этого метода являются сложность и субъективность определения предпочтений между критериями и выбора максимально допустимых значений частных критериев и ограничений, накладываемых на эти частные критерии. Основными достоинствами метода Ɛ-ограничений являются возможность сведения задачи многокритериальной оптимизации к задаче однокритериальной оптимизации и относительная простота процедуры реализации метода.
6.1.3. Метод минимаксной свертки критериев
Одним из эффективных способов свертки критериев для решения задачи многокритериальной оптимизации является минимаксная свертка. В результате применения этого вида свертки на результат решения задачи оптимизации оказывает влияние тот частный критерий, которому соответствует наибольшее значение функции. Таким образом, в данном случае решение принимается с учетом наиболее «слабого» критерия. При этом минимаксная свертка позволяет учитывать все необходимые критерии для поиска оптимального решения без введения весовых коэффициентов.
В статьях [13–16] предлагается конструктивная технология многокритериальной оптимизации процессов управления техническими объектами с распределенными параметрами, базирующаяся на однокритериальной версии в виде минимаксной свертки нормализуемых критериев качества. Развиваемый подход основан на переходе к эквивалентной форме вариационной задачи с ограничениями, решение которой априори является Парето-эффективным. Анализ проводился применительно к детерминированной модели объекта, описываемой бесконечной системой дифференциальных уравнений относительно временных мод разложения управляемой величины в ряд по собственным функциям начально-краевой задачи. Дальнейшие процедуры предварительной параметризации управляющих воздействий и последующей редукции к специальной задаче полубесконечного программирования позволили найти искомые экстремали с использованием их чебышевских свойств и фундаментальных закономерностей предметной области. В исследовании [Ошибка! Источник ссылки не найден.] представлен пример многокритериальной оптимизации температурных режимов индукционного нагрева металлических полуфабрикатов перед операциями пластического деформирования в технологических комплексах обработки металла давлением при неполном объеме информации об объекте управления. В качестве целей оптимизации рассматриваются минимизация энергопотребления при нагреве и потери металла из-за образования окалины, а также точность приближения результирующего температурного распределения к заданному.
Одним из основных недостатков метода минимаксной свертки в задачах многокритериальной оптимизации является необходимость нормализации критериев и дополнительного решения задачи по каждому из минимизируемых критериев [17].
6.2. Стохастические методы
6.2.1. Генетический алгоритм NSGA-II
Генетический алгоритм NSGA-II (Non-dominated Sorting Genetic Algorithm II) представляет собой усовершенствованную версию оригинального алгоритма NSGA и является эволюционным методом многокритериальной оптимизации, который был разработан Э.Х. Си и Р.К. Беном в 2000 г. для решения задач с несколькими целевыми функциями. Алгоритм основан на принципах естественного отбора и генетических операторов, таких как скрещивание и мутация, для поиска оптимальных решений в пространстве параметров [18, 19].
В исследовании [20] предлагается две вариации метода NSGA-II для отслеживания динамических Парето-оптимальных границ. Влияние частоты изменений в задаче и доля добавленных случайных или мутировавших решений являются параметрами, которые систематически изучаются для оценки эффективности разработанных процедур отслеживания. Предложенные процедуры NSGA-II применены в исследовании к сложной задаче планирования гидротермальной мощности с двумя конфликтующими критериями. В первой вариации предлагаемого динамического NSGA-II (DNSGA-II-A) авторы вводят новые случайные решения при каждом изменении задачи. При этом ζ % новой популяции заменяется случайно созданными решениями. Это позволяет вводить новые (случайные) решения при каждом изменении проблемы. Этот метод может оказаться более эффективным в задачах, претерпевающих значительные изменения в целях и ограничениях. Во второй версии (DNSGA-II-B) вместо введения случайных решений ζ % популяции заменяется мутациями существующих решений (выбранных случайным образом), что по принципу похоже на ГА на основе гипермутации для одноцелевой оптимизации. Таким образом, новые решения, вводимые в популяцию, связаны с существующей популяцией.
В статье [21] авторы проводят многокритериальную оптимизацию устойчивого состояния двухкамерных микробных топливных элементов (МТЭ), предназначенных для одновременного возобновляемого производства электроэнергии и очистки сточных вод. Генетический алгоритм NSGA-II используется для одновременной максимизации плотности мощности, достижимой плотности тока и коэффициента удаления отходов на основе математической модели ацетатного двухкамерного МТЭ. В работе подробно исследованы три задачи двухкритериальной оптимизации и одна задача трехкритериальной оптимизации. Результаты решения трех двухкритериальных задач оптимизации показали, что максимальные значения плотности мощности, коэффициента удаления отходов и плотности тока не могут быть получены одновременно. Максимальные значения плотности мощности, коэффициента удаления отходов и плотности тока, соответствующие идеальной точке, составляют 3,82 Вт∙м2, 0,97 и 14,88 А∙м2 соответственно. Графический анализ фронта Парето с помощью диаграмм уровней показал, что решения, ближайшие к идеальной точке, обеспечивают значения критериев в диапазонах 2,84–3,25 Вт∙м2 для плотности мощности, 0,69–0,78 для коэффициента удаления отходов и 10,82–12,19 А∙м2 для максимально достижимой плотности тока. Таким образом, результаты показывают, что интегрированная методология многокритериального генетического алгоритма NSGA-II обеспечивает перспективный подход для получения приемлемого компромисса между конфликтующими критериями для оптимальной работы МТЭ.
Другой пример, описывающий методику применения генетических алгоритмов для решений многокритериальной задачи, предложен в статьях [22, 23]. В работе представлена система парового риформинга метана с применением
CO2 -реформера, который может производить сингаз из смеси метана CH4 и углекислого газа CO2. Для оптимизации процесса с точки зрения максимальной производительности по водороду и минимизации выбросов углекислого газа используется генетический алгоритм с недоминируемой сортировкой NSGA-II. Реализация алгоритма метода NSGA-II в пакете MATLAB с помощью библиотеки Genetic Algorithm позволила определить множество Парето-оптимальных решений. В этом алгоритме оптимизации каждая точка множества Парето, представляющая собой хромосому, ассоциируется с набором переменных для принятия решений при заданном наборе входных ограничений (например, ограничений на температуру на входе каждого реактора) [23].
В статье [24] проводился анализ и оптимизация ключевых энергетических и экономических показателей гибридной системы, основанной на сочетании твердооксидных топливных элементов и микрогазотурбин для производства тепловой энергии. Оптимизация осуществлялась с использованием генетического алгоритма NSGA-II. Для процесса оптимизации были выбраны два основных критерия: энергетическая эффективность системы и общая экономическая стоимость. Результаты оптимизации свидетельствуют о значительном повышении общей энергетической эффективности системы до 62,5 % и сокращении срока окупаемости до 6,3 лет.
В работах [25–33] исследуется применение модифицированного генетического алгоритма NSGA-II в рамках решения векторных задач оптимизации для различных сфер промышленности. В [26] авторы демонстрируют применение NSGA-II для решения проблем оптимизации в сфере водородной энергетики. В [27] этот алгоритм оптимизации применяется при проектировании интеллектуального оптимального контроллера.
В статье [34] исследуется задача многокритериальной оптимизации параметров процесса литья под давлением. Оптимизация осуществляется с использованием генетического алгоритма с ограниченной недоминируемой сортировкой. В качестве критериев оптимизации в работе рассматриваются: максимальная разница объемной усадки между всеми полостями пресс-формы , себестоимость производства деталей и время цикла литья под давлением . Данный алгоритм основан на классификации индивидов в популяции в соответствии с концепциями Парето-оптимальности и недоминирования. Всем недоминируемым особям в популяции присваивается ранг 1. Затем оставшиеся особи повторно классифицируются, и недоминируемые решения получают ранг 2. Процедура классификации продолжается до тех пор, пока все особи в популяции не будут проранжированы. В результате особи с более низким рангом оказываются выше особей с более высоким рангом в иерархии популяции.
Основным преимуществом генетического алгоритма NSGA-II в задачах многокритериальной оптимизации является быстрая сходимость к Парето-оптимальному фронту благодаря эффективным операторам отбора, кроссовера и мутации [35]. Алгоритм использует концепцию недоминируемой сортировки для классификации решений в популяции по уровням недоминируемости, что позволяет эффективно идентифицировать оптимальные Парето-решения. Генетические алгоритмы позволяют искать оптимальное решение в пространстве поиска более эффективно, чем традиционные методы оптимизации. В [28, 31, 32] был проведен анализ применения методов эволюционной оптимизации в приложении к задачам однокритериальной оптимизации, а также к задачам векторной оптимизации.
Однако, как и любой метод, генетические алгоритмы обладают своими недостатками. В исследованиях [36, 37] авторы указывают, что в задаче многокритериальной оптимизации с четырьмя и более целевыми функциями наблюдается проблема нехватки вычислительных мощностей для введения новых членов популяции в поколение, тем самым возникает застой в производительности алгоритма многокритериальной эволюционной оптимизации. Более того, представление крупномасштабного Парето-оптимального фронта сопровождается экспоненциальным ростом размера популяции, что существенно усложняет и замедляет алгоритм за счет значительного и не всегда приемлемого увеличения объема вычислений. С практической точки зрения поиск Парето-оптимальных множеств, содержащих тысячи и десятки тысяч решений, и выбор из них оптимального решения представляют часто задачи не менее простые, чем изначальная задача многокритериальной оптимизации.
Для решения описанных сложностей при поиске и анализе Парето-оптимальных множеств авторами предлагаются различные подходы. Первый подход заключается в использовании эволюционных алгоритмов для нахождения только части оптимального по Парето фронта (метод эволюционной оптимизации на основе опорных точек, «поиск светового луча»). В [37] показано, что для задач с 10 и 20 критериями найти частичный фронт, соответствующий определенной информации о предпочтениях, возможно. Несмотря на то, что размер частичного фронта идентичен размеру полного фронта Парето, близость целевых точек при представлении желаемого частичного фронта помогает не подвергать доминированию часть популяции, тем самым высвобождая вычислительные ресурсы для поиска и хранения новых и лучших решений.
В статье [37] предложен метод выявления и устранения избыточных целевых функций в многокритериальных задачах оптимизации. Автор отмечает, что при явно выраженном конфликте целевых функций их оптимизация относительно некоторых случайно созданных решений может привести к хорошему компромиссному решению. Это объясняется тем, что для решений, близких к Парето-оптимальному фронту, конфликт между целевыми функциями сглаживается и оптимум одной функции становится близким к оптимуму другой. В этом случае целевые функции, демонстрирующие положительно коррелирующую взаимосвязь в полученных решениях NSGA-II, идентифицируются как избыточные и исключаются из дальнейшего рассмотрения. Затем процедура многокритериальной оптимизации с использованием эволюционных алгоритмов и линейного/нелинейного анализа главных компонент повторяется с оставшимися (не избыточными) целевыми функциями. Данная комбинированная процедура продолжается до тех пор, пока дальнейшее сокращение числа целевых функций не станет невозможным.
Как показано в [38], модифицированный генетический алгоритм NSGA-II, отличающийся от простого генетического алгоритма GA способом использования оператора селекции, может применяться в комбинации с методом конечных элементов (FEM). Реализация оптимизационной процедуры была рассмотрена в приложении к оптимизационной процедуре индукционного нагрева графитового диска и алюминиевой цилиндрической заготовки.
6.2.2. Генетический алгоритм SA-MNSGA
SA-MNSGA – это генетический алгоритм, основанный на классическом NSGA-II и включающий периодическую миграцию популяции новых особей, которые изменяют генетическое наследие текущей популяции. Данный алгоритм разработан сравнительно недавно, однако успел себя зарекомендовать при решении задач многокритериальной оптимизации электромагнитных процессов. Особенностью SA-MNSGA является использование многокритериальной недоминируемой сортировки для оценки и выделения таких решений, которые не уступают по всем критериям другим решениям, что тем самым формирует Парето-оптимальный фронт [39].
В работе [40] авторы сравнивают природный алгоритм оптимизации μ-BiMO и алгоритм эволюционной оптимизации SA-MNSGA на примере решения задачи многоцелевой оптимизации соленоида, используемого для характеристики термомагнитных наножидкостей для магнитно-жидкостной гипертермии.
Генетический алгоритм SA-MNSGA обладает высокой скоростью сходимости и устойчивостью к локальным оптимумам благодаря использованию метаэвристического алгоритма Simulated Annealing. Это позволяет улучшить качество получаемых решений и сократить время работы алгоритма. Однако среди недостатков SA-MNSGA можно выделить высокую вычислительную сложность, требующую больших вычислительных ресурсов. Кроме того, подбор оптимальных параметров для алгоритма может потребовать дополнительных усилий и времени.
6.2.3. Алгоритм BiMO
BiMO – алгоритм оптимизации, основанный на биогеографии, в котором каждое решение рассматривается как среда обитания (вектор проектирования).
В [40] применяется многокритериальная версия алгоритма BiMO, основанная на определении обобщенной пригодности, которое учитывает одновременно две или более целевых функций за счет использования концепции ранжирования решений без доминирования в целевом пространстве и на расстоянии вытеснения. Результаты, представленные в [40], показывают, что метод μ-BiMO дает хорошую аппроксимацию фронта Парето.
Алгоритм BiMO работает на основе принципов естественного отбора и мутации, что обусловливает его быструю сходимость в ЗМО к оптимальному решению. Однако основным недостатком алгоритма BiMO является склонность к преждевременной сходимости к локальным оптимумам из-за использования случайного поиска.
6.2.4. Алгоритм роя частиц
Алгоритм роя частиц является популяционным методом, аналогичным генетическим алгоритмам. Он итеративно оценивает целевую функцию для каждой частицы и корректирует ее скорость для достижения оптимального решения. Идеи создания алгоритма основаны на анализе поведения стай птиц или роев насекомых. Каждая частица в той или иной степени притягивается к наилучшему местоположению, которое она нашла на данный момент, а также к наилучшему местоположению, которое нашел любой член роя [41]. После нескольких шагов популяция может объединиться вокруг одного места, или объединиться вокруг нескольких мест, или продолжить движение.
В статье [42] рассматривается многокритериальная оптимизация угольной электростанции, включающая установку для улавливания СО2. Авторы в работе для построения процедуры робастной многокритериальной оптимизации используют алгоритм роя частиц, а в качестве критериев оптимизации рассматривают максимизацию энергетической и эксергетической эффективности и минимизацию времени реакции на изменение нагрузки. Благодаря оптимизации двух критериев энергетическая и эксергетическая эффективности улучшаются на 1,16 % и 1,53 % соответственно, а время отклика уменьшается на 4,14 %.
Другой пример, описывающий методику применения роя частиц для решения многокритериальной задачи, предложен в статье [43]. В работе проведена многокритериальная оптимизация параметров процесса литья под давлением крышки маслоохладителя дизельного двигателя. В качестве критериев оптимизации рассматриваются: время срабатывания затвора клапана, температура пресс-формы, время цикла литья под давлением. Алгоритм работает по принципу инициализации роя частиц в случайном порядке в пространстве поиска. В результате деформация уменьшилась примерно на 4 мм, а напряжение распределяется более равномерно по всему изделию. Пиковое усилие зажима снижено с 760 до 470 т, что делает выбор станка более гибким и снижает стоимость производства. Предложенный метод многокритериальной оптимизации, основанный на алгоритме роя частиц, демонстрирует высокую точность и эффективность в прогнозировании реакций материала на деформацию и усилие зажима.
Достоинством алгоритма роя частиц является способность исследования большого пространства поиска решений и обеспечение сходимости к глобальному оптимуму. Однако основным недостатком алгоритма является ограниченная способность адаптации к динамическим изменениям его параметров (количества частиц, коэффициентов ускорения и т. д.), что может сильно влиять на эффективность поиска; при этом не всегда настройка параметров является тривиальной задачей.
6.3. Методы многокритериальной оптимизации с использованием искусственного интеллекта
Метод многокритериального адаптивного оптимизационного управления с прогнозированием модели (MAO-MPC) представляет собой инновационный подход к управлению динамическими системами, который объединяет в себе элементы многокритериальной оптимизации, адаптивного управления и прогнозирования моделей. Адаптивное управление предполагает способность системы изменять свою стратегию в зависимости от внешних воздействий и внутренних параметров. Прогнозирование модели включает в себя использование математических моделей для предсказания будущего поведения системы на основе доступных данных. Этот метод позволяет эффективно управлять сложными системами в условиях неопределенности и изменяющейся динамики. Для прогнозирования моделей и обеспечения адаптивного управления используются алгоритмы машинного обучения, которые позволяют учитывать динамические изменения в системе и принимать решения на основе актуальных данных.
В статье [44] авторы применяют метод MAO-MPC для оптимизации процесса обжига оксида цинка во вращающейся печи. Процедура оптимизации, основанная на методе разряженной идентификации, проходит в несколько этапов:
– создается имитационная модель вычислительной гидродинамики (CFD модель);
– решается задача разреженной регрессии для получения редукционной модели;
– разрабатывается двухуровневая система управления, включающая оптимизацию в реальном времени (RTO) и управление с прогнозированием модели (МРС).
На уровне RTO решается оптимизационная задача для достижения оптимальных эксплуатационных характеристик и минимально возможного потребления ресурсов. Для вращающейся печи при формулировании многокритериальной задачи оптимизации учитываются два критерия: минимальный расход угля и обеспечение максимального качества продукции. Полученные с помощью метода градиентного спуска оптимальные решения задачи на уровне RTO передаются на уровень MPC для нахождения управляющего сигнала u(t) в текущем времени, который обеспечивает движение по заданной траектории r(t) (полученной с уровня RTO). Результаты экспериментов показали, что предложенный метод позволяет улучшить эффективность управления вращающейся печью и снизить потребление угля на 10 %.
Результаты исследования
В рамках проведенного систематического обзора были выделены три основные тенденции в подходах к решению задач многокритериальной оптимизации: детерминированные, стохастические методы и методы с использованием ИИ. Частота использования методов и алгоритмов многокритериальной оптимизации может быть проанализирована с помощью диаграммы (рис. 6). Согласно проведенному систематическому обзору, из общего числа отобранных исследований:
– детерминированные методы были использованы в 8 работах;
– стохастические методы были представлены в 26 работах;
– методы с применением искусственного интеллекта были использованы в одной работе.
Методы многокритериальной оптимизации широко используются в различных областях и отраслях, где необходимо учитывать несколько критериев принятия решений одновременно. Исследование выделило пять основных областей, в которых применялись методы многокритериальной оптимизации: энергетика, технологическая безопасность, металлургия, космическая инженерия и электротехника. Распределение научных публикаций по указанным областям представлено на рис. 7.
Проведенный систематический обзор показал, что в области многокритериальной оптимизации отсутствует универсальный метод, который мог бы быть применен для оптимизации конкретных технологических процессов и объектов. Научное сообщество провело множество исследований в данной области, в результате которых были предложены различные методы решения многокритериальных задач; однако количество работ, направленных на применение этих методов в реальных технологических задачах, остается ограниченным. В связи с этим выбор подходящего метода многокритериальной оптимизации для решения конкретной задачи может оказаться затруднительным. Для более полного понимания данной проблематики и выбора наиболее подходящего метода оптимизации необходимо проведение дополнительных исследований, направленных на сравнительный анализ эффективности различных методов в реальных технологических задачах.
Рис. 6. Распределение методов и алгоритмов многокритериальной оптимизации
Рис. 7. Распределение публикаций по областям применения
Заключение
Многокритериальная оптимизация технологических объектов представляет собой активно развивающуюся область, ориентированную на предоставление предприятиям и исследователям эффективных инструментов для принятия оптимальных решений, учитывающих одновременно несколько конфликтующих целевых функций. Эта методология находит широкое применение в различных сферах деятельности, таких как энергетика, машиностроение, металлургия и другие.
Основная цель систематического обзора заключалась в том, чтобы представить обширный анализ существующих исследований в области многокритериальной оптимизации технологических объектов. В рамках обзора были выделены различные методы и подходы, применяемые при решении задач многокритериальной оптимизации технологических объектов (детерминированные, стохастические и методы с применением ИИ). Результаты показали, что наиболее широко применяемыми методами оптимизации являются на настоящий момент стохастические методы, в частности генетические алгоритмы, за которыми следуют детерминированные методы и методы с использованием искусственного интеллекта.
Представленный систематический обзор обобщает сведения о представленных в открытой печати за последнее десятилетие исследований, что помогает выявить существующие достижения, проблемы и пробелы в области многокритериальной оптимизации технологических объектов и ориентировать направления дальнейших исследований.
About the authors
Maksim A. Zolotarev
Samara State Technical University
Author for correspondence.
Email: maksimsam@mail.ru
Postgraduate Student
Russian Federation, 244, Molodogvardeyskaya st., Samara, 443100References
- Zaizi, Ezzahra F., Qassimi S., Rakrak S. Multi-objective optimization with recommender systems: A systematic review // Information Systems. 2023. Vol. 117. P. 44.
- Ehrgott M. Vilfredo Pareto and multi-objective optimization // Document Mathematica, 2012, Pр. 447–453.
- Zavala J. Jordi, Cadenas E., Campos-Amezcua R. Multi-criteria optimal design of small wind turbine blades based on deep learning methods // Energy, 2024. Vol. 293. P. 15.
- Golkarnarenji G., Naebe M., Badii K., Milani A., Bab-Hadiashar A., Jazar R., Khayyam H. Multi-Objective Optimization of Manufacturing Process in Carbon Fiber Industry Using Artificial Intelligence Techniques // IEEE Access. 2019, № 7. Pр. 576–588.
- Veisi O., Shakibamanesh A., Rahbar M. Using intelligent multi-objective optimization and artificial neural networking to achieve maximum solar radiation with minimum volume in the archetype urban block // Sustainable Cities and Society, 2022. P. 64.
- Rethlefsen M., Kirtley Sh., Waffenschmidt S., Ayala A. PRISMA-S: an extension to the PRISMA statement for reporting literature searches in systematic reviews // Journal of the Medical Library Association. 2021. P. 19.
- Alvine Boaye Belle, Yixi Zhao. Evidence-based decision-making: On the use of systematicity cases to check the compliance of reviews with reporting guidelines such as PRISMA 2020 // Expert Systems with Applications. 2023. Vol. 217. P. 18.
- Page M.J., Moher D., Bossuyt P.M., Boutron I., Hoffmann T.C., Mulrow C.D., Shamseer L. PRISMA 2020 explanation and elaboration: updated guidance and exemplars for reporting systematic reviews // The BMJ. 2021. Vol. 372. P. 37.
- Reference management software Mendeley: official site. https://www.mendeley.com (Date of the application 10.04.2024).
- Tool intelligent systematic review Rayyan. https://www.rayyan.ai (accessed 15.03.2024).
- Fonseca J., Commenge J.-M., Camargo M., Falk L., Gil I. Multi-criteria Optimization for the Design and Operation of Distributed Energy Systems Considering Sustainability Dimensions // Energy, 2021. P. 16.
- Rui Jing, Xingyi Zhu, Zhiyi Zhu, Wei Wang. A multi-objective optimization and multi-criteria evaluation integrated framework for distributed energy system optimal planning // Energy conversoion and Management China. 2018. № 166. Pр. 445–462.
- Rapoport E.Y., Pleshivtseva Y.E. Multi-Objective Control of Distributed Parameter Systems in the Case of Interval Uncertainty of the Plant Characteristics // Optoelectron. Instrument. Proc. 2019. № 55. Pр. 317–330.
- Rapoport E.Y., Pleshivtseva Y.E. Technology of solving multi-objective problems of control of systems with distributed parameters // Optoelectron. Instrument. Proc. 2017. № 53, Pр. 316–328.
- Rapoport E.Ya., Pleshivceva Yu.E. Metod mnogokriterial'noj optimizacii upravlyaemyh sistem s raspredelennymi parametrami [Method of multicriterial optimization of controlled systems with distributed parameters] // Trudy SPIIRAN. Vyp. 60. 2018. P. 64–96. (In Russian).
- Rapoport E., Pleshivtseva Yu. Multi-Objective Control of Distributed Parameter Systems in the Case of Interval Uncertainty of the Plant Characteristics. Optoelectronics // Instrumentation and Data Processing. 2019. № 55. Pр. 317–330.
- Mashunin K.Yu., Mashunin Yu.K. Vektornaya optimizaciya s ravnoznachnymi i prioritetnymi kriteriyami [Vector optimization with equal and priority criteria] // Izv. RAN. Teoriya i sistemy upravleniya. 2017. № 6. Pр. 80–99. (In Russian).
- Wang Zhe, Cai Wenjian, Hong Wei, Shen Suping, Huizhu Yang, Han Fenghui. Multi-objective optimization design and performance evaluation of a novel multi-stream intermediate fluid vaporizer with cold energy recovery // Energy Conversion and Management. 2019. № 195. Pр. 32–42.
- Cho Sunghyun, Kim Minsu, Lee Jaewon, Han Areum, Na Jonggeol, Moon Il. Multi-objective optimization of explosive waste treatment process considering environment via Bayesian active learning // Engineering Applications of Artificial Intelligence. 2023. Vol. 117. Pр. 24.
- Deb K., Rao N., Karthik S. Dynamic Multi-objective Optimization and Decision-Making Using Modified NSGA-II: A Case Study on Hydrothermal Power Scheduling // International Conference on Evolutionary Multi-Criterion Optimization. 2013. Vol. 4403.
- Yang K., He Y., Ma Z. Multi-objective steady-state optimization of two-chamber microbial fuel cells // Chinese Journal of Chemical Engineering. 2017. № 25. Pр. 1000–1012.
- Osat M., Shojaati F., Hafizi A. A muti-objective optimization of three conflicting critetia in a methane tri-reforming reactor // International journal of hydrogen energy. 2023. № 48. Pр. 6275-6287.
- Han Ja-Ryoung. Multiobjective Optimization of a Hydrogen Production System with Low CO2 Emissions // Industrial & Engineering Chemistry Research. 2013. № 51. Pр. 2644–2651.
- Sanaye S., Katebi A. 4E analysis and multi objective optimization of a micro gas turbine and solid oxide fuel cell hybrid combined heat and power system // Journal of Power Sources. 2014. № 247. Pр. 294–306.
- Bertani R. et al. Multi-objective design of a magnetic fluid hyperthermia device // IECON 2015 – 41st Annual Conference of the IEEE Industrial Electronics Society. Yokohama. Japan. 2015. Pр. 3603–3608.
- Pleshivtseva Yu., Di Barba P., Rapoport E., Nacke B., Nikanorov A., Lupi S. et al. Multi-objective optimization of induction heaters design based on numerical coupled field analysis // International Journal of Microstructure and Materials Properties. 2014. № 9. P. 6.
- Nyallang S., Tolj I., Sivakumar P. Multi-objective optimization of a metal hydride reactor coupled with phase change materials for fast hydrogen sorption time // The Journal of Energy Storage. 2023. Vol. 71. P. 18.
- Di Barba P., Pleshivtseva Yu., Rapoport E., Forzan M., Lupi S. et al. Multi-objective optimisation of induction heating processes: Methods of the problem solution and examples based on benchmark model // International Journal of Microstructure and Materials Properties. 2013. № 8. Pр. 357–372.
- Pleshivtseva Yu., Popov A., Forzan M., Sieni E. Multi-Objective Optimization of Induction Surface Hardening Process // IECON 2018 – Annual Conference of the IEEE Industrial Electronic Society. 2018. Pр. 3515–3520.
- Pleshivceva Yu.E., Rapoport E.Ya., Nake Bernard, Nikanorov A.N., Popov A.V. Proekti-rovanie indukcionnyh ustanovok na osnove resheniya zadach mnogokriterial'noj opti-mizacii [Design of induction units based on solving multicriterial optimization problems] // Vestnik Samarskogo gosudarstvennogo tekhnicheskogo universiteta. Seriya: Tekhnicheskie nauki. 2016. № 24 (2). Pр. 47–57.
- Pleshivtseva Yu., Rapoport E., Nacke B., Nikanorov A. et al. Design concepts of induction mass heating technology based on multiple-criteria optimization. COMPEL // The international journal for computation and mathematics in electrical and electronic engineering. 2017. № 36. Pр. 386–400.
- Di Barba P., Dughiero F., Forzan M., Mognashi M.E., Sieni E. Induction heating of a graphite disk: a benchmark for multi-physics platform for multi-objective design // Proceedings of XVIII International UIE-Congress "Electrotechnologies for Material Processing". Hannover, 2017. Pр. 520–525.
- Kampouropoulos K., Andrade F., Sala E., Espinosa A.G., Romeral L. Multiobjective Optimization of Multi-Carrier Energy System Using a Combination of ANFIS and Genetic Algorithms // IEEE Transactions on Smart Grid. 2018. № 9. Pр. 2276–2283.
- Cheng J., Liu Z., Tan J. Multiobjective optimization of injection molding parameters based on soft computing and variable complexity method // The International Journal of Advanced Manufacturing Technology. 2013. № 66. Pр. 907–916.
- Di Barba Paolo. Basic Principles of Optimal Design of Electromagnetic Devices and Multiobjective Optimization // ASM Handbbok Induction Heating and Heat Treatment. 2014. Pр. 359–365.
- Xiao Song, Liu G., Zhang K., Jing Y., Duan Jiaheng, Barba Paolo, Sykulski J. Multi-Objective Pareto Optimization of Electromagnetic Devices Exploiting Kriging With Lipschitzian Optimized Expected Improvement // IEEE Transactions on Magnetics. 2018. Pр. 1–4.
- Deb K. Multi-objective Optimization Using Evolutionary Algorithms: An Introduction. Wiley, New York, 2014.
- Behroozsarand A., Ebrahimi H., Zamaniyan A. Multiobjective Optimization of Industrial Autothermal Reformer for Syngas Production Using Nonsorting Genetic Algorithm II // Industrial & Engineering Chemistry Research. 2013. № 48. Pр. 16.
- Opriş I., Cenuşă V.-E., Norişor M., Darie G., Alexe F.-N., Costinaş S. Parametric optimization of the thermodynamic cycle design for supercritical steam power plants // Energy Conversion and Management, 2020. Vol. 208. Pр. 19.
- Di Barba P., Mognaschi M.-E., Dughiero F., Forzan M., Sieni E. Multi-Objective Optimization of a Solenoid for MFH: A Comparison of Methods // ECON 2018 – 44th Annual Conference of the IEEE Industrial Electronics Society. 2018. Pр. 3336–3340.
- Materin P.V., Sekaev V.G. Sistemnoe opisanie algoritmov roevogo intellekta [System description of swarm intelligence algorithms] // Teoreticheskij i prikladnoj nauchno-tekhnicheskij zhurnal. Programmnaya inzheneriya. 2013. Pр. 39–45.
- Mofidipour E., Babaelahi M. New procedure in solar system dynamic simulation, thermodynamic analysis, and multi-objective optimization of a post-combustion carbon dioxide capture coal-fired power plant // Energy Conversion and Management. 2020. Vol. 224. P. 15.
- Zhang J., Wang J., Lin J., Guo Q., Chen K., Ma L. Multiobjective optimization of injection molding process parameters based on Opt LHD, EBFNN, and MOPSO // The International Journal of Advanced Manufacturing Technology. 2015. № 85. Pр. 2857–2872.
- Ke Wei, Keke Huang, Chunhua Yang, Weihua Gui. Multi-Objective Adaptive Optimization Model Predictive Control: Decreasing Carbon Emissions from a Zinc Oxide Rotary Kiln // Engineering. 2023. № 27. Pр. 96–105.
Supplementary files








